In Silico Evaluation of Some Computer-Designed Fluoroquinolone–Glutamic Acid Hybrids as Potential Topoisomerase II Inhibitors with Anti-Cancer Effect
Abstract
1. Introduction
1.1. Type II Topoisomerase Function and Topoisomerase II Inhibitors Used in Therapy
1.2. Activity of FQs on Type II Topoisomerase: FQs as Anti-Cancer Agents
1.3. FQ Hybrids with Different Compounds and Their Biological Effects
1.4. Structure–Activity Relationship Among FQs
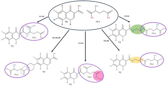
1.5. Design of Glutamic Acid Hybrids with FQs
2. Results
2.1. Evaluation of the Tanimoto Coefficient Using Etoposide as a Reference Compound. Prediction of Physicochemical, Pharmacokinetic, and Structural Properties, Biological Behaviour, Anti-Cancer Activity, and Toxicological Profile
- Table S4 presents the SMILES string, IUPAC name, InChI string, and InChI key (Biovia Draw, v 21.1), and Table S5 offers information regarding the water solubility of the compounds (according to Aquasol, v 2.0 and SwissADME platforms). Table S6 presents the pKa score, isoelectric point, molar polarizability, and best conformation for each hybrid (E min) assessed with MarvinSketch;
- Tables S7 and S8 complete the information regarding the bioactivity: the mechanisms of action and the adverse/toxic effects were assessed with the PASS Online platform (Table S7), and the most probable cancer cell lines for which compounds exhibited cytotoxicity (CLC-Pred platform) (Table S8). Also, the programme Toxtree, v 3.1.0.1851 and the platform SmartCyp, v 3.0 were used to characterise the metabolic behaviour of the compounds (Tables S9 and S10);
- The characterisation of the compounds regarding the multiple toxicity aspects described in Table 9 was completed with the information from Tables S11–S15, as follows: the acute toxicity in rodents when administered intraperitoneally, intravenously, orally, and subcutaneously—LD50 in mg/kg (Table S11); the acute toxicity in rodents—the classification of chemicals by the OECD Project (Table S12); the toxicity according to Cramer’s rule, Kroes TTC, and the Verhaar scheme, assessed with the Toxtree programme (Table S13); the carcinogenic (genotoxic and non-genotoxic) and mutagenic effects evaluated using Toxtree and Osiris Property Explorer (Table S14); the irritant/corrosive effect on the skin and eyes; the effect on the reproductive system; the biodegradability; and the protein and DNA binding alerts, assessed using Toxtree and Osiris Property Explorer (Table S15).
2.2. Self-Docking Results
2.3. Docking Results
3. Discussion
3.1. Tanimoto Coefficient. Physicochemical Properties
3.2. Pharmacokinetic Properties, Drug-Likeness, and Lead-Likeness
3.3. Bioactivity and Anti-Cancer Potential
3.4. Toxicity and Adverse Effects
- According to Kroes TTC, although the hybrids are not expected to represent a safety concern, the Toxtree programme indicated to verify the potential genotoxic carcinogenicity—the same programme (Toxtree) permits evaluating genotoxic carcinogenicity, and negative results were found for all the hybrids;
- Both Toxtree and Osiris Property Explorer assessed the mutagenicity, and there was a consensus between the results for all the hybrids except for the hydroxamic acid derivatives;
- Regarding producing irritation or corrosion, both Toxtree and Osiris Property Explorer offered negative results;
- Even if, according to Cramer’s rule, the hybrids were classified as having high toxicity, the same result obtained for FQ did not necessarily indicate a safety concern, especially since, according to the Verhaar scheme, they could not be classified as not offering a relevant result for the study; we consider that the results predicted with PASS Online could be more pertinent, which is more specific on which are the most probable adverse/toxic effects that may occur.
3.5. Self-Docking of Etoposide and Docking of the Hybrids to Human Topoisomerase II Beta-DNA Complex
3.6. The Hybrid with the Most Promising Predicted Properties. Our Proposal for Its Synthesis
- The higher Tc;
- Although both of them had high similarity for physicochemical properties with etoposide, MF-7-GLA had closer values to the reference compound for some parameters (Csp3 fraction, MR, H-bond donors, geometric span);
- Better score for the enzyme inhibitory capacity (Molinspiration);
- The best Pa for topoisomerase inhibitory activity among all the hybrids (PASS Online);
- Although OF-3-EDA-GLA had a better predicted Fitted Score, and a lower ΔG obtained with AutoDock Vina, the values for MF-7-GLA were very close to the ones of the OF derivative. Also, MF-7-GLA had a lower ΔG than OF-3-EDA-GLA, according to AutoDock.
4. Materials and Methods
4.1. Design of the Hybrids
- Class FQ-3-GLA/Class A: Hybrids in which GLA was linked to the FQs carboxyl group (position 3) through the amino group (amide bond) (hybrids A1–A6);
- Class FQ-7-GLA/Class B: Hybrids in which GLA was linked via the carboxyl group (gamma position) to the nitrogen atom of the heterocycle in position 7 of the FQs—for CF (hybrid B1), NF (hybrid B2), and MF (hybrid B6);
- Class FQ-3-GLA-HA/Class C: Hybrids in which GLA was linked to the FQs carboxyl group (position 3) through the amino group (amide bond), with a hydroxamic acid functional group (HA) in the gamma position of GLA (hybrids C1–C6);
- Class FQ-3-EA-GLA/Class D: Hybrids in which GLA (the carboxyl group in the gamma position) was linked to the FQs carboxyl group (position 3) through an ethanolamine (EA) bridge (hybrids D1–D6);
- Class FQ-3-EDA-GLA/Class E: Hybrids in which GLA (the carboxyl group in the gamma position) was linked to the FQs carboxyl group (position 3) through an ethylenediamine (EDA) bridge (hybrids E1–E6).
4.2. Prediction of Physicochemical, Pharmacokinetic, and Structural Properties, Biological Behaviour, Anti-Cancer Activity, and Toxicological Profile. The Tanimoto Coefficient
4.3. Self-Docking and Docking Study
5. Conclusions
6. Limitations
- One of the aspects that we consider a limitation of this study is that some of the platforms or programmes did not make the difference between optical isomers. As a result, some variations in the predicted properties could exist for some hybrids;
- Another limitation is the difficulties in correlating the predictions obtained for different properties in order to select a potential lead compound; this aspect derives from the fact that there was not a single hybrid that presented the most favourable results for all the estimated properties, making the selection process of the most promising hybrids more difficult.
Supplementary Materials
Author Contributions
Funding
Institutional Review Board Statement
Informed Consent Statement
Data Availability Statement
Acknowledgments
Conflicts of Interest
Abbreviations
| ACN | Acetonitrile |
| ADME | Absorption, distribution, metabolism, and excretion |
| HAA | Heavy aromatic atoms |
| HB | Hydrogen bonding |
| BBB | Blood–brain barrier |
| BD | Bioavailability |
| CLC-Pred | Cell line cytotoxicity predictor |
| CF | Ciprofloxacin |
| CNS MPO | Central Nervous System Multiparameter Optimization |
| D | Desolvation |
| DMF | Dimethylformamide |
| ECFP | Extended connectivity fingerprint |
| El | Electrostatic |
| FQs | Fluoroquinolones |
| GLA | Glutamic acid |
| GPCR | G-protein-coupled receptor |
| GUSAR | General unrestricted Structure–activity relationships |
| HA | Heavy atoms |
| HLB | Hydrophilic lipophilic balance |
| LD50 | Lethal dose 50 |
| LF | Levofloxacin |
| MACCS | Molecular access system |
| MF | Moxifloxacin |
| MR | Molar refractivity |
| MW | Molecular weight |
| N.C. | Number of conformations |
| NF | Norfloxacin |
| OECD | Organisation for Economic Cooperation and Development |
| OF | Ofloxacin |
| Pa | Probability to be active |
| PASS | Prediction of Activity Spectrafor Substances |
| PDB | Protein Data Bank |
| PF | Pefloxacin |
| P-gp | P-glycoprotein |
| Pi | Probability to be inactive |
| Py | Pyridine |
| RB | Rotatable bonds |
| RMSD | Root mean square deviation |
| SA | Synthetic accessibility |
| Tc | Tanimoto coefficient |
| TPSA | Topological polar surface area |
| TTC | Threshold of toxicological concern |
| vdW | van der Waals |
References
- Yadav, V.; Talwar, P. Repositioning of Fluoroquinolones from Antibiotic to Anti-Cancer Agents: An Underestimated Truth. Biomed. Pharmacother. 2019, 111, 934–946. [Google Scholar] [CrossRef] [PubMed]
- Aranha, O.; Grignon, R.; Fernandes, N.; McDonnell, T.; Wood, D.; Sarkar, F. Suppression of Human Prostate Cancer Cell Growth by Ciprofloxacin Is Associated with Cell Cycle Arrest and Apoptosis. Int. J. Oncol. 2003, 22, 787–794. [Google Scholar] [CrossRef] [PubMed]
- Aranha, O.; Wood, D.P.; Sarkar, F.H. Ciprofloxacin Mediated Cell Growth Inhibition, S/G2-M Cell Cycle Arrest, and Apoptosis in a Human Transitional Cell Carcinoma of the Bladder Cell Line. Clin. Cancer Res. 2000, 6, 891–900. [Google Scholar]
- Perucca, P.; Savio, M.; Cazzalini, O.; Mocchi, R.; Maccario, C.; Sommatis, S.; Ferraro, D.; Pizzala, R.; Pretali, L.; Fasani, E.; et al. Structure–Activity Relationship and Role of Oxygen in the Potential Antitumour Activity of Fluoroquinolones in Human Epithelial Cancer Cells. J. Photochem. Photobiol. B Biol. 2014, 140, 57–68. [Google Scholar] [CrossRef]
- Morgan, D.O. Principles of CDK Regulation. Nature 1995, 374, 131–134. [Google Scholar] [CrossRef]
- Peinado, H.; Portillo, F.; Cano, A. Transcriptional Regulation of Cadherins during Development and Carcinogenesis. Int. J. Dev. Biol. 2004, 48, 365–375. [Google Scholar] [CrossRef]
- Iwatsuki, M.; Mimori, K.; Yokobori, T.; Ishi, H.; Beppu, T.; Nakamori, S.; Baba, H.; Mori, M. Epithelial-Mesenchymal Transition in Cancer Development and Its Clinical Significance. Cancer Sci. 2010, 101, 293–299. [Google Scholar] [CrossRef]
- Gong, J.-H.; Liu, X.-J.; Shang, B.-Y.; Chen, S.-Z.; Zhen, Y.-S. HERG K+ Channel Related Chemosensitivity to Sparfloxacin in Colon Cancer Cells. Oncol. Rep. 2010, 23, 1747–1756. [Google Scholar] [CrossRef]
- Chen, T.-C.; Hsu, Y.-L.; Tsai, Y.-C.; Chang, Y.-W.; Kuo, P.-L.; Chen, Y.-H. Gemifloxacin Inhibits Migration and Invasion and Induces Mesenchymal–Epithelial Transition in Human Breast Adenocarcinoma Cells. J. Mol. Med. 2014, 92, 53–64. [Google Scholar] [CrossRef]
- AbuBaih, R.; Fawzy, M.; Nazmy, M. The Prospective Potential of Fluoroquinolones as Anticancer Agents. J. Mod. Res. 2023, 5, 4–10. [Google Scholar] [CrossRef]
- Shan, G.; Li, Y.; Zhang, J.; Li, W.; Szulwach, K.E.; Duan, R.; Faghihi, M.A.; Khalil, A.M.; Lu, L.; Paroo, Z.; et al. A Small Molecule Enhances RNA Interference and Promotes MicroRNA Processing. Nat. Biotechnol. 2008, 26, 933–940. [Google Scholar] [CrossRef] [PubMed]
- Valianatos, G.; Valcikova, B.; Growkova, K.; Verlande, A.; Mlcochova, J.; Radova, L.; Stetkova, M.; Vyhnakova, M.; Slaby, O.; Uldrijan, S. A Small Molecule Drug Promoting MiRNA Processing Induces Alternative Splicing of MdmX Transcript and Rescues P53 Activity in Human Cancer Cells Overexpressing MdmX Protein. PLoS ONE 2017, 12, e0185801. [Google Scholar] [CrossRef] [PubMed]
- Sissi, C.; Palumbo, M. The Quinolone Family: From Antibacterial to Anticancer Agents. CMCACA 2003, 3, 439–450. [Google Scholar] [CrossRef] [PubMed]
- Bourikas, L.A.; Kolios, G.; Valatas, V.; Notas, G.; Drygiannakis, I.; Pelagiadis, I.; Manousou, P.; Klironomos, S.; Mouzas, I.A.; Kouroumalis, E. Ciprofloxacin Decreases Survival in HT-29 Cells via the Induction of TGF-Β1 Secretion and Enhances the Anti-Proliferative Effect of 5-Fluorouracil. Br. J. Pharmacol. 2009, 157, 362–370. [Google Scholar] [CrossRef]
- Herold, C.; Ocker, M.; Ganslmayer, M.; Gerauer, H.; Hahn, E.G.; Schuppan, D. Ciprofloxacin Induces Apoptosis and Inhibits Proliferation of Human Colorectal Carcinoma Cells. Br. J. Cancer 2002, 86, 443–448. [Google Scholar] [CrossRef]
- Sun, J.; Shi, Z.; Liu, S.; Kang, Y.; Hu, G.; Huangfu, C.; Deng, J.; Liu, B. Trimethoxy-Benzaldehyde Levofloxacin Hydrazone Inducing the Growth Arrest and Apoptosis of Human Hepatocarcinoma Cells. Cancer Cell Int. 2013, 13, 67. [Google Scholar] [CrossRef]
- Abdel-Aal, M.A.A.; Abdel-Aziz, S.A.; Shaykoon, M.S.A.; Abuo-Rahma, G.E.A. Towards Anticancer Fluoroquinolones: A Review Article. Arch. Pharm. Chem. Life Sci. 2019, 352, 1800376. [Google Scholar] [CrossRef]
- Herrero-Ruiz, A.; Martínez-García, P.M.; Terrón-Bautista, J.; Millán-Zambrano, G.; Lieberman, J.A.; Jimeno-González, S.; Cortés-Ledesma, F. Topoisomerase IIα Represses Transcription by Enforcing Promoter-Proximal Pausing. Cell Rep. 2021, 35, 108977. [Google Scholar] [CrossRef]
- Matias-Barrios, V.M.; Dong, X. The Implication of Topoisomerase II Inhibitors in Synthetic Lethality for Cancer Therapy. Pharmaceuticals 2023, 16, 94. [Google Scholar] [CrossRef]
- Swedan, H.K.; Kassab, A.E.; Gedawy, E.M.; Elmeligie, S.E. Design, Synthesis, and Biological Evaluation of Novel Ciprofloxacin Derivatives as Potential Anticancer Agents Targeting Topoisomerase II Enzyme. J. Enzym. Inhib. Med. Chem. 2023, 38, 118–137. [Google Scholar] [CrossRef]
- Swedan, H.K.; Kassab, A.E.; Gedawy, E.M.; Elmeligie, S.E. Topoisomerase II Inhibitors Design: Early Studies and New Perspectives. Bioorg. Chem. 2023, 136, 106548. [Google Scholar] [CrossRef] [PubMed]
- Gao, Y.; Shang, Q.; Li, W.; Guo, W.; Stojadinovic, A.; Mannion, C.; Man, Y.; Chen, T. Antibiotics for Cancer Treatment: A Double-Edged Sword. J. Cancer 2020, 11, 5135–5149. [Google Scholar] [CrossRef] [PubMed]
- Elanany, M.A.; Osman, E.E.A.; Gedawy, E.M.; Abou-Seri, S.M. Design and Synthesis of Novel Cytotoxic Fluoroquinolone Analogs through Topoisomerase Inhibition, Cell Cycle Arrest, and Apoptosis. Sci. Rep. 2023, 13, 4144. [Google Scholar] [CrossRef] [PubMed]
- Żabka, A.; Winnicki, K.; Polit, J.T.; Maszewski, J. The Effects of Anti-DNA Topoisomerase II Drugs, Etoposide and Ellipticine, Are Modified in Root Meristem Cells of Allium Cepa by MG132, an Inhibitor of 26S Proteasomes. Plant Physiol. Biochem. 2015, 96, 72–82. [Google Scholar] [CrossRef]
- DrugBank Online. Mitoxantrone. Available online: https://go.drugbank.com/drugs/DB01204 (accessed on 10 May 2024).
- Christowitz, C.; Davis, T.; Isaacs, A.; Van Niekerk, G.; Hattingh, S.; Engelbrecht, A.-M. Mechanisms of Doxorubicin-Induced Drug Resistance and Drug Resistant Tumour Growth in a Murine Breast Tumour Model. BMC Cancer 2019, 19, 757. [Google Scholar] [CrossRef]
- Thorn, C.F.; Oshiro, C.; Marsh, S.; Hernandez-Boussard, T.; McLeod, H.; Klein, T.E.; Altman, R.B. Doxorubicin Pathways: Pharmacodynamics and Adverse Effects. Pharmacogenet. Genom. 2011, 21, 440–446. [Google Scholar] [CrossRef]
- Khasraw, M.; Bell, R.; Dang, C. Epirubicin: Is It like Doxorubicin in Breast Cancer? A Clinical Review. Breast 2012, 21, 142–149. [Google Scholar] [CrossRef]
- Shan, B.-J.; Shen, X.-B.; Jin, W.; Dong, M.-H.; Han, X.-H.; Lin, L.; Chen, J.; Huang, D.-B.; Qian, J.; Zhang, J.-J.; et al. Standard-Dose Epirubicin Increases the Pathological Complete Response Rate in Neoadjuvant Chemotherapy for Breast Cancer: A Multicenter Retrospective Study. Gland Surg. 2020, 9, 1026–1035. [Google Scholar] [CrossRef]
- Qashou, E.; Al-Hiari, Y.; Kasabri, V.; AlBashiti, R.; AlAlawi, S.; Telfah, A.; AlHadid, A. Antiproliferative Activities of Lipophililic Fluoroquinolones- Based Scaffold Against a Panel of Solid and Liquid Cancer Cell Lines. Asian Pac. J. Cancer Prev. 2022, 23, 1529–1537. [Google Scholar] [CrossRef]
- Salih, M.; Al-Hiari, Y.; Kasabri, V.; Darwish, R.; Abumansour, H.; Bourghli, L.; Al Alawi, S.; Albashiti, R. Newly Substituted Anilino-Fluoroquinolones with Proliferation Inhibition Potential against a Panel of Cancer Cell Lines. Asian Pac. J. Cancer Prev. 2022, 23, 2507–2521. [Google Scholar] [CrossRef]
- DrugBank Online. Etoposide. Available online: https://go.drugbank.com/drugs/DB00773 (accessed on 10 May 2024).
- DrugBank Online. Teniposide. Available online: https://go.drugbank.com/drugs/DB00444 (accessed on 10 May 2024).
- DrugBank Online. Amsacrine. Available online: https://go.drugbank.com/drugs/DB00276 (accessed on 10 May 2024).
- Hevener, K.; Verstak, T.A.; Lutat, K.E.; Riggsbee, D.L.; Mooney, J.W. Recent Developments in Topoisomerase-Targeted Cancer Chemotherapy. Acta Pharm. Sin. B 2018, 8, 844–861. [Google Scholar] [CrossRef] [PubMed]
- Spallarossa, A.; Lusardi, M.; Caneva, C.; Profumo, A.; Rosano, C.; Ponassi, M. Bicyclic Basic Merbarone Analogues as Antiproliferative Agents. Molecules 2021, 26, 557. [Google Scholar] [CrossRef] [PubMed]
- Sharma, P.C.; Goyal, R.; Sharma, A.; Sharma, D.; Saini, N.; Rajak, H.; Sharma, S.; Thakur, V.K. Insights on Fluoroquinolones in Cancer Therapy: Chemistry and Recent Developments. Mater. Today Chem. 2020, 17, 100296. [Google Scholar] [CrossRef]
- Abdel-Aziz, M.; Park, S.-E.; Abuo-Rahma, G.E.-D.A.A.; Sayed, M.A.; Kwon, Y. Novel N-4-Piperazinyl-Ciprofloxacin-Chalcone Hybrids: Synthesis, Physicochemical Properties, Anticancer and Topoisomerase I and II Inhibitory Activity. Eur. J. Med. Chem. 2013, 69, 427–438. [Google Scholar] [CrossRef]
- Kloskowski, T.; Olkowska, J.; Nazlica, A.; Drewa, T. The Influence of Ciprofloxacin on Hamster Ovarian Cancer Cell Line CHO AA8. Acta Pol. Pharm. 2010, 67, 345–349. [Google Scholar]
- Fan, M.; Chen, S.; Weng, Y.; Li, X.; Jiang, Y.; Wang, X.; Bie, M.; An, L.; Zhang, M.; Chen, B.; et al. Ciprofloxacin Promotes Polarization of CD86+CD206- Macrophages to Suppress Liver Cancer. Oncol. Rep. 2020, 44, 91–102. [Google Scholar] [CrossRef]
- Beberok, A.; Wrześniok, D.; Minecka, A.; Rok, J.; Delijewski, M.; Rzepka, Z.; Respondek, M.; Buszman, E. Ciprofloxacin-Mediated Induction of S-Phase Cell Cycle Arrest and Apoptosis in COLO829 Melanoma Cells. Pharmacol. Rep. 2018, 70, 6–13. [Google Scholar] [CrossRef]
- Kloskowski, T.; Gurtowska, N.; Olkowska, J.; Nowak, J.M.; Adamowicz, J.; Tworkiewicz, J.; Dębski, R.; Grzanka, A.; Drewa, T. Ciprofloxacin Is a Potential Topoisomerase II Inhibitor for the Treatment of NSCLC. Int. J. Oncol. 2012, 41, 1943–1949. [Google Scholar] [CrossRef]
- Beberok, A.; Wrześniok, D.; Rok, J.; Rzepka, Z.; Respondek, M.; Buszman, E.; Beberok, A.; Wrześniok, D.; Rok, J.; Rzepka, Z.; et al. Ciprofloxacin Triggers the Apoptosis of Human Triple-Negative Breast Cancer MDA-MB-231 Cells via the P53/Bax/Bcl-2 Signaling Pathway. Int. J. Oncol. 2018, 52, 1727–1737. [Google Scholar] [CrossRef]
- Zandi, A.; Zanjani, T.M.; Ziai, S.A.; Poul, Y.K.; Hoseini, M.H.M. Evaluation of the Cytotoxic Effects of Ciprofloxacin on Human Glioblastoma A-172 Cell Line. Middle East J. Cancer 2017, 8, 119–126. [Google Scholar]
- Yadav, V.; Varshney, P.; Sultana, S.; Yadav, J.; Saini, N. Moxifloxacin and Ciprofloxacin Induces S-Phase Arrest and Augments Apoptotic Effects of Cisplatin in Human Pancreatic Cancer Cells via ERK Activation. BMC Cancer 2015, 15, 581. [Google Scholar] [CrossRef] [PubMed]
- Yadav, V.; Sultana, S.; Yadav, J.; Saini, N. Gatifloxacin Induces S and G2-Phase Cell Cycle Arrest in Pancreatic Cancer Cells via P21/P27/P53. PLoS ONE 2012, 7, e47796. [Google Scholar] [CrossRef] [PubMed]
- Yu, M.; Li, R.; Zhang, J. Repositioning of Antibiotic Levofloxacin as a Mitochondrial Biogenesis Inhibitor to Target Breast Cancer. Biochem. Biophys. Res. Commun. 2016, 471, 639–645. [Google Scholar] [CrossRef]
- Kloskowski, T.; Frąckowiak, S.; Adamowicz, J.; Szeliski, K.; Rasmus, M.; Drewa, T.; Pokrywczyńska, M. Quinolones as a Potential Drug in Genitourinary Cancer Treatment—A Literature Review. Front. Oncol. 2022, 12, 890337. [Google Scholar] [CrossRef]
- Kloskowski, T.; Szeliski, K.; Fekner, Z.; Rasmus, M.; Dąbrowski, P.; Wolska, A.; Siedlecka, N.; Adamowicz, J.; Drewa, T.; Pokrywczyńska, M. Ciprofloxacin and Levofloxacin as Potential Drugs in Genitourinary Cancer Treatment—The Effect of Dose–Response on 2D and 3D Cell Cultures. Int. J. Mol. Sci. 2021, 22, 11970. [Google Scholar] [CrossRef]
- Sousa, E.J.; Graça, I.; Baptista, T.; Vieira, F.Q.; Palmeira, C.; Henrique, R.; Jerónimo, C. Enoxacin Inhibits Growth of Prostate Cancer Cells and Effectively Restores MicroRNA Processing. Epigenetics 2013, 8, 548–558. [Google Scholar] [CrossRef]
- Mukherjee, P.; Mandal, E.R.; Das, S.K. Evaluation of Antiproliferative Activity of Enoxacin on a Human Breast Cancer Cell Line. Int. J. Hum. Genet. 2005, 5, 57–63. [Google Scholar] [CrossRef]
- Mamdooh, N.; Kasabri, V.; Al-Hiari, Y.; Almasri, I.; Al-Alawi, S.; Bustanji, Y. Evaluation of Selected Commercial Pharmacotherapeutic Drugs as Potential Pancreatic Lipase Inhibitors and Antiproliferative Compounds. Drug Dev. Res. 2019, 80, 310–324. [Google Scholar] [CrossRef]
- ClinicalTrials.gov. Study of Vosaroxin or Placebo in Combination with Cytarabine in Patients with First Relapsed or Refractory AML. Available online: https://clinicaltrials.gov/study/NCT01191801 (accessed on 14 May 2024).
- Hernández-López, H.; Sánchez-Miranda, G.; Araujo-Huitrado, J.G.; Granados-López, A.J.; López, J.A.; Leyva-Ramos, S.; Chacón-García, L. Synthesis of Hybrid Fluoroquinolone-Boron Complexes and Their Evaluation in Cervical Cancer Cell Lines. J. Chem. 2019, 2019, 5608652. [Google Scholar] [CrossRef]
- Jamieson, G.C.; Fox, J.A.; Poi, M.; Strickland, S.A. Molecular and Pharmacologic Properties of the Anticancer Quinolone Derivative Vosaroxin: A New Therapeutic Agent for Acute Myeloid Leukemia. Drugs 2016, 76, 1245–1255. [Google Scholar] [CrossRef]
- Lancet, J.E.; Ravandi, F.; Ricklis, R.M.; Cripe, L.D.; Kantarjian, H.M.; Giles, F.J.; List, A.F.; Chen, T.; Allen, R.S.; Fox, J.A.; et al. A Phase Ib Study of Vosaroxin, an Anticancer Quinolone Derivative, in Patients with Relapsed or Refractory Acute Leukemia. Leukemia 2011, 25, 1808–1814. [Google Scholar] [CrossRef] [PubMed]
- Mohammed, H.H.H.; Abd El-Hafeez, A.A.; Abbas, S.H.; Abdelhafez, E.-S.M.N.; Abuo-Rahma, G.E.-D.A. New Antiproliferative 7-(4-(N-Substituted Carbamoylmethyl)Piperazin-1-Yl) Derivatives of Ciprofloxacin Induce Cell Cycle Arrest at G2/M Phase. Bioorg. Med. Chem. 2016, 24, 4636–4646. [Google Scholar] [CrossRef] [PubMed]
- Chrzanowska, A.; Roszkowski, P.; Bielenica, A.; Olejarz, W.; Stępień, K.; Struga, M. Anticancer and Antimicrobial Effects of Novel Ciprofloxacin Fatty Acids Conjugates. Eur. J. Med. Chem. 2020, 185, 111810. [Google Scholar] [CrossRef] [PubMed]
- Chen, R.; Zhang, H.; Ma, T.; Xue, H.; Miao, Z.; Chen, L.; Shi, X. Moxifloxacin/Gatifloxacin-1,2,3-triazole-isatin Hybrids with Hydrogen-Bond Donor and Their In Vitro Anticancer Activity. J. Heterocycl. Chem. 2019, 56, 2691–2694. [Google Scholar] [CrossRef]
- Jiang, D.; Zhang, G. Ciprofloxacin/Gatifloxacin-1,2,3-triazole-isatin Hybrids and Their in Vitro Anticancer Activity. J. Heterocycl. Chem. 2019, 56, 2966–2969. [Google Scholar] [CrossRef]
- Wang, X.; Jiang, X.; Sun, S.; Liu, Y. Synthesis and Biological Evaluation of Novel Quinolone Derivatives Dual Targeting Histone Deacetylase and Tubulin Polymerization as Antiproliferative Agents. RSC Adv. 2018, 8, 16494–16502. [Google Scholar] [CrossRef]
- Kumar, A.R.; Boddupally, V.L.; Rao, P.S.; Narsaiah, B.; Sriram, D.; Sowjanya, P. Synthesis and Biological Evaluation of Novel N1-Decyl and C7- Sec Amine Substituted Fluoroquinolones as Antitubercular and Anticancer Agents. Indian J. Chem. Sect. B 2015, 54, 1495–1501. [Google Scholar]
- Rajulu, G.G.; Bhojya Naik, H.S.; Viswanadhan, A.; Thiruvengadam, J.; Rajesh, K.; Ganesh, S.; Jagadheshan, H.; Kesavan, P.K. New Hydroxamic Acid Derivatives of Fluoroquinolones: Synthesis and Evaluation of Antibacterial and Anticancer Properties. Chem. Pharm. Bull. 2014, 62, 168–175. [Google Scholar] [CrossRef][Green Version]
- Saeed, B.B.; Al-Iraqi, M.A.; Abachi, F.T. Synthesis of New 1,2 Dithiol 3-Thione Fluoroquinolone Esters Possessing Anticancer Activity in-Vitro. IJVS 2012, 26, 115–121. [Google Scholar] [CrossRef]
- Azéma, J.; Guidetti, B.; Korolyov, A.; Kiss, R.; Roques, C.; Constant, P.; Daffé, M.; Malet-Martino, M. Synthesis of Lipophilic Dimeric C-7/C-7-Linked Ciprofloxacin and C-6/C-6-Linked Levofloxacin Derivatives. Versatile in Vitro Biological Evaluations of Monomeric and Dimeric Fluoroquinolone Derivatives as Potential Antitumor, Antibacterial or Antimycobacterial Agents. Eur. J. Med. Chem. 2011, 46, 6025–6038. [Google Scholar] [CrossRef]
- Patitungkho, S.; Adsule, S.; Dandawate, P.; Padhye, S.; Ahmad, A.; Sarkar, F.H. Synthesis, Characterization and Anti-Tumor Activity of Moxifloxacin–Copper Complexes against Breast Cancer Cell Lines. Bioorg. Med. Chem. Lett. 2011, 21, 1802–1806. [Google Scholar] [CrossRef] [PubMed]
- Foroumadi, A.; Emami, S.; Rajabalian, S.; Badinloo, M.; Mohammadhosseini, N.; Shafiee, A. N-Substituted Piperazinyl Quinolones as Potential Cytotoxic Agents: Structure–Activity Relationships Study. Biomed. Pharmacother. 2009, 63, 216–220. [Google Scholar] [CrossRef] [PubMed]
- Pardakhty, A.; Foroumadi, A.; Hashemi, M.; Rajabalian, S.; Heidari, M.R. In Vitro Cytotoxicity and Phototoxicity of N-Piperazinyl Quinolone Derivatives with a 2-Thienyl Group. Toxicol. Vitro 2007, 21, 1031–1038. [Google Scholar] [CrossRef]
- Rajabalian, S.; Foroumadi, A.; Emami, S. Functionalized N-(2-Oxyiminoethyl) Piperazinyl Quinolones as New Cytotoxic Agents. J. Pharm. Pharm. Sci. 2007, 10, 153–158. [Google Scholar]
- Samir, M.; Ramadan, M.; Hamed, M.; Osman, M.; Abou=Rahma, G. Recent Strategies in Design of Antitumor and Antibacterial Fluoroquinolones. J. Adv. Biomed. Pharm. Sci. 2021, 4, 134–151. [Google Scholar] [CrossRef]
- Thadepalli, H.; Salem, F.; Chuah, S.K.; Gollapudi, S. Antitumor Activity of Trovafloxacin in an Animal Model. Vivo 2005, 19, 269–276. [Google Scholar]
- Moldovan, O.-L.; Rusu, A.; Tanase, C.; Vari, C.-E. Glutamate—A Multifaceted Molecule: Endogenous Neurotransmitter, Controversial Food Additive, Design Compound for Anti-Cancer Drugs. A Critical Appraisal. Food Chem. Toxicol. 2021, 153, 112290. [Google Scholar] [CrossRef]
- Moldovan, O.-L.; Sandulea, A.; Lungu, I.-A.; Gâz, A.; Rusu, A. Identification of Some Glutamic Acid Derivatives with Biological Potential by Computational Methods. Molecules 2023, 28, 4123. [Google Scholar] [CrossRef]
- Daina, A.; Michielin, O.; Zoete, V. SwissADME: A Free Web Tool to Evaluate Pharmacokinetics, Drug-Likeness and Medicinal Chemistry Friendliness of Small Molecules. Sci. Rep. 2017, 7, 42717. [Google Scholar] [CrossRef]
- Arnott, J.A.; Planey, S.L. The Influence of Lipophilicity in Drug Discovery and Design. Expert. Opin. Drug Discov. 2012, 7, 863–875. [Google Scholar] [CrossRef]
- Mannhold, R.; Poda, G.I.; Ostermann, C.; Tetko, I.V. Calculation of Molecular Lipophilicity: State-of-the-Art and Comparison of LogP Methods on More than 96,000 Compounds. J. Pharm. Sci. 2009, 98, 861–893. [Google Scholar] [CrossRef] [PubMed]
- Cheng, T.; Zhao, Y.; Li, X.; Lin, F.; Xu, Y.; Zhang, X.; Li, Y.; Wang, R.; Lai, L. Computation of Octanol−Water Partition Coefficients by Guiding an Additive Model with Knowledge. J. Chem. Inf. Model. 2007, 47, 2140–2148. [Google Scholar] [CrossRef] [PubMed]
- Wildman, S.A.; Crippen, G.M. Prediction of Physicochemical Parameters by Atomic Contributions. J. Chem. Inf. Comput. Sci. 1999, 39, 868–873. [Google Scholar] [CrossRef]
- Moriguchi, I.; Hirono, S.; Liu, Q.; Nakagome, I.; Matsushita, Y. Simple Method of Calculating Octanol/Water Partition Coefficient. Chem. Pharm. Bull. 1992, 40, 127–130. [Google Scholar] [CrossRef]
- Moriguchi, I.; Hirono, S.; Nakagome, I.; Hirano, H. Comparison of Reliability of Log P Values for Drugs Calculated by Several Methods. Chem. Pharm. Bull. 1994, 42, 976–978. [Google Scholar] [CrossRef]
- Lipinski, C.A.; Lombardo, F.; Dominy, B.W.; Feeney, P.J. Experimental and Computational Approaches to Estimate Solubility and Permeability in Drug Discovery and Development Settings. Adv. Drug Deliv. Rev. 1997, 23, 3–25. [Google Scholar] [CrossRef]
- Ro, P.; Rh, G. Predicting Skin Permeability. Pharm. Res. 1992, 9, 663–669. [Google Scholar] [CrossRef]
- Teague, S.J.; Davis, A.M.; Leeson, P.D.; Oprea, T. The Design of Leadlike Combinatorial Libraries. Angew. Chem. Int. Ed. 1999, 38, 3743–3748. [Google Scholar] [CrossRef]
- Liu, W.; Liang, Y.; Si, X. Hydroxamic Acid Hybrids as the Potential Anticancer Agents: An Overview. Eur. J. Med. Chem. 2020, 205, 112679. [Google Scholar] [CrossRef]
- Fathi-Karkan, S.; Arshad, R.; Rahdar, A.; Ramezani, A.; Behzadmehr, R.; Ghotekar, S.; Pandey, S. Recent Advancements in the Targeted Delivery of Etoposide Nanomedicine for Cancer Therapy: A Comprehensive Review. Eur. J. Med. Chem. 2023, 259, 115676. [Google Scholar] [CrossRef]
- Aisner, J.; Lee, E.J. Etoposide. Current and Future Status. Cancer 1991, 67, 215–219. [Google Scholar] [CrossRef] [PubMed]
- Zhang, W.; Gou, P.; Dupret, J.-M.; Chomienne, C.; Rodrigues-Lima, F. Etoposide, an Anticancer Drug Involved in Therapy-Related Secondary Leukemia: Enzymes at Play. Transl. Oncol. 2021, 14, 101169. [Google Scholar] [CrossRef] [PubMed]
- Wu, C.-C.; Li, T.-K.; Farh, L.; Lin, L.-Y.; Lin, T.-S.; Yu, Y.-J.; Yen, T.-J.; Chiang, C.-W.; Chan, N.-L. Structural Basis of Type II Topoisomerase Inhibition by the Anticancer Drug Etoposide. Science 2011, 333, 459–462. [Google Scholar] [CrossRef] [PubMed]
- Holliday, J.D.; Salim, N.; Whittle, M.; Willett, P. Analysis and Display of the Size Dependence of Chemical Similarity Coefficients. J. Chem. Inf. Comput. Sci. 2003, 43, 819–828. [Google Scholar] [CrossRef] [PubMed]
- Jasial, S.; Hu, Y.; Vogt, M.; Bajorath, J. Activity-Relevant Similarity Values for Fingerprints and Implications for Similarity Searching. F1000Research 2016, 5, 591. [Google Scholar] [CrossRef]
- Zahoránszky-Kőhalmi, G.; Bologa, C.G.; Oprea, T.I. Impact of Similarity Threshold on the Topology of Molecular Similarity Networks and Clustering Outcomes. J. Cheminform. 2016, 8, 16. [Google Scholar] [CrossRef]
- Mellor, C.L.; Marchese Robinson, R.L.; Benigni, R.; Ebbrell, D.; Enoch, S.J.; Firman, J.W.; Madden, J.C.; Pawar, G.; Yang, C.; Cronin, M.T.D. Molecular Fingerprint-Derived Similarity Measures for Toxicological Read-across: Recommendations for Optimal Use. Regul. Toxicol. Pharmacol. 2019, 101, 121–134. [Google Scholar] [CrossRef]
- Miranda-Quintana, R.A.; Bajusz, D.; Rácz, A.; Héberger, K. Differential Consistency Analysis: Which Similarity Measures Can Be Applied in Drug Discovery? Mol. Inform. 2021, 40, 2060017. [Google Scholar] [CrossRef]
- Bero, S.A.; Muda, A.K.; Choo, Y.H.; Muda, N.A.; Pratama, S.F. Similarity Measure for Molecular Structure: A Brief Review. J. Phys. Conf. Ser. 2017, 892, 012015. [Google Scholar] [CrossRef]
- Chung, N.C.; Miasojedow, B.; Startek, M.; Gambin, A. Jaccard/Tanimoto Similarity Test and Estimation Methods for Biological Presence-Absence Data. BMC Bioinform. 2019, 20, 644. [Google Scholar] [CrossRef]
- Nikumbh, A.B.; Rathi, M.V. Study of Molar Refraction and Polarizability Constant of Aqueous Solutions of KNO3 and KBrO3 at Different Temperatures. Int. J. Adv. Res. 2017, 5, 749–756. [Google Scholar] [CrossRef] [PubMed]
- Prasanna, S.; Doerksen, R.J. Topological Polar Surface Area: A Useful Descriptor in 2D-QSAR. Curr. Med. Chem. 2009, 16, 21. [Google Scholar] [CrossRef] [PubMed]
- Zhao, Y.H.; Abraham, M.H.; Zissimos, A.M. Determination of McGowan Volumes for Ions and Correlation with van Der Waals Volumes. J. Chem. Inf. Comput. Sci. 2003, 43, 1848–1854. [Google Scholar] [CrossRef] [PubMed]
- Tsantili-Kakoulidou, A.; Demopoulos, J.V. Drug-like Properties and Fraction Lipophilicity Index as a Combined Metric. ADMET DMPK 2021, 9, 177–190. [Google Scholar] [CrossRef]
- Saiful Islam, M.; Mitra, S. Effect of Nano Graphene Oxide (NGO) Incorporation on the Lipophilicity of Hydrophobic Drugs. Hybrid Adv. 2023, 3, 100074. [Google Scholar] [CrossRef]
- Marvinsketch (Version 23.11). Available online: https://chemaxon.com/marvin (accessed on 12 June 2024).
- Wager, T.T.; Hou, X.; Verhoest, P.R.; Villalobos, A. Moving beyond Rules: The Development of a Central Nervous System Multiparameter Optimization (CNS MPO) Approach To Enable Alignment of Druglike Properties. ACS Chem. Neurosci. 2010, 1, 435–449. [Google Scholar] [CrossRef]
- Chauhan, H.H.; Chavan, M.D.; Choudhary, R.R.; Madkaikar, H.M.; Dalvi, T.S.; Shah, N.J. Screening of Phytochemicals from Couroupita Guianensis as Drug Candidates against Lethal Diseases Using Insilico Analysis. Int. J. Appl. Chem. Biol. Sci. 2022, 3, 9–19. [Google Scholar]
- Rameshbabu, S.; Alehaideb, Z.; Alghamdi, S.S.; Suliman, R.S.; Almourfi, F.; Yacoob, S.A.M.; Venkataraman, A.; Messaoudi, S.; Matou-Nasri, S. Identification of Anastatica hierochuntica L. Methanolic Leaves Extract-Derived Metabolites Exhibiting Xanthine Oxidase Inhibitory Activities: In Vitro and in Silico Approaches. Metabolites 2024, 14, 368. [Google Scholar] [CrossRef]
- Elbouzidi, A.; Taibi, M.; Laaraj, S.; Loukili, E.H.; Haddou, M.; Hachlafi, N.E.; Mrabti, H.N.; Baraich, A.; Bellaouchi, R.; Asehraou, A.; et al. Chemical Profiling of Volatile Compounds of the Essential Oil of Grey-Leaved Rockrose (Cistus albidus L.) and Its Antioxidant, Anti-Inflammatory, Antibacterial, Antifungal, and Anticancer Activity in Vitro and in Silico. Front. Chem. 2024, 12, 1334028. [Google Scholar] [CrossRef]
- SMARTCyp (Version 3.0). Available online: https://smartcyp.sund.ku.dk/mol_to_som (accessed on 28 May 2024).
- Olsen, L.; Montefiori, M.; Tran, K.P.; Jørgensen, F.S. SMARTCyp 3.0: Enhanced Cytochrome P450 Site-of-Metabolism Prediction Server. Bioinformatics 2019, 35, 3174–3175. [Google Scholar] [CrossRef]
- Athar, M.; Sona, A.N.; Bekono, B.D.; Ntie-Kang, F. Fundamental Physical and Chemical Concepts behind “Drug-Likeness” and “Natural Product-Likeness”. Phys. Sci. Rev. 2019, 4, 101. [Google Scholar] [CrossRef]
- Doak, B.C.; Over, B.; Giordanetto, F.; Kihlberg, J. Oral Druggable Space beyond the Rule of 5: Insights from Drugs and Clinical Candidates. Chem. Biol. 2014, 21, 1115–1142. [Google Scholar] [CrossRef] [PubMed]
- Santos, G.B.; Ganesan, A.; Emery, F.S. Oral Administration of Peptide-Based Drugs: Beyond Lipinski’s Rule. ChemMedChem 2016, 11, 2245–2251. [Google Scholar] [CrossRef]
- DeGoey, D.A.; Chen, H.-J.; Cox, P.B.; Wendt, M.D. Beyond the Rule of 5: Lessons Learned from AbbVie’s Drugs and Compound Collection: Miniperspective. J. Med. Chem. 2018, 61, 2636–2651. [Google Scholar] [CrossRef]
- Yadav, G.; Ganguly, S.; Murugesan, S.; Dev, A. Synthesis, Anti-HIV, Antimicrobial Evaluation and Structure Activity Relationship Studies of Some Novel Benzimidazole Derivatives. AIA 2015, 13, 65–77. [Google Scholar] [CrossRef]
- Molecular Properties Prediction—Osiris Property Explorer. Available online: https://www.organic-chemistry.org/prog/peo/ (accessed on 18 May 2024).
- Martin, Y.C. A Bioavailability Score. J. Med. Chem. 2005, 48, 3164–3170. [Google Scholar] [CrossRef]
- Price, G.; Patel, D.A. Drug Bioavailability. In StatPearls; StatPearls Publishing: Treasure Island, FL, USA, 2024. [Google Scholar]
- Rajan, R.; Karthikeyan, S.; Desikan, R. Synthesis, Structural Elucidation, In Silico and In Vitro Studies of New Class of Methylenedioxyphenyl-Based Amide Derivatives as Potential Myeloperoxidase Inhibitors for Cardiovascular Protection. ACS Omega 2024, 9, 7850. [Google Scholar] [CrossRef]
- Polinsky, A. Lead-Likeness and Drug-Likeness. In The Practice of Medicinal Chemistry; Elsevier: Amsterdam, The Netherlands, 2008; pp. 244–254. ISBN 978-0-12-374194-3. [Google Scholar]
- Hann, M.M.; Oprea, T.I. Pursuing the Leadlikeness Concept in Pharmaceutical Research. Curr. Opin. Chem. Biol. 2004, 8, 255–263. [Google Scholar] [CrossRef]
- SwissADME. Available online: http://www.swissadme.ch/ (accessed on 11 May 2024).
- Skoraczyński, G.; Kitlas, M.; Miasojedow, B.; Gambin, A. Critical Assessment of Synthetic Accessibility Scores in Computer-Assisted Synthesis Planning. J. Cheminform. 2023, 15, 6. [Google Scholar] [CrossRef]
- Ertl, P.; Schuffenhauer, A. Estimation of Synthetic Accessibility Score of Drug-like Molecules Based on Molecular Complexity and Fragment Contributions. J. Cheminform. 2009, 1, 8. [Google Scholar] [CrossRef]
- Molinspiration. Calculation of Molecular Properties and Bioactivity Score (Version v2022.08). Available online: https://molinspiration.com/cgi/properties (accessed on 31 May 2024).
- Way2Drug—Main (Version 2.0). Available online: http://www.way2drug.com/PASSOnline/index.php (accessed on 29 May 2024).
- Cui, C.; Zhang, Y.; Wang, L.; Liu, H.; Cui, G. Enhanced Anticancer Activity of Glutamate Prodrugs of All-Trans Retinoic Acid. J. Pharm. Pharmacol. 2010, 61, 1353–1358. [Google Scholar] [CrossRef] [PubMed]
- Tokura, Y. Quinolone Photoallergy: Photosensitivity Dermatitis Induced by Systemic Administration of Photohaptenic Drugs. J. Dermatol. Sci. 1998, 18, 1–10. [Google Scholar] [CrossRef] [PubMed]
- Tokura, Y. Immune Responses to Photohaptens: Implications for the Mechanisms of Photosensitivity to Exogenous Agents. J. Dermatol. Sci. 2000, 23 (Suppl. S1), S6–S9. [Google Scholar] [CrossRef]
- Rusu, A.; Munteanu, A.-C.; Arbănași, E.-M.; Uivarosi, V. Overview of Side-Effects of Antibacterial Fluoroquinolones: New Drugs versus Old Drugs, a Step Forward in the Safety Profile? Pharmaceutics 2023, 15, 804. [Google Scholar] [CrossRef]
- OECD Test Guidelines for Chemicals—OECD. Available online: https://www.oecd.org/chemicalsafety/testing/oecdguidelinesforthetestingofchemicals.html (accessed on 8 June 2024).
- Croner-i. Harmonisation of Classification of Corrosives for Supply and Transport. Available online: https://app.croneri.co.uk/feature-articles/harmonisation-classification-corrosives-supply-and-transport?product=139 (accessed on 29 May 2024).
- Barratt, M.D.; Dixit, M.B.; Jones, P.A. The Use of in Vitro Cytotoxicity Measurements in QSAR Methods for the Prediction of the Skin Corrosivity Potential of Acids. Toxicol. Vitro 1996, 10, 283–290. [Google Scholar] [CrossRef]
- Scott, L.; Eskes, C.; Hoffmann, S.; Adriaens, E.; Alepée, N.; Bufo, M.; Clothier, R.; Facchini, D.; Faller, C.; Guest, R.; et al. A Proposed Eye Irritation Testing Strategy to Reduce and Replace in Vivo Studies Using Bottom-Up and Top-Down Approaches. Toxicol. Vitro 2010, 24, 1–9. [Google Scholar] [CrossRef]
- Prinsen, M.K.; Hendriksen, C.F.M.; Krul, C.A.M.; Woutersen, R.A. The Isolated Chicken Eye Test to Replace the Draize Test in Rabbits. Regul. Toxicol. Pharmacol. 2017, 85, 132–149. [Google Scholar] [CrossRef]
- Corbeil, C.R.; Englebienne, P.; Moitessier, N. Docking Ligands into Flexible and Solvated Macromolecules. 1. Development and Validation of FITTED 1.0. J. Chem. Inf. Model. 2007, 47, 435–449. [Google Scholar] [CrossRef]
- Corbeil, C.R.; Englebienne, P.; Yannopoulos, C.G.; Chan, L.; Das, S.K.; Bilimoria, D.; L’heureux, L.; Moitessier, N. Docking Ligands into Flexible and Solvated Macromolecules. 2. Development and Application of Fitted 1.5 to the Virtual Screening of Potential HCV Polymerase Inhibitors. J. Chem. Inf. Model. 2008, 48, 902–909. [Google Scholar] [CrossRef]
- Corbeil, C.R.; Moitessier, N. Docking Ligands into Flexible and Solvated Macromolecules. 3. Impact of Input Ligand Conformation, Protein Flexibility, and Water Molecules on the Accuracy of Docking Programs. J. Chem. Inf. Model. 2009, 49, 997–1009. [Google Scholar] [CrossRef]
- Molecular Forecaster. Resources, (Version 6453). Available online: https://molecularforecaster.com/resources/ (accessed on 8 June 2024).
- Wan, S.; Bhati, A.P.; Zasada, S.J.; Coveney, P.V. Rapid, Accurate, Precise and Reproducible Ligand–Protein Binding Free Energy Prediction. Interface Focus 2020, 10, 20200007. [Google Scholar] [CrossRef] [PubMed]
- 21.4: Chemistry of Acid Halides. Available online: https://chem.libretexts.org/Bookshelves/Organic_Chemistry/Organic_Chemistry_(Morsch_et_al.)/21%3A_Carboxylic_Acid_Derivatives-_Nucleophilic_Acyl_Substitution_Reactions/21.04%3A_Chemistry_of_Acid_Halides (accessed on 9 October 2024).
- Sharma, P.C.; Jain, S. Synthesis and in-Vitro Antibacterial Activity of Some Novel N-nicotinoyl-1-ethyl-6-fluoro-1,4-dihydro-7-piperazin-1-yl-4- oxoquinoline-3-carboxylates. Acta Pol. Pharm. Drug Res. 2008, 65, 551–556. [Google Scholar]
- Systèmes, D. BIOVIA Draw for Academics (Version 21.1). Available online: https://discover.3ds.com/biovia-draw-academic (accessed on 5 May 2024).
- Delaney, J.S. ESOL: Estimating Aqueous Solubility Directly from Molecular Structure. J. Chem. Inf. Comput. Sci. 2004, 44, 1000–1005. [Google Scholar] [CrossRef]
- Ali, J.; Camilleri, P.; Brown, M.B.; Hutt, A.J.; Kirton, S.B. Revisiting the General Solubility Equation: In Silico Prediction of Aqueous Solubility Incorporating the Effect of Topographical Polar Surface Area. J. Chem. Inf. Model. 2012, 52, 420–428. [Google Scholar] [CrossRef]
- Egan, W.J.; Merz, K.M.; Baldwin, J.J. Prediction of Drug Absorption Using Multivariate Statistics. J. Med. Chem. 2000, 43, 3867–3877. [Google Scholar] [CrossRef]
- Verber, D.F.; Johnson, S.R.; Cheng, H.-Y.; Smith, B.R.; Ward, K.W.; Kopple, K.D. Molecular Properties That Influence the Oral Bioavailability of Drug Candidates. J. Med. Chem. 2002, 45, 2615–2623. [Google Scholar] [CrossRef]
- Ghose, A.K.; Viswanadhan, V.N.; Wendoloski, J.J. A Knowledge-Based Approach in Designing Combinatorial or Medicinal Chemistry Libraries for Drug Discovery. 1. A Qualitative and Quantitative Characterization of Known Drug Databases. J. Comb. Chem. 1999, 1, 55–68. [Google Scholar] [CrossRef]
- Muegge, I.; Heald, S.L.; Brittelli, D. Simple Selection Criteria for Drug-like Chemical Matter. J. Med. Chem. 2001, 44, 1841–1846. [Google Scholar] [CrossRef]
- AquaSol: Predict Aqueous Solublity of Small Molecules Using UG-RNN Ensembles (Version 2.0). Available online: http://cdb.ics.uci.edu/cgibin/tools/AquaSolWeb.py (accessed on 30 May 2024).
- Lagunin, A.A.; Dubovskaja, V.I.; Rudik, A.V.; Pogodin, P.V.; Druzhilovskiy, D.S.; Gloriozova, T.A.; Filimonov, D.A.; Sastry, N.G.; Poroikov, V.V. CLC-Pred: A Freely Available Web-Service for in Silico Prediction of Human Cell Line Cytotoxicity for Drug-like Compounds. PLoS ONE 2018, 13, e0191838. [Google Scholar] [CrossRef]
- Gusar—Create QSAR/QSPR Models on the Basis of the Appropriate Training Sets. Available online: http://www.way2drug.com/gusar/acutoxpredict.html (accessed on 23 May 2024).
- Jeliazkova, N.; Martinov, M.; Tcheremenskaia, O.J.K.; Networks, M.; Rydberg, P.; Avramova, S.; Kochev, N.; Jeliazkov, V.; Iliev, L. Toxtree—Toxtree-Toxic Hazard Estimation by Decision Tree Approach. Version 3.1.0.1851. Available online: https://toxtree.sourceforge.net/ (accessed on 25 May 2024).
- Cramer, G.M.; Ford, R.A.; Hall, R.L. Estimation of Toxic Hazard—A Decision Tree Approach. Food Cosmet. Toxicol. 1976, 16, 255–276. [Google Scholar] [CrossRef]
- Kroes, R.; Renwick, A.G.; Cheeseman, M.; Kleiner, J.; Mangelsdorf, I.; Piersma, A.; Schilter, B.; Schlatter, J.; Van Schothorst, F.; Vos, J.G.; et al. Structure-Based Thresholds of Toxicological Concern (TTC): Guidance for Application to Substances Present at Low Levels in the Diet. Food Chem. Toxicol. 2004, 42, 65–83. [Google Scholar] [CrossRef] [PubMed]
- Verhaar, H.J.M.; van Leeuwen, C.J.; Hermens, J.L.M. Classifying Environmental Pollutants. Chemosphere 1992, 25, 471–491. [Google Scholar] [CrossRef]
- Verhaar, H.J.M.; Solbé, J.; Speksnijder, J.; van Leeuwen, C.J.; Hermens, J.L.M. Classifying Environmental Pollutants: Part 3. External Validation of the Classification System. Chemosphere 2000, 40, 875–883. [Google Scholar] [CrossRef] [PubMed]
- Benigni, R.; Bossa, C. Mechanisms of Chemical Carcinogenicity and Mutagenicity: A Review with Implications for Predictive Toxicology. Chem. Rev. 2011, 111, 2507–2536. [Google Scholar] [CrossRef]
- Benigni, R.; Bossa, C.; Netzeva, T.; Rodomonte, A.; Tsakovska, I. Mechanistic QSAR of Aromatic Amines: New Models for Discriminating between Homocyclic Mutagens and Nonmutagens, and Validation of Models for Carcinogens. Environ. Mol. Mutagen. 2007, 48, 754–771. [Google Scholar] [CrossRef]
- Benigni, R.; Bossa, C.; Tcheremenskaia, O. Nongenotoxic Carcinogenicity of Chemicals: Mechanisms of Action and Early Recognition through a New Set of Structural Alerts. Chem. Rev. 2013, 113, 2940–2957. [Google Scholar] [CrossRef]
- Gerner, I.; Schlegel, K.; Walker, J.; Hulzebos, E. Use of Physicochemical Property Limits to Develop Rules for Identifying Chemical Substances with No Skin Irritation or Corrosion Potential. QSAR Comb. Sci. 2004, 23, 726–733. [Google Scholar] [CrossRef]
- Hulzebos, E.; Walker, J.D.; Gerner, I.; Schlegel, K. Use of Structural Alerts to Develop Rules for Identifying Chemical Substances with Skin Irritation or Skin Corrosion Potential. QSAR Comb. Sci. 2005, 24, 332–342. [Google Scholar] [CrossRef]
- Walker, J.D.; Gerner, I.; Hulzebos, E.; Schlegel, K. The Skin Irritation Corrosion Rules Estimation Tool (SICRET). QSAR Comb. Sci. 2005, 24, 378–384. [Google Scholar] [CrossRef]
- Gerner, I.; Liebsch, M.; Spielmann, H. Assessment of the Eye Irritating Properties of Chemicals by Applying Alternatives to the Draize Rabbit Eye Test: The Use of QSARs and In Vitro Tests for the Classification of Eye Irritation. Altern. Lab. Anim. 2005, 33, 215–237. [Google Scholar] [CrossRef]
- Enoch, S.J.; Ellison, C.M.; Schultz, T.W.; Cronin, M.T.D. A Review of the Electrophilic Reaction Chemistry Involved in Covalent Protein Binding Relevant to Toxicity. Crit. Rev. Toxicol. 2011, 41, 783–802. [Google Scholar] [CrossRef] [PubMed]
- Enoch, S.J.; Cronin, M.T.D. A Review of the Electrophilic Reaction Chemistry Involved in Covalent DNA Binding. Crit. Rev. Toxicol. 2010, 40, 728–748. [Google Scholar] [CrossRef] [PubMed]
- Rydberg, P.; Gloriam, D.E.; Zaretzki, J.; Breneman, C.; Olsen, L. SMARTCyp: A 2D Method for Prediction of Cytochrome P450-Mediated Drug Metabolism. ACS Med. Chem. Lett. 2010, 1, 96–100. [Google Scholar] [CrossRef] [PubMed]
- Moitessier, N.; Pottel, J.; Therrien, E.; Englebienne, P.; Liu, Z.; Tomberg, A.; Corbeil, C.R. Medicinal Chemistry Projects Requiring Imaginative Structure-Based Drug Design Methods. Acc. Chem. Res. 2016, 49, 1646–1657. [Google Scholar] [CrossRef]
- Trott, O.; Olson, A.J. AutoDock Vina: Improving the Speed and Accuracy of Docking with a New Scoring Function, Efficient Optimization, and Multithreading. J. Comput. Chem. 2010, 31, 455–461. [Google Scholar] [CrossRef]
- Morris, G.M.; Huey, R.; Lindstrom, W.; Sanner, M.F.; Belew, R.K.; Goodsell, D.S.; Olson, A.J. AutoDock4 and AutoDockTools4: Automated Docking with Selective Receptor Flexibility. J. Comput. Chem. 2009, 30, 2785–2791. [Google Scholar] [CrossRef]
- Stoica, C.I.; Marc, G.; Pîrnău, A.; Vlase, L.; Araniciu, C.; Oniga, S.; Palage, M.; Oniga, O. Thiazolyl-oxadiazole Derivatives Targeting Lanosterol 14α-demethylase As Potential Antifungal Agents: Design, Synthesis and Molecular Docking Studies. Farmacia 2016, 64, 390–397. [Google Scholar]
- Systèmes, D. Free Download: BIOVIA Discovery Studio Visualizer (Version 21.1.0.20298). Available online: https://discover.3ds.com/discovery-studio-visualizer-download (accessed on 27 May 2024).
- Pettersen, E.F.; Goddard, T.D.; Huang, C.C.; Couch, G.S.; Greenblatt, D.M.; Meng, E.C.; Ferrin, T.E. UCSF Chimera—A Visualization System for Exploratory Research and Analysis. J. Comput. Chem. 2004, 25, 1605–1612. [Google Scholar] [CrossRef]









| No. | Class | Compounds | Cancer Cell Type | Reference |
|---|---|---|---|---|
| 1. | Anthracenediones | Mitoxantrone | Bladder cancer, breast cancer, non-Hodgkin lymphoma, acute myeloid leukaemia | [20,23,24,25] |
| 2. | Anthracyclines | Doxorubicin | Breast cancer, lung cancer, gastric cancer, ovarian cancer, thyroid cancer, bladder cancer, Hodgkin and non-Hodgkin lymphoma, multiple myeloma, sarcoma (approved by FDA in 1974) | [20,21,23,26,27] |
| Epirubicin | Breast cancer | [21,28,29] | ||
| 3. | Isothiazoloquinolones | A-65281 | - | [20] |
| 4. | Quinolones | Vosaroxin | Acute myeloid leukaemia (Phase III clinical trials) | [20,23,30,31] |
| 5. | Semisynthetic derivatives of podophyllotoxin | Etoposide | Refractory testicular tumours, small cell lung cancer, lymphoma, glioblastoma, non-lymphocytic leukaemia, sarcoma, neuroblastoma, Hodgkin lymphoma, stomach cancer | [20,21,23,32] |
| Teniposide | Refractory acute lymphoblastic leukaemia | [33] | ||
| 6. | Sulphonamide | Amsacrine | Acute myeloid leukaemia, malignant lymphoma | [20,23,34] |
| 7. | Thiobarbituric derivatives | Merbarone | - | [20,35,36] |
| Hybrid Class Abbreviation/ID | Hybrid Abbreviation/ID | Hybrid Structure | Molecular Weight | Tanimoto Coefficient |
|---|---|---|---|---|
| FQ-3-GLA/A | CF-3-GLA/A1 | ![]() | 460.46 | 0.67 |
| NF-3-GLA/A2 | ![]() | 448.44 | 0.67 | |
| PF-3-GLA/A3 | ![]() | 462.47 | 0.67 | |
| OF-3-GLA/A4 | ![]() | 490.48 | 0.68 | |
| LF-3-GLA/A5 | ![]() | 490.48 | 0.68 | |
| MF-3-GLA/A6 | ![]() | 530.55 | 0.7 | |
| FQ-7-GLA/B | CF-7-GLA/B1 | ![]() | 530.55 | 0.67 |
| NF-7-GLA/B2 | ![]() | 448.44 | 0.68 | |
| MF-7-GLA/B6 | ![]() | 530.55 | 0.7 | |
| FQ-3-GLA-HA/ C | CF-3-GLA-HA/C1 | ![]() | 475.47 | 0.69 |
| NF-3-GLA-HA/C2 | ![]() | 463.46 | 0.7 | |
| PF-3-GLA-HA/C3 | ![]() | 477.49 | 0.7 | |
| OF-3-GLA-HA/C4 | ![]() | 505.50 | 0.71 | |
| LF-3-GLA-HA/C5 | ![]() | 505.50 | 0.71 | |
| MF-3-GLA-HA/C6 | ![]() | 545.56 | 0.72 | |
| FQ-3-EA-GLA/D | CF-3-EA-GLA/D1 | ![]() | 503.52 | 0.66 |
| NF-3-EA-GLA/D2 | ![]() | 545.56 | 0.66 | |
| PF-3-EA-GLA/D3 | ![]() | 533.55 | 0.66 | |
| OF-3-EA-GLA/D4 | ![]() | 533.55 | 0.67 | |
| LF-3-EA-GLA/D5 | ![]() | 533.55 | 0.67 | |
| MF-3-EA-GLA/D6 | ![]() | 573.61 | 0.69 | |
| FQ-3-EDA-GLA/E | CF-3-EDA-GLA/ E1 | ![]() | 502.54 | 0.66 |
| NF-3-EDA-GLA/E2 | ![]() | 490.53 | 0.67 | |
| PF-3-EDA-GLA/E3 | ![]() | 504.55 | 0.67 | |
| OF-3-EDA-GLA/E4 | ![]() | 532.56 | 0.68 | |
| LF-3-EDA-GLA/E5 | ![]() | 532.56 | 0.68 | |
| MF-3-EDA-GLA/ E6 | ![]() | 572.63 | 0.69 |
| Compound/ID | HA | HAA | Fraction Csp3 | RB | H-Bond Acceptors | H-Bond Donors | MR | TPSA | McGowan Volume (mL/mol) * | Geometric Span * |
|---|---|---|---|---|---|---|---|---|---|---|
| CF-3-GLA/A1 | 33 | 10 | 0.45 | 9 | 8 | 4 | 124.05 | 140.97 | 317.75 | 9.530 |
| NF-3-GLA/A2 | 32 | 10 | 0.43 | 9 | 8 | 4 | 121.36 | 140.97 | 314.52 | 9.536 |
| PF-3-GLA/A3 | 33 | 10 | 0.45 | 9 | 8 | 3 | 126.26 | 132.18 | 328.61 | 10.300 |
| OF-3-GLA/A4 | 35 | 10 | 0.48 | 8 | 9 | 3 | 130.64 | 141.41 | 337.71 | 10.235 |
| LF-3-GLA/A5 | 35 | 10 | 0.48 | 8 | 9 | 3 | 130.64 | 141.41 | 337.71 | 10.235 |
| MF-3-GLA/A6 | 38 | 10 | 0.54 | 10 | 9 | 4 | 142.85 | 150.20 | 369.12 | 10.571 |
| CF-7-GLA/B1 | 33 | 10 | 0.45 | 8 | 8 | 3 | 124.05 | 146.17 | 317.75 | 10.603 |
| NF-7-GLA/B2 | 32 | 10 | 0.43 | 8 | 8 | 3 | 121.36 | 146.17 | 314.52 | 10.482 |
| MF-7-GLA/B6 | 38 | 10 | 0.54 | 9 | 9 | 3 | 142.85 | 155.40 | 369.12 | 9.795 |
| CF-3-GLA-HA/C1 | 34 | 10 | 0.45 | 10 | 8 | 5 | 126.01 | 153.00 | 329.88 | 9.721 |
| NF-3-GLA-HA/C2 | 33 | 10 | 0.43 | 10 | 8 | 5 | 132.32 | 153.00 | 326.65 | 9.803 |
| PF-3-GLA-HA/C3 | 34 | 10 | 0.45 | 10 | 8 | 4 | 128.22 | 144.21 | 340.74 | 10.573 |
| OF-3-GLA-HA/C4 | 36 | 10 | 0.48 | 9 | 9 | 4 | 132.60 | 153.44 | 349.84 | 10.509 |
| LF-3-GLA-HA/C5 | 36 | 10 | 0.48 | 9 | 9 | 4 | 132.60 | 153.44 | 349.84 | 10.506 |
| MF-3-GLA-HA/C6 | 39 | 10 | 0.54 | 11 | 9 | 5 | 144.81 | 162.23 | 381.25 | 10.857 |
| CF-3-EA-GLA/D1 | 36 | 10 | 0.50 | 12 | 9 | 4 | 135.89 | 155.99 | 360.21 | 13.005 |
| NF-3-EA-GLA/D2 | 35 | 10 | 0.48 | 12 | 9 | 4 | 133.20 | 155.99 | 356.98 | 12.888 |
| PF-3-EA-GLA/D3 | 36 | 10 | 0.5 | 12 | 9 | 3 | 138.10 | 147.20 | 371.07 | 13.222 |
| OF-3-EA-GLA/D4 | 38 | 10 | 0.52 | 11 | 10 | 3 | 142.48 | 156.43 | 380.17 | 13.515 |
| LF-3-EA-GLA/D5 | 38 | 10 | 0.52 | 11 | 10 | 3 | 142.48 | 156.43 | 380.17 | 13.501 |
| MF-3-EA-GLA/D6 | 41 | 10 | 0.57 | 13 | 10 | 4 | 154.69 | 165.22 | 411.58 | 14.256 |
| CF-3-EDA-GLA/E1 | 36 | 10 | 0.50 | 12 | 8 | 5 | 137.61 | 158.79 | 364.32 | 12.994 |
| NF-3-EDA-GLA/E2 | 35 | 10 | 0.48 | 12 | 8 | 5 | 134.91 | 158.79 | 361.09 | 12.872 |
| PF-3-EDA-GLA/E3 | 36 | 10 | 0.50 | 12 | 8 | 4 | 139.81 | 150.00 | 375.18 | 13.200 |
| OF-3-EDA-GLA/E4 | 38 | 10 | 0.52 | 11 | 9 | 4 | 144.19 | 159.23 | 384.28 | 13.479 |
| LF-3-EDA-GLA/E5 | 38 | 10 | 0.52 | 11 | 9 | 4 | 144.19 | 159.23 | 384.28 | 13.4898 |
| MF-3-EDA-GLA/E6 | 41 | 10 | 0.57 | 13 | 9 | 5 | 156.40 | 168.02 | 415.69 | 14.228 |
| Etoposide | 42 | 12 | 0.55 | 5 | 13 | 3 | 139.11 | 160.83 | 389.66 | 9.322 |
| Compound/ID | * iLOGP | * XLOGP | * WLOGP | * MLOGP | * Silicos-IT LogP | * Consensus LogP | LogD at pI (logP score) | LogD at pH 7.4 (logD score) | HLB |
|---|---|---|---|---|---|---|---|---|---|
| CF-3-GLA/A1 | 1.67 | −1.85 | 0.53 | 0.34 | 1.39 | 0.42 | −2.04 | −4.49 | 19.63 |
| NF-3-GLA/A2 | 1.75 | −1.80 | 0.28 | 0.12 | 1.34 | 0.34 | −2.15 | −4.59 | 20.09 |
| PF-3-GLA/A3 | 2.30 | −0.50 | 0.62 | 0.34 | 1.30 | 0.81 | −1.96 | −4.66 | 19.87 |
| OF-3-GLA/A4 | 2.33 | −1.16 | 0.55 | 0.06 | 1.00 | 0.56 | −2.18 | −5.12 | 20.68 |
| LF-3-GLA/A5 | 2.14 | −1.16 | 0.55 | 0.06 | 1.00 | 0.52 | −2.18 | −5.12 | 20.68 |
| MF-3-GLA/A6 | 2.10 | −0.16 | 1.32 | 0.68 | 1.78 | 1.14 | −1.63 | −4.17 | 19.14 |
| CF-7-GLA/B1 | 2.33 | −2.17 | 0.61 | −1.88 | 0.87 | −0.05 | −1.81 | −2.98 | 19.63 |
| NF-7-GLA/B2 | 1.77 | −2.12 | 0.36 | −2.09 | 0.83 | −0.25 | −1.92 | −3.07 | 20.09 |
| MF-7-GLA/B6 | 2.64 | −0.49 | 1.40 | −1.54 | 1.27 | 0.65 | −1.40 | −2.63 | 19.14 |
| CF-3-GLA-HA/C1 | 1.10 | −2.58 | −0.05 | −0.02 | 0.62 | −0.19 | −2.62 | −2.64 | 25.22 |
| NF-3-GLA-HA/C2 | 2.19 | −2.53 | −0.30 | −0.23 | 0.58 | −0.06 | −2.73 | −2.75 | 25.68 |
| PF-3-GLA-HA/C3 | 2.21 | −1.23 | 0.04 | −0.02 | 0.54 | 0.31 | −2.55 | −2.82 | 25.45 |
| OF-3-GLA-HA/C4 | 2.84 | −1.89 | −0.03 | −0.29 | 0.23 | 0.17 | −2.79 | −3.20 | 26.25 |
| LF-3-GLA-HA/C5 | 2.39 | −1.89 | −0.03 | −0.29 | 0.23 | 0.08 | −2.79 | −3.20 | 26.25 |
| MF-3-GLA-HA/C6 | 2.09 | −0.90 | 0.74 | 0.33 | 1.01 | 0.65 | −2.21 | −2.21 | 24.72 |
| CF-3-EA-GLA/D1 | 2.70 | −2.46 | −0.05 | −2.21 | 1.51 | −0.10 | −2.49 | −3.52 | 25.07 |
| NF-3-EA-GLA/D2 | 2.01 | −2.41 | −0.31 | −2.42 | 1.47 | −0.33 | −2.60 | −3.63 | 25.52 |
| PF-3-EA-GLA/D3 | 2.11 | −1.11 | 0.04 | −2.21 | 1.44 | 0.05 | −2.07 | −2.23 | 25.28 |
| OF-3-EA-GLA/D4 | 3.03 | −1.77 | −0.03 | −2.50 | 1.12 | −0.03 | −2.30 | −2.40 | 26.06 |
| LF-3-EA-GLA/D5 | 3.31 | −1.77 | −0.03 | −2.50 | 1.12 | 0.03 | −2.30 | −2.40 | 26.06 |
| MF-3-EA-GLA/D6 | 3.03 | −0.77 | 0.73 | −1.90 | 1.91 | 0.60 | −2.34 | −3.68 | 24.56 |
| CF-3-EDA-GLA/E1 | 2.51 | −3.03 | −0.48 | −2.62 | 1.19 | −0.49 | −3.25 | −4.23 | 29.26 |
| NF-3-EDA-GLA/E2 | 1.86 | −2.98 | −0.73 | −2.83 | 1.16 | −0.71 | −3.36 | −4.34 | 29.71 |
| PF-3-EDA-GLA/E3 | 2.30 | −1.68 | −0.39 | −2.62 | 1.12 | −0.26 | −2.80 | −2.96 | 29.48 |
| OF-3-EDA-GLA/E4 | 2.92 | −2.34 | −0.46 | −2.90 | 0.81 | 0.39 | −3.03 | −3.13 | 30.26 |
| LF-3-EDA-GLA/E5 | 2.36 | −2.34 | −0.46 | −2.90 | 0.81 | −0.51 | −3.03 | −3.13 | 30.26 |
| MF-3-EDA-GLA/E6 | 2.14 | −1.35 | 0.31 | −2.30 | 1.59 | 0.08 | −3.04 | −4.33 | 28.76 |
| Etoposide | 3.31 | 0.6 | 1.01 | −0.14 | 0.95 | 1.15 | 1.16 | 1.16 | 14.79 |
| Compound/ID | GI Absorption | BBB Permeant | * CNS MPO | P-gp Substrate | log Kp (cm/s) |
|---|---|---|---|---|---|
| CF-3-GLA/A1 | High | No | 2.94 | Yes | −10.42 |
| NF-3-GLA/A2 | High | No | 3.03 | Yes | −10.31 |
| PF-3-GLA/A3 | High | No | 3.52 | Yes | −9.48 |
| OF-3-GLA/A4 | High | No | 3.32 | Yes | −10.12 |
| LF-3-GLA/A5 | High | No | 3.32 | Yes | −10.12 |
| MF-3-GLA/A6 | Low | No | 2.28 | Yes | −9.65 |
| CF-7-GLA/B1 | Low | No | 2.63 | Yes | −10.65 |
| NF-7-GLA/B2 | Low | No | 2.71 | No | −10.54 |
| MF-7-GLA/B6 | Low | No | 2.34 | Yes | −9.88 |
| CF-3-GLA-HA/C1 | Low | No | 2.87 | No | −11.03 |
| NF-3-GLA-HA/C2 | Low | No | 2.52 | No | −10.92 |
| PF-3-GLA-HA/C3 | Low | No | 3.16 | Yes | −10.09 |
| OF-3-GLA-HA/C4 | Low | No | 3.00 | Yes | −10.73 |
| LF-3-GLA-HA/C5 | Low | No | 3.00 | Yes | −10.73 |
| MF-3-GLA-HA/C6 | Low | No | 2.14 | No | −10.27 |
| CF-3-EA-GLA/D1 | Low | No | 2.21 | Yes | −11.12 |
| NF-3-EA-GLA/D2 | Low | No | 2.27 | Yes | −11.01 |
| PF-3-EA-GLA/D3 | Low | No | 2.24 | Yes | −10.17 |
| OF-3-EA-GLA/D4 | Low | No | 2.24 | Yes | −10.81 |
| LF-3-EA-GLA/D5 | Low | No | 2.24 | Yes | −10.81 |
| MF-3-EA-GLA/D6 | Low | No | 2.11 | Yes | −10.35 |
| CF-3-EDA-GLA/E1 | Low | No | 2.30 | No | −11.52 |
| NF-3-EDA-GLA/E2 | Low | No | 2.37 | Yes | −11.41 |
| PF-3-EDA-GLA/E3 | Low | No | 2.34 | Yes | −10.57 |
| OF-3-EDA-GLA/E4 | Low | No | 2.34 | Yes | −11.21 |
| LF-3-EDA-GLA/E5 | Low | No | 2.34 | Yes | −11.21 |
| MF-3-EDA-GLA/E6 | Low | No | 2.16 | No | −10.75 |
| Etoposide | Low | No | 3.25 | Yes | −9.46 |
| Compound/ID | Lipinski | Ghose | Veber | Egan | Muegge | BD Score | Lead-Likeness | Drug-Likeness | SA |
|---|---|---|---|---|---|---|---|---|---|
| CF-3-GLA/A1 | 0 | 0 | 1 | 1 | 0 | 0.56 | 2 | −7.32 | 3.65 |
| NF-3-GLA/A2 | 0 | 0 | 1 | 1 | 0 | 0.56 | 2 | −6.89 | 3.61 |
| PF-3-GLA/A3 | 0 | 0 | 0 | 1 | 0 | 0.56 | 2 | −3.95 | 3.72 |
| OF-3-GLA/A4 | 1 | 2 | 1 | 1 | 0 | 0.56 | 2 | −3.86 | 4.49 |
| LF-3-GLA/A5 | 1 | 2 | 1 | 1 | 0 | 0.56 | 2 | −3.86 | 4.49 |
| MF-3-GLA/A6 | 2 | 2 | 1 | 1 | 1 | 0.11 | 2 | −7.00 | 4.75 |
| CF-7-GLA/B1 | 0 | 0 | 1 | 1 | 1 | 0.56 | 2 | −13.14 | 3.57 |
| NF-7-GLA/B2 | 0 | 0 | 1 | 1 | 1 | 0.56 | 2 | −12.74 | 3.53 |
| MF-7-GLA/B6 | 2 | 2 | 1 | 1 | 1 | 0.11 | 2 | −15.22 | 4.70 |
| CF-3-GLA-HA/C1 | 1 | 0 | 1 | 1 | 2 | 0.55 | 2 | −7.42 | 3.79 |
| NF-3-GLA-HA/C2 | 1 | 0 | 1 | 1 | 2 | 0.55 | 2 | −6.99 | 3.76 |
| PF-3-GLA-HA/C3 | 1 | 0 | 1 | 1 | 0 | 0.55 | 2 | −4.01 | 3.87 |
| OF-3-GLA-HA/C4 | 2 | 2 | 1 | 1 | 1 | 0.17 | 2 | −3.93 | 4.59 |
| LF-3-GLA-HA/C5 | 2 | 2 | 1 | 1 | 1 | 0.17 | 2 | −3.93 | 4.59 |
| MF-3-GLA-HA/C6 | 2 | 3 | 2 | 1 | 1 | 0.17 | 2 | −7.09 | 4.86 |
| CF-3-EA-GLA/D1 | 2 | 2 | 2 | 1 | 2 | 0.17 | 2 | −16.42 | 4.05 |
| NF-3-EA-GLA/D2 | 1 | 2 | 2 | 1 | 2 | 0.55 | 2 | −16.14 | 4.00 |
| PF-3-EA-GLA/D3 | 2 | 2 | 2 | 1 | 0 | 0.17 | 2 | −13.22 | 4.12 |
| OF-3-EA-GLA/D4 | 2 | 2 | 2 | 1 | 1 | 0.17 | 2 | −13.03 | 4.84 |
| LF-3-EA-GLA/D5 | 2 | 2 | 2 | 1 | 1 | 0.17 | 2 | −13.03 | 4.84 |
| MF-3-EA-GLA/D6 | 2 | 3 | 2 | 1 | 1 | 0.17 | 2 | −16.13 | 5.12 |
| CF-3-EDA-GLA/E1 | 2 | 3 | 2 | 1 | 2 | 0.17 | 2 | −13.65 | 3.98 |
| NF-3-EDA-GLA/E2 | 1 | 3 | 2 | 1 | 2 | 0.55 | 2 | −0.67 | 3.94 |
| PF-3-EDA-GLA/E3 | 2 | 2 | 2 | 1 | 1 | 0.17 | 2 | −9.98 | 4.06 |
| OF-3-EDA-GLA/E4 | 2 | 4 | 2 | 1 | 2 | 0.17 | 2 | −9.88 | 4.83 |
| LF-3-EDA-GLA/E5 | 2 | 4 | 2 | 1 | 2 | 0.17 | 2 | −9.88 | 4.83 |
| MF-3-EDA-GLA/E6 | 2 | 3 | 2 | 1 | 1 | 0.17 | 2 | −12.88 | 5.09 |
| Etoposide | 2 | 3 | 1 | 1 | 2 | 0.17 | 1 | −0.28 | 6.27 |
| Compound/ID | GPCR Ligand | Ion Channel Modulator | Kinase Inhibitor | Nuclear Receptor Ligand | Protease Inhibitor | Enzyme Inhibitor | Topoisomerase II Inhibitory Activity (PASS Online) | |
|---|---|---|---|---|---|---|---|---|
| Pa | Pi | |||||||
| CF-3-GLA/A1 | 0.23 * | −0.03 | −0.03 | −0.20 | 0.07 | 0.32 * | 0.413 | 0.006 |
| NF-3-GLA/A2 | 0.29 * | −0.06 | 0.03 | −0.08 | 0.05 | 0.24 * | 0.304 | 0.010 |
| PF-3-GA/A3 | 0.29 * | −0.06 | 0.04 | −0.12 | 0.03 | 0.22 * | 0.296 | 0.011 |
| OF-3-GLA/A4 | 0.3 * | −0.12 | −0.03 | −0.18 | 0.03 | 0.36 * | 0.492 | 0.004 |
| LF-3-GLA/A5 | 0.3 * | −0.12 | −0.03 | −0.18 | 0.03 | 0.36 * | 0.492 | 0.004 |
| MF-3-GLA/A6 | 0.26 * | −0.10 | −0.14 | −0.29 | 0.10 | 0.47 * | 0.517 | 0.004 |
| CF-7-GLA/B1 | 0.24 * | 0.06 | −0.12 | −0.19 | 0.10 | 0.35 * | 0.505 | 0.004 |
| NF-7-GLA/B2 | 0.31 * | 0.04 | −0.06 | −0.07 | 0.08 | 0.27 * | 0.405 | 0.006 |
| MF-7-GLA/B6 | 0.27 * | −0.06 | −0.20 | −0.28 | 0.07 | 0.49 * | 0.580 | 0.004 |
| CF-3-GA-HA/C1 | 0.25 * | −0.15 | 0.09 | −0.28 | 0.42 * | 0.54 ** | 0.333 | 0.009 |
| NF-3-GLA-HA/C2 | 0.32 * | −0.18 | 0.15 | −0.17 | 0.41 * | 0.47 * | 0.226 | 0.016 |
| PF-3-GLA-HA/C3 | 0.32 * | −0.18 | 0.16 | −0.20 | 0.37 * | 0.44 * | 0.218 | 0.017 |
| OF-3-GLA-HA/C4 | 0.32 * | −0.25 | 0.08 | −0.25 | 0.35 * | 0.57 ** | 0.420 | 0.005 |
| LF-3-GLA-HA/C5 | 0.32 * | −0.25 | 0.08 | −0.25 | 0.35 * | 0.57 ** | 0.420 | 0.005 |
| MF-3-GLA-HA/C6 | 0.28 * | −0.25 | −0.06 | −0.38 | 0.40 * | 0.63 ** | 0.448 | 0.005 |
| CF-3-EA-GLA/D1 | 0.21 * | −0.02 | 0.07 | −0.29 | 0.11 | 0.32 * | 0.370 | 0.007 |
| NF-3-EA-GLA/D2 | 0.27 * | −0.02 | 0.12 | −0.18 | 0.09 | 0.25 * | 0.279 | 0.012 |
| PF-3-EA-GLA/D3 | 0.27 * | −0.05 | 0.13 | −0.21 | 0.06 | 0.23 * | 0.272 | 0.013 |
| OF-3-EA-GLA/D4 | 0.28 * | −0.16 | 0.06 | −0.28 | 0.06 | 0.35 * | 0.455 | 0.005 |
| LF-3-EA-GLA/D5 | 0.28 * | −0.16 | 0.06 | −0.28 | 0.06 | 0.35 * | 0.455 | 0.005 |
| MF-3-EA-GLA/D6 | 0.21 * | −0.25 | −0.14 | −0.47 | 0.12 | 0.36 * | 0.478 | 0.005 |
| CF-3-EDA-GLA/E1 | 0.23 * | −0.03 | 0.01 | −0.32 | 0.14 | 0.31 * | 0.391 | 0.007 |
| NF-3-EDA-GLA/E2 | 0.29 * | −0.03 | 0.07 | −0.22 | 0.12 | 0.24 * | 0.295 | 0.011 |
| PF-3-EDA-GLA/E3 | 0.30 * | −0.04 | 0.09 | −0.25 | 0.11 | 0.22 * | 0.288 | 0.011 |
| OF-3-EDA-GLA/E4 | 0.31 * | −0.16 | 0.02 | −0.31 | 0.10 | 0.34 * | 0.466 | 0.005 |
| LF-3-EDA-GLA/E5 | 0.31 * | −0.16 | 0.02 | −0.31 | 0.10 | 0.34 * | 0.466 | 0.005 |
| MF-3-EDA-GLA/E6 | 0.24 * | −0.25 | −0.18 | −0.50 | 0.16 | 0.35 * | 0.492 | 0.004 |
| Etoposide | 0.18 | −0.48 | −0.38 | −0.33 | 0.12 | 0.30 * | 0.945 | 0.002 |
| No. | Cell Line Name | Cell Line Code | The Number of Hybrids Active on the Cancer Cell Line (Out of All 27) |
|---|---|---|---|
| 1. | Adult acute myeloid leukaemia | OCI-AML2 | 23 |
| 2. | Bladder carcinoma | UMUC3 | 23 |
| 3. | Promyeloblast leukaemia | HL-60 | 22 |
| 4. | Plasma cell myeloma | OPM-2 | 18 |
| 5. | Pancreas Adenocarcinoma | CAPAN-1 | 17 |
| 6. | Adult acute monocytic leukaemia | MONO-MAC-6 | 12 |
| 7. | Cervical squamous cell carcinoma | SiHa | 11 |
| 8. | Gastrointestinal stromal tumour | GIST882 | 6 |
| 9. | Gastrointestinal stromal tumour | GIST48 | 6 |
| 10. | Gastric carcinoma | SNU-5 | 5 |
| 11. | Acute myeloblastic leukaemia | Kasumi-1 | 5 |
| 12. | Pancreatic adenocarcinoma | HuP-T3 | 5 |
| 13. | Papillary adenocarcinoma | NCI-H441 | 4 |
| 14. | Barrett adenocarcinoma | OE33 | 3 |
| 15. | Lung adenocarcinoma | SK-LU-1 | 3 |
| 16. | Pancreatic carcinoma | YAPC | 3 |
| 17. | Prostate carcinoma | PC-3 | 3 |
| 18. | Colorectal adenocarcinoma | SW48 | 3 |
| 19. | Metastatic melanoma | SK-MEL-1 | 2 |
| 20. | Breast carcinoma | HCC1937 | 2 |
| 21. | Urinary bladder carcinoma | HT1197 | 1 |
| No. | Toxic/Adverse Effect | The Number of Hybrids Which Have a Probability of Presenting the Toxic/Adverse Effect (Out of All 27) |
|---|---|---|
| 1. | Allergic contact dermatitis | 23 |
| 2. | Stomatitis | 19 |
| 3. | Photoallergy dermatitis | 10 |
| 4. | Myoclonus | 9 |
| 5. | Necrosis | 9 |
| 6. | Nail discoloration | 9 |
| 7. | Asthma | 9 |
| 8. | Bullous pemphigoid | 8 |
| 9. | Urinary retention | 8 |
| 10. | Delirium | 7 |
| 11. | Bradycardia | 7 |
| 12. | Hypotonia | 4 |
| 13. | Hyperglycaemia | 4 |
| 14. | Hypotonia | 4 |
| 15. | Psychoses | 3 |
| 16. | Ataxia | 2 |
| 17. | Xerostomia | 2 |
| 18. | Hypertension | 2 |
| 19. | Haematuria | 1 |
| 20. | Thrombophlebitis | 1 |
| 21. | Torsades de pointes | 1 |
| 22. | Diarrhoea | 1 |
| 23. | Vascular toxicity | 1 |
| No. | Compound Name | Internal Energy (kcal/mol) | Rank Score | Match Score | Fitted Score |
|---|---|---|---|---|---|
| 1. | OF-3-EDA-GLA/E4 | −130.7 | −26.6 | 36.4 | −32.4 |
| 2. | MF-7-GLA/B6 | −83.2 | −25.7 | 27.5 | −30.1 |
| 3. | NF-3-EA-GLA/D2 | −97.5 | −24.5 | 31.6 | −29.6 |
| 4. | NF-7-GLA/B2 | −95.4 | −24.6 | 29.8 | −29.4 |
| 5. | CF-3-GLA-HA/C1 | −122.1 | −24.3 | 27.5 | −28.7 |
| 6. | CF-3-GLA/A1 | −101.7 | −25.0 | 21.1 | −28.4 |
| 7. | NF-3-GLA/A2 | −102.5 | −24.2 | 20.9 | −27.6 |
| 8. | OF-3-GLA-HA/C4 | −118.3 | −22.5 | 29.6 | −27.2 |
| 9. | NF-3-EDA-GLA/E2 | −126.2 | −23.8 | 20.8 | −27.1 |
| 10. | LF-3-EDA-GLA/E5 | −133.8 | −24.0 | 18.5 | −27.0 |
| 11. | LF-3-GLA/A5 | −99.4 | −23.9 | 18.6 | −26.9 |
| 12. | MF-3-EDA-GLA/E6 | −110.7 | −20.7 | 29.0 | −25.3 |
| 13. | OF-3-EA-GLA/D4 | −106.2 | −21.4 | 18.6 | −24.4 |
| 14. | MF-3-GLA-HA/C6 | −103.8 | −20.5 | 23.1 | −24.2 |
| 15. | PF-3-EDA-GLA/E3 | −121.1 | −21.2 | 18.2 | −24.1 |
| 16. | PF-3-EA-GLA/D3 | −97.0 | −20.1 | 24.6 | −24.0 |
| 17. | NF-3-GLA-HA/C2 | −112.9 | −20.5 | 20.0 | −23.7 |
| 18. | CF-3-EA-GLA/D1 | −104.4 | −20.4 | 18.3 | −23.3 |
| 19. | CF-3-EDA-GLA/E1 | −125.1 | −19.6 | 18.7 | −22.6 |
| 20. | PF-3-GLA-HA/C3 | −121.4 | −19.5 | 17.6 | −22.4 |
| 21. | LF-3-EA-GLA/D5 | −97.9 | −18.6 | 24.1 | −22.4 |
| 22. | PF-3-GLA/A3 | −93.9 | −19.6 | 15.8 | −22.1 |
| 23. | CF-7-GLA/B1 | −91.0 | −19.1 | 18.8 | −22.1 |
| 24. | OF-3-GLA/A4 | −99.0 | −18.7 | 17.7 | −21.6 |
| 25. | MF-3-GLA/A6 | −84.0 | −18.1 | 18.4 | −21.1 |
| 26. | LF-3-GLA-HA/C5 | −110.2 | −17.5 | 17.4 | −20.3 |
| 27. | MF-3-EA-GLA/D6 | −90.1 | −16.8 | 19.1 | −19.9 |
| Compound | AutoDock Vina | AutoDock | |||||||
|---|---|---|---|---|---|---|---|---|---|
| ΔG | Top ΔG | Cluster with the Top Binding | Intermolecular Energy | Total Internal Energy | Torsional Free Energy | ||||
| Mean ΔG | N.C. | Total | vdW + HB + D | El | |||||
| CF-3-GLA/A1 | −10.0 | −12.65 | −11.39 | 18 | −15.64 | −10.58 | −5.05 | −1.02 | 2.98 |
| NF-3-GLA/A2 | −9.4 | −10.85 | −9.99 | 4 | −13.84 | −8.60 | −5.24 | −1.05 | 2.98 |
| PF-3-GLA/A3 | −9.2 | −9.94 | −9.25 | 10 | −12.92 | −9.06 | −3.86 | −2.88 | 2.98 |
| OF-3-GLA/A4 | −9.8 | −10.20 | −9.53 | 4 | −12.88 | −7.54 | −5.34 | −2.19 | 2.68 |
| LF-3-GLA/A5 | −10.2 | −10.90 | −9.51 | 9 | −13.59 | −8.75 | −4.84 | −1.95 | 2.68 |
| MF-3-GLA/A6 | −10.5 | −9.78 | −9.03 | 7 | −13.06 | −10.58 | −2.48 | −1.80 | 3.28 |
| CF-7-GLA/B1 | −9.5 | −12.73 | −10.73 | 4 | −15.71 | −8.43 | −7.28 | −2.67 | 2.98 |
| NF-7-GLA/B2 | −8.3 | −11.97 | −10.89 | 8 | −14.95 | −7.41 | −7.54 | −2.59 | 2.98 |
| MF-7-GLA/B6 | −10.3 | −13.58 | −12.83 | 10 | −16.86 | −9.57 | −7.29 | −2.66 | 3.28 |
| CF-3-GLA-HA/C1 | −9.8 | −10.28 | −9.84 | 2 | −13.26 | −7.52 | −4.43 | −2.70 | 2.98 |
| NF-3-GLA-HA/C2 | −10.7 | −9.61 | −8.56 | 7 | −12.6 | −11.64 | −0.96 | −2.82 | 2.98 |
| PF-3-GLA-HA/C3 | −10.1 | −9.20 | −8.58 | 2 | −12.18 | −11.70 | −0.48 | −3.26 | 2.98 |
| OF-3-GLA-HA/C4 | −10.6 | −10.75 | −9.02 | 7 | −13.43 | −12.29 | −1.14 | −2.29 | 2.68 |
| LF-3-GLA-HA/C5 | −9.6 | −9.15 | −8.34 | 4 | −11.84 | −9.93 | −1.91 | −3.37 | 2.68 |
| MF-3-GLA-HA/C6 | −8.9 | −7.68 | −7.53 | 2 | −10.96 | −11.01 | 0.05 | −3.11 | 3.28 |
| CF-3-EA-GLA/D1 | −9.3 | −11.01 | −8.14 | 2 | −14.88 | −6.96 | −5.19 | −3.14 | 3.88 |
| NF-3-EA-GLA/D2 | −10.0 | −10.59 | −9.24 | 4 | −14.46 | −7.65 | −6.82 | −2.33 | 3.88 |
| PF-3-EA-GLA/D3 | −10.0 | −10.80 | −10.27 | 2 | −14.68 | −8.41 | −6.27 | −3.45 | 3.88 |
| OF-3-EA-GLA/D4 | −10.6 | −12.08 | −10.46 | 13 | −15.66 | −8.86 | −6.84 | −3.21 | 3.58 |
| LF-3-EA-GLA/D5 | −10.2 | −11.52 | −11.52 | 1 | −15.09 | −7.69 | −7.41 | −2.6 | 3.58 |
| MF-3-EA-GLA/D6 | −9.7 | −10.81 | −10.22 | 3 | −14.99 | −8.97 | −6.02 | −3.36 | 4.18 |
| CF-3-EDA-GLA/E1 | −10.2 | −10.90 | −9.44 | 8 | −14.48 | −8.22 | −6.26 | −1.94 | 3.58 |
| NF-3-EDA-GLA/E2 | −9.6 | −7.82 | −7.82 | 1 | −11.40 | −11.51 | 0.11 | −3.75 | 3.58 |
| PF-3-EDA-GLA/E3 | −9.8 | −9.98 | −8.98 | 2 | −13.56 | −7.52 | −6.04 | −3.00 | 3.58 |
| OF-3-EDA-GLA/E4 | −10.4 | −12.01 | −11.61 | 8 | −15.29 | −10.29 | −5.00 | −3.28 | 3.28 |
| LF-3-EDA-GLA/E5 | −10.0 | −11.14 | −11.14 | 1 | −14.42 | −9.06 | −5.36 | −2.16 | 3.28 |
| MF-3-EDA-GLA/E6 | −9.6 | −9.84 | −7.95 | 6 | −13.72 | −11.82 | −1.90 | −3.39 | 3.88 |
| Hybrid Class/Hybrid Class ID | ||||
|---|---|---|---|---|
| FQ-3-GLA/ A | FQ-7-GLA/ B | FQ-3-GLA-HA/ C | FQ-3-EA-GLA/ D | FQ-3-EDA-GLA/ E |
| Hybrid/Hybrid ID | ||||
| CF-3-GLA/ A1 | CF-7-GLA/ B1 | CF-3-GLA-HA/ C1 | CF-3-EA-GLA/ D1 | CF-3-EDA-GLA/ E1 |
| NF-3-GLA/ A2 | NF-7-GLA/ B2 | NF-3-GLA-HA/ C2 | NF-3-EA-GLA/ D2 | NF-3-EDA-GLA/ E2 |
| PF-3-GLA/ A3 | - | PF-3-GLA-HA/ C3 | PF-3-EA-GLA/ D3 | PF-3-EDA-GLA/ E3 |
| OF-3-GLA/ A4 | - | OF-3-GLA-HA/ C4 | OF-3-EA-GLA/ D4 | OF-3-EDA-GLA/ E4 |
| LF-3-GLA/ A5 | - | LF-3-GLA-HA/ C5 | LF-3-EA-GLA/ D5 | LF-3-EDA-GLA/ E5 |
| MF-3-GLA/ A6 | MF-7-GLA/ B6 | MF-3-GLA-HA/ C6 | MF-3-EA-GLA/ D6 | MF-3-EDA-GLA/ E6 |
Disclaimer/Publisher’s Note: The statements, opinions and data contained in all publications are solely those of the individual author(s) and contributor(s) and not of MDPI and/or the editor(s). MDPI and/or the editor(s) disclaim responsibility for any injury to people or property resulting from any ideas, methods, instructions or products referred to in the content. |
© 2024 by the authors. Licensee MDPI, Basel, Switzerland. This article is an open access article distributed under the terms and conditions of the Creative Commons Attribution (CC BY) license (https://creativecommons.org/licenses/by/4.0/).
Share and Cite
Oancea, O.-L.; Gâz, Ș.A.; Marc, G.; Lungu, I.-A.; Rusu, A. In Silico Evaluation of Some Computer-Designed Fluoroquinolone–Glutamic Acid Hybrids as Potential Topoisomerase II Inhibitors with Anti-Cancer Effect. Pharmaceuticals 2024, 17, 1593. https://doi.org/10.3390/ph17121593
Oancea O-L, Gâz ȘA, Marc G, Lungu I-A, Rusu A. In Silico Evaluation of Some Computer-Designed Fluoroquinolone–Glutamic Acid Hybrids as Potential Topoisomerase II Inhibitors with Anti-Cancer Effect. Pharmaceuticals. 2024; 17(12):1593. https://doi.org/10.3390/ph17121593
Chicago/Turabian StyleOancea, Octavia-Laura, Șerban Andrei Gâz, Gabriel Marc, Ioana-Andreea Lungu, and Aura Rusu. 2024. "In Silico Evaluation of Some Computer-Designed Fluoroquinolone–Glutamic Acid Hybrids as Potential Topoisomerase II Inhibitors with Anti-Cancer Effect" Pharmaceuticals 17, no. 12: 1593. https://doi.org/10.3390/ph17121593
APA StyleOancea, O.-L., Gâz, Ș. A., Marc, G., Lungu, I.-A., & Rusu, A. (2024). In Silico Evaluation of Some Computer-Designed Fluoroquinolone–Glutamic Acid Hybrids as Potential Topoisomerase II Inhibitors with Anti-Cancer Effect. Pharmaceuticals, 17(12), 1593. https://doi.org/10.3390/ph17121593




























