Protective Role of Betulinic Acid against Cisplatin-Induced Nephrotoxicity and Its Antibacterial Potential toward Uropathogenic Bacteria
Abstract
1. Introduction
2. Results
2.1. Phytochemical Study
2.2. Antibacterial Action
Influence of Betulinic Acid on the Membrane Integrity of the Tested Bacteria
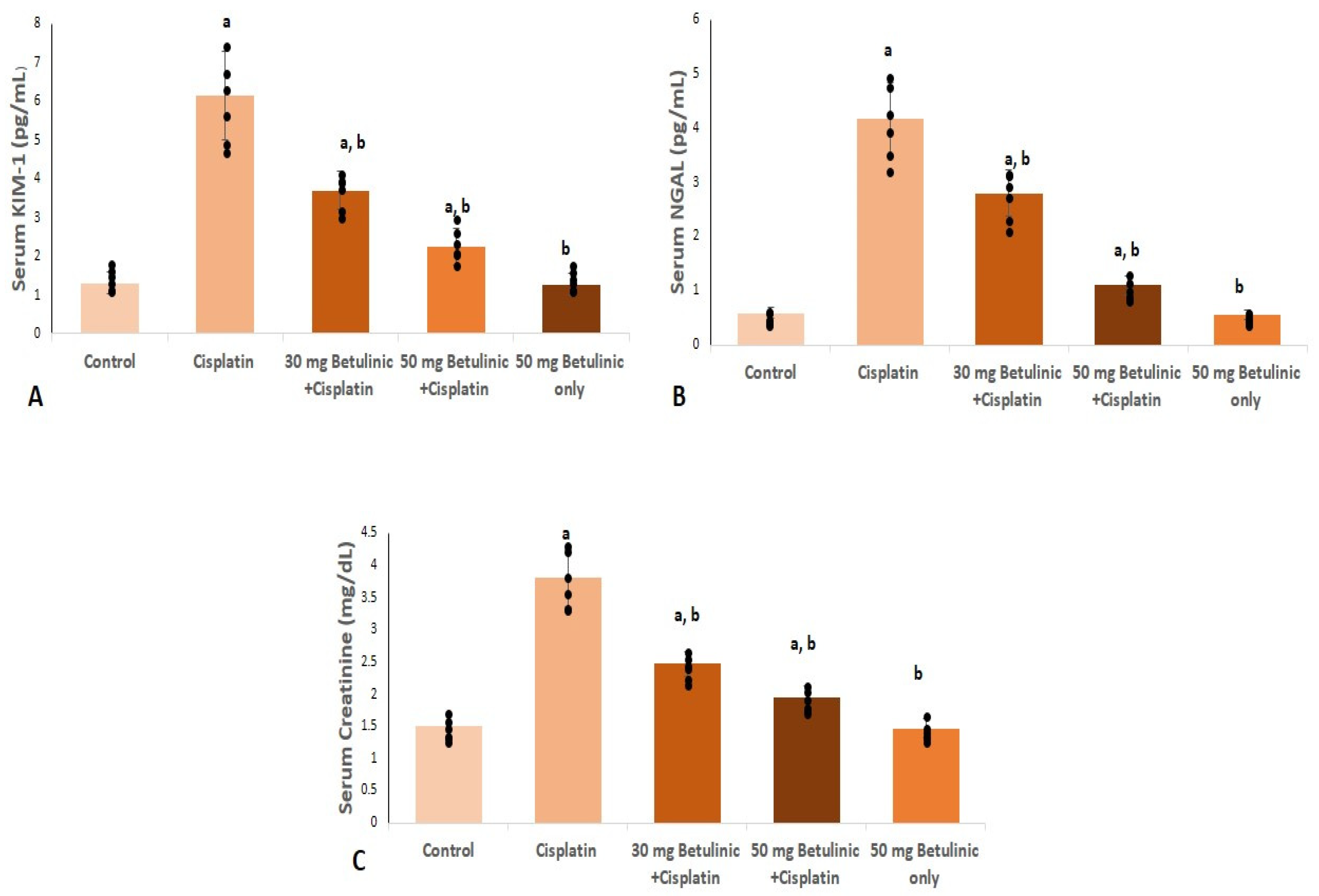
2.3. In Vivo Activity
2.3.1. Nephrotoxicity Serum Indices
2.3.2. Renal Oxidative Stress Markers
2.3.3. Autophagy Biomarkers
LC3 II and p62
2.3.4. Beclin 1, ATG5, LC3 II and p62 Protein Levels
2.3.5. Histopathological Examination of Kidney Tissues
2.3.6. Immunohistochemical Evaluation of Interleukin 1 Beta (IL-1B) and Nuclear Factor Kappa B (NFkB) for Different Groups
3. Discussion
4. Materials and Methods
4.1. Plant and Chemicals
4.2. Extraction and Isolation of BA
4.3. Antibacterial Susceptibility
4.4. Membrane Integrity Test
4.5. Animal Handling
4.6. Sample Collection
4.7. Determination of KIM-1, Serum Creatinine, and NGAL
4.8. Lipid Peroxidation
4.9. Superoxide Dismutase Activity
4.10. qRT-PCR for Beclin-1, P62, LC3II, ATG5 Genes
4.11. Western Blotting
4.12. Histopathological Study
4.13. Immunohistochemical Evaluation
4.14. Statistical Analysis
5. Conclusions
Supplementary Materials
Author Contributions
Funding
Institutional Review Board Statement
Informed Consent Statement
Data Availability Statement
Acknowledgments
Conflicts of Interest
References
- Miller, R.P.; Tadagavadi, R.K.; Ramesh, G.; Reeves, W.B. Mechanisms of cisplatin nephrotoxicity. Toxins 2010, 2, 2490–2518. [Google Scholar] [CrossRef] [PubMed]
- Alotaibi, B.; El-Masry, T.A.; Elekhnawy, E.; El-Kadem, A.H.; Saleh, A.; Negm, W.A.; Abdelkader, D.H. Aqueous core epigallocatechin gallate PLGA nanocapsules: Characterization, antibacterial activity against uropathogens, and in vivo reno-protective effect in cisplatin induced nephrotoxicity. Drug Deliv. 2022, 29, 1848–1862. [Google Scholar] [CrossRef] [PubMed]
- Kellum, J.A.; Romagnani, P.; Ashuntantang, G.; Ronco, C.; Zarbock, A.; Anders, H.-J. Acute kidney injury. Nat. Rev. Dis. Primers 2021, 7, 52. [Google Scholar] [CrossRef]
- Mehmood, R.K.; Parker, J.; Ahmed, S.; Qasem, E.; Mohammed, A.A.; Zeeshan, M.; Jehangir, E. Review of cisplatin and oxaliplatin in current immunogenic and monoclonal antibodies perspective. World J. Oncol. 2014, 5, 97. [Google Scholar] [CrossRef][Green Version]
- Aldossary, S.A. Review on pharmacology of cisplatin: Clinical use, toxicity and mechanism of resistance of cisplatin. Biomed. Pharmacol. J. 2019, 12, 7–15. [Google Scholar] [CrossRef]
- Pabla, N.; Dong, Z. Cisplatin nephrotoxicity: Mechanisms and renoprotective strategies. Kidney Int. 2008, 73, 994–1007. [Google Scholar] [CrossRef] [PubMed]
- Yu, L.; Chen, Y.; Tooze, S.A. Autophagy pathway: Cellular and molecular mechanisms. Autophagy 2018, 14, 207–215. [Google Scholar] [CrossRef]
- Kovács, R.; Erdélyi, L.; Fenyvesi, F.; Balla, N.; Kovács, F.; Vámosi, G.; Klusóczki, Á.; Gyöngyösi, A.; Bácskay, I.; Vecsernyés, M. Concentration-Dependent Antibacterial Activity of Chitosan on Lactobacillus plantarum. Pharmaceutics 2023, 15, 18. [Google Scholar] [CrossRef]
- Attallah, N.G.; El-Sherbeni, S.A.; El-Kadem, A.H.; Elekhnawy, E.; El-Masry, T.A.; Elmongy, E.I.; Altwaijry, N.; Negm, W.A. Elucidation of the metabolite profile of Yucca gigantea and assessment of its cytotoxic, antimicrobial, and anti-inflammatory activities. Molecules 2022, 27, 1329. [Google Scholar] [CrossRef]
- Dzobo, K. The role of natural products as sources of therapeutic agents for innovative drug discovery. Compr. Pharmacol. 2022, 408–422. [Google Scholar]
- Yogeeswari, P.; Sriram, D. Betulinic acid and its derivatives: A review on their biological properties. Curr. Med. Chem. 2005, 12, 657–666. [Google Scholar] [CrossRef] [PubMed]
- Huang, L.; Zhu, L.; Ou, Z.; Ma, C.; Kong, L.; Huang, Y.; Chen, Y.; Zhao, H.; Wen, L.; Wu, J. Betulinic acid protects against renal damage by attenuation of oxidative stress and inflammation via Nrf2 signaling pathway in T-2 toxin-induced mice. Int. Immunopharmacol. 2021, 101, 108210. [Google Scholar] [CrossRef] [PubMed]
- Hossain, M.A.; Ismail, Z. Isolation and characterization of triterpenes from the leaves of Orthosiphon stamineus. Arab. J. Chem. 2013, 6, 295–298. [Google Scholar] [CrossRef]
- Serwecińska, L. Antimicrobials and antibiotic-resistant bacteria: A risk to the environment and to public health. Water 2020, 12, 3313. [Google Scholar] [CrossRef]
- Gashaw, M.; Berhane, M.; Bekele, S.; Kibru, G.; Teshager, L.; Yilma, Y.; Ahmed, Y.; Fentahun, N.; Assefa, H.; Wieser, A. Emergence of high drug resistant bacterial isolates from patients with health care associated infections at Jimma University medical center: A cross sectional study. Antimicrob. Resist. Infect. Control. 2018, 7, 1–8. [Google Scholar] [CrossRef]
- Abdelkader, D.H.; Negm, W.A.; Elekhnawy, E.; Eliwa, D.; Aldosari, B.N.; Almurshedi, A.S. Zinc Oxide Nanoparticles as Potential Delivery Carrier: Green Synthesis by Aspergillus niger Endophytic Fungus, Characterization, and In Vitro/In Vivo Antibacterial Activity. Pharmaceuticals 2022, 15, 1057. [Google Scholar] [CrossRef]
- Alotaibi, B.; Negm, W.A.; Elekhnawy, E.; El-Masry, T.A.; Elharty, M.E.; Saleh, A.; Abdelkader, D.H.; Mokhtar, F.A. Antibacterial activity of nano zinc oxide green-synthesised from Gardenia thailandica triveng. Leaves against Pseudomonas aeruginosa clinical isolates: In vitro and in vivo study. Artif. Cells Nanomed. Biotechnol. 2022, 50, 96–106. [Google Scholar] [CrossRef]
- McSweeney, K.R.; Gadanec, L.K.; Qaradakhi, T.; Ali, B.A.; Zulli, A.; Apostolopoulos, V. Mechanisms of cisplatin-induced acute kidney injury: Pathological mechanisms, pharmacological interventions, and genetic mitigations. Cancers 2021, 13, 1572. [Google Scholar] [CrossRef]
- Wang, W.; Li, Z.; Chen, Y.; Wu, H.; Zhang, S.; Chen, X. Prediction value of serum NGAL in the diagnosis and prognosis of experimental acute and chronic kidney injuries. Biomolecules 2020, 10, 981. [Google Scholar] [CrossRef]
- Luo, Z.-L.; Sun, H.-Y.; Wu, X.-B.; Cheng, L.; Ren, J.-D. Epigallocatechin-3-gallate attenuates acute pancreatitis induced lung injury by targeting mitochondrial reactive oxygen species triggered NLRP3 inflammasome activation. Food Funct. 2021, 12, 5658–5667. [Google Scholar] [CrossRef]
- Lee, H.E.; Yang, G.; Park, Y.B.; Kang, H.C.; Cho, Y.-Y.; Lee, H.S.; Lee, J.Y. Epigallocatechin-3-gallate prevents acute gout by suppressing NLRP3 inflammasome activation and mitochondrial DNA synthesis. Molecules 2019, 24, 2138. [Google Scholar] [CrossRef] [PubMed]
- Soni, H.; Kaminski, D.; Gangaraju, R.; Adebiyi, A. Cisplatin-induced oxidative stress stimulates renal Fas ligand shedding. Ren. Fail. 2018, 40, 314–322. [Google Scholar] [CrossRef] [PubMed]
- Siracusa, R.; Monaco, F.; D’Amico, R.; Genovese, T.; Cordaro, M.; Interdonato, L.; Gugliandolo, E.; Peritore, A.F.; Crupi, R.; Cuzzocrea, S. Epigallocatechin-3-gallate modulates postoperative pain by regulating biochemical and molecular pathways. Int. J. Mol. Sci. 2021, 22, 6879. [Google Scholar] [CrossRef] [PubMed]
- Joo, S.-Y.; Song, Y.-A.; Park, Y.-L.; Myung, E.; Chung, C.-Y.; Park, K.-J.; Cho, S.-B.; Lee, W.-S.; Kim, H.-S.; Rew, J.-S. Epigallocatechin-3-gallate inhibits LPS-induced NF-κB and MAPK signaling pathways in bone marrow-derived macrophages. Gut Liver 2012, 6, 188. [Google Scholar] [CrossRef]
- Yao, Y.; Hu, X.; Feng, X.; Zhao, Y.; Song, M.; Wang, C.; Fan, H. Dexmedetomidine alleviates lipopolysaccharide-induced acute kidney injury by inhibiting the NLRP3 inflammasome activation via regulating the TLR4/NOX4/NF-κB pathway. J. Cell. Biochem. 2019, 120, 18509–18523. [Google Scholar] [CrossRef]
- Tang, J.; Shi, Y.; Liu, N.; Xu, L.; Zang, X.; Li, P.; Zhang, J.; Zheng, X.; Qiu, A.; Zhuang, S. Blockade of histone deacetylase 6 protects against cisplatin-induced acute kidney injury. Clin. Sci. 2018, 132, 339–359. [Google Scholar] [CrossRef]
- Hu, X.; Ma, Z.; Wen, L.; Li, S.; Dong, Z. Autophagy in cisplatin nephrotoxicity during cancer therapy. Cancers 2021, 13, 5618. [Google Scholar] [CrossRef]
- Qu, X.; Gao, H.; Tao, L.; Zhang, Y.; Zhai, J.; Sun, J.; Song, Y.; Zhang, S. Astragaloside IV protects against cisplatin-induced liver and kidney injury via autophagy-mediated inhibition of NLRP3 in rats. J. Toxicol. Sci. 2019, 44, 167–175. [Google Scholar] [CrossRef]
- Jiang, M.; Wei, Q.; Dong, G.; Komatsu, M.; Su, Y.; Dong, Z. Autophagy in proximal tubules protects against acute kidney injury. Kidney Int. 2012, 82, 1271–1283. [Google Scholar] [CrossRef]
- Alassaf, N.H.; Attia, H. Autophagy and necroptosis in cisplatin-induced acute kidney injury: Recent advances regarding their role and therapeutic potential. Front. Pharmacol. 2023, 14, 124. [Google Scholar] [CrossRef]
- Kaushal, G.P.; Shah, S.V. Autophagy in acute kidney injury. Kidney Int. 2016, 89, 779–791. [Google Scholar] [CrossRef] [PubMed]
- Myung Park, J.; Huang, S.; Wu, T.-T.; Foster, N.R.; Sinicrope, F.A. Prognostic impact of Beclin 1, p62/sequestosome 1 and LC3 protein expression in colon carcinomas from patients receiving 5-fluorouracil as adjuvant chemotherapy. Cancer Biol. Ther. 2013, 14, 100–107. [Google Scholar] [CrossRef] [PubMed]
- Gong, L.; Pan, Q.; Yang, N. Autophagy and inflammation regulation in acute kidney injury. Front. Physiol. 2020, 11, 576463. [Google Scholar] [CrossRef]
- Attallah, N.G.; Elekhnawy, E.; Negm, W.A.; Hussein, I.A.; Mokhtar, F.A.; Al-Fakhrany, O.M. In vivo and in vitro antimicrobial activity of biogenic silver nanoparticles against Staphylococcus aureus clinical isolates. Pharmaceuticals 2022, 15, 194. [Google Scholar] [CrossRef] [PubMed]
- Rodrigues, G.C.S.; dos Santos Maia, M.; de Souza, T.A.; de Oliveira Lima, E.; Dos Santos, L.E.C.G.; Silva, S.L.; da Silva, M.S.; Filho, J.M.B.; da Silva Rodrigues Junior, V.; Scotti, L. Antimicrobial Potential of Betulinic Acid and Investigation of the Mechanism of Action against Nuclear and Metabolic Enzymes with Molecular Modeling. Pathogens 2023, 12, 449. [Google Scholar] [CrossRef] [PubMed]
- Mi, X.-J.; Hou, J.-G.; Wang, Z.; Han, Y.; Ren, S.; Hu, J.-N.; Chen, C.; Li, W. The protective effects of maltol on cisplatin-induced nephrotoxicity through the AMPK-mediated PI3K/Akt and p53 signaling pathways. Sci. Rep. 2018, 8, 15922. [Google Scholar] [CrossRef] [PubMed]
- Lu, P.; Zhang, C.-C.; Zhang, X.-M.; Li, H.-G.; Luo, A.-L.; Tian, Y.-K.; Xu, H. Down-regulation of NOX4 by betulinic acid protects against cerebral ischemia-reperfusion in mice. Curr. Med. Sci. 2017, 37, 744–749. [Google Scholar] [CrossRef] [PubMed]
- Lingaraju, M.C.; Pathak, N.N.; Begum, J.; Balaganur, V.; Bhat, R.A.; Ram, M.; Kumar, D.; Kumar, D.; Tandan, S.K. Betulinic acid negates oxidative lung injury in surgical sepsis model. J. Surg. Res. 2015, 193, 856–867. [Google Scholar] [CrossRef]
- Hazman, Ö.; Bozkurt, M.F.; Fidan, A.F.; Uysal, F.E.; Çelik, S. The effect of boric acid and borax on oxidative stress, inflammation, ER stress and apoptosis in cisplatin toxication and nephrotoxicity developing as a result of toxication. Inflammation 2018, 41, 1032–1048. [Google Scholar] [CrossRef]
- Livak, K.J.; Schmittgen, T.D. Analysis of relative gene expression data using real-time quantitative PCR and the 2−ΔΔCT method. Methods 2001, 25, 402–408. [Google Scholar] [CrossRef]
- Tulinska, J.; Mikusova, M.L.; Liskova, A.; Busova, M.; Masanova, V.; Uhnakova, I.; Rollerova, E.; Alacova, R.; Krivosikova, Z.; Wsolova, L. Copper oxide nanoparticles stimulate the immune response and decrease antioxidant defense in mice after six-week inhalation. Front. Immunol. 2022, 13, 874253. [Google Scholar] [CrossRef] [PubMed]
- Matsumoto, A.; Matsui, I.; Katsuma, Y.; Yasuda, S.; Shimada, K.; Namba-Hamano, T.; Sakaguchi, Y.; Kaimori, J.-Y.; Takabatake, Y.; Inoue, K. Quantitative Analyses of Foot Processes, Mitochondria, and Basement Membranes by Structured Illumination. Kidney Int. Rep. 2021, 6, 1923–1938. [Google Scholar] [CrossRef] [PubMed]
- Samuhasaneeto, S.; Thong-Ngam, D.; Kulaputana, O.; Suyasunanont, D.; Klaikeaw, N. Curcumin decreased oxidative stress, inhibited NF-B activation, and improved liver pathology in ethanol-induced liver injury in rats. J. Biomed. Biotechnol. 2009, 2009, 981. [Google Scholar] [CrossRef]
- Crippa, V.; Boncoraglio, A.; Galbiati, M.; Aggarwal, T.; Rusmini, P.; Giorgetti, E.; Cristofani, R.; Carra, S.; Pennuto, M.; Poletti, A. Differential autophagy power in the spinal cord and muscle of transgenic ALS mice. Front. Cell. Neurosci. 2013, 7, 234. [Google Scholar] [CrossRef] [PubMed]
- Kim, C.; Kim, W.; Lee, H.; Ji, E.; Choe, Y.-J.; Martindale, J.L.; Akamatsu, W.; Okano, H.; Kim, H.-S.; Nam, S.W.; et al. The RNA-binding Protein HuD Regulates Autophagosome Formation in Pancreatic β Cells by Promoting Autophagy-related Gene 5 Expression. J. Biol. Chem. 2014, 289, 112–121. [Google Scholar] [CrossRef] [PubMed]
- Liu, S.; Huang, X.; Liu, Y.; Song, D.; Xiao, Y. Functional analysis of miRNAs combined with TGF-β1/Smad3 inhibitor in an intrauterine rat adhesion cell model. Mol. Cell. Biochem. 2020, 470, 15–28. [Google Scholar] [CrossRef]
- Yang, Z.; Yu, W.; Liu, B.; Yang, M.; Tao, H. Estrogen receptor β induces autophagy of osteosarcoma through the mTOR signaling pathway. J. Orthop. Surg. Res. 2020, 15, 50. [Google Scholar] [CrossRef]







| Position | 13C | 1H (J in Hz) |
|---|---|---|
| 1 | 39.67 (CH2) | 1.69 (2H, m) |
| 2 | 28.66 (CH2) | 1.96 (2H, m) |
| 3 | 78.50 (CH) | 3.47 (1H, m) |
| 4 | 39.89 (C) | - |
| 5 | 56.31 (CH2) | - |
| 6 | 19.16 (CH2) | - |
| 7 | 35.23 (CH2) | 2.26 (1H, brs) |
| 8 | 41.50 (C) | - |
| 9 | 51.35 (CH) | - |
| 10 | 37.90 (C) | - |
| 11 | 21.60 (CH2) | - |
| 12 | 26.50 (CH2) | - |
| 13 | 38.99 (CH) | - |
| 14 | 43.23 (C) | - |
| 15 | 31.61 (CH2) | 2.62 (2H, m) |
| 16 | 33.27 (CH2) | 2.65 (2H, m) |
| 17 | 57.01 (C) | - |
| 18 | 48.14 (CH) | 3.54 (1H, m) |
| 19 | 50.15 (CH) | 1.77(1H, m) |
| 20 | 151.67 (C) | - |
| 21 | 30.65 (CH2) | - |
| 22 | 37.94 (CH2) | 2.77 (2H, m) |
| 23 | 16.80 (CH3) | 1.23 (3H, s) |
| 24 | 29.04 (CH3) | 1.23 (3H, s) |
| 25 | 16.80 (CH3) | 1.85 (3H, s) |
| 26 | 16.71 (CH3) | 1.02 (3H, s) |
| 27 | 15.29 (CH3) | 0.84 (3H, s) |
| 28 | 179.22 (C) | - |
| 29 | 110.31 (CH2) | 4.96 (1H, brs) 4.78 (1H, brs) |
| 30 | 19.87 (CH3) | 1.81 (3H, s) |
| Bacterial Species | Pseudomonas aeruginosa | Escherichia coli | Proteus mirabilis | Klebsiella pneumoniae |
|---|---|---|---|---|
| MIC values (µg/mL) | 256 | 512 | 128 | 256 |
| Kidney MDA (nm/g Tissue) | Kidney SOD Activity (U/mg Tissue) | |
|---|---|---|
| Control | 137.86 ± 8.9 | 3.04 ± 0.44 |
| Cisplatin | 265.58 ± 15.75 a | 1.47 ± 0.18 a |
| 30 mg Betulinic + Cisplatin | 209.56 ± 9.18 a,b | 1.98 ± 0.17 a,b |
| 50 mg Betulinic + Cisplatin | 173.66 ± 10.13 a,b | 2.4 ± 0.12 a,b |
| 50 mg Betulinic only | 135.9 ± 9 b | 3.12 ± 0.61 b |
Disclaimer/Publisher’s Note: The statements, opinions and data contained in all publications are solely those of the individual author(s) and contributor(s) and not of MDPI and/or the editor(s). MDPI and/or the editor(s) disclaim responsibility for any injury to people or property resulting from any ideas, methods, instructions or products referred to in the content. |
© 2023 by the authors. Licensee MDPI, Basel, Switzerland. This article is an open access article distributed under the terms and conditions of the Creative Commons Attribution (CC BY) license (https://creativecommons.org/licenses/by/4.0/).
Share and Cite
Alherz, F.A.; Elekhnawy, E.; Selim, H.M.; El-Masry, T.A.; El-Kadem, A.H.; Hussein, I.A.; Negm, W.A. Protective Role of Betulinic Acid against Cisplatin-Induced Nephrotoxicity and Its Antibacterial Potential toward Uropathogenic Bacteria. Pharmaceuticals 2023, 16, 1180. https://doi.org/10.3390/ph16081180
Alherz FA, Elekhnawy E, Selim HM, El-Masry TA, El-Kadem AH, Hussein IA, Negm WA. Protective Role of Betulinic Acid against Cisplatin-Induced Nephrotoxicity and Its Antibacterial Potential toward Uropathogenic Bacteria. Pharmaceuticals. 2023; 16(8):1180. https://doi.org/10.3390/ph16081180
Chicago/Turabian StyleAlherz, Fatemah A., Engy Elekhnawy, Hend Mostafa Selim, Thanaa A. El-Masry, Aya H. El-Kadem, Ismail A. Hussein, and Walaa A. Negm. 2023. "Protective Role of Betulinic Acid against Cisplatin-Induced Nephrotoxicity and Its Antibacterial Potential toward Uropathogenic Bacteria" Pharmaceuticals 16, no. 8: 1180. https://doi.org/10.3390/ph16081180
APA StyleAlherz, F. A., Elekhnawy, E., Selim, H. M., El-Masry, T. A., El-Kadem, A. H., Hussein, I. A., & Negm, W. A. (2023). Protective Role of Betulinic Acid against Cisplatin-Induced Nephrotoxicity and Its Antibacterial Potential toward Uropathogenic Bacteria. Pharmaceuticals, 16(8), 1180. https://doi.org/10.3390/ph16081180

