A Fully Automated Synthesis of 14-(R,S)-[18F]fluoro-6-thia-heptadecanoic Acid ([18F]FTHA) on the Elixys Radiosynthesizer
Abstract
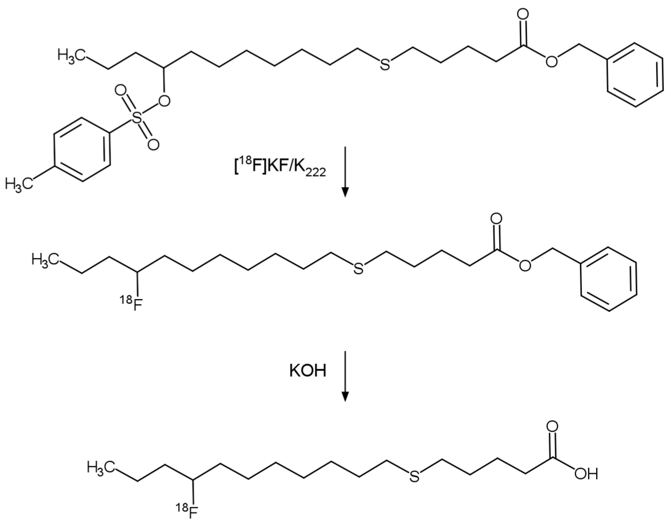
1. Introduction
2. Results
3. Discussion
4. Materials and Methods
4.1. Materials
4.2. Radiochemistry
4.2.1. Production of [18F]FTHA in the Vessel-Based Synthesizer
4.2.2. Production of [18F]FTHA in the Cassette-Based Elixys Synthesizer
4.3. Quality Control
5. Conclusions
Author Contributions
Funding
Institutional Review Board Statement
Informed Consent Statement
Data Availability Statement
Acknowledgments
Conflicts of Interest
References
- Berg, J.M.; Tymoczko, J.L.; Stryer, L. Biochemistry, 5th ed.; WH Freeman: New York, NY, USA, 2002; Chapter 22. [Google Scholar]
- Pichler, V.; Berroterán-Infante, N.; Philippe, C.; Vraka, C.; Klebermass, E.-M.; Balber, T.; Pfaff, S.; Nics, L.; Mitterhauser, M.; Wadsak, W. An Overview of PET Radiochemistry, Part 1: The Covalent Labels 18F, 11C, and 13N. J. Nucl. Med. 2018, 59, 1350–1354. [Google Scholar] [CrossRef]
- Honka, M.-J.; Rebelos, E.; Malaspina, S.; Nuutila, P. Hepatic Positron Emission Tomography: Applications in Metabolism, Haemodynamics and Cancer. Metabolites 2022, 12, 321. [Google Scholar] [CrossRef] [PubMed]
- Haveman, L.Y.F.; Vugts, D.J.; Windhorst, A.D. State of the Art Procedures towards Reactive [18F]fluoride in PET Tracer Synthesis. EJNMMI Radiopharm. Chem. 2023, 8, 28. [Google Scholar] [CrossRef] [PubMed]
- Mäki, M.T.; Haaparanta, M.; Nuutila, P.; Oikonen, V.; Luotolahti, M.; Eskola, O.; Knuuti, J.M. Free Fatty Acid Uptake in the Myocardium and Skeletal Muscle Using Fluorine-18-Fluoro-6-Thia-Heptadecanoic Acid. J. Nucl. Med. 1998, 39, 1320–1327. [Google Scholar] [PubMed]
- Turpeinen, A.K.; Takala, T.O.; Nuutila, P.; Axelin, T.; Luotolahti, M.; Haaparanta, M.; Bergman, J.; Hämäläinen, H.; Iida, H.; Mäki, M.; et al. Impaired Free Fatty Acid Uptake in Skeletal Muscle but Not in Myocardium in Patients with Impaired Glucose Tolerance: Studies with PET and 14(R,S)-[18F]fluoro-6-Thia-Heptadecanoic Acid. Diabetes 1999, 48, 1245–1250. [Google Scholar] [CrossRef] [PubMed]
- Takala, T.O.; Nuutila, P.; Pulkki, K.; Oikonen, V.; Grönroos, T.; Savunen, T.; Vähäsilta, T.; Luotolahti, M.; Kallajoki, M.; Bergman, J.; et al. 14(R,S)-[18F]Fluoro-6-Thia-Heptadecanoic Acid as a Tracer of Free Fatty Acid Uptake and Oxidation in Myocardium and Skeletal Muscle. Eur. J. Nucl. Med. Mol. Imaging 2002, 29, 1617–1622. [Google Scholar] [CrossRef] [PubMed]
- Renstrom, B.; Rommelfanger, S.; Stone, C.K.; DeGrado, T.R.; Carlson, K.J.; Scarbrough, E.; Nickles, R.J.; Liedtke, A.J.; Holden, J.E. Comparison of Fatty Acid Tracers FTHA and BMIPP during Myocardial Ischemia and Hypoxia. J. Nucl. Med. 1998, 39, 1684–1689. [Google Scholar] [PubMed]
- Carpentier, A.C. Tracers and Imaging of Fatty Acid and Energy Metabolism of Human Adipose Tissues. Physiology 2024, 39, 61–72. [Google Scholar] [CrossRef] [PubMed]
- Nascimento, E.B.M.; van Marken Lichtenbelt, W.D. In Vivo Detection of Human Brown Adipose Tissue during Cold and Exercise by PET/CT. Handb. Exp. Pharmacol. 2019, 251, 283–298. [Google Scholar] [PubMed]
- Ustsinau, U.; Ehret, V.; Fürnsinn, C.; Scherer, T.; Helbich, T.H.; Hacker, M.; Krššák, M.; Philippe, C. Novel Approach Using [18F]FTHA-PET and de Novo Synthesized VLDL for Assessment of FFA Metabolism in a Rat Model of Diet Induced NAFLD. Clin. Nutr. 2023, 42, 1839–1848. [Google Scholar] [CrossRef] [PubMed]
- Nyrén, R.; Scherman, H.; Axelsson, J.; Chang, C.L.; Olivecrona, G.; Ericsson, M. Visualizing Increased Uptake of [18F]FDG and [18F]FTHA in Kidneys from Obese High-Fat Diet Fed C57BL/6J Mice Using PET/CT Ex Vivo. PLoS ONE 2023, 18, e0281705. [Google Scholar] [CrossRef] [PubMed]
- Ye, R.Z.; Montastier, É.; Noll, C.; Frisch, F.; Fortin, M.; Bouffard, L.; Phoenix, S.; Guérin, B.; Turcotte, É.E.; Carpentier, A.C. Total Postprandial Hepatic Nonesterified and Dietary Fatty Acid Uptake Is Increased and Insufficiently Curbed by Adipose Tissue Fatty Acid Trapping in Prediabetes With Overweight. Diabetes 2022, 71, 1891–1901. [Google Scholar] [CrossRef] [PubMed]
- Sjöros, T.J.; Heiskanen, M.A.; Motiani, K.K.; Löyttyniemi, E.; Eskelinen, J.-J.; Virtanen, K.A.; Savisto, N.J.; Solin, O.; Hannukainen, J.C.; Kalliokoski, K.K. Increased Insulin-Stimulated Glucose Uptake in Both Leg and Arm Muscles after Sprint Interval and Moderate-Intensity Training in Subjects with Type 2 Diabetes or Prediabetes. Scand. J. Med. Sci. Sports 2018, 28, 77–87. [Google Scholar] [CrossRef] [PubMed]
- Dadson, P.; Ferrannini, E.; Landini, L.; Hannukainen, J.C.; Kalliokoski, K.K.; Vaittinen, M.; Honka, H.; Karlsson, H.K.; Tuulari, J.J.; Soinio, M.; et al. Fatty Acid Uptake and Blood Flow in Adipose Tissue Compartments of Morbidly Obese Subjects with or without Type 2 Diabetes: Effects of Bariatric Surgery. Am. J. Physiol. Endocrinol. Metab. 2017, 313, E175–E182. [Google Scholar] [CrossRef] [PubMed]
- Degrado, T.R. Synthesis of 14 (R,S)-[18F]fluoro-6-thiaheptadecanoic acid (FTHA). J. Labelled Comp. Radiopharm. 1991, 29, 989–995. [Google Scholar] [CrossRef]
- Savisto, N.; Viljanen, T.; Kokkomäki, E.; Bergman, J.; Solin, O. Automated Production of [18F]FTHA according to GMP. J. Labelled Comp. Radiopharm. 2018, 61, 84–93. [Google Scholar] [CrossRef] [PubMed]
- Bruton, L.; Scott, P.J.H. Automated Synthesis Modules for PET Radiochemistry. In Handbook of Radiopharmaceuticals, 2nd ed.; John Wiley & Sons, Ltd.: Hoboken, NJ, USA, 2020; Chapter 13. [Google Scholar]
- Lazari, M.; Quinn, K.M.; Claggett, S.B.; Collins, J.; Shah, G.J.; Herman, H.E.; Maraglia, B.; Phelps, M.E.; Moore, M.D.; van Dam, R.M. ELIXYS—A Fully Automated, Three-Reactor High-Pressure Radiosynthesizer for Development and Routine Production of Diverse PET Tracers. EJNMMI Res. 2013, 3, 52. [Google Scholar] [CrossRef]
- Davis, R.A.; Drake, C.; Ippisch, R.C.; Moore, M.; Sutcliffe, J.L. Fully Automated Peptide Radiolabeling from [18F]fluoride. RSC Adv. 2019, 9, 8638–8649. [Google Scholar] [CrossRef]
- McCauley, K.S.; Wilde, J.H.; Bufalino, S.M.; Neumann, K.D. An Automated Radiosynthesis of [18F]DPA-714 on a Commercially Available Radiosynthesizer, Elixys Flex/Chem. Appl. Radiat. Isot. 2022, 180, 110032. [Google Scholar] [CrossRef] [PubMed]
- Bowden, G.D.; Stotz, S.; Kinzler, J.; Geibel, C.; Lämmerhofer, M.; Pichler, B.J.; Maurer, A. DoE Optimization Empowers the Automated Preparation of Enantiomerically Pure [18F]Talazoparib and Its In Vivo Evaluation as a PARP Radiotracer. J. Med. Chem. 2021, 64, 15690–15701. [Google Scholar] [CrossRef]





| Module | n | RCY at EOS, GBq (Min–Max) | RCY at EOS, % (Min–Max) | Precursor, mg (Min–Max) | Approx. Duration of Synthesis, mins |
|---|---|---|---|---|---|
| Vessel-based synthesizer | 46 | 2.09 ± 0.99 (0.23–4.56) | 5.52 ± 2.38 (0.51–10.27) | 3.80 ± 0.78 (2.4–5.2) | 73 |
| Elixys | 12 | 3.13 ± 1.41 (1.60–6.27) | 13.01 ± 5.63 (6.40–25.08) | 3.76 ± 0.62 (3.0–4.8) | 80 |
| Parameters | Method | Acceptance Criteria | Vessel-Based Synthesizer | Elixys |
|---|---|---|---|---|
| RCP, % | Analytical HPLC | <95 | 99.26 ± 1.01 | 99.18 ± 0.77 |
| Radiochemical Identity | Analytical HPLC | Matches retention time of the standard | Yes | Yes |
| Radionuclidic Purity | Gamma spectrometer | Presence of peak at 511 keV | Yes | Yes |
| Kryptofix, µg/mL | Kryptofix test | ≤50 | ≤5 | ≤5 |
| MeCN, ppm | Gas chromatographer | <410 | 50 ± 40 | 39 ± 80 |
| MeOH, ppm | Gas chromatographer | <3000 | 102 ± 50 | 273 ± 504 |
| pH | pH indicator strip | 4.0–8.5 | 7.1 ± 0.2 | 6.9 ± 0.2 |
| Osmolality, mosm/kg | Osmometer | 200–400 | 298 ± 45 | 271 ± 22 |
| Chemical | Product Number | Company |
|---|---|---|
| 14-(R,S)-[18F] Fluoro-6-thia-heptadecanoic acid (Reference standard for [18F]FTHA) | 2860 | ABX (Radeberg, Germany) |
| Acetic acid (AcOH) | 27225 | Sigma-Aldrich (Burlington, MA, USA) |
| Acetonitrile (MeCN) | 34851 | Sigma-Aldrich (Burlington, MA, USA) |
| Benzyl-14-(R,S)-tosyloxy-6-thiaheptadecanoate (Precursor for [18F]FTHA) | 2850 | ABX (Radeberg, Germany) |
| Bovine Serum Albumin (BSA) | A7030 | Sigma-Aldrich (Burlington, MA, USA) |
| di-Sodium hydrogen phosphate dihydrate (Na2HPO4 * 2 H2O) | 106580 | Merck (Rahway, NJ, USA) |
| Ethanol (EtOH) | 100986 | Merck (Rahway, NJ, USA) |
| Kryptofix 222 | 810647 | Merck (Rahway, NJ, USA) |
| L-Ascorbic acid | A5960 | Sigma-Aldrich (Burlington, MA, USA) |
| Methanol (MeOH) | 34860 | Sigma-Aldrich (Burlington, MA, USA) |
| Potassium carbonate (K2CO3) | 791776 | Sigma-Aldrich (Burlington, MA, USA) |
| Potassium hydroxide (KOH) | 105032 | Merck (Rahway, NJ, USA) |
| Sodium chloride 9 mg/mL (NaCl 0.9%) | 350 5731 | B. Braun (Melsungen, Germany) |
| Sodium dihydrogen phosphate monohydrate (NaH2PO4 * H2O) | 106346 | Merck (Rahway, NJ, USA) |
| Name of Vial | Amount | Content |
|---|---|---|
| Elution vial | 0.5 mL | Solution A 1 |
| V1 | ~3.8 mg in 1 mL | Precursor for [18F]FTHA in MeCN |
| V2 | 0.3 mL | 2M KOH |
| V3 | 0.63 mL | Solution B 2 |
| V4 | 4.2 mL | NaCl 0.9% |
| V5 | 0.8 mL | EtOH |
| V6 | 20 mL | Solution C 3 |
| Bulb | 60 mL | Solution C 3 |
| Position | Amount | Content |
|---|---|---|
| Flex/Chem | ||
| 1 | 0.6 mL | Solution A 1 |
| 2 | 1 mL | MeCN |
| 3 | 1 mL | MeCN |
| 4 | ~3.76 mg in 1 mL | Precursor for [18F]FTHA in MeCN |
| 5 | 0.35 mL | 2M KOH |
| 6 | 0.63 mL | Solution B 2 |
| Pure/Form | ||
| Bulb | 60 mL | Solution C 3 |
| Rinse | 6 mL | Solution C 3 |
| Elute | 0.8 mL | EtOH |
| Reconstitute | 3.2 mL | NaCl 0.9% |
Disclaimer/Publisher’s Note: The statements, opinions and data contained in all publications are solely those of the individual author(s) and contributor(s) and not of MDPI and/or the editor(s). MDPI and/or the editor(s) disclaim responsibility for any injury to people or property resulting from any ideas, methods, instructions or products referred to in the content. |
© 2024 by the authors. Licensee MDPI, Basel, Switzerland. This article is an open access article distributed under the terms and conditions of the Creative Commons Attribution (CC BY) license (https://creativecommons.org/licenses/by/4.0/).
Share and Cite
Ustsinau, U.; Nics, L.; Hacker, M.; Philippe, C. A Fully Automated Synthesis of 14-(R,S)-[18F]fluoro-6-thia-heptadecanoic Acid ([18F]FTHA) on the Elixys Radiosynthesizer. Pharmaceuticals 2024, 17, 318. https://doi.org/10.3390/ph17030318
Ustsinau U, Nics L, Hacker M, Philippe C. A Fully Automated Synthesis of 14-(R,S)-[18F]fluoro-6-thia-heptadecanoic Acid ([18F]FTHA) on the Elixys Radiosynthesizer. Pharmaceuticals. 2024; 17(3):318. https://doi.org/10.3390/ph17030318
Chicago/Turabian StyleUstsinau, Usevalad, Lukas Nics, Marcus Hacker, and Cecile Philippe. 2024. "A Fully Automated Synthesis of 14-(R,S)-[18F]fluoro-6-thia-heptadecanoic Acid ([18F]FTHA) on the Elixys Radiosynthesizer" Pharmaceuticals 17, no. 3: 318. https://doi.org/10.3390/ph17030318
APA StyleUstsinau, U., Nics, L., Hacker, M., & Philippe, C. (2024). A Fully Automated Synthesis of 14-(R,S)-[18F]fluoro-6-thia-heptadecanoic Acid ([18F]FTHA) on the Elixys Radiosynthesizer. Pharmaceuticals, 17(3), 318. https://doi.org/10.3390/ph17030318

