Spanlastic Nano-Vesicles: A Novel Approach to Improve the Dissolution, Bioavailability, and Pharmacokinetic Behavior of Famotidine
Abstract
1. Introduction
2. Results
2.1. Preparation of SNVs
2.2. Effect of Independent Variables on PS
2.3. Effect of Formulation Variables on PDI
2.4. Effect of Formulation Variables on ζ
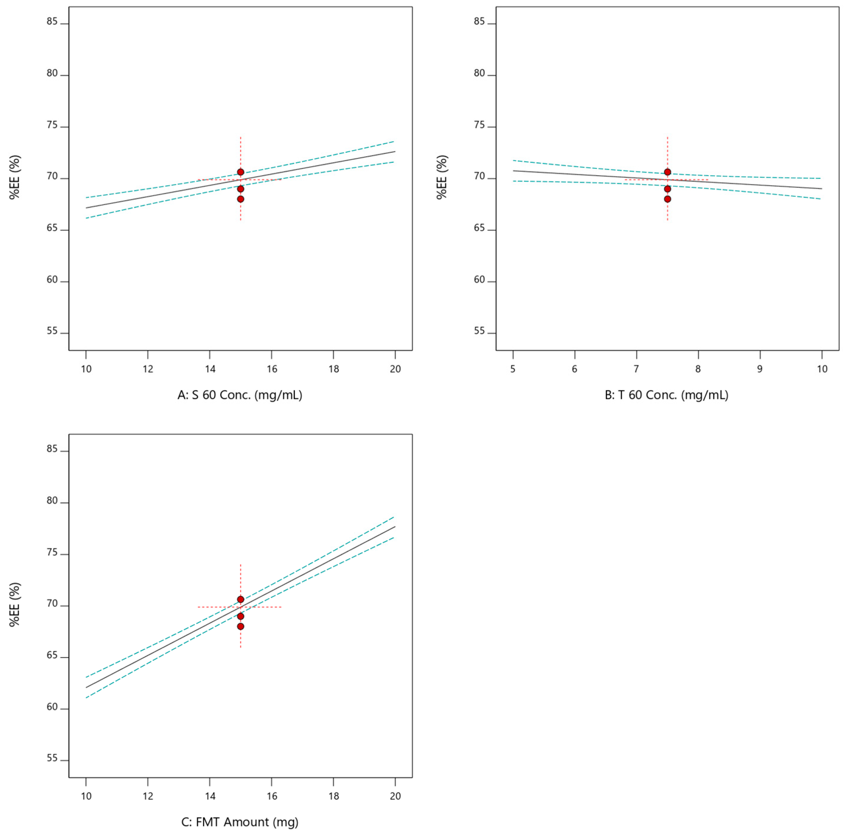
2.5. Effect of Different Formulation Variables on EE and DL
2.6. Optimization of SNV
2.7. Evaluation of Physicochemical Characteristics of FOSNV
2.7.1. Particle Size, PDI, and Zeta Potential
2.7.2. Entrapment Efficiency and Drug Loading
2.7.3. Vesicles Deformability
2.7.4. Differential Scanning Calorimetry
2.7.5. Morphological Characteristics of FOSNV
2.7.6. In Vitro Drug Release
2.8. In Vivo Pharmacokinetic Study
3. Discussion
3.1. Preparation of SNV
3.2. Effect of Formulation Variables on Particle Size
3.3. Effect of Different Variables on Poly Dispersity Index (PDI)
3.4. Effect of Different Variables on Zeta Potential (ZP)
3.5. Effect of Formulation Variables on EE and DL
3.6. Development of FOSNV Formula
3.7. FOSNV Physicochemical Characteristics
3.8. Differential Scanning Calorimetry
3.9. Morphological Characteristics of FOSNV
3.10. In Vitro Drug Release Study
3.11. In Vivo Pharmacokinetic Study
3.12. Constraints and Future Research
4. Materials and Methods
4.1. Materials
4.2. Methods
4.2.1. Preparation of SNVs
4.2.2. Experimental Design
4.2.3. Determination of Particle Size, Polydispersity Index, and Zeta Potential
4.2.4. Determination of Entrapment Efficiency and Drug Loading
4.2.5. Measurement of Spanlastic Nano-Vesicle Deformability
4.2.6. Differential Scanning Calorimetry (DSC)
4.2.7. Morphological Characterization
4.2.8. In Vitro FMT Release Study
4.2.9. Pharmacokinetic Study
Animals
Test Protocol
HPLC Quantification of FMT
Detection of Pharmacokinetic Behavior
Statistical Analysis
5. Conclusions
Author Contributions
Funding
Institutional Review Board Statement
Informed Consent Statement
Data Availability Statement
Acknowledgments
Conflicts of Interest
References
- Zhang, G.; Guan, H.; Li, J.; Li, M.; Sui, X.; Tian, B.; Dong, H.; Liu, B.; He, Z.; Li, N.; et al. Roles of Effective Stabilizers in Improving Oral Bioavailability of Naringenin Nanocrystals: Maintenance of Supersaturation Generated upon Dissolution by Inhibition of Drug Dimerization. Asian J. Pharm. Sci. 2022, 17, 741–750. [Google Scholar] [CrossRef] [PubMed]
- Chiang Yu, Y.; Lu, D.; Rege, B.; Polli, J.E. Lack of Effect of Antioxidants on Biopharmaceutics Classification System (BCS) Class III Drug Permeability. J. Pharm. Sci. 2024, 113, 2215–2222. [Google Scholar] [CrossRef] [PubMed]
- Ma, B.; Chen, H.; Gong, J.; Liu, W.; Wei, X.; Zhang, Y.; Li, X.; Li, M.; Wang, Y.; Shang, S.; et al. Enhancing Protein Solubility via Glycosylation: From Chemical Synthesis to Machine Learning Predictions. Biomacromolecules 2024, 25, 3001–3010. [Google Scholar] [CrossRef]
- Sharma, A.; Park, Y.R.; Garg, A.; Lee, B.-S. Deep Eutectic Solvents Enhancing Drug Solubility and Its Delivery. J. Med. Chem. 2024, 67, 14807–14819. [Google Scholar] [CrossRef]
- Malik, J.; Khatkar, A.; Nanda, A. A Comprehensive Insight on Pharmaceutical Co-Crystals for Improvement of Aqueous Solubility. CDT 2023, 24, 157–170. [Google Scholar] [CrossRef]
- Tanaka, Y.; Doi, H.; Katano, T.; Kasaoka, S. Effects of Lipid Digestion and Drug Permeation/Re-Dissolution on Absorption of Orally Administered Ritonavir as Different Lipid-Based Formulations. Eur. J. Pharm. Sci. 2021, 157, 105604. [Google Scholar] [CrossRef]
- Pınar, S.G.; Oktay, A.N.; Karaküçük, A.E.; Çelebi, N. Formulation Strategies of Nanosuspensions for Various Administration Routes. Pharmaceutics 2023, 15, 1520. [Google Scholar] [CrossRef] [PubMed]
- Xie, B.; Liu, Y.; Li, X.; Yang, P.; He, W. Solubilization Techniques Used for Poorly Water-Soluble Drugs. Acta Pharm. Sin. B 2024, 14, 4683–4716. [Google Scholar] [CrossRef]
- Matiyani, M.; Rana, A.; Karki, N.; Garwal, K.; Pal, M.; Sahoo, N.G. Development of Multi-Functionalized Graphene Oxide Based Nanocarrier for the Delivery of Poorly Water Soluble Anticancer Drugs. J. Drug Deliv. Sci. Technol. 2023, 83, 104412. [Google Scholar] [CrossRef]
- Markovic, M.; Zur, M.; Ragatsky, I.; Cvijić, S.; Dahan, A. BCS Class IV Oral Drugs and Absorption Windows: Regional-Dependent Intestinal Permeability of Furosemide. Pharmaceutics 2020, 12, 1175. [Google Scholar] [CrossRef]
- Vitulo, M.; Gnodi, E.; Meneveri, R.; Barisani, D. Interactions between Nanoparticles and Intestine. IJMS 2022, 23, 4339. [Google Scholar] [CrossRef] [PubMed]
- Lin, S.; Wu, F.; Cao, Z.; Liu, J. Advances in Nanomedicines for Interaction with the Intestinal Barrier. Adv. NanoBiomed Res. 2022, 2, 2100147. [Google Scholar] [CrossRef]
- Zacheo, A.; Bizzarro, L.; Blasi, L.; Piccirillo, C.; Cardone, A.; Gigli, G.; Ragusa, A.; Quarta, A. Lipid-Based Nanovesicles for Simultaneous Intracellular Delivery of Hydrophobic, Hydrophilic, and Amphiphilic Species. Front. Bioeng. Biotechnol. 2020, 8, 690. [Google Scholar] [CrossRef] [PubMed]
- Rajizadeh, M.A.; Motamedy, S.; Mir, Y.; Akhgarandouz, F.; Nematollahi, M.H.; Nezhadi, A. A Comprehensive and Updated Review on the Applications of Vesicular Drug Delivery Systems in Treatment of Brain Disorders: A Shelter against Storms. J. Drug Deliv. Sci. Technol. 2023, 89, 105011. [Google Scholar] [CrossRef]
- Barakat, E.H.; Kassem, A.M.; Ibrahim, M.F.; Elsayad, M.K.; Abdelgawad, W.Y.; Salama, A.; Alruwaili, N.K.; Alsaidan, O.A.; Elmowafy, M. Fabrication of Prostructured Spanlastics Gel for Improving Transdermal Effect of Dapagliflozin: In Vitro Characterization Studies and in Vivo Antidiabetic Activity. J. Drug Deliv. Sci. Technol. 2024, 97, 105804. [Google Scholar] [CrossRef]
- Almutairy, B.K.; Khafagy, E.-S.; Aldawsari, M.F.; Alshetaili, A.; Alotaibi, H.F.; Lila, A.S.A. Spanlastic-Laden Nanogel as a Plausible Platform for Dermal Delivery of Bimatoprost with Superior Cutaneous Deposition and Hair Regrowth Efficiency in Androgenic Alopecia. Int. J. Pharm. X 2024, 7, 100240. [Google Scholar] [CrossRef]
- Bukhary, H.A.; Hosny, K.M.; Rizg, W.Y.; Alahmadi, A.A.; Murshid, S.S.A.; Alalmaie, A.; Alamoudi, A.J.; Badr, M.Y.; Khallaf, R.A. Development, Optimization, in-Vitro, and in-Vivo Evaluation of Chitosan-Inlayed Nano-Spanlastics Encompassing Lercanidipine HCl for Enhancement of Bioavailability. J. Drug Deliv. Sci. Technol. 2024, 96, 105677. [Google Scholar] [CrossRef]
- Sayyed, M.E.; Hatem, S. Fluidized Spanlastics for Intranasal Brain Delivery of Lacosamide Aiming to Control Status Epilepticus: Design, Characterization, Ex-Vivo Permeation, Radioiodination and In-Vivo Biodistribution Studies. J. Drug Deliv. Sci. Technol. 2024, 101, 106173. [Google Scholar] [CrossRef]
- Badria, F.A.; Fayed, H.A.; Ibraheem, A.K.; State, A.F.; Mazyed, E.A. Formulation of Sodium Valproate Nanospanlastics as a Promising Approach for Drug Repurposing in the Treatment of Androgenic Alopecia. Pharmaceutics 2020, 12, 866. [Google Scholar] [CrossRef]
- Paudwal, G.; Banjare, N.; Gupta, P.N. Chapter 5—Nanovesicles for Nasal Drug Delivery. In Applications of Nanovesicular Drug Delivery; Nayak, A.K., Hasnain, M.S., Aminabhavi, T.M., Torchilin, V.P., Eds.; Academic Press: Cambridge, MA, USA, 2022; pp. 81–101. ISBN 978-0-323-91865-7. [Google Scholar]
- Mazyed, E.A.; Helal, D.A.; Elkhoudary, M.M.; Abd Elhameed, A.G.; Yasser, M. Formulation and Optimization of Nanospanlastics for Improving the Bioavailability of Green Tea Epigallocatechin Gallate. Pharmaceuticals 2021, 14, 68. [Google Scholar] [CrossRef]
- Robinson, M. Prokinetic Therapy for Gastroesophageal Reflux Disease. Am. Fam. Physician 1995, 52, 957–962, 965–966. [Google Scholar] [PubMed]
- Shin, J.M.; Sachs, G. Pharmacology of Proton Pump Inhibitors. Curr. Gastroenterol. Rep. 2008, 10, 528–534. [Google Scholar] [CrossRef] [PubMed]
- El-Dakroury, W.A.; Zewail, M.B.; Elsabahy, M.; Shabana, M.E.; Asaad, G.F. Famotidine-Loaded Solid Self-Nanoemulsifying Drug Delivery System Demonstrates Exceptional Efficiency in Amelioration of Peptic Ulcer. Int. J. Pharm. 2022, 611, 121303. [Google Scholar] [CrossRef]
- Shafique, M.; Khan, M.A.; Khan, W.S.; Maqsood-ur-Rehman, U.; Ahmad, W.; Khan, S. Fabrication, Characterization, and In Vivo Evaluation of Famotidine Loaded Solid Lipid Nanoparticles for Boosting Oral Bioavailability. J. Nanomater. 2017, 2017, e7357150. [Google Scholar] [CrossRef]
- Wang, Z.; Chow, M.S. Overview and Appraisal of the Current Concept and Technologies for Improvement of Sublingual Drug Delivery. Ther. Deliv. 2014, 5, 807–816. [Google Scholar] [CrossRef]
- Amini, M.; Reis, M.; Wide-Swensson, D. A Relative Bioavailability Study of Two Misoprostol Formulations Following a Single Oral or Sublingual Administration. Front. Pharmacol. 2020, 11, 50. [Google Scholar] [CrossRef]
- Kiran, S.; Bansal, T. Sublingual Administration of Drugs: Be Cautious. Anesth. Analg. 2016, 123, 254. [Google Scholar] [CrossRef]
- Elnahas, O.S.; Osama, R.; Abdel-Haleem, K.M.; El-Nabarawi, M.A.; Teaima, M.H.; El-Sadek, H.M.; Rezk, S.; Turkey, M.; Fayez, S.M. Integration of Levofloxacin-Loaded Spanlastics and Prednisolone into a Buccal Mucoadhesive Sponge for Combating Severe Pneumonia: In-Vitro/Ex-Vivo Assessment, qRT-PCR Analysis, and Quantification of the HMGB-1/NF-κB Signaling Pathway. J. Drug Deliv. Sci. Technol. 2024, 100, 106019. [Google Scholar] [CrossRef]
- Ghorab, D.M.; Amin, M.M.; Khowessah, O.M.; Tadros, M.I. Colon-Targeted Celecoxib-Loaded Eudragit® S100-Coated Poly-ϵ-Caprolactone Microparticles: Preparation, Characterization and in Vivo Evaluation in Rats. Drug Deliv. 2011, 18, 523–535. [Google Scholar] [CrossRef]
- Hm, A.; Ah, H.; Aa, A.; Ah, A.-R. Novel in Situ Gelling Vaginal Sponges of Sildenafil Citrate-Based Cubosomes for Uterine Targeting. Drug Deliv. 2018, 25, 1477858. [Google Scholar] [CrossRef]
- Hanna, P.A.; Al-Abbadi, H.A.; Hashem, M.A.; Mostafa, A.E.; Mahmoud, Y.K.; Ahmed, E.A.; Hegab, I.M.; Helal, I.E.; Ahmed, M.F. Development of a Novel Intramuscular Liposomal Injection for Advanced Meloxicam Delivery: Preparation, Characterization, in Vivo Pharmacokinetics, Pharmacodynamics, and Pain Assessment in an Orthopedic Pain Model. Int. J. Pharm. X 2024, 8, 100284. [Google Scholar] [CrossRef] [PubMed]
- Németh, Z.; Csóka, I.; Semnani Jazani, R.; Sipos, B.; Haspel, H.; Kozma, G.; Kónya, Z.; Dobó, D.G. Quality by Design-Driven Zeta Potential Optimisation Study of Liposomes with Charge Imparting Membrane Additives. Pharmaceutics 2022, 14, 1798. [Google Scholar] [CrossRef] [PubMed]
- Sallam, N.M.; Sanad, R.A.B.; Ahmed, M.M.; Khafagy, E.L.S.; Ghorab, M.; Gad, S. Impact of the Mucoadhesive Lyophilized Wafer Loaded with Novel Carvedilol Nano-Spanlastics on Biochemical Markers in the Heart of Spontaneously Hypertensive Rat Models. Drug Deliv. Transl. Res. 2021, 11, 1009–1036. [Google Scholar] [CrossRef]
- Rao, Y.; Zheng, F.; Zhang, X.; Gao, J.; Liang, W. In Vitro Percutaneous Permeation and Skin Accumulation of Finasteride Using Vesicular Ethosomal Carriers. AAPS PharmSciTech 2008, 9, 860–865. [Google Scholar] [CrossRef]
- Tayel, S.A.; El-Nabarawi, M.A.; Tadros, M.I.; Abd-Elsalam, W.H. Duodenum-Triggered Delivery of Pravastatin Sodium via Enteric Surface-Coated Nanovesicular Spanlastic Dispersions: Development, Characterization and Pharmacokinetic Assessments. Int. J. Pharm. 2015, 483, 77–88. [Google Scholar] [CrossRef]
- Farghaly, D.A.; Aboelwafa, A.A.; Hamza, M.Y.; Mohamed, M.I. Topical Delivery of Fenoprofen Calcium via Elastic Nano-Vesicular Spanlastics: Optimization Using Experimental Design and In Vivo Evaluation. AAPS PharmSciTech 2017, 18, 2898–2909. [Google Scholar] [CrossRef]
- Gao, Y.; Liu, J.-G. Surfactant-Dependent Contact Line Dynamics and Droplet Spreading on Textured Substrates: Derivations and Computations. Phys. D Nonlinear Phenom. 2021, 428, 133067. [Google Scholar] [CrossRef]
- Ansari, M.D.; Khan, I.; Solanki, P.; Pandit, J.; Jahan, R.N.; Aqil, M.; Sultana, Y. Fabrication and Optimization of Raloxifene Loaded Spanlastics Vesicle for Transdermal Delivery. J. Drug Deliv. Sci. Technol. 2022, 68, 103102. [Google Scholar] [CrossRef]
- Abdellatif, A.A.H.; El-Telbany, D.F.A.; Zayed, G.; Al-Sawahli, M.M. Hydrogel Containing PEG-Coated Fluconazole Nanoparticles with Enhanced Solubility and Antifungal Activity. J. Pharm. Innov. 2019, 14, 112–122. [Google Scholar] [CrossRef]
- Alaaeldin, E.; Mostafa, M.; Mansour, H.F.; Soliman, G.M. Spanlastics as an Efficient Delivery System for the Enhancement of Thymoquinone Anticancer Efficacy: Fabrication and Cytotoxic Studies against Breast Cancer Cell Lines. J. Drug Deliv. Sci. Technol. 2021, 65, 102725. [Google Scholar] [CrossRef]
- Chou, D.K.; Krishnamurthy, R.; Randolph, T.W.; Carpenter, J.F.; Manning, M.C. Effects of Tween 20® and Tween 80® on the Stability of Albutropin During Agitation. J. Pharm. Sci. 2005, 94, 1368–1381. [Google Scholar] [CrossRef]
- Elmowafy, E.; El-Gogary, R.I.; Ragai, M.H.; Nasr, M. Novel Antipsoriatic Fluidized Spanlastic Nanovesicles: In Vitro Physicochemical Characterization, Ex Vivo Cutaneous Retention and Exploratory Clinical Therapeutic Efficacy. Int. J. Pharm. 2019, 568, 118556. [Google Scholar] [CrossRef] [PubMed]
- Kakkar, S.; Kaur, I.P. Spanlastics—A Novel Nanovesicular Carrier System for Ocular Delivery. Int. J. Pharm. 2011, 413, 202–210. [Google Scholar] [CrossRef]
- Trotta, M.; Peira, E.; Debernardi, F.; Gallarate, M. Elastic Liposomes for Skin Delivery of Dipotassium Glycyrrhizinate. Int. J. Pharm. 2002, 241, 319–327. [Google Scholar] [CrossRef] [PubMed]
- Akel, H.; Ismail, R.; Katona, G.; Sabir, F.; Ambrus, R.; Csóka, I. A Comparison Study of Lipid and Polymeric Nanoparticles in the Nasal Delivery of Meloxicam: Formulation, Characterization, and in Vitro Evaluation. Int. J. Pharm. 2021, 604, 120724. [Google Scholar] [CrossRef] [PubMed]
- Xu, J.; Song, M.; Fang, Z.; Zheng, L.; Huang, X.; Liu, K. Applications and Challenges of Ultra-Small Particle Size Nanoparticles in Tumor Therapy. J. Control. Release 2023, 353, 699–712. [Google Scholar] [CrossRef]
- Garg, A.; Singh, S.; Rao, V.U.; Bindu, K.; Balasubramaniam, J. Solid State Interaction of Raloxifene HCl with Different Hydrophilic Carriers During Co-Grinding and Its Effect on Dissolution Rate. Drug Dev. Ind. Pharm. 2009, 35, 455–470. [Google Scholar] [CrossRef]
- Saleh, A.; Khalifa, M.; Shawky, S.; Bani-Ali, A.; Eassa, H. Zolmitriptan Intranasal Spanlastics for Enhanced Migraine Treatment; Formulation Parameters Optimized via Quality by Design Approach. Sci. Pharm. 2021, 89, 24. [Google Scholar] [CrossRef]
- Abdelbari, M.A.; El-mancy, S.S.; Elshafeey, A.H.; Abdelbary, A.A. Implementing Spanlastics for Improving the Ocular Delivery of Clotrimazole: In Vitro Characterization, Ex Vivo Permeability, Microbiological Assessment and In Vivo Safety Study. IJN 2021, 16, 6249–6261. [Google Scholar] [CrossRef]
- Zhao, Y.; Wang, Z.; Zhang, W.; Jiang, X. Adsorbed Tween 80 Is Unique in Its Ability to Improve the Stability of Gold Nanoparticles in Solutions of Biomolecules. Nanoscale 2010, 2, 2114–2119. [Google Scholar] [CrossRef]
- Nair, A.; Shah, J.; Al-Dhubiab, B.; Jacob, S.; Patel, S.; Venugopala, K.; Morsy, M.; Gupta, S.; Attimarad, M.; Sreeharsha, N.; et al. Clarithromycin Solid Lipid Nanoparticles for Topical Ocular Therapy: Optimization, Evaluation and In Vivo Studies. Pharmaceutics 2021, 13, 523. [Google Scholar] [CrossRef]
- Sadat, S.M.A.; Jahan, S.T.; Haddadi, A. Effects of Size and Surface Charge of Polymeric Nanoparticles on in Vitro and in Vivo Applications. JBNB 2016, 07, 91–108. [Google Scholar] [CrossRef]
- Hoshyar, N.; Gray, S.; Han, H.; Bao, G. The Effect of Nanoparticle Size on in Vivo Pharmacokinetics and Cellular Interaction. Nanomedicine 2016, 11, 673–692. [Google Scholar] [CrossRef]
- Danaei, M.; Dehghankhold, M.; Ataei, S.; Hasanzadeh Davarani, F.; Javanmard, R.; Dokhani, A.; Khorasani, S.; Mozafari, M. Impact of Particle Size and Polydispersity Index on the Clinical Applications of Lipidic Nanocarrier Systems. Pharmaceutics 2018, 10, 57. [Google Scholar] [CrossRef]
- Mok, Z.H. The Effect of Particle Size on Drug Bioavailability in Various Parts of the Body. Pharm. Sci. Adv. 2023, 2, 100031. [Google Scholar] [CrossRef]
- Abdelrahman, F.E.; Elsayed, I.; Gad, M.K.; Elshafeey, A.H.; Mohamed, M.I. Response Surface Optimization, Ex Vivo and In Vivo Investigation of Nasal Spanlastics for Bioavailability Enhancement and Brain Targeting of Risperidone. Int. J. Pharm. 2017, 530, 1–11. [Google Scholar] [CrossRef]
- Salama, H.A.; Mahmoud, A.A.; Kamel, A.O.; Abdel Hady, M.; Awad, G.A.S. Brain Delivery of Olanzapine by Intranasal Administration of Transfersomal Vesicles. J. Liposome Res. 2012, 22, 336–345. [Google Scholar] [CrossRef]
- Shamma, R.N.; Elsayed, I. Transfersomal Lyophilized Gel of Buspirone HCl: Formulation, Evaluation and Statistical Optimization. J. Liposome Res. 2013, 23, 244–254. [Google Scholar] [CrossRef]
- Wafiq Mohamed, N.; Sabry, S.A.; Mahdy, M.A.; Faisal, M.M. Tailoring of Spanlastics for Promoting Transdermal Delivery of Irbesartan: In Vitro Characterization, Ex Vivo Permeation and in Vivo Assessment. J. Drug Deliv. Sci. Technol. 2024, 100, 106088. [Google Scholar] [CrossRef]
- Fathalla, D.; Youssef, E.M.K.; Soliman, G.M. Liposomal and Ethosomal Gels for the Topical Delivery of Anthralin: Preparation, Comparative Evaluation and Clinical Assessment in Psoriatic Patients. Pharmaceutics 2020, 12, 446. [Google Scholar] [CrossRef] [PubMed]
- Stavras, F.-M.; Partheniadis, I.; Nikolakakis, I. Formulation of Taste-Masked Orodispersible Famotidine Tablets by Sequential Spray Drying and Direct Compression—Bitterness Evaluation. J. Drug Deliv. Sci. Technol. 2023, 81, 104290. [Google Scholar] [CrossRef]
- Siepmann, J.; Siepmann, F. Mathematical Modeling of Drug Delivery. Int. J. Pharm. 2008, 364, 328–343. [Google Scholar] [CrossRef]
- Wu, I.Y.; Bala, S.; Škalko-Basnet, N.; di Cagno, M.P. Interpreting Non-Linear Drug Diffusion Data: Utilizing Korsmeyer-Peppas Model to Study Drug Release from Liposomes. Eur. J. Pharm. Sci. 2019, 138, 105026. [Google Scholar] [CrossRef]
- Wang, W.-X.; Feng, S.-S.; Zheng, C.-H. A Comparison between Conventional Liposome and Drug-Cyclodextrin Complex in Liposome System. Int. J. Pharm. 2016, 513, 387–392. [Google Scholar] [CrossRef]
- Jain, A.; Jain, S.K. In Vitro Release Kinetics Model Fitting of Liposomes: An Insight. Chem. Phys. Lipids 2016, 201, 28–40. [Google Scholar] [CrossRef]
- Haghiralsadat, F.; Amoabediny, G.; Helder, M.N.; Naderinezhad, S.; Sheikhha, M.H.; Forouzanfar, T.; Zandieh-Doulabi, B. A Comprehensive Mathematical Model of Drug Release Kinetics from Nano-Liposomes, Derived from Optimization Studies of Cationic PEGylated Liposomal Doxorubicin Formulations for Drug-Gene Delivery. Artif. Cells Nanomed. Biotechnol. 2018, 46, 169–177. [Google Scholar] [CrossRef]
- Al-mahallawi, A.M.; Khowessah, O.M.; Shoukri, R.A. Enhanced Non Invasive Trans-Tympanic Delivery of Ciprofloxacin through Encapsulation into Nano-Spanlastic Vesicles: Fabrication, in-Vitro Characterization, and Comparative Ex-Vivo Permeation Studies. Int. J. Pharm. 2017, 522, 157–164. [Google Scholar] [CrossRef]
- Magdy, M.; Elmowafy, E.; Elassal, M.; Ishak, R.A.H. Glycerospanlastics: State-of-the-Art Two-in-One Nano-Vesicles for Boosting Ear Drug Delivery in Otitis Media Treatment. Int. J. Pharm. 2023, 645, 123406. [Google Scholar] [CrossRef]
- Rathod, S.; Arya, S.; Shukla, R.; Ray, D.; Aswal, V.K.; Bahadur, P.; Tiwari, S. Investigations on the Role of Edge Activator upon Structural Transitions in Span Vesicles. Colloids Surf. A Physicochem. Eng. Asp. 2021, 627, 127246. [Google Scholar] [CrossRef]
- Lin, J.H.; Los, L.E.; Ulm, E.H.; Duggan, D.E. Urinary Excretion Kinetics of Famotidine in Rats. Drug Metab. Dispos. 1987, 15, 212–216. [Google Scholar]
- Chen, C.; Lavezzi, S.M.; Iavarone, L. The Area under the Effect Curve as an Efficacy Determinant for Anti-infectives. CPT Pharmacomet. Syst. Pharmacol. 2022, 11, 1029–1044. [Google Scholar] [CrossRef]
- Giordani, B.; Abruzzo, A.; Prata, C.; Nicoletta, F.P.; Dalena, F.; Cerchiara, T.; Luppi, B.; Bigucci, F. Ondansetron Buccal Administration for Paediatric Use: A Comparison between Films and Wafers. Int. J. Pharm. 2020, 580, 119228. [Google Scholar] [CrossRef]
- Pereira, L.M.S.; Milan, T.M.; Tapia-Blácido, D.R. Using Response Surface Methodology (RSM) to Optimize 2G Bioethanol Production: A Review. Biomass Bioenergy 2021, 151, 106166. [Google Scholar] [CrossRef]
- Hanna, P.A.; Ghorab, M.M.; Gad, S. Development of Betamethasone Dipropionate-Loaded Nanostructured Lipid Carriers for Topical and Transdermal Delivery. AIAAMC 2019, 18, 26–44. [Google Scholar] [CrossRef]
- Abd-Elal, R.M.A.; Shamma, R.N.; Rashed, H.M.; Bendas, E.R. Trans-Nasal Zolmitriptan Novasomes: In-Vitro Preparation, Optimization and in-Vivo Evaluation of Brain Targeting Efficiency. Drug Deliv. 2016, 23, 3374–3386. [Google Scholar] [CrossRef]
- Elewa, M.; Shehda, M.; Hanna, P.A.; Said, M.M.; Ramadan, S.; Barakat, A.; Abdel Aziz, Y.M. Development of a Selective COX-2 Inhibitor: From Synthesis to Enhanced Efficacy via Nano-Formulation. RSC Adv. 2024, 14, 32721–32732. [Google Scholar] [CrossRef]
- Bharati, S.; Gaikwad, V.; Pawar, A.; Chellampillai, B. Investigation of a Biopolymer-Based pH-Responsive and Sustained Release Raft-Gel-Forming Tablet of Famotidine: In-Vitro, Ex-Vivo, Bioavailability and Anti-Ulcer Evaluation in New Zealand Albino Rabbit. J. Drug Deliv. Sci. Technol. 2023, 86, 104649. [Google Scholar] [CrossRef]









| F Code | PS (nm) | PDI | ζ (mV) | EE (%) | DL (%) |
|---|---|---|---|---|---|
| F1 | 185.17 ± 4.01 | 0.491 ± 0.01 | −33.77 ± 0.12 | 71.62 ± 0.66 | 3.46 ± 0.03 |
| F2 | 247.50 ± 0.66 | 0.435 ± 0.01 | −36.17 ± 0.84 | 76.14 ± 0.32 | 5.74 ± 0.02 |
| F3 | 217.97 ± 9.06 | 0.454 ± 0.05 | −35.93 ± 3.33 | 75.85 ± 0.86 | 7.98 ± 0.08 |
| F4 | 259.13 ± 9.48 | 0.409 ± 0.00 | −39.50 ± 1.31 | 77.43 ± 0.60 | 7.19 ± 0.05 |
| F5 | 89.04 ± 0.57 | 0.384 ± 0.02 | −24.83 ± 3.99 | 59.37 ± 1.84 | 3.28 ± 0.10 |
| F6 | 163.33 ± 4.61 | 0.447 ± 0.01 | −34.53 ± 2.61 | 70.64 ± 0.55 | 4.50 ± 0.03 |
| F7 | 153.43 ± 1.40 | 0.378 ± 0.03 | −28.53 ± 0.40 | 68.69 ± 0.87 | 6.43 ± 0.08 |
| F8 | 112.37 ± 1.30 | 0.375 ± 0.04 | −28.07 ± 0.80 | 65.03 ± 1.58 | 2.31 ± 0.05 |
| F9 | 164.63 ± 4.57 | 0.442 ± 0.02 | −33.33 ± 1.87 | 68.02 ± 0.80 | 4.34 ± 0.05 |
| F10 | 133.60 ± 5.82 | 0.359 ± 0.04 | −28.3 ± 1.51 | 66.33 ± 1.03 | 4.74 ± 0.07 |
| F11 | 163.63 ± 0.35 | 0.428 ± 0.02 | −29.13 ± 1.05 | 69.00 ± 0.68 | 4.40 ± 0.04 |
| F12 | 282.20 ± 6.22 | 0.493 ± 0.03 | −39.77 ± 0.77 | 82.32 ± 1.74 | 5.65 ± 0.11 |
| F13 | 190.47 ± 4.36 | 0.346 ± 0.02 | −35.20 ± 1.10 | 73.14 ± 0.69 | 4.20 ± 0.04 |
| F14 | 100.00 ± 0.20 | 0.373 ± 0.01 | −26.00 ± 2.43 | 61.52 ± 1.20 | 2.40 ± 0.05 |
| F15 | 106.63 ± 2.40 | 0.389 ± 001 | −27.53 ± 1.63 | 63.30 ± 1.65 | 3.07 ± 0.08 |
| Characteristic | Predicted | Observed | Relative Error (%) |
|---|---|---|---|
| PS (nm) | 156.71 | 170.58 ± 4.48 | 8.85 |
| PDI | 0.405 | 0.368 ± 0.04 | 10.05 |
| ζ (mV) | −30.93 | −30.82 ± 1.95 | 0.36 |
| EE (%) | 68.91 | 68.89 ± 0.48 | 0.03 |
| DL (%) | 6.13 | 6.07 ± 0.04 | 0.98 |
| Deformability | - | 8.26 ± 0.18 | - |
| Pharmacokinetic Parameter | FMT Suspension | FOSNV |
|---|---|---|
| Cmax (µg/mL) * | 2.394 ± 0.025 | 2.845 ± 0.151 |
| Tmax (h) * | 2.000 ± 0.000 | 4.000 ± 0.000 |
| AUC0–24 (μg/mL.h) * | 36.447 ± 0.821 | 41.581 ± 0.765 |
| Fre (%) * | - | 114.086 |
| Independent Variables (Factors) | Levels | Units | ||
|---|---|---|---|---|
| Low (−1) | Medium (0) | High (+1) | ||
| X1: Span 60 concentration | 10 | 15 | 20 | mg/mL |
| X2: Tween 60 concentration | 5 | 7.5 | 10 | mg/mL |
| X3: FMT amount | 10 | 15 | 20 | mg |
| Dependent variables (Responses) | Units | Desirability Constraints | ||
| Y1: Particle size (PS) | nm | Minimize | ||
| Y2: Polydispersity index (PDI) | Minimize | |||
| Y3: Zeta potential (ζ) | mV | Maximize | ||
| Y2: Entrapment efficiency (EE) | % | Maximize | ||
| Y4: Drug loading (DL) | % | Maximize | ||
| Formulation Code | Independent Variables | ||
|---|---|---|---|
| Span 60 Concentration (mg/mL) | Tween 60 Concentration (mg/mL) | FMT Amount (mg) | |
| F1 | 20 | 10 | 15 |
| F2 | 15 | 10 | 20 |
| F3 | 10 | 7.5 | 20 |
| F4 | 15 | 5 | 20 |
| F5 | 10 | 7.5 | 10 |
| F6 | 15 | 7.5 | 15 |
| F7 | 10 | 5 | 15 |
| F8 | 20 | 7.5 | 10 |
| F9 | 15 | 7.5 | 15 |
| F10 | 10 | 10 | 15 |
| F11 | 15 | 7.5 | 15 |
| F12 | 20 | 7.5 | 20 |
| F13 | 20 | 5 | 15 |
| F14 | 15 | 10 | 10 |
| F15 | 15 | 5 | 10 |
Disclaimer/Publisher’s Note: The statements, opinions and data contained in all publications are solely those of the individual author(s) and contributor(s) and not of MDPI and/or the editor(s). MDPI and/or the editor(s) disclaim responsibility for any injury to people or property resulting from any ideas, methods, instructions or products referred to in the content. |
© 2024 by the authors. Licensee MDPI, Basel, Switzerland. This article is an open access article distributed under the terms and conditions of the Creative Commons Attribution (CC BY) license (https://creativecommons.org/licenses/by/4.0/).
Share and Cite
Almohamady, H.I.; Mortagi, Y.; Gad, S.; Zaitone, S.; Alshaman, R.; Alattar, A.; Alanazi, F.E.; Hanna, P.A. Spanlastic Nano-Vesicles: A Novel Approach to Improve the Dissolution, Bioavailability, and Pharmacokinetic Behavior of Famotidine. Pharmaceuticals 2024, 17, 1614. https://doi.org/10.3390/ph17121614
Almohamady HI, Mortagi Y, Gad S, Zaitone S, Alshaman R, Alattar A, Alanazi FE, Hanna PA. Spanlastic Nano-Vesicles: A Novel Approach to Improve the Dissolution, Bioavailability, and Pharmacokinetic Behavior of Famotidine. Pharmaceuticals. 2024; 17(12):1614. https://doi.org/10.3390/ph17121614
Chicago/Turabian StyleAlmohamady, Hend I., Yasmin Mortagi, Shadeed Gad, Sawsan Zaitone, Reem Alshaman, Abdullah Alattar, Fawaz E. Alanazi, and Pierre A. Hanna. 2024. "Spanlastic Nano-Vesicles: A Novel Approach to Improve the Dissolution, Bioavailability, and Pharmacokinetic Behavior of Famotidine" Pharmaceuticals 17, no. 12: 1614. https://doi.org/10.3390/ph17121614
APA StyleAlmohamady, H. I., Mortagi, Y., Gad, S., Zaitone, S., Alshaman, R., Alattar, A., Alanazi, F. E., & Hanna, P. A. (2024). Spanlastic Nano-Vesicles: A Novel Approach to Improve the Dissolution, Bioavailability, and Pharmacokinetic Behavior of Famotidine. Pharmaceuticals, 17(12), 1614. https://doi.org/10.3390/ph17121614

