Next Article in Journal
Demonstration of the Early Cardiac Bioavailability of a Non-Specific Cell-Targeted Peptide Using Radionuclide-Based Imaging In Vivo
Next Article in Special Issue
Analysis of Safety Concerns on Herbal Products with Assumed Phytoestrogenic Activity
Previous Article in Journal
Adenylosuccinic Acid: An Orphan Drug with Untapped Potential
Previous Article in Special Issue
Comparative Study on the Effect of Phenolics and Their Antioxidant Potential of Freeze-Dried Australian Beach-Cast Seaweed Species upon Different Extraction Methodologies
 
 
Font Type:
Arial Georgia Verdana
Font Size:
Aa Aa Aa
Line Spacing:
Column Width:
Background:
Article

Structure–Activity Relationship Studies of Indolglyoxyl-Polyamine Conjugates as Antimicrobials and Antibiotic Potentiators

1
School of Chemical Sciences, The University of Auckland, Private Bag 92019, Auckland 1142, New Zealand
2
School of Medical Sciences, The University of Auckland, Private Bag 92019, Auckland 1142, New Zealand
3
UMR MD1 “Membranes et Cibles Thérapeutiques”, U1261 INSERM, Faculté de Pharmacie, Aix-Marseille Université, 27 bd Jean Moulin, 13385 Marseille, France
4
Laboratoire Molécules de Communication et Adaptation des Micro-organismes, UMR 7245 CNRS, Muséum National d’Histoire Naturelle, 57 Rue Cuvier (C.P. 54), 75005 Paris, France
*
Author to whom correspondence should be addressed.
Pharmaceuticals 2023, 16(6), 823; https://doi.org/10.3390/ph16060823
Submission received: 4 May 2023 / Revised: 25 May 2023 / Accepted: 29 May 2023 / Published: 31 May 2023

Abstract

Antibiotic resistance is a growing global health threat, requiring urgent attention. One approach to overcome antibiotic resistance is to discover and develop new antibiotic enhancers, molecules that work with legacy antibiotics to enhance their efficacy against resistant bacteria. Our previous screening of a library of purified marine natural products and their synthetic analogues led to the discovery of an indolglyoxyl-spermine derivative that exhibited intrinsic antimicrobial properties and was also able to potentiate the action of doxycycline towards the difficult to treat, Gram-negative bacterium Pseudomonas aeruginosa. A set of analogues have now been prepared, exploring the influence of indole substitution at the 5- and 7- positions and length of the polyamine chain on biological activity. While limiting cytotoxicity and/or hemolytic activities were observed for many analogues, two 7-methyl substituted analogues (23b and 23c) were found to exhibit strong activity towards Gram-positive bacteria with no detectable cytotoxicity or hemolytic properties. Different molecular attributes were required for antibiotic enhancing properties, with one example identified, a 5-methoxy-substitiuted analogue (19a), as being a non-toxic, non-hemolytic enhancer of the action of two tetracycline antibiotics, doxycycline and minocycline, towards P. aeruginosa. These results provide further stimulation for the search for novel antimicrobials and antibiotic enhancers amongst marine natural products and related synthetic analogues.

Graphical Abstract

1. Introduction

The global increase in microbial antibiotic resistance is a growing health threat, requiring urgent attention. With only limited numbers of new antibiotics being approved for clinical use [1,2,3] the search is on for novel strategies that can prove effective against drug-resistant pathogens. One option for treatment is to restore the antibiotic action of legacy antibiotics, requiring the discovery of antibiotic adjuvants or enhancers [4,5,6,7,8]. Marine natural products represent an excellent reservoir of small drug-like molecules from which to discover both new classes of antimicrobial agents [9,10,11] as well as antibiotic enhancers [8,12,13,14].
Our screening of a library of marine natural product-related α,ω-disubstituted spermine analogues for antimicrobial and antibiotic enhancing properties identified the 6-bromoindolglyoxyl derivative 1 (Figure 1) as a moderately active antimicrobial towards the Gram-positive bacteria Staphylococcus aureus ATCC 25923 (MIC 6.25 µM) and the fungus Cryptococcus neoformans (MIC 1.1 µM). In addition, the combination of 1 with doxycycline exhibited a strong antibiotic enhancement effect towards the Gram-negative bacterium Pseudomonas aeruginosa [15]. Interest in these activities was somewhat tempered by the observation of associated cytotoxicity (human embryonic kidney cell line HEK293, IC50 5.1 µM; rat skeletal myoblast cell line L6, IC50 7.7 µM), prompting the search for less toxic analogues. Subsequent studies identified the requirement of substitution on the indole ring for activity, with 2 being inactive as an antimicrobial or antibiotic enhancer, and that some examples of 5- and 7- substituted analogues (38), notably including halogen, methoxy or methyl functionality, exhibited more modest antimicrobial activities (Table 1), were moderate to excellent antibiotic enhancers (Table 2) and were generally less cytotoxic and non-hemolytic (Table 3) [16].
Taken together, these studies enabled the identification of the structural requirements for antibiotic enhancement properties amongst a limited set of indolglyoxyl-spermine conjugates, summarized in Figure 2.
A component of the structure–activity relationship yet to be addressed in this compound series is the effect, if any, of variation in the polyamine (PA) chain length on intrinsic antimicrobial, antibiotic enhancement and cytotoxicity/hemolysis biological activities. Previous studies investigating disubstituted polyamine-bearing arylacyl [17] head groups identified that changes in the chain length of the core polyamine fragment can lead to wide variation in antimicrobial and/or antibiotic enhancing properties. Herein we report details on the synthesis of a new set of indolglyoxyl-polyamine conjugates that vary in substitution at the 5- and 7- positions on the indole ring and that vary in polyamine chain length, and the abilities of these analogues to exhibit intrinsic antimicrobial properties and to potentiate the activity of doxycycline towards the Gram-negative bacteria Pseudomonas aeruginosa.

2. Results and Discussion

2.1. Chemistry

The Boc-protected polyamine scaffolds used in this study were the five examples 9ae covering core chain lengths of 6, 7, 8, 10 and 12 methylenes (Figure 3). The preparation of 9ae has been previously described [18,19,20,21].
The indole-3-glyoxyl head groups used in the current study (1016) (Figure 4) were the same set previously explored in analogues 28 [16]. Syntheses of 1015, as either the glyoxylic acid or glyoxylchloride, have been previously reported [22,23,24,25].
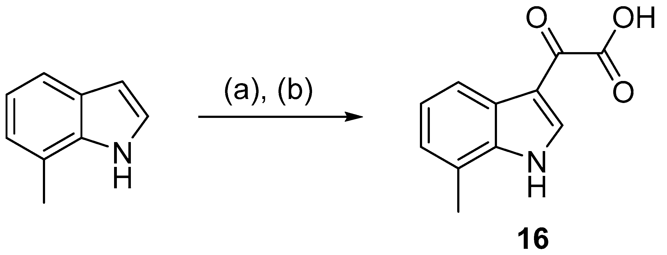
In the case of the 7-methyl analogue 16, it was prepared using the two-step protocol shown in Scheme 1. Reaction of 7-methyl-1H-indole with excess oxalyl chloride afforded the oxalylchloride intermediate which was not isolated but hydrolyzed by heating with saturated aq. NaHCO3 solution to afford 2-(7-methyl-1H-indol-3-yl)-2-oxoacetic acid (16) (Figure S1) in 95% yield over two steps.
The reaction of indole-3-glyoxyl chlorides 1012 and 14 directly with Boc-protected polyamines 9ae, or glyoxylic acids 13, 15 and 16 with 9ae utilizing the coupling reagent PyBOP (benzotriazol-1-yloxytripyrrolidinophosphonium hexafluorophosphate) afforded a set of intermediate products that were then deprotected with 2,2,2-trifluoroacetic acid (TFA) to afford the desired compounds as their di-TFA salts (Scheme 2, Figures S2–S30).

2.2. Biological Evaluation

The antimicrobial activity of the series was evaluated against a range of bacterial strains (S. aureus, MRSA, P. aeruginosa and Escherichia coli) and the fungus Candida albicans (Table 1). Cytotoxicity towards HEK293 (human kidney epithelial cell line, IC50) and hemolytic activity against human red blood cells (HC10) were also determined.
Table 1. Antimicrobial (MIC), cytotoxicity (IC50) and hemolytic (HC10) activities (µM) of analogues 28, 1723.
Table 1. Antimicrobial (MIC), cytotoxicity (IC50) and hemolytic (HC10) activities (µM) of analogues 28, 1723.
CompoundS. a aMRSA bP. a cE. c dC. a eCyto. fHem. g
2>100 h41.4>100 h>100 h>41.4 h>41 h>41
33.125 h4.3250 h25 h>34.4 h14 h>34
4100 h38.4>200 h>200 h>38.4 h>38 h>38
525 h20.0100 h200 h>40.0 h>40 h>40
625 h19.8200 h200 h>39.6 h19 h>40
715 h38.4>200 h>200 h38.4 h27 h>38
825 h20.0>200 h>200 h>40.0 h>40 h>40
17a12.5>40 >20050>40 n.d in.d
17b2539>20025>39 31>39
17c253910012.5>39 10>39
17d14.618.7117117374.9>37
17e259.04>200>200365.6>36
18a1.564.17506.2516.78.9>33
18b6.44.151511613>33
18c258.1>200>2003218>32
18d6.167.88200983216>32
18e5.993.849624318.620
19a29>37 >200>200>37 >37>37
19b5737>200>20037>37 >37
19c>100>36 >100>100361826
19d12.517.4>20050356.8>35
19e12.534>200100348.6>34
20a12.5≤0.3020050>39 >39 n.d.
20b6.25≤0.3020050>38 n.d.>38
20c3.1254.780012.5>37 >37 n.d.
20d3.125≤0.2880012.59.0>36 n.d.
20e3.125n.d. 80012.52.2n.d.2.0
21a7.519.1240240>38 12>38 e
21b7.318.8>200>2003811>38
21c2918.5>200>200>37 9.2>37
21d3.1254.48>2006.25364.7>36
21e27.24.34>220>220356.4>35
22a50>37 800400>37 >37 >37
22b25>37 800200>37 8.9>37
22c254.5800200>36 n.d.>36
22d25≤0.278005017>35 8.4
22e3.125≤0.2680012.5≤0.26n.d.0.93
23a30.2≤0.30>24060>39 >39 >39
23b14.8≤0.30>240120>38 >38 >38
23c7.3≤0.29>23029>37 >37 >37
23d7.1≤0.28>23014.118>36 n.d.
23e6.85≤0.27>22013.7≤0.27>35 8.4
a S. aureus ATCC 25923 with streptomycin (MIC 21.5 µM) and chloramphenicol (MIC 1.5–3 µM) used as positive controls and values presented as the mean (n = 3); b MRSA ATCC 43300 with vancomycin (MIC 0.7 μM) used as a positive control and values presented as the mean (n = 2); c P. aeruginosa ATCC 27853 with streptomycin (MIC 21.5 µM) and colistin (MIC 1 µM) used as positive controls and values presented as the mean (n = 3); d E. coli ATCC 25922 with streptomycin (MIC 21.5 µM) and colistin (MIC 2 µM) used as positive controls and values presented as the mean (n = 3); e C. albicans ATCC 90028 with fluconazole (MIC 0.4 μM) as a positive control and values presented as the mean (n = 2); f Concentration of compound at 50% cytotoxicity on HEK293 (human embryonic kidney cells) with tamoxifen as the positive control (IC50 24 µM) and values presented as the mean (n = 2); g Concentration of compound at 10% hemolytic activity on human red blood cells with melittin as the positive control (HC10 0.95 μM) and values presented as the mean (n = 2); h Data taken from Cadelis et al. [16]; i n.d., not determined.
In general, the compound set exhibited more pronounced activity towards the Gram-positive bacteria S. aureus ATCC 25923 and MRSA, with only poor or no activity towards Gram-negative bacteria P. aeruginosa and E. coli and the fungus C. albicans. Amongst the more active examples identified were the 5-bromo substituted analogues 18ae with S. aureus and MRSA MIC 1.6–7.8 µM, 5-methyl analogues 20ad (MIC ≤ 0.28–6.25 µM), 7-methoxy analogue 22e (MIC ≤ 0.26–3.125 µM), and 7-methyl substituted variants 23ce (MIC ≤ 0.27–7.3 µM). In many cases, those analogues that exhibited good levels of antimicrobial activity also unfortunately demonstrated cytotoxicity and/or hemolytic activity. There were some examples identified, however, that were devoid of these detrimental properties including the 7-methyl substituted analogues 23b (MIC MRSA ≤ 0.30 µM, cytotoxicity IC50 > 38 µM, hemolysis HC10 > 38 µM) and 23c (MIC MRSA ≤ 0.29 µM, cytotoxicity IC50 > 37 µM, hemolysis HC10 > 37 µM). Overall, the discovery of Gram-positive antibacterial activity for 23b and 23c with low to no cytotoxicity and hemolytic activity suggests a narrow structure–activity requirement of 7-methyl substitution and polyamine mid-chain length of 7 (PA3-7-3) or 8 (PA3-8-3) carbons for optimal activity.
The set of compounds were next evaluated for the ability to potentiate the activity of the antibiotic doxycycline towards the Gram-negative bacteria P. aeruginosa ATCC 27853 (Table 2). In these assays, doxycycline is present at a concentration of 2 µg/mL (4.5 µM), well below the observed MIC of 20 µg/mL (50 µM) towards this drug-resistant human pathogen.
Table 2. Doxycycline potentiation activity (MIC, µM) of analogues 28, 1723.
Table 2. Doxycycline potentiation activity (MIC, µM) of analogues 28, 1723.
CompoundConc (µM) for Potentiation aCompoundConc (µM) for Potentiation a
2>50 b20a12.5
33.125 b20b12.5
412.5 b20c400
56.25 b20d400
63.125 b20e400
73.75 b21a3.7
86.25 b21b7.3
17a12.521c58
17b10021d100
17c5021e>200
17d5822a100
17e6.2522b100
18a6.522c200
18b12.922d400
18c>20022e400
18d2523a60
18e2423b240
19a7.323c230
19b11423d230
19c2523e220
19d>200
19e>200
a Concentration (µM) required to restore doxycycline activity at 2 µg/mL (4.5 µM) against P. aeruginosa ATCC 27853; b Data taken from Cadelis et al. [16].
Strong antibiotic enhancing activities were observed for the PA3-6-3 analogues 18a (5-bromo, MIC 6.5 µM), 19a (5-methoxy, MIC 7.3 µM) and 21a (7-fluoro, MIC 3.7 µM), the 7-fluoro substituted PA3-7-3 analogue 21b (MIC 7.3 µM), and the unsubstituted indolglyoxyl-PA3-12-3 analogue 17e (MIC 6.25 µM).
A closer investigation of the ability of the 5-methoxy-indolglyoxyl-PA3-6-3 analogue 19a to enhance the action of other antibiotics towards P. aeruginosa identified it to be capable of reactivating another tetracycline antibiotic minocycline (MIC 14.5 µM), was only a weak activator of chloramphenicol (MIC 58 µM) and could not restore the activity of erythromycin or nalidixic acid (Table 3).
Table 3. Antibiotic potentiating activity of 19a.
Table 3. Antibiotic potentiating activity of 19a.
Antibiotic Concentration (µM) for Potentiation against
P. aeruginosa a
No antibiotic>200
Minocycline14.5
Erythromycin>200
Chloramphenicol58
Nalidixic acid>200
All values presented as the mean (n = 3). a Concentration (µM) of compound 19a required to restore antibiotic activity at 2 µg/mL concentration of antibiotic. P. aeruginosa ATCC 27853 against minocycline (MIC 70 µM), erythromycin (MIC >200 µM), chloramphenicol (MIC >200 µM) and nalidixic acid (MIC >200 µM).
The spectrum of antibiotic potentiating activity of the 7-fluoro analogue 21a was also investigated, evaluating its ability to enhance other antibiotics against other Gram-negative bacteria (Table 4). The polyamine-conjugate was able to restore the action of doxycycline against E. coli (MIC 1.56 µM) and to a lesser degree against Acinetobacter baumannii (MIC 12.5 µM). Of the other combinations examined, 21a was also found to weakly enhance the action of chloramphenicol and nalidixic acid towards P. aeruginosa. We have observed similar levels of drug-organism antibiotic enhancement for other examples of indolglyoxyl-polyamines [16].

3. Materials and Methods

3.1. Chemistry: General Remarks

Infrared spectra were recorded on a Perkin-Elmer spectrometer 100 Fourier-transform infrared spectrometer (Perkin-Elmer, MA, USA) equipped with a universal ATR accessory. Mass spectra were acquired on a Bruker micrOTOF Q II spectrometer. 1H and 13C NMR spectra were recorded at 298 K on a Bruker (Karlsruhe, Germany) AVANCE 400 spectrometer using standard pulse sequences. Proto-deutero solvent signals were used as internal references (DMSO-d6: δH 2.50, δC 39.52). For 1H NMR, the data are quoted as position (δ), relative integral, multiplicity (s = singlet, d = doublet, t = triplet, dt = doublet of triplet, tt = triplet of triplet, m = multiplet), coupling constant (J, Hz), and assignment to the atom. The 13C NMR data are quoted as position (δ), and assignment to the atom. Flash column chromatography was carried out using Davisil silica gel (40–60 μm) or Merck LiChroprep RP-8 (40–63 µm) (Merck Millipore, Darmstadt, Germany). Thin-layer chromatography was conducted on Merck DC Kieselgel 60 RP-18 F254S plates. All solvents used were of analytical grade or better and/or purified according to standard procedures. Chemical reagents used were purchased from standard chemical suppliers and used as purchased. Protected polyamines di-tert-butyl hexane-1,6-diylbis((3-aminopropyl)carbamate) (9a), di-tert-butyl heptane-1,7-diylbis((3-aminopropyl)carbamate) (9b), di-tert-butyl octane-1,8-diylbis((3-aminopropyl)carbamate) (9c), di-tert-butyl decane-1,10-diylbis((3-aminopropyl)carbamate) (9d), and di-tert-butyl dodecane-1,12-diylbis((3-aminopropyl)carbamate) (9e) [18,19,20,21], 2-(1H-indol-3-yl)-2-oxoacetyl chloride (10) [22], 2-(5-bromo-1H-indol-3-yl)-2-oxoacetyl chloride (11) [16], 2-(5-methoxy-1H-indol-3-yl)-2-oxoacetyl chloride (12) [23], 2-(5-methyl-1H-indol-3-yl)-2-oxoacetic acid (13) [24], 2-(7-fluoro-1H-indol-3-yl)-2-oxoacetyl chloride (14) [5], 2-(7-methoxy-1H-indol-3-yl)-2-oxoacetic acid (15) [25], and polyamine conjugates (17c/17e/19c/19e/22c/22e) [25] were synthesized using procedures from the literature.

3.1.1. General Procedure A—Coupling of 3-Indolglyoxylyl Chlorides with Boc-Protected Polyamine

To a solution of 3-indolglyoxylyl chloride (2 equiv.) in DMF (1 mL) was added DIPEA (6 equiv.) and Boc-protected polyamine 9ae (1 equiv.) in DMF (1 mL). The reaction mixture was stirred for 48 h before solvent removal under reduced pressure. The crude product was purified using silica gel flash column chromatography (3% MeOH:CH2Cl2).

3.1.2. General Procedure B—Boc Deprotection

A solution of tert-butyl-carbamate derivative in CH2Cl2 (2 mL) and TFA (0.2 mL) was stirred at room temperature under N2 for 2 h followed by solvent removal under reduced pressure. The crude product was purified using C8 reversed-phase flash column chromatography (0%–50% MeOH/H2O (+0.05% TFA)) to afford the product as a di-TFA salt.

3.1.3. General procedure C—Coupling of Indole-Oxoacetic Acids with Boc-Protected Polyamine

To a solution of indole-oxoacetic acid (2 equiv.) and PyBOP (2 equiv.) in DMF (1 mL) was added DIPEA (3.5 equiv.) and Boc-protected polyamine 9ae (1 equiv.) in DMF (1 mL). The reaction mixture was stirred for 24 h under N2 at room temperature before the solvent was removed under reduced pressure. The crude product was purified using silica gel flash column chromatography (1–4% MeOH:CH2Cl2).

3.2. Synthesis of Compounds

3.2.1. 2-(7-Methyl-1H-indol-3-yl)-2-oxoacetic Acid (16)

Oxalyl chloride (0.69 mL, 8.0 mmol) was added dropwise at 0 °C to 7-methyl-1H-indole (0.35 g, 2.7 mmol) in anhydrous diethyl ether (10 mL) and the solution stirred for 1.5 h. Saturated aq. NaHCO3 (10 mL) was then added, and the solution heated at reflux for 2 h. After cooling to room temperature, 10% aq. HCl was added to adjust the pH to 1. The resulting yellow precipitate was filtered, washed with cold diethyl ether (10 mL) and dried under vacuum, affording 2-(7-methyl-1H-indol-3-yl)-2-oxoacetic acid (16) as a yellow solid (0.52 g, 95%). The product was used in the next step without further purification. Rf (MeOH:10% HCl, 3:1) 0.57; m.p. 206 °C (decomp); IR νmax (ATR) 3320, 2944, 2832, 1625, 1448, 1112, 1028 cm−1; 1H NMR, (DMSO-d6, 400 MHz) δ 12.37 (1H, br s, NH-1), 8.37 (1H, d, J = 3.4 Hz, H-2), 8.01 (1H, d, J = 7.9 Hz, H-4), 7.16 (1H, t, J = 7.6 Hz, H-5), 7.08 (1H, d, J = 7.3 Hz, H-6), 2.51 (3H, s, Me), OH not observed; 13C NMR (DMSO-d6, 100 MHz) δ 180.9 (C-8), 165.3 (C-9), 137.5 (C-2), 136.1 (C-7a), 125.4 (C-3a), 124.3 (C-6), 122.9 (C-5), 122.1 (C-7), 118.7 (C-4), 112.7 (C-3), 16.7 (Me); (−)-HRESIMS [M-H] m/z 202.0514 (calcd for C11H8NO3, 202.0510).

3.2.2. N1,N6-Bis(3-(2-(1H-indol-3-yl)-2-oxoacetamido)propyl)hexane-1,6-diaminium 2,2,2-trifluoroacetate (17a)

Using general procedure A, 2-(1H-indol-3-yl)-2-indoloxoacetyl chloride (10) (0.048 g, 0.24 mmol) was reacted with di-tert-butyl hexane-1,6-diylbis((3-aminopropyl)carbamate) (9a) (0.050 g, 0.12 mmol) and DIPEA (0.13 mL, 0.74 mmol) to afford di-tert-butyl hexane-1,6-diylbis((3-(2-(1H-indol-3-yl)-2-oxoacetamido)propyl)carbamate) as a yellow gum (0.045 g, 48%). Using general procedure B, a sub-sample of this product (0.040 g, 0.05 mmol) was reacted with TFA (0.2 mL) in CH2Cl2 (2 mL) to afford the di-TFA salt 17a as a pale-yellow oil (0.018 g, 45%). Rf (MeOH/10% HCl, 7:3) 0.63; IR (ATR) νmax 3389, 2949, 2838, 1713, 1663, 1342, 1333, 1204, 1031 cm−1; 1H NMR (DMSO-d6, 400 MHz) δ 12.26 (2H, br s, NH-1), 8.89 (2H, t, J = 6.0 Hz, NH-10), 8.76 (2H, d, J = 3.3 Hz, H-2), 8.32 (4H, br s, NH2-14), 8.24–8.22 (2H, m, H-4), 7.55–7.53 (2H, m, H-7), 7.28–7.25 (4H, m, H-5, H-6), 3.35–3.26 (4H, obscured, H2-11), 2.96–2.86 (8H, m, H2-13, H2-15), 1.88–1.81 (4H, m, H2-12), 1.58–1.53 (4H, m, H2-16), 1.33–1.30 (4H, m, H2-17); 13C NMR (DMSO-d6, 100 MHz) δ 181.7 (C-8), 163.8 (C-9), 138.5 (C-2), 136.3 (C-7a), 126.2 (C-3a), 123.6 (C-6), 123.7 (C-5), 121.2 (C-4), 112.6 (C-7), 112.1 (C-3), 46.7 (C-15), 44.8 (C-13), 35.8 (C-11), 25.7, 25.5, 25.4 (C-12, C-16, C-17); (+)-HRESIMS [M+H]+ m/z 573.3190 (calcd for C32H41N6O4, 573.3184).

3.2.3. N1,N7-Bis(3-(2-(1H-indol-3-yl)-2-oxoacetamido)propyl)heptane-1,7-diaminium 2,2,2-trifluoroacetate (17b)

Using general procedure A, 2-(1H-indol-3-yl)-2-oxoacetyl chloride (10) (0.072 g, 0.35 mmol) was reacted with di-tert-butyl heptane-1,7-diylbis((3-aminopropyl)carbamate) (9b) (0.078 g, 0.17 mmol) and DIPEA (0.18 mL, 1.03 mmol) to afford di-tert-butyl heptane-1,7-diylbis((3-(2-(1H-indol-3-yl)-2-oxoacetamido)propyl)carbamate) as a yellow oil (0.046 g, 33%). Using general procedure B, a sub-sample of this product (0.010 g, 0.013 mmol) was reacted with TFA (0.2 mL) in CH2Cl2 (2 mL) to afford the di-TFA salt 17b as an orange oil (0.011 g, 100%). Rf (MeOH/10% HCl, 7:3) 0.64; IR (ATR) νmax 3269, 2865, 1677, 1627, 1495, 1438 cm−1; 1H NMR (DMSO-d6, 400 MHz) δ 12.36 (2H, s, NH-1), 8.87 (2H, t, J = 6.1 Hz, NH-10), 8.76 (2H, s, H-2), 8.65 (4H, br s, NH2-14), 8.24–8.22 (2H, m, H-4), 7.57–7.53 (2H, m, H-7), 7.29–7.23 (2H, m, H-5, H-6), 3.31 (4H, m, H2-11), 2.92–2.88 (8H, m, H2-13, H2-15), 1.88–1.85 (4H, m, H2-12), 1.57 (4H, br s, H2-16), 1.28–1.23 (6H, m, H2-17, H2-18); 13C NMR (DMSO-d6, 100 MHz) δ 181.8 (C-8), 163.8 (C-9), 138.5 (C-2), 136.3 (C-7a), 126.2 (C-3a), 123.5 (C-6), 122.6 (C-5), 121.3 (C-4), 112.6 (C-7), 112.1 (C-3), 46.7 (C-15), 44.7 (C-13), 35.8 (C-11), 28.0 (C-18), 25.8, 25.7, 25.4 (C-12, C-16, C-17); (+)-HRESIMS [M+H]+ m/z 587.3344 (calcd for C33H43N6O4, 587.3340).

3.2.4. N1,N10-Bis(3-(2-(1H-indol-3-yl)-2-oxoacetamido)propyl)decane-1,10-diaminium 2,2,2-trifluoroacetate (17d)

Using general procedure A, 2-(1H-indol-3-yl)-2-oxoacetyl chloride (10) (0.073 g, 0.36 mmol) was reacted with di-tert-butyl decane-1,10-diylbis((3-aminopropyl)carbamate) (9d) (0.084 g, 0.17 mmol) and DIPEA (0.19 mL, 1.1 mmol) to afford di-tert-butyl decane-1,10-diylbis((3-(2-(1H-indol-3-yl)-2-oxoacetamido)propyl)carbamate) as a dark yellow oil (0.056 g, 40%). Using general procedure B, a sub-sample of this product (0.016 g, 0.019 mmol) was reacted with TFA (0.2 mL) in CH2Cl2 (2 mL) to afford the di-TFA salt 17d as a yellow oil (0.011 g, 66%). Rf (MeOH/10% HCl, 7:3) 0.60; IR (ATR) νmax 3410, 2844, 2677, 1630, 1494, 1441 cm−1; 1H NMR (DMSO-d6, 400 MHz) δ 12.29 (2H, s, NH-1), 8.89 (2H, t, J = 6.0 Hz, NH-10), 8.76 (2H, d, J = 2.6 Hz, H-2), 8.41 (4H, br s, NH2-14), 8.24–8.22 (2H, m, H-4), 7.55–7.53 (2H, m, H-7), 7.29–7.25 (4H, m, H-5, H-6), 3.30–3.27 (4H, obscured, H2-11), 2.98–2.84 (8H, m, H2-13, H2-15), 1.88–1.81 (4H, m, H2-12), 1.57–1.53 (4H, m, H2-16), 1.24 (12H, br s, H2-17, H2-18, H2-19); 13C NMR (DMSO-d6, 100 MHz) δ 181.7 (C-8), 163.7 (C-9), 138.5 (C-2), 136.2 (C-7a), 126.2 (C-3a), 123.5 (C-6), 122.6 (C-5), 121.2 (C-4), 112.6 (C-7), 112.1 (C-3), 46.8 (C-15), 44.7 (C-13), 35.8 (C-11), 28.7, 28.5 (C-18, C-19), 25.9, 25.7, 25.5 (C-12, C-16, C-17); (+)-HRESIMS [M+H]+ m/z 629.3804 (calcd for C36H49N6O4, 629.3810).

3.2.5. N1,N6-Bis(3-(2-(5-bromo-1H-indol-3-yl)-2-oxoacetamido)propyl)hexane-1,6-diaminium 2,2,2-trifluoroacetate (18a)

Using general procedure A, 2-(5-bromo-1H-indol-3-yl)-2-indoloxoacetyl chloride (11) (0.067 g, 0.24 mmol) was reacted with di-tert-butyl hexane-1,6-diylbis((3-aminopropyl)carbamate) (9a) (0.050 g, 0.12 mmol) and DIPEA (0.13 mL, 0.74 mmol) to afford di-tert-butyl hexane-1,6-diylbis((3-(2-(5-bromo-1H-indol-3-yl)-2-oxoacetamido)propyl)carbamate) as a pale yellow gum (0.030 g, 27%). Using general procedure B, this product (0.030 g, 0.03 mmol) was reacted with TFA (0.2 mL) in CH2Cl2 (2 mL) to afford the di-TFA salt 18a as a pale-yellow oil (0.006 g, 19%). Rf (MeOH/10% HCl, 7:3) 0.38; IR (ATR) νmax 3434, 1672, 1627, 1433, 1293, 1202, 1137, 1028, 721 cm−1; 1H NMR (DMSO-d6, 400 MHz) δ 12.48 (2H, br s, NH-1), 8.91 (2H, t, J = 6.0 Hz, NH-10), 8.80 (2H, s, H-2), 8.45 (4H, br s, NH2-14), 8.35 (2H, d, J = 2.0 Hz, H-4), 7.53 (2H, d, J = 8.5 Hz, H-7), 7.42 (2H, dd, J = 8.5, 2.0 Hz, H-6), 3.34–3.29 (4H, obscured, H2-11), 2.97–2.86 (8H, m, H2-13, H2-15), 1.85 (4H, tt, J = 8.5, 8.5 Hz, H2-12), 1.56 (4H, br s, H2-16), 1.31 (4H, br s, H2-17); 13C NMR (DMSO-d6, 100 MHz) δ 181.7 (C-8), 163.3 (C-9), 139.5 (C-2), 135.1 (C-7a), 128.0 (C-3a), 126.1 (C-6), 123.3 (C-4), 115.4 (C-5), 114.7 (C-7), 111.6 (C-3), 46.7 (C-15), 44.7 (C-13), 35.8 (C-11), 25.7, 25.5, 25.4 (C-12, C-16, C-17); (+)-HRESIMS [M+Na]+ m/z 751.1230 (calcd for C32H3879Br2N6NaO4, 751.1213), 753.1199 (calcd for C32H3879Br81BrN6NaO4, 753.1196), 755.1197 (calcd for C32H3881Br2N6NaO4, 755.1183).

3.2.6. N1,N7-Bis(3-(2-(5-bromo-1H-indol-3-yl)-2-oxoacetamido)propyl)heptane-1,7-diaminium 2,2,2-trifluoroacetate (18b)

Using general procedure A, 2-(5-bromo-1H-indol-3-yl)-2-oxoacetyl chloride (11) (0.089 g, 0.31 mmol) was reacted with di-tert-butyl heptane-1,7-diylbis((3-aminopropyl)carbamate) (9b) (0.069 g, 0.15 mmol) and DIPEA (0.16 mL, 0.92 mmol) to afford di-tert-butyl heptane-1,7-diylbis((3-(2-(5-bromo-1H-indol-3-yl)-2-oxoacetamido)propyl)carbamate) as an orange oil (0.027 g, 17%). Using general procedure B, a sub-sample of this product (0.010 g, 0.010 mmol) was reacted with TFA (0.2 mL) in CH2Cl2 (2 mL) to afford the di-TFA salt 18b as a yellow oil (0.009 g, 80%). Rf (MeOH/10% HCl, 7:3) 0.35; IR (ATR) νmax 3422, 2955, 2839, 1680, 1434 cm−1; 1H NMR (DMSO-d6, 400 MHz) δ 12.48 (2H, d, J = 2.8 Hz, NH-1), 8.91 (2H, t, J = 6.0 Hz, NH-10), 8.80 (2H, d, J = 2.8, H-2), 8.44 (4H, br s, NH2-14), 8.35 (2H, d, J = 2.0 Hz, H-4), 7.53 (2H, d, J = 8.8 Hz, H-7), 7.42 (2H, dd, J = 8.8, 2.0 Hz, H-6), 3.30 (4H, dt, J = 6.4, 6.4 Hz, H2-11), 2.93–2.89 (8H, m, H2-13, H2-15), 1.88–1.81 (4H, m, H2-12), 1.56 (4H, br s, H2-16), 1.29–1.23 (6H, m, H2-17, H2-18); 13C NMR (DMSO-d6, 100 MHz) δ 181.7 (C-8), 163.3 (C-9), 139.5 (C-2), 135.1 (C-7a), 128.0 (C-3a), 126.1 (C-6), 123.3 (C-4), 115.4 (C-5), 114.7 (C-7), 111.6 (C-3), 46.7 (C-15), 44.7 (C-13), 35.8 (C-11), 28.0 (C-18), 25.8, 25.7, 25.4 (C-12, C-16, C-17); (+)-HRESIMS [M+H]+ m/z 743.1570 (calcd for C33H4179Br2N6O4, 743.1551), 745.1555 (calcd for C33H4179Br81BrN6O4, 745.1533), 747.1544 (calcd for C33H4181Br2N6O4, 747.1521).

3.2.7. N1,N8-Bis(3-(2-(5-bromo-1H-indol-3-yl)-2-oxoacetamido)propyl)octane-1,8-diaminium 2,2,2-trifluoroacetate (18c)

Using general procedure A, 2-(5-bromo-1H-indol-3-yl)-2-oxoacetyl chloride (11) (0.072 g, 0.25 mmol) was reacted with di-tert-butyl octane-1,8-diylbis((3-aminopropyl)carbamate) (9c) (0.055 g, 0.12 mmol) and DIPEA (0.12 mL, 0.66 mmol) to afford di-tert-butyl octane-1,8-diylbis((3-(2-(5-bromo-1H-indol-3-yl)-2-oxoacetamido)propyl)carbamate) as a brown oil (0.035 g, 30%). Using general procedure B, a sub-sample of this product (0.020 g, 0.021 mmol) was reacted with TFA (0.2 mL) in CH2Cl2 (2 mL) to afford the di-TFA salt 18c as a brown oil (0.0048 g, 23%). Rf (MeOH/10% HCl, 7:3) 0.32; IR (ATR) νmax 3056, 2163, 1978, 1711, 1677, 1433, 1360, 1265, 1203, 1141, 1058, 738, 704 cm−1; 1H NMR (DMSO-d6, 400 MHz) δ 12.46 (2H, s, NH-1), 8.93 (2H, t, J = 6.1 Hz, NH-10), 8.82 (2H, br s, H-2), 8.37 (2H, d, J = 2.0 Hz, H-4), 8.36 (4H, br s, NH2-14), 7.55 (2H, d, J = 8.9 Hz, H-7), 7.44 (2H, dd, J = 8.6, 1.8 Hz, H-6), 3.30 (4H, obscured, H2-11), 2.94–2.89 (8H, m, H2-13, H2-15), 1.86–1.83 (4H, m, H2-12), 1.55–1.53 (4H, br s, H2-16), 1.26–1.23 (8H, m, H2-17, H2-18); 13C NMR (DMSO-d6, 100 MHz) δ 181.7 (C-8), 163.3 (C-9), 139.5 (C-2), 135.0 (C-7a), 128.0 (C-3a), 126.1 (C-6), 123.3 (C-4), 115.4 (C-5), 114.8 (C-7), 111.6 (C-3), 46.7 (C-15), 44.7 (C-13), 35.8 (C-11), 28.3 (C-18), 25.8, 25.7, 25.5 (C-12, C-16, C-17); (+)-HRESIMS [M+Na]+ m/z 779.1548 (calcd C34H4279Br2N6NaO4, 779.1526), 781.1513 (calcd C34H4279Br81BrN6NaO4, 781.1509), 783.1497 (calcd C34H4281Br2N6NaO4, 783.1497).

3.2.8. N1,N10-Bis(3-(2-(5-bromo-1H-indol-3-yl)-2-oxoacetamido)propyl)decane-1,10-diaminium 2,2,2-trifluoroacetate (18d)

Using general procedure A, 2-(5-bromo-1H-indol-3-yl)-2-oxoacetyl chloride (11) (0.083 g, 0.29 mmol) was reacted with di-tert-butyl decane-1,10-diylbis((3-aminopropyl)carbamate) (9d) (0.068 g, 0.14 mmol) and DIPEA (0.15 mL, 0.86 mmol) to afford di-tert-butyl decane-1,10-diylbis((3-(2-(5-bromo-1H-indol-3-yl)-2-oxoacetamido)propyl)carbamate) as an orange oil (0.042 g, 30%). Using general procedure B, a sub-sample of this product (0.026 g, 0.026 mmol) was reacted with TFA (0.2 mL) in CH2Cl2 (2 mL) to afford the di-TFA salt 18d as a brown oil (0.007 g, 34%). Rf (MeOH/10% HCl, 7:3) 0.34; IR (ATR) νmax 3023, 1676, 1438, 1203, 1030, 721 cm−1; 1H NMR (DMSO-d6, 400 MHz) δ 12.46 (2H, d, J = 2.1 Hz, NH-1), 8.91 (2H, t, J = 5.9 Hz, NH-10), 8.80 (2H, s, H-2), 8.35 (4H, br s, NH2-14), 8.35 (2H, d, J = 2.0 Hz, H-4), 7.53 (2H, d, J = 8.6 Hz, H-7), 7.42 (2H, dd, J = 8.5, 2.1 Hz, H-6), 3.30 (4H, dt, J = 6.5, 6.5 Hz, H2-11), 2.97–2.84 (8H, m, H2-13, H2-15), 1.84 (4H, tt, J = 7.6, 7.6 Hz, H2-12), 1.55 (4H, br s, H2-16), 1.24 (12H, br s, H2-17, H2-18, H2-19); 13C NMR (DMSO-d6, 100 MHz) δ 181.7 (C-8), 163.3 (C-9), 139.5 (C-2), 135.1 (C-7a), 128.0 (C-3a), 126.1 (C-6), 123.3 (C-4), 115.4 (C-5), 114.7 (C-7), 111.6 (C-3), 46.8 (C-15), 44.7 (C-13), 35.8 (C-11), 28.7, 28.5 (C-18, C-19), 25.9, 25.6, 25.5 (C-12, C-16, C-17); (+)-HRESIMS [M+H]+ m/z 785.2001 (calcd for C36H4779Br2N6O4, 785.2020), 787.1988 (calcd for C36H4779Br81BrN6O4, 787.2003), 789.1973 (calcd for C36H4781Br2N6O4, 789.1992).

3.2.9. N1,N12-Bis(3-(2-(5-bromo-1H-indol-3-yl)-2-oxoacetamido)propyl)dodecane-1,12-diaminium 2,2,2-trifluoroacetate (18e)

Using general procedure A, 2-(5-bromo-1H-indol-3-yl)-2-oxoacetyl chloride (11) (0.081 g, 0.28 mmol) was reacted with di-tert-butyl dodecane-1,12-diylbis((3-aminopropyl)carbamate) (9e) (0.073 g, 0.14 mmol) and DIPEA (0.15 mL, 0.86 mmol) to afford di-tert-butyl dodecane-1,12-diylbis((3-(2-(5-bromo-1H-indol-3-yl)-2-oxoacetamido)propyl)carbamate) as a dark orange oil (0.047 g, 33%). Using general procedure B, a sub-sample of this product (0.014 g, 0.014 mmol) was reacted with TFA (0.2 mL) in CH2Cl2 (2 mL) to afford the di-TFA salt 18e as a yellow oil (0.011 g, 76%). Rf (MeOH/10% HCl, 7:3) 0.35; IR (ATR) νmax 3402, 2981, 2036, 1681, 1654, 1385 cm−1; 1H NMR (DMSO-d6, 400 MHz) δ 12.50 (2H, d, J = 2.3 Hz, NH-1), 8.91 (2H, t, J = 6.0 Hz, NH-10), 8.80 (2H, d, J = 2.4, H-2), 8.44 (4H, br s, NH2-14), 8.35 (2H, d, J = 1.7 Hz, H-4), 7.53 (2H, d, J = 8.6 Hz, H-7), 7.41 (2H, dd, J = 8.6, 1.8 Hz, H-6), 3.30 (4H, dt, J = 6.3, 6.3 Hz, H2-11), 2.98–2.84 (8H, m, H2-13, H2-15), 1.86–1.82 (4H, m, H2-12), 1.55 (4H, br s, H2-16), 1.27–1.23 (16H, m, H2-17, H2-18, H2-19, H2-20); 13C NMR (DMSO-d6, 100 MHz) δ 181.7 (C-8), 163.4 (C-9), 139.5 (C-2), 135.1 (C-7a), 128.0 (C-3a), 126.1 (C-4), 123.3 (C-6), 115.4 (C-5), 114.7 (C-7), 111.6 (C-3), 46.8 (C-15), 44.7 (C-13), 35.8 (C-11), 28.9, 28.8, 28.5 (C-18, C-19, C-20), 25.9, 25.6, 25.5 (C-12, C-16, C-17); (+)-HRESIMS [M+H]+ m/z 813.2336 (calcd for C38H5179Br2N6O4, 813.2333), 815.2315 (calcd for C38H5179Br81BrN6O4, 815.2317), 817.2308 (calcd for C38H5181Br2N6O4, 817.2306).

3.2.10. N1,N6-Bis(3-(2-(5-methoxy-1H-indol-3-yl)-2-oxoacetamido)propyl)hexane-1,6-diaminium 2,2,2-trifluoroacetate (19a)

Using general procedure A, 2-(5-methoxy-1H-indol-3-yl)-2-indoloxoacetyl chloride (12) (0.057 g, 0.24 mmol) was reacted with di-tert-butyl hexane-1,6-diylbis((3-aminopropyl)carbamate) (9a) (0.050 g, 0.12 mmol) and DIPEA (0.13 mL, 0.74 mmol) to afford di-tert-butyl hexane-1,6-diylbis((3-(2-(5-methoxy-1H-indol-3-yl)-2-oxoacetamido)propyl)carbamate) as an orange oil (0.025 g, 24%). Using general procedure B, a sub-sample of this product (0.018 g, 0.022 mmol) was reacted with TFA (0.2 mL) in CH2Cl2 (2 mL) to afford the di-TFA salt 19a as a pale orange oil (0.016 g, 86%). Rf (MeOH/10% HCl, 7:3) 0.74; IR (ATR) νmax 3422, 1691, 1628, 1485, 1274, 1201, 1052, 1026, 1006, 823, 760, 734 cm−1; 1H NMR (DMSO-d6, 500 MHz) δ 12.18 (2H, br s, NH-1), 8.86 (2H, t, J = 5.8 Hz, NH-10), 8.69 (2H, d, J = 3.5 Hz, H-2), 8.44 (4H, br s, NH2-14), 7.74 (2H, d, J = 2.6 Hz, H-4), 7.44 (2H, d, J = 8.8 Hz, H-7), 6.91 (2H, dd, J = 8.8, 2.6 Hz, H-6), 3.79 (6H, s, OMe), 3.30 (4H, dt, J = 6.8, 6.8 Hz, H2-11), 2.97–2.86 (8H, br m, H2-13, H2-15), 1.84 (4H, br s, H2-12), 1.56 (4H, br s, H2-16), 1.31 (4H, br s, H2-17); 13C NMR (DMSO-d6, 125 MHz) δ 181.5 (C-8), 163.8 (C-9), 156.0 (C-5), 138.4 (C-2), 131.0 (C-7a), 127.2 (C-3a), 113.3 (C-7), 112.8 (C-6), 112.0 (C-3), 103.5 (C-4), 55.3 (OMe), 46.7 (C-15), 44.7 (C-13), 35.8 (C-11), 25.7, 25.5, 25.4 (C-12, C-16, C-17); (+)-HRESIMS [M+H]+ m/z 633.3396 (calcd for C34H45N6O6, 633.3395).

3.2.11. N1,N7-Bis(3-(2-(5-methoxy-1H-indol-3-yl)-2-oxoacetamido)propyl)heptane-1,7-diaminium 2,2,2-trifluoroacetate (19b)

Using general procedure A, 2-(5-methoxy-1H-indol-3-yl)-2-oxoacetyl chloride (12) (0.079 g, 0.33 mmol) was reacted with di-tert-butyl heptane-1,7-diylbis((3-aminopropyl)carbamate) (9b) (0.070 g, 0.15 mmol) and DIPEA (0.16 mL, 0.92 mmol) to afford di-tert-butyl heptane-1,7-diylbis((3-(2-(5-methoxy-1H-indol-3-yl)-2-oxoacetamido)propyl)carbamate) as a yellow oil (0.004 g, 33%). Using general procedure B, a sub-sample of this product (0.017 g, 0.02 mmol) was reacted with TFA (0.2 mL) in CH2Cl2 (2 mL) to afford the di-TFA salt 19b as a yellow oil (0.014 g, 80%). Rf (MeOH/10% HCl, 7:3) 0.72; IR (ATR) νmax 3318, 2981, 1678, 1621, 1486, 1438 cm−1; 1H NMR (DMSO-d6, 400 MHz) δ 12.22 (2H, d, J = 2.2 Hz, NH-1), 8.86 (2H, t, J = 6.0 Hz, NH-10), 8.69 (2H, d, J = 3.3 Hz, H-2), 8.51 (4H, br s, NH2-14), 7.75 (2H, d, J = 2.5 Hz, H-4), 7.44 (2H, d, J = 8.8 Hz, H-7), 6.90 (2H, dd, J = 8.8, 2.5 Hz, H-6), 3.79 (6H, s, OMe), 3.30 (4H, dt, J = 6.4, 6.4 Hz, H2-11), 2.98–2.89 (8H, m, H2-13, H2-15), 1.89–1.88 (4H, m, H2-12), 1.56 (4H, br s, H2-16), 1.29 (6H, br s, H2-17, H2-18); 13C NMR (DMSO-d6, 100 MHz) δ 181.6 (C-8), 163.9 (C-9), 156.0 (C-5), 138.4 (C-2), 131.0 (C-7a), 127.2 (C-3a), 113.3 (C-7), 112.8 (C-6), 112.0 (C-3), 103.5 (C-4), 55.3 (OMe), 46.7 (C-15), 44.7 (C-13), 35.8 (C-11), 28.0 (C-18), 25.8, 25.7, 25.4 (C-12, C-16, C-17); (+)-HRESIMS [M+H]+ m/z 647.3554 (calcd for C35H47N6O6, 647.3552).

3.2.12. N1,N10-Bis(3-(2-(5-methoxy-1H-indol-3-yl)-2-oxoacetamido)propyl)decane-1,10-diaminium 2,2,2-trifluoroacetate (19d)

Using general procedure A, 2-(5-methoxy-1H-indol-3-yl)-2-oxoacetyl chloride (12) (0.081 g, 0.34 mmol) was reacted with di-tert-butyl decane-1,10-diylbis((3-aminopropyl)carbamate) (9d) (0.076 g, 0.16 mmol) and DIPEA (0.17 mL, 0.97 mmol) to afford di-tert-butyl decane-1,10-diylbis((3-(2-(5-methoxy-1H-indol-3-yl)-2-oxoacetamido)propyl)carbamate) as a yellow oil (0.033 g, 23%). Using general procedure B, a sub-sample of this product (0.016 g, 0.018 mmol) was reacted with TFA (0.2 mL) in CH2Cl2 (2 mL) to afford the di-TFA salt 19d as a dark orange oil (0.014 g, 85%). Rf (MeOH/10% HCl, 7:3) 0.76; IR (ATR) νmax 3364, 2946, 2833, 1579, 1419 cm−1; 1H NMR (DMSO-d6, 400 MHz) δ 12.24 (2H, s, NH-1), 8.85 (2H, t, J = 6.0 Hz, NH-10), 8.68 (2H, d, J = 3.0 Hz, H-2), 8.54 (4H, br s, NH2-14), 7.75 (2H, d, J = 1.9 Hz, H-4), 7.44 (2H, d, J = 8.7 Hz, H-7), 6.90 (2H, dd, J = 8.8, 1.9 Hz, H-6), 3.79 (6H, s, OMe), 3.29 (4H, dt, J = 6.2, 6.2 Hz, H2-11), 2.97–2.85 (8H, br m, H2-13, H2-15), 1.86–1.81 (4H, m, H2-12), 1.55 (4H, br m, H2-16), 1.24 (12H, br s, H2-17, H2-18, H2-19); 13C NMR (DMSO-d6, 100 MHz) δ 181.6 (C-8), 163.9 (C-9), 156.0 (C-5), 138.4 (C-2), 131.0 (C-7a), 127.2 (C-3a), 113.3 (C-7), 112.8 (C-6), 112.0 (C-3), 103.5 (C-4), 55.3 (OMe), 46.8 (C-15), 44.7 (C-13), 35.8 (C-11), 28.7, 28.5 (C-18, C-19), 25.9, 25.7, 25.5 (C-12, C-16, C-17); (+)-HRESIMS [M+H]+ m/z 689.4040 (calcd for C38H53N6O6, 689.4021).

3.2.13. N1,N6-Bis(3-(2-(5-methyl-1H-indol-3-yl)-2-oxoacetamido)propyl)hexane-1,6-diaminium 2,2,2-trifluoroacetate (20a)

Using general procedure C, 2-(5-methyl -1H-indol-3-yl)-2-oxoacetic acid (13) (0.070 g, 0.34 mmol) was reacted with di-tert-butyl hexane-1,6-diylbis((3-aminopropyl) carbamate) (9a) (0.072 g, 0.17 mmol), PyBOP (0.178 g, 0.34 mmol) and DIPEA (0.09 mL, 0.52 mmol). Purification by column chromatography afforded di-tert-butyl hexane-1,6-diylbis((3-(2-(5-methyl-1H-indol-3-yl)-2-oxoacetamido) propyl) carbamate) as a yellow oil (0.054 g, 39%). Using general procedure B, a sub-sample of this product (0.025 g, 0.031 mmol) was reacted with TFA (0.2 mL) in CH2Cl2 (2 mL) to afford the di-TFA salt 20a as a brown gum (0.021 g, 81%). Rf (MeOH/10% HCl, 3:1) 0.59; IR (ATR) νmax 3325, 2945, 1678, 1448, 1113, 1021 cm−1; 1H NMR, (DMSO-d6, 400 MHz) δ 12.20 (2H, d, J = 2.8 Hz, NH-1), 8.85 (2H, t, J = 6.1 Hz, H-10), 8.69 (2H, d, J = 3.3 Hz, H-2), 8.49 (4H, br s, H-14), 8.03 (2H, s, H-4), 7.41 (2H, d, J = 8.2 Hz, H-7), 7.09 (2H, dd, J = 8.4, 1.4 Hz, H-6), 3.30 (4H, dt, J = 6.6, 6.6 Hz, H2-11), 2.97–2.85 (8H, m, H2-13, H2-15), 2.42 (6H, s, Me), 1.88–1.81 (4H, m, H2-12), 1.56 (4H, br s, H2-16), 1.30 (4H, br s, H2-17); 13C NMR (DMSO-d6, 100 MHz) δ 181.7 (C-8), 164.0 (C-9), 138.5 (C-2), 134.6 (C-7a), 131.6 (C-5), 126.5 (C-3a), 125.0 (C-6), 121.1 (C-4), 112.3 (C-7), 111.8 (C-3), 46.7 (C-15), 44.8 (C-13), 35.8 (C-11), 25.8, 25.5, 25.4 (C-12, C-16, C-17), 21.4 (Me); (+)-HRESIMS [M+H]+ m/z 601.3511 (calcd for C34H45N6O4, 601.3497).

3.2.14. N1,N7-Bis(3-(2-(5-methyl-1H-indol-3-yl)-2-oxoacetamido)propyl)heptane-1,7-diaminium 2,2,2-trifluoroacetate (20b)

Using general procedure C, 2-(5-methyl-1H-indol-3-yl)-2-oxoacetic acid (13) (0.080 g, 0.39 mmol) was reacted with di-tert-butyl heptane-1,7-diylbis((3-aminopropyl) carbamate) (9b) (0.085 g, 0.19 mmol), PyBOP (0.204 g, 0.39 mmol) and DIPEA (0.1 mL, 0.57 mmol). Purification by column chromatography afforded di-tert-butyl heptane-1,7-diylbis((3-(2-(5-methyl-1H-indol-3-yl)-2-oxoacetamido) propyl) carbamate) as a yellow oil (0.079 g, 51%). Using general procedure B, a sub-sample of this product (0.045 g, 0.055 mmol) was reacted with TFA (0.2 mL) in CH2Cl2 (2 mL) to afford the di-TFA salt 20b as a brown gum (0.024 g, 52%). Rf (MeOH/10% HCl, 3:1) 0.53; IR (ATR) νmax 3306, 2943, 1653, 1448, 1118, 1022, 739 cm−1; 1H NMR (DMSO-d6, 400 MHz) δ 12.24 (2H, d, J = 2.7 Hz, NH-1), 8.85 (2H, t, J = 6.2 Hz, NH-10), 8.70 (2H, d, J = 3.5 Hz, H-2), 8.55 (4H, br s, NH-14), 8.04 (2H, br s, H-4), 7.42 (2H, d, J = 8.1 Hz, H-7), 7.09 (2H, dd, J = 8.43 and 1.4, H-6), 3.29 (4H, dt, J = 6.5, 6.5 Hz, H2-11), 2.97–2.85 (8H, m, H2-13, H2-15), 2.42 (6H, s, Me), 1.89–1.82 (4H, m, H2-12), 1.60–1.52 (4H, br m, H2-16), 1.28 (6H, br s, H2-17, H2-18); 13C NMR (DMSO-d6, 100 MHz) δ 181.7 (C-8), 163.9 (C-9), 138.5 (C-2), 134.6 (C-7a), 131.6 (C-5), 126.5 (C-3a), 124.9 (C-6), 121.1 (C-4), 112.3 (C-7), 111.8 (C-3), 46.7 (C-15), 44.7 (C-13), 35.8 (C-11), 28.0 (C-18), 25.8, 25.7, 25.4, (C-12, C-16, C-17), 21.4 (Me); (+)-HRESIMS [M+H]+ m/z 615.3664 (calcd for C35H47N6O4, 615.3653).

3.2.15. N1,N8-Bis(3-(2-(5-methyl-1H-indol-3-yl)-2-oxoacetamido)propyl)octane-1,8-diaminium 2,2,2-trifluoroacetate (20c)

Using general procedure C, 2-(5-methyl -1H-indol-3-yl)-2-oxoacetic acid (13) (0.080 g, 0.39 mmol) was reacted with di-tert-butyl octane-1,8-diylbis((3-aminopropyl)carbamate) (9c) (0.088 g, 0.19 mmol), PyBOP (0.204 g, 0.39 mmol) and DIPEA (0.1 mL, 0.57 mmol). Purification by column chromatography afforded di-tert-butyl octane-1,8-diylbis((3-(2-(5-methyl-1H-indol-3-yl)-2-oxoacetamido)propyl)carbamate) as a yellow oil (0.054 g, 34%). Using general procedure B, a sub-sample of this product (0.030 g, 0.036 mmol) was reacted with TFA (0.2 mL) in CH2Cl2 (2 mL) to afford the di-TFA salt 20c as a brown gum (0.030 g, 97%). Rf (MeOH/10% HCl, 3:1) 0.50; IR (ATR) νmax 3307, 2943, 1676, 1448, 1116, 1022, 713 cm−1; 1H NMR, (DMSO-d6, 400 MHz) δ 12.25 (2H, d, J = 3.0 Hz, NH-1), 8.85 (2H, t, J = 6.1 Hz, NH-10), 8.70 (2H, d, J = 3.2 Hz, H-2), 8.55 (4H, br s, NH-14), 8.04 (2H, br s, H-4), 7.42 (2H, d, J = 8.1 Hz, H-7), 7.09 (2H, dd, J = 8.3, 1.5 Hz, H-6), 3.29 (4H, dt, J = 6.5, 6.5 Hz, H2-11), 2.94–2.85 (8H, br s, H2-13, H2-15), 2.42 (6H, s, Me), 1.89–1.82 (4H, br s, H2-12), 1.56 (4H, br s, H2-16), 1.26 (6H, br s, H2-17, H2-18); 13C NMR (DMSO-d6, 100 MHz) δ 181.7 (C-8), 163.9 (C-9), 138.4 (C-2), 134.6 (C-7a), 131.5 (C-5), 126.5 (C-3a), 124.9 (C-6), 121.1 (C-4), 112.3 (C-7), 111.8 (C-3), 46.8 (C-15), 44.7 (C-13), 35.8 (C-11), 28.3 (C-18), 25.8, 25.7, 25.5 (C-12, C-16, C-17), 21.4 (Me); (+)-HRESIMS [M+H]+ m/z 629.3818 (calcd for C36H49N6O4, 629.3810).

3.2.16. N1,N10-Bis(3-(2-(5-methyl-1H-indol-3-yl)-2-oxoacetamido)propyl)decane-1,10-diaminium 2,2,2-trifluoroacetate (20d)

Using general procedure C, 2-(5-methyl -1H-indol-3-yl)-2-oxoacetic acid (13) (0.070 g, 0.34 mmol) was reacted with di-tert-butyl decane-1,10-diylbis((3-aminopropyl) carbamate) (9d) (0.081 g, 0.17 mmol), PyBOP (0.179 g, 0.34 mmol) and DIPEA (0.09 mL, 0.50 mmol). Purification by column chromatography afforded di-tert-butyl decane-1,10-diylbis((3-(2-(5-methyl-1H-indol-3-yl)-2-oxoacetamido)propyl)carbamate) as a yellow oil (0.087 g, 60%). Using general procedure B, a sub-sample of this product (0.043 g, 0.050 mmol) was reacted with TFA (0.2 mL) in CH2Cl2 (2 mL) to afford the di-TFA salt 20d as a white gum (0.044 g, 99%). Rf (MeOH/10% HCl, 3:1) 0.44; IR (ATR) νmax 3307, 2944, 1678, 1449, 1115, 1021 cm−1; 1H NMR, (DMSO-d6, 400 MHz) δ 12.24 (2H, d, J = 3.0 Hz, NH-1), 8.85 (2H, t, J = 6.1 Hz, NH-10), 8.70 (2H, d, J = 3.4 Hz, H-2), 8.52 (4H, br s, NH-14), 8.04 (2H, br s, H-4), 7.42 (2H, d, J = 8.2 Hz, H-7), 7.09 (2H, dd, J = 8.3, 1.5 Hz, H-6), 3.30 (4H, dt, J = 6.5, 6.5 Hz, H2-11), 2.97–2.85 (8H, br m, H2-13, H2-15), 2.42 (6H, s, Me), 1.89–1.82 (4H, m, H2-12), 1.57–1.52 (4H, m, H2-16), 1.24 (12H, br s, H2-17, H2-18, H2-19); 13C NMR (DMSO-d6, 100 MHz) δ 181.7 (C-8), 163.9 (C-9), 138.5 (C-2), 134.6 (C-7a), 131.5 (C-5), 126.6 (C-3a), 124.9 (C-6), 121.1 (C-4), 112.3 (C-7), 111.8 (C-3), 46.8 (C-15), 44.7 (C-13), 35.8 (C-11), 28.7, 28.5 (C-18, C-19), 25.9, 25.7, 25.5 (C-12, C-16, C-17), 21.4 (Me), (+)-HRESIMS [M+H]+ m/z 657.4125 (calcd for C38H53N6O4, 657.4123).

3.2.17. N1,N12-Bis(3-(2-(5-methyl-1H-indol-3-yl)-2-oxoacetamido)propyl)dodecane-1,12-diaminium 2,2,2-trifluoroacetate (20e)

Using general procedure C, 2-(5-methyl-1H-indol-3-yl)-2-oxoacetic acid (13) (0.070 g, 0.34 mmol) was reacted with di-tert-butyl dodecane-1,12-diylbis((3-aminopropyl)carbamate) (9e) (0.086 g, 0.17 mmol), PyBOP (0.179 g, 0.34 mmol) and DIPEA (0.09 mL, 0.50 mmol). Purification by column chromatography afforded di-tert-butyl dodecane-1,12-diylbis((3-(2-(5-methyl-1H-indol-3-yl)-2-oxoacetamido)propyl)carbamate) as a yellow oil (0.092 g, 62%). Using general procedure B, a sub-sample of this product (0.045 g, 0.051 mmol) was reacted with TFA (0.2 mL) in CH2Cl2 (2 mL) to afford the di-TFA salt 20e as a white gum (0.039 g, 84%). Rf (MeOH/10% HCl, 3:1) 0.41; IR (ATR) νmax 3307, 2944, 1678, 1452, 1113, 740 cm−1; 1H NMR (DMSO-d6, 400 MHz) δ 12.24 (2H, d, J = 2.9 Hz, NH-1), 8.85 (2H, t, J = 6.3 Hz, NH-10), 8.70 (2H, d, J = 3.3 Hz, H-2), 8.51 (4H, br s, NH-14), 8.04 (2H, br s, H-4), 7.42 (2H, d, J = 8.3 Hz, H-7), 7.09 (2H, dd, J = 8.4, 1.5 Hz, H-6), 3.29 (4H, dt, J = 6.4, 6.4 Hz, H2-11), 2.97–2.85 (8H, br m, H2-13, H2-15), 2.42 (6H, s, Me), 1.89–1.82 (4H, m, H2-12), 1.57–1.52 (4H, m, H2-16), 1.31–1.22 (16H, br m, H2-17, H2-18, H2-19, H2-20); 13C NMR (DMSO-d6, 100 MHz) δ 181.7 (C-8), 163.9 (C-9), 138.5 (C-2), 134.6 (C-7a), 131.5 (C-5), 126.6 (C-3a), 124.9 (C-6), 121.1 (C-4), 112.3 (C-7), 111.8 (C-3), 46.8 (C-15), 44.7 (C-13), 35.8 (C-11), 29.0, 28.9, 28.6 (C-18, C-19, C-20), 25.9, 25.7, 25.5 (C-12, C-16, C-17), 21.4 (Me); (+)-HRESIMS [M+H]+ m/z 685.4453 (calcd for C40H57N6O4, 685.4436).

3.2.18. N1,N6-Bis(3-(2-(7-fluoro-1H-indol-3-yl)-2-oxoacetamido)propyl)hexane-1,6-diaminium 2,2,2-trifluoroacetate (21a)

Using general procedure A, 2-(7-fluoro-1H-indol-3-yl)-2-indoloxoacetyl chloride (14) (0.053 g, 0.24 mmol) was reacted with di-tert-butyl hexane-1,6-diylbis((3-aminopropyl)carbamate) (9a) (0.050 g, 0.12 mmol) and DIPEA (0.13 mL, 0.74 mmol) to afford di-tert-butyl hexane-1,6-diylbis((3-(2-(7-fluoro-1H-indol-3-yl)-2-oxoacetamido)propyl)carbamate) as a yellow gum (0.016 g, 16%). Using general procedure B, this product (0.016 g, 0.02 mmol) was reacted with TFA (0.2 mL) in CH2Cl2 (2 mL) to afford the di-TFA salt 21a as a pale yellow oil (0.006 g, 35%). Rf (MeOH/10% HCl, 7:3) 0.76; IR (ATR) νmax 3434, 1672, 1627, 1433, 1293, 1202, 1137, 1028, 721 cm−1; 1H NMR (DMSO-d6, 500 MHz) δ 12.88 (2H, br s, NH-1), 8.95 (2H, t, J = 5.6 Hz, NH-10), 8.77 (2H, s, H-2), 8.42 (4H, br s, NH2-14), 8.04 (2H, d, J = 8.0 Hz, H-4), 7.25 (2H, ddd, J = 8.0, 8.0, 5.0 Hz, H-5), 7.14 (2H, dd, J = 11.2, 8.0 Hz, H-6), 3.38–3.29 (4H, m, H2-11), 2.97–2.91 (8H, m, H2-13, H2-15), 1.85 (4H, tt, J = 7.3, 7.3 Hz, H2-12), 1.55 (4H, br s, H2-16), 1.31 (4H, br s, H2-17); 13C NMR (DMSO-d6, 125 MHz) δ 181.9 (C-8), 163.4 (C-9), 149.2 (d, 1JCF = 245.4 Hz, C-7), 138.8 (C-2), 129.8 (d, 3JCF = 4.5 Hz, C-3a), 124.0 (d, 2JCF = 13.4 Hz, C-7a), 123.4 (d, 3JCF = 5.9 Hz, C-5), 117.4 (d, 4JCF = 2.7 Hz, C-4), 112.8 (C-3), 108.7 (d, 2JCF = 15.9 Hz, C-6), 46.7 (C-15), 44.7 (C-13), 35.9 (C-11), 25.7, 25.5, 25.4 (C-12, C-16, C-17); (+)-HRESIMS [M+H]+ m/z 609.2987 (calcd for C32H39F2N6O4, 609.2995).

3.2.19. N1,N7-Bis(3-(2-(7-fluoro-1H-indol-3-yl)-2-oxoacetamido)propyl)heptane-1,7-diaminium 2,2,2-trifluoroacetate (21b)

Using general procedure A, 2-(7-fluoro-1H-indol-3-yl)-2-oxoacetyl chloride (14) (0.080 g, 0.36 mmol) was reacted with di-tert-butyl heptane-1,7-diylbis((3-aminopropyl)carbamate) (9b) (0.079 g, 0.18 mmol) and DIPEA (0.19 mL, 1.1 mmol) to afford di-tert-butyl heptane-1,7-diylbis((3-(2-(7-fluoro-1H-indol-3-yl)-2-oxoacetamido)propyl)carbamate) as a dark yellow oil (0.058 g, 39%). Using general procedure B, a sub-sample of this product (0.013 g, 0.016 mmol) was reacted with TFA (0.2 mL) in CH2Cl2 (2 mL) to afford the di-TFA salt 21b as an orange oil (0.013 g, 96%). Rf (MeOH/10% HCl, 7:3) 0.75; IR (ATR) νmax 3401, 2930, 1675, 1635, 1458 cm−1; 1H NMR (DMSO-d6, 400 MHz) δ 12.91 (2H, br d, J = 2.1 Hz, NH-1), 8.94 (2H, t, J = 6.1 Hz, NH-10), 8.77 (2H, d, J = 3.0 Hz, H-2), 8.51 (4H, br s, NH2-14), 8.04 (2H, d, J = 7.9 Hz, H-4), 7.25 (2H, ddd, J = 8.1, 8.1, 5.0 Hz, H-5), 7.31 (2H, dd, J = 11.3, 7.3 Hz, H-6), 3.30 (4H, dt, J = 6.5, 6.5 Hz, H2-11), 2.98–2.86 (8H, br m, H2-13, H2-15), 1.89–1.82 (4H, br m, H2-12), 1.56 (4H, br s, H2-16), 1.31–1.26 (6H, m, H2-17, H2-18); 13C NMR (DMSO-d6, 100 MHz) δ 181.9 (C-8), 163.4 (C-9), 149.2 (d, 1JCF = 245 Hz, C-7), 138.8 (C-2), 129.9 (d, 3JCF = 4.4 Hz, C-3a), 123.4 (d, 3JCF = 6.0 Hz, C-5), 124.0 (d, 2JCF = 13.2 Hz, C-7a), 117.4 (br s, C-4), 112.8 (C-3), 108.6 (d, 2JCF = 15.5 Hz, C-6), 46.7 (C-15), 44.7 (C-13), 35.9 (C-11), 28.0 (C-18), 25.8, 25.7, 25.4 (C-12, C-16, C-17); (+)-HRESIMS [M+H]+ m/z 623.3161 (calcd for C33H41F2N6O4, 623.3152).

3.2.20. N1,N8-Bis(3-(2-(7-fluoro-1H-indol-3-yl)-2-oxoacetamido)propyl)octane-1,8-diaminium 2,2,2-trifluoroacetate (21c)

Using general procedure A, 2-(7-fluoro-1H-indol-3-yl)-2-oxoacetyl chloride (14) (0.063 g, 0.28 mmol) was reacted with di-tert-butyl octane-1,8-diylbis((3-aminopropyl)carbamate) (9c) (0.056 g, 0.12 mmol) and DIPEA (0.13 mL, 0.75 mmol) to afford di-tert-butyl octane-1,8-diylbis((3-(2-(7-fluoro-1H-indol-3-yl)-2-oxoacetamido)propyl)carbamate) as a brown oil (0.064 g, 56%). Using general procedure B, a sub-sample of this product (0.034 g, 0.041 mmol) was reacted with TFA (0.2 mL) in CH2Cl2 (2 mL) to afford the di-TFA salt 21c as a brown oil (0.030 g, 85%). Rf (MeOH/10% HCl, 7:3) 0.70; IR (ATR) νmax 3430, 1689, 1656, 1050, 1023, 1002, 930, 823, 760 cm−1; 1H NMR (DMSO-d6, 400 MHz) δ 12.89 (2H, d, J = 2.8 Hz, NH-1), 8.94 (2H, t, J = 6.1 Hz, NH-10), 8.77 (2H, d, J = 3.2 Hz, H-2), 8.46 (4H, br s, NH2-14), 8.04 (2H, d, J = 7.8 Hz, H-4), 7.25 (2H, ddd, J = 8.0, 8.0, 4.7 Hz, H-5), 7.14 (2H, ddd, J = 11.0, 7.9, 1.0 Hz, H-6), 3.30 (4H, dt, J = 6.4, 6.4 Hz, H2-11), 2.98–2.84 (4H, br m, H2-13, H2-15), 1.85 (4H, tt, J = 6.5, 6.5 Hz, H2-12), 1.55 (4H, tt, J = 6.8, 6.8 Hz, H2-16), 1.26 (8H, br s, H2-17, H2-18); 13C NMR (DMSO-d6, 100 MHz) δ 181.9 (C-8), 163.4 (C-9), 149.2 (1JCF = 245 Hz, C-7), 138.8 (C-2), 129.8 (d, 3JCF = 4.6 Hz, C-3a), 124.0 (d, 2JCF = 13.3 Hz, C-7a), 123.4 (d, 3JCF = 5.3 Hz, C-5), 117.4 (d, 3JCF = 3.5 Hz, C-4), 112.8 (C-3), 108.7 (d, 2JCF = 16.0 Hz, C-6), 46.7 (C-15), 44.7 (C-13), 35.8 (C-11), 28.3 (C-18), 25.8, 25.6, 25.5 (C-12, C-16, C-17); (+)-HRESIMS [M+H]+ m/z 637.3313 (calcd C34H43F2N6O4, 637.3308).

3.2.21. N1,N10-Bis(3-(2-(7-fluoro-1H-indol-3-yl)-2-oxoacetamido)propyl)decane-1,10-diaminium 2,2,2-trifluoroacetate (21d)

Using general procedure A, 2-(7-fluoro-1H-indol-3-yl)-2-oxoacetyl chloride (14) (0.080 g, 0.35 mmol) was reacted with di-tert-butyl decane-1,10-diylbis((3-aminopropyl)carbamate) (9d) (0.084 g, 0.17 mmol) and DIPEA (0.19 mL, 1.1 mmol) to afford di-tert-butyl decane-1,10-diylbis((3-(2-(7-fluoro-1H-indol-3-yl)-2-oxoacetamido)propyl)carbamate) as a dark yellow oil (0.072 g, 49%). Using general procedure B, a sub-sample of this product (0.023 g, 0.027 mmol) was reacted with TFA (0.2 mL) in CH2Cl2 (2 mL) to afford the di-TFA salt 21d as an orange oil (0.018 g, 76%). Rf (MeOH/10% HCl, 7:3) 0.73; IR (ATR) νmax 3405, 2944, 2857, 1674, 1632, 1505, 1439 cm−1; 1H NMR (DMSO-d6, 400 MHz) δ 12.92 (2H, s, NH-1), 8.93 (2H, t, J = 6.1 Hz, NH-10), 8.78 (2H, d, J = 3.4 Hz, H-2), 8.49 (4H, br s, NH2-14), 8.04 (2H, d, J = 7.9 Hz, H-4), 7.24 (2H, dd, J = 8.0, 8.0, 5.0 Hz, H-5), 7.13 (2H, dd, J = 11.2, 8.0 Hz, H-6), 3.30 (4H, dt, J = 6.5, 6.5 Hz, H2-11), 2.98–2.84 (8H, m, H2-13, H2-15), 1.89–1.82 (4H, m, H2-12), 1.57–1.52 (4H, br m, H2-16), 1.23 (12H, br s, H2-17, H2-18, H2-19); 13C NMR (DMSO-d6, 100 MHz) δ 181.9 (C-8), 163.4 (C-9), 149.3 (d, 1JCF = 245 Hz, C-7), 138.8 (C-2), 129.8 (d, 3JCF = 4.5 Hz, C-3a), 124.1 (d, 2JCF = 13.2 Hz, C-7a), 123.4 (d, 3JCF = 5.9 Hz, C-5), 117.4 (d, 3JCF = 3.1 Hz, C-4), 112.8 (C-3), 108.7 (d, 2JCF = 15.8 Hz, C-6), 46.8 (C-15), 44.7 (C-13), 35.9 (C-11), 28.7, 28.5 (C-18, C-19), 25.9, 25.6, 25.5 (C-12, C-16, C-17); (+)-HRESIMS [M+H]+ m/z 665.3639 (calcd for C36H47F2N6O4, 665.3621).

3.2.22. N1,N12-Bis(3-(2-(7-fluoro-1H-indol-3-yl)-2-oxoacetamido)propyl)dodecane-1,12-diaminium 2,2,2-trifluoroacetate (21e)

Using general procedure A, 2-(7-fluoro-1H-indol-3-yl)-2-oxoacetyl chloride (14) (0.076 g, 0.034 mmol) was reacted with di-tert-butyl dodecane-1,12-diylbis((3-aminopropyl)carbamate) (9e) (0.087 g, 0.17 mmol) and DIPEA (0.18 mL, 1.0 mmol) to afford di-tert-butyl dodecane-1,12-diylbis((3-(2-(7-fluoro-1H-indol-3-yl)-2-oxoacetamido)propyl)carbamate) as a dark orange oil (0.047 g, 31%). Using general procedure B, a sub-sample of this product (0.045 g, 0.050 mmol) was reacted with TFA (0.2 mL) in CH2Cl2 (2 mL) to afford the di-TFA salt 21e as an orange oil (0.026 g, 56%). Rf (MeOH/10% HCl, 7:3) 0.70; IR (ATR) νmax 3342, 2929, 1676, 1632, 1506, 1459 cm−1; 1H NMR (DMSO-d6, 400 MHz) δ 12.94 (2H, d, J = 2.7 Hz, NH-1), 8.93 (2H, t, J = 6.9 Hz, NH-10), 8.78 (2H, d, J = 3.4 Hz, H-2), 8.57 (4H, br s, NH2-14), 8.04 (2H, d, J = 8.5 Hz, H-4), 7.24 (2H, ddd, J = 7.8, 7.8, 5.0 Hz, H-5), 7.13 (2H, dd, J = 11.2, 8.0 Hz, H-6), 3.30 (4H, dt, J = 6.4, 6.4 Hz, H2-11), 2.94–2.84 (8H, m, H2-13, H2-15), 1.90–1.83 (4H, m, H2-12), 1.56 (4H, br s, H2-16), 1.27–1.22 (16H, m, H2-17, H2-18, H2-19, H2-20); 13C NMR (DMSO-d6, 100 MHz) δ 181.9 (C-8), 163.4 (C-9), 149.1 (d, 1JCF = 241 Hz, C-7), 138.9 (C-2), 129.9 (d, 3JCF = 4.2 Hz, C-3a), 124.1 (d, 2JCF = 14.0 Hz, C-7a), 123.4 (d, 3JCF = 6.1 Hz, C-5), 117.4 (d, 3JCF = 3.1 Hz, C-4), 112.8 (C-3), 108.6 (d, 2JCF = 16.1 Hz, C-6), 46.8 (C-15), 44.7 (C-13), 35.9 (C-11), 28.9, 28.8, 28.5 (C-18, C-19, C-20), 25.9, 25.6, 25.5 (C-12, C-16, C-17); (+)-HRESIMS [M+Na]+ m/z 715.3747 (calcd for C38H50F2N6NaO4, 715.3754).

3.2.23. N1,N6-Bis(3-(2-(7-methoxy-1H-indol-3-yl)-2-oxoacetamido)propyl)hexane-1,6-diaminium 2,2,2-trifluoroacetate (22a)

Following general procedure C, 2-(7-methoxy-1H-indol-3-yl)-2-oxoacetic acid (15) (0.050 g, 0.23 mmol) was reacted with di-tert-butyl hexane-1,6-diylbis((3-aminopropyl) carbamate) (9a) (0.047 g, 0.11 mmol), PyBOP (0.119 g, 0.23 mmol) and DIPEA (0.06 mL, 0.34 mmol). Purification by column chromatography afforded di-tert-butyl hexane-1,6-diylbis((3-(2-(7-methoxy-1H-indol-3-yl)-2-oxoacetamido) propyl) carbamate) as a yellow oil (0.020 g, 22%). Using general procedure B, a sub-sample of this product (0.016 g, 0.019 mmol) was reacted with TFA (0.2 mL) in CH2Cl2 (2 mL) to afford the di-TFA salt 22a as a black gum (0.013 g, 79%). Rf (MeOH/10% HCl, 3:1) 0.68; IR (ATR) νmax 3317, 2944, 1622, 1449, 1115, 1022, 721 cm−1; 1H NMR, (DMSO-d6, 400 MHz) δ 12.45 (2H, d, J = 2.0 Hz, NH-1), 8.89 (2H, t, J = 5.5 Hz, NH-10), 8.62 (2H, d, J = 3.5 Hz, H-2), 8.38 (4H, br s, NH-14), 7.80 (2H, d, J = 7.9 Hz, H-4), 7.19 (2H, t, J = 7.6 Hz, H-5), 6.86 (2H, d, J = 8.2 Hz, H-6), 3.95 (6H, s, OMe), 3.29 (4H, dt, J = 6.5, 6.5 Hz, H2-11), 2.92–2.88 (8H, m, H2-13, H2-15), 1.87–1.82 (4H, m, H2-12), 1.55 (4H, br s, H2-16), 1.31 (4H, br s, H2-17); 13C NMR (DMSO-d6, 100 MHz) δ 181.7 (C-8), 163.7 (C-9), 146.4 (C-7), 137.4 (C-2), 127.8 (C-3a), 126.1 (C-7a), 123.5 (C-5), 113.7 (C-4), 112.6 (C-3), 104.4 (C-6), 55.4 (OMe), 46.6 (C-15), 44.7 (C-13), 35.8 (C-11), 25.7, 25.5, 25.4 (C-12, C-16, C-17); (+)-HRESIMS m/z [M+H]+ 633.3408 (calcd for C34H45N6O6, 633.3395).

3.2.24. N1,N7-Bis(3-(2-(7-methoxy-1H-indol-3-yl)-2-oxoacetamido)propyl)heptane-1,7-diaminium 2,2,2-trifluoroacetate (22b)

Using general procedure C, 2-(7-methoxy-1H-indol-3-yl)-2-oxoacetic acid (15) (0.086 g, 0.39 mmol) was reacted with di-tert-butyl heptane-1,7-diylbis((3-aminopropyl) carbamate) (9b) (0.088 g, 0.19 mmol), PyBOP (0.213 g, 0.41 mmol) and DIPEA (0.09 mL, 0.52 mmol). Purification by column chromatography afforded di-tert-butyl heptane-1,7-diylbis((3-(2-(7-methoxy-1H-indol-3-yl)-2-oxoacetamido)propyl)carbamate) as a yellow oil (0.066 g, 41%). Using general procedure B, a sub-sample of this product (0.030 g, 0.035 mmol) was reacted with TFA (0.2 mL) in CH2Cl2 (2 mL) to afford the di-TFA salt 22b as a black gum (0.028 g, 90%). Rf (MeOH/10% HCl, 3:1) 0.58; IR (ATR) νmax 3317, 2943, 1675, 1432, 1132, 1022, 721 cm−1; 1H NMR, (DMSO-d6, 400 MHz) δ 12.45 (2H, d, J = 3.4 Hz, NH-1), 8.89 (2H, t, J = 6.2 Hz, NH-10), 8.62 (2H, d, J = 3.3 Hz, H-2), 8.35 (4H, br s, NH-14), 7.80 (2H, d, J = 7.7 Hz, H-4), 7.19 (2H, t, J = 7.9 Hz, H-5), 6.86 (2H, d, J = 7.9 Hz, H-6), 3.95 (6H, s, H3-19), 3.29 (4H, dt, J = 6.5, 6.5 Hz, H2-11), 2.96–2.84 (8H, br m, H2-13, H2-15), 1.87–1.82 (4H, m, H2-12), 1.55 (4H, br s, H2-16), 1.28 (6H, br s, H2-17, H2-18); 13C NMR (DMSO-d6, 100 MHz) δ 181.8 (C-8), 163.7 (C-9), 146.4 (C-7), 137.4 (C-2), 127.8 (C-3a), 126.1 (C-7a), 123.6 (C-5), 113.7 (C-4), 112.6 (C-3), 104.4 (C-6), 55.4 (C-19), 46.7 (C-15), 44.7 (C-13), 35.8 (C-11), 28.0 (C-18), 25.8, 25.7, 25.4 (C-12, C-16, C-17); (+)-HRESIMS [M+H]+ m/z 647.3550 (calcd for C35H47N6O6, 647.3552).

3.2.25. N1,N10-Bis(3-(2-(7-methoxy-1H-indol-3-yl)-2-oxoacetamido)propyl)decane-1,10-diaminium 2,2,2-trifluoroacetate (22d)

Using general procedure C, 2-(7-methoxy-1H-indol-3-yl)-2-oxoacetic acid (15) (0.070 g, 0.32 mmol) was reacted with di-tert-butyl decane-1,10-diylbis((3-aminopropyl) carbamate) (9d) (0.078 g, 0.16 mmol), PyBOP (0.170 g, 0.32 mmol) and DIPEA (0.08 mL, 0.47 mmol). Purification by column chromatography afforded di-tert-butyl decane-1,10-diylbis((3-(2-(7-methoxy-1H-indol-3-yl)-2-oxoacetamido)propyl)carbamate) as a yellow oil (0.091 g, 65%). Using general procedure B, a sub-sample of this product (0.022 g, 0.025 mmol) was reacted with TFA (0.2 mL) in CH2Cl2 (2 mL) to afford the di-TFA salt 22d as a black gum (0.022 g, 98%). Rf (MeOH/10% HCl, 3:1) 0.47; IR (ATR) νmax 3308, 2944, 1679, 1449, 1114, 1021 cm−1; 1H NMR, (DMSO-d6, 400 MHz) δ 12.45 (2H, d, J = 3.2 Hz, NH-1), 8.89 (2H, t, J = 6.1 Hz, NH-10), 8.62 (2H, d, J = 3.4 Hz, H-2), 8.39 (4H, br s, NH-14), 7.80 (2H, d, J = 7.7 Hz, H-4), 7.19 (2H, t, J = 7.9 Hz, H-5), 6.86 (2H, d, J = 7.7 Hz, H-6), 3.95 (6H, s, OMe), 3.29 (4H, dt, J = 6.7, 6.7 Hz, H2-11), 2.96–2.85 (8H, m, H2-13, H2-15), 1.87–1.80 (4H, m, H2-12), 1.56–1.53 (4H, m, H2-16), 1.24 (12H, br s, H2-17, H2-18, H2-19); 13C NMR (DMSO-d6, 100 MHz) δ 181.7 (C-8), 163.7 (C-9), 146.4 (C-7), 137.4 (C-2), 127.8 (C-3a), 126.1 (C-7a), 123.6 (C-5), 113.8 (C-4), 112.7 (C-3), 104.4 (C-6), 55.4 (OMe), 46.8 (C-15), 44.7 (C-13), 35.8 (C-11), 28.7, 28.5 (C-18, C-19), 25.9, 25.7, 25.5 (C-12, C-16, C-17); (+)-HRESIMS [M+H]+ m/z 689.4010 (calcd for C38H53N6O6, 689.4021).

3.2.26. N1,N6-Bis(3-(2-(7-methyl-1H-indol-3-yl)-2-oxoacetamido)propyl)hexane-1,6-diaminium 2,2,2-trifluoroacetate (23a)

Using general procedure C, 2-(7-methyl-1H-indol-3-yl)-2-oxoacetic acid (16) (0.080 g, 0.39 mmol) was reacted with di-tert-butyl hexane-1,6-diylbis((3-aminopropyl) carbamate) (9a) (0.083 g, 0.19 mmol), PyBOP (0.204 g, 0.39 mmol) and DIPEA (0.1 mL, 0.57 mmol). Purification by column chromatography afforded di-tert-butyl hexane-1,6-diylbis((3-(2-(7-methyl-1H-indol-3-yl)-2-oxoacetamido) propyl) carbamate) as a yellow oil (0.019 g, 13%). Using general procedure B, a sub-sample of this product (0.010 g, 0.013 mmol) was reacted with TFA (0.2 mL) in CH2Cl2 (2 mL) to afford the di-TFA salt 23a as a brown gum (0.010 g, 97%). Rf (MeOH/10% HCl, 3:1) 0.34; IR (ATR) νmax 3316, 2944, 1668, 1449, 1115, 1022, 721 cm−1; 1H NMR (DMSO-d6, 400 MHz) δ 12.34 (2H, d, J = 2.9 Hz, NH-1), 8.89 (2H, t, J = 6.1 Hz, NH-10), 8.73 (2H, d, J = 3.6 Hz, H-2), 8.45 (4H, br s, NH-14), 8.06 (2H, d, J = 7.8 Hz, H-4), 7.16 (2H, t, J = 7.8 Hz, H-5), 7.07 (2H, d, J = 7.3 Hz, H-6), 3.30 (4H, dt, J = 6.5, 6.5 Hz, H2-11), 2.92–2.88 (8H, m, H2-13, H2-15), 2.51 (6H, s, Me), 1.88–1.80 (4H, m, H2-12), 1.56 (4H, m, H2-16), 1.31 (4H, br s, H2-17); 13C NMR (DMSO-d6, 100 MHz) δ 181.7 (C-8), 163.8 (C-9), 138.0 (C-2), 135.7 (C-7a), 126.0 (C-3a), 124.1 (C-6), 122.8 (C-5), 121.9 (C-7), 118.8 (C-4), 112.5 (C-3), 46.7 (C-15), 44.7 (C-13), 35.8 (C-11), 25.7, 25.5, 25.4 (C-12, C-16, C-17), 16.6 (Me); (+)-HRESIMS [M+H]+ m/z 601.3486 (calcd for C34H45N6O4, 601.3497).

3.2.27. N1,N7-Bis(3-(2-(7-methyl-1H-indol-3-yl)-2-oxoacetamido)propyl)heptane-1,7-diaminium 2,2,2-trifluoroacetate (23b)

Using general procedure C, 2-(7-methyl-1H-indol-3-yl)-2-oxoacetic acid (16) (0.070 g, 0.34 mmol) was reacted with di-tert-butyl heptane-1,7-diylbis((3-aminopropyl) carbamate) (9b) (0.075 g, 0.17 mmol), PyBOP (0.178 g, 0.34 mmol) and DIPEA (0.09 mL, 0.52 mmol). Purification by column afforded di-tert-butyl heptane-1,7-diylbis((3-(2-(7-methyl-1H-indol-3-yl)-2-oxoacetamido) propyl) carbamate) as a yellow oil (0.066 g, 48%). Using general procedure B, a sub-sample of this product (0.030 g, 0.036 mmol) was reacted with TFA (0.2 mL) in CH2Cl2 (2 mL) to afford the di-TFA salt 23b as a brown gum (0.022 g, 71%). Rf (MeOH/10% HCl, 3:1) 0.34; IR (ATR) νmax 3326, 2944, 1678, 1449, 1114, 1022 cm−1; 1H NMR, (DMSO-d6, 400 MHz) δ 12.35 (2H, d, J = 2.8 Hz, NH-1), 8.89 (2H, t, J = 6.1 Hz, NH-10), 8.73 (2H, d, J = 3.4 Hz, H-2), 8.46 (4H, br s, NH-14), 8.06 (2H, d, J = 7.9 Hz, H-4), 7.16 (2H, t, J = 7.5 Hz, H-5), 7.07 (2H, d, J = 7.1 Hz, H-6), 3.30 (4H, dt, J = 6.5, 6.5 Hz, H2-11), 2.97–2.85 (8H, br m, H2-13, H2-15), 2.51 (6H, s, Me), 1.88–1.81 (4H, m, H2-12), 1.56 (4H, br s, H2-16), 1.28 (6H, br s, H2-17, H2-18); 13C NMR (DMSO-d6, 100 MHz) δ 181.7 (C-8), 163.8 (C-9), 138.1 (C-2), 135.7 (C-7a), 126.0 (C-3a), 124.1 (C-6), 122.8 (C-5), 121.9 (C-7), 118.8 (C-4), 112.4 (C-3), 46.7 (C-15), 44.7 (C-13), 35.8 (C-11), 28.0 (C-18), 25.8, 25.7, 25.4 (C-12, C-16, C-17), 16.6 (Me); (+)-HRESIMS [M+H]+ m/z 615.3644 (calcd for C35H47N6O4, 615.3653).

3.2.28. N1,N8-Bis(3-(2-(7-methyl-1H-indol-3-yl)-2-oxoacetamido)propyl)octane-1,8-diaminium 2,2,2-trifluoroacetate (23c)

Using general procedure C, 2-(7-methyl-1H-indol-3-yl)-2-oxoacetic acid (16) (0.070 g, 3.4 mmol) was reacted with di-tert-butyl octane-1,8-diylbis((3-aminopropyl)carbamate) (9c) (0.077 g, 0.17 mmol), PyBOP (0.178 g, 0.34 mmol) and DIPEA (0.09 mL, 0.52 mmol). Purification by column chromatography afforded di-tert-butyl octane-1,8-diylbis((3-(2-(7-methyl-1H-indol-3-yl)-2-oxoacetamido)propyl)carbamate) as a yellow oil (0.102 g, 73%). Using general procedure B, a sub-sample of this product (0.080 g, 0.097 mmol) was reacted with TFA (0.2 mL) in CH2Cl2 (2 mL) to afford the di-TFA salt 23c as a yellow oil (0.036 g, 44%). Rf (MeOH/10% HCl, 3:1) 0.34; IR (ATR) νmax 3325, 2944, 1678, 1448, 1116, 1021 cm−1; 1H NMR (DMSO-d6, 400 MHz) δ 12.35 (2H, d, J = 2.5 Hz, NH-1), 8.89 (2H, t, J = 6.0 Hz, NH-10), 8.74 (2H, d, J = 3.3 Hz, H-2), 8.47 (4H, br s, NH-14), 8.06 (2H, d, J = 7.8 Hz, H-4), 7.16 (2H, t, J = 7.5 Hz, H-5), 7.07 (2H, d, J = 7.1 Hz, H-6), 3.30 (4H, dt, J = 6.5, 6.5 Hz, H2-11), 2.98–2.85 (8H, br m, H2-13, H2-15), 2.51 (6H, s, Me), 1.88–1.81 (4H, m, H2-12), 1.56 (4H, br s, H2-16), 1.26 (8H, br s, H2-17, H2-18); 13C NMR (DMSO-d6, 100 MHz) δ 181.7 (C-8), 163.8 (C-9), 138.1 (C-2), 135.7 (C-7a), 126.1 (C-3a), 124.1 (C-6), 122.8 (C-5), 121.9 (C-7), 118.8 (C-4), 112.5 (C-3), 46.8 (C-15), 44.7 (C-13), 35.8 (C-11), 28.3 (C-18), 25.8, 25.7, 25.5 (C-12, C-16, C-17), 16.6 (Me); (+)-HRESIMS [M+H]+ m/z 629.3812 (calcd for C36H49N6O4, 629.3810).

3.2.29. N1,N10-Bis(3-(2-(7-methyl-1H-indol-3-yl)-2-oxoacetamido)propyl)decane-1,10-diaminium 2,2,2-trifluoroacetate (23d)

Using general procedure C, 2-(7-methyl-1H-indol-3-yl)-2-oxoacetic acid (16) (0.070 g, 3.4 mmol) was reacted with di-tert-butyl decane-1,10-diylbis((3-aminopropyl) carbamate) (9d) (0.081 g, 0.17 mmol), PyBOP (0.179 g, 0.34 mmol) and DIPEA (0.09 mL, 0.52 mmol). Purification by column chromatography afforded di-tert-butyl decane-1,10-diylbis((3-(2-(7-methyl-1H-indol-3-yl)-2-oxoacetamido)propyl)carbamate) as a white solid (0.080 g, 55%). Using general procedure B, a sub-sample of this product (0.030 g, 0.035 mmol) was reacted with TFA (0.2 mL) in CH2Cl2 (2 mL) to afford the di-TFA salt 23d as a brown oil (0.029 g, 94%). Rf (MeOH/10% HCl, 3:1) 0.26; IR (ATR) νmax 3312, 2944, 1678, 1449, 1117, 1021 cm−1; 1H NMR (DMSO-d6, 400 MHz) δ 12.35 (2H, d, J = 3.0 Hz, NH-1), 8.90 (2H, t, J = 6.1 Hz, NH-10), 8.73 (2H, d, J = 3.5 Hz, H-2), 8.44 (4H, br s, NH-14), 8.06 (2H, d, J = 7.8 Hz, H-4), 7.16 (2H, t, J = 7.5 Hz, H-5), 7.07 (2H, d, J = 7.2 Hz, H-6), 3.29 (4H, dt, J = 6.5, 6.5 Hz, H2-11), 2.97–2.85 (8H, m, H2-13, H2-15), 2.51 (6H, s, Me), 1.87–1.81 (4H, m, H2-12), 1.56–1.50 (4H, br m, H2-16), 1.24 (12H, br s, H2-17, H2-18, H2-19); 13C NMR (DMSO-d6, 100 MHz) δ 181.7 (C-8), 163.8 (C-9), 138.1 (C-2), 135.7 (C-7a), 126.1 (C-3a), 124.2 (C-6), 122.9 (C-5), 122.0 (C-7), 118.9 (C-4), 112.5 (C-3), 46.8 (C-15), 44.7 (C-13), 35.8 (C-11), 28.8, 28.5 (C-18, C-19), 26.0, 25.7, 25.5 (C-12, C-16, C-17), 16.6 (Me), (+)-HRESIMS [M+H]+ m/z 657.4130 (calcd for C38H53N6O4, 657.4123).

3.2.30. N1,N12-Bis(3-(2-(7-methyl-1H-indol-3-yl)-2-oxoacetamido)propyl)dodecane-1,12-diaminium 2,2,2-trifluoroacetate (23e)

Using general procedure C, 2-(7-methyl-1H-indol-3-yl)-2-oxoacetic acid (16) (0.070 g, 0.34 mmol) was reacted with di-tert-butyl octane-1,8-diylbis((3-aminopropyl)carbamate) (9e) (0.086 g, 0.17 mmol), PyBOP (0.179 g, 0.34 mmol) and DIPEA (0.09 mL, 0.52 mmol). Purification by column chromatography afforded di-tert-butyl dodecane-1,12-diylbis((3-(2-(7-methyl-1H-indol-3-yl)-2-oxoacetamido)propyl)carbamate) as a yellow oil (0.145 g, 97%). Using general procedure B, a sub-sample of this product (0.084 g, 0.095 mmol) was reacted with TFA (0.2 mL) in CH2Cl2 (2 mL) to afford the di-TFA salt 23e as a brown oil (0.057 g, 66%). Rf (MeOH/10% HCl, 3:1) 0.23; IR (ATR) νmax 3325, 2944, 1676, 1448, 1114, 1020 cm−1; 1H NMR (DMSO-d6, 400 MHz) δ 12.39 (2H, d, J = 2.7 Hz, NH-1), 8.90 (2H, t, J = 6.0 Hz, NH-10), 8.74 (2H, d, J = 3.2 Hz, H-2), 8.51 (4H, br s, NH-14), 8.07 (2H, d, J = 7.8 Hz, H-4), 7.16 (2H, t, J = 7.4 Hz, H-5), 7.07 (2H, d, J = 7.6 Hz, H-6), 3.30 (4H, dt, J = 6.5, 6.5 Hz, H2-11), 2.98–2.85 (8H, m, H2-13, H2-15), 2.51 (6H, s, Me), 1.85 (4H, tt, J = 6.5, 6.5 Hz, H2-12), 1.55 (4H, br m, H2-16), 1.22 (16H, br s, H2-17, H2-18, H2-19, H2-20); 13C NMR (DMSO-d6, 100 MHz) δ 181.7 (C-8), 163.8 (C-9), 138.1 (C-2), 135.7 (C-7a), 126.1 (C-3a), 124.1 (C-6), 122.8 (C-5), 122.0 (C-7), 118.8 (C-4), 112.5 (C-3), 46.8 (C-15), 44.7 (C-13), 35.8 (C-11), 29.0, 28.9, 28.6 (C-18, C-19, C-20), 25.9, 25.7, 25.5 (C-12, C-16, C-17), 16.6 (Me); (+)-HRESIMS [M+H]+ m/z 685.4421 (calcd for C40H57N6O4, 685.4436).

3.3. Antimicrobial Assays

The susceptibility of bacterial strains S. aureus (ATCC 25923), E. coli (ATCC 25922) and P. aeruginosa (ATCC 27853) to antibiotics and compounds was determined according to previously reported protocols [17]. Additional antimicrobial evaluation against MRSA (ATCC 43300) and C. albicans (ATCC 90028) was undertaken at the Community for Open Antimicrobial Drug Discovery at The University of Queensland (Australia) according to their standard protocols as reported previously [17,26].

3.4. Determination of the MICs of Antibiotics in the Presence of Synergizing Compounds

Antibiotic enhancing activities were determined according to previously reported protocols [14,17].

3.5. Cytotoxicity Assays

Cytotoxicity assays were conducted according to previously reported protocols [17,26].

3.6. Hemolytic Assay

Hemolysis assays were conducted according to previously reported protocols [17,26].

4. Conclusions

Our original screening for antimicrobial and antibiotic enhancing compounds from a library of marine natural products and their synthetic analogues identified a 6-bromoindolglyoxylamido-spermine conjugate as an active lead compound. Due to associated cytotoxicity and hemolytic properties, further efforts to explore the structure–activity relationship have investigated variation of substitution on the indole ring, and changes in the chain length of the polyamine fragment. While many analogues that were active as Gram-positive antibacterials were also associated with variable levels of cytotoxicity and/or hemolytic properties, the current study has identified two 7-methyl substituted analogues (23b and 23c) with excellent anti-MRSA activity that are non-cytotoxic and non-hemolytic. This result defines a very narrow range of structural features required for optimal antibacterial properties. From the same set of analogues, only one example (19a), a 5-methoxy-PA3-6-3 conjugate, was non-toxic while also exhibiting strong tetracycline antibiotic enhancing activity towards P. aeruginosa. Further studies will be required to refine the mechanism of antibiotic enhancement.

Supplementary Materials

The following supporting information can be downloaded at: https://www.mdpi.com/article/10.3390/ph16060823/s1. Figure S1. 1H (DMSO-d6, 400 MHz) and 13C (DMSO-d6, 100 MHz) NMR spectra for 16; Figure S2. 1H (DMSO-d6, 400 MHz) and 13C (DMSO-d6, 100 MHz) NMR spectra for 17a; Figure S3. 1H (DMSO-d6, 400 MHz) and 13C (DMSO-d6, 100 MHz) NMR spectra for 17b; Figure S4. 1H (DMSO-d6, 400 MHz) and 13C (DMSO-d6, 100 MHz) NMR spectra for 17d; Figure S5. 1H (DMSO-d6, 400 MHz) and 13C (DMSO-d6, 100 MHz) NMR spectra for 18a; Figure S6. 1H (DMSO-d6, 400 MHz) and 13C (DMSO-d6, 100 MHz) NMR spectra for 18b; Figure S7. 1H (DMSO-d6, 400 MHz) and 13C (DMSO-d6, 100 MHz) NMR spectra for 18c; Figure S8. 1H (DMSO-d6, 400 MHz) and 13C (DMSO-d6, 100 MHz) NMR spectra for 18d; Figure S9. 1H (DMSO-d6, 400 MHz) and 13C (DMSO-d6, 100 MHz) NMR spectra for 18e; Figure S10. 1H (DMSO-d6, 500 MHz) and 13C (DMSO-d6, 125 MHz) NMR spectra for 19a; Figure S11. 1H (DMSO-d6, 400 MHz) and 13C (DMSO-d6, 100 MHz) NMR spectra for 19b; Figure S12. 1H (DMSO-d6, 400 MHz) and 13C (DMSO-d6, 100 MHz) NMR spectra for 19d; Figure S13. 1H (DMSO-d6, 400 MHz) and 13C (DMSO-d6, 100 MHz) NMR spectra for 20a; Figure S14. 1H (DMSO-d6, 400 MHz) and 13C (DMSO-d6, 100 MHz) NMR spectra for 20b; Figure S15. 1H (DMSO-d6, 400 MHz) and 13C (DMSO-d6, 100 MHz) NMR spectra for 20c; Figure S16. 1H (DMSO-d6, 400 MHz) and 13C (DMSO-d6, 100 MHz) NMR spectra for 20d; Figure S17. 1H (DMSO-d6, 400 MHz) and 13C (DMSO-d6, 100 MHz) NMR spectra for 20e; Figure S18. 1H (DMSO-d6, 500 MHz) and 13C (DMSO-d6, 125 MHz) NMR spectra for 21a; Figure S19. 1H (DMSO-d6, 400 MHz) and 13C (DMSO-d6, 100 MHz) NMR spectra for 21b; Figure S20. 1H (DMSO-d6, 400 MHz) and 13C (DMSO-d6, 100 MHz) NMR spectra for 21c; Figure S21. 1H (DMSO-d6, 400 MHz) and 13C (DMSO-d6, 100 MHz) NMR spectra for 21d; Figure S22. 1H (DMSO-d6, 400 MHz) and 13C (DMSO-d6, 100 MHz) NMR spectra for 21e; Figure S23. 1H (DMSO-d6, 400 MHz) and 13C (DMSO-d6, 100 MHz) NMR spectra for 22a; Figure S24. 1H (DMSO-d6, 400 MHz) and 13C (DMSO-d6, 100 MHz) NMR spectra for 22b; Figure S25. 1H (DMSO-d6, 400 MHz) and 13C (DMSO-d6, 100 MHz) NMR spectra for 22d; Figure S26. 1H (DMSO-d6, 400 MHz) and 13C (DMSO-d6, 100 MHz) NMR spectra for 23a; Figure S27. 1H (DMSO-d6, 400 MHz) and 13C (DMSO-d6, 100 MHz) NMR spectra for 23b; Figure S28. 1H (DMSO-d6, 400 MHz) and 13C (DMSO-d6, 100 MHz) NMR spectra for 23c; Figure S29. 1H (DMSO-d6, 400 MHz) and 13C (DMSO-d6, 100 MHz) NMR spectra for 23d; Figure S30. 1H (DMSO-d6, 400 MHz) and 13C (DMSO-d6, 100 MHz) NMR spectra for 23e.

Author Contributions

Conceptualization, B.R.C.; methodology, M.M.C., T.L., F.R. and K.S.; formal analysis, B.R.C. and J.M.B.; investigation, M.M.C., T.L., F.R., K.S., M.-L.B.-K., J.M.B. and B.R.C.; resources, B.R.C., M.-L.B.-K. and J.M.B.; data curation, B.R.C.; writing—original draft preparation, B.R.C. and M.M.C.; writing—review and editing, B.R.C., M.M.C., M.-L.B.-K. and J.M.B.; supervision, B.R.C., M.M.C. and J.M.B.; project administration, B.R.C. and M.M.C.; funding acquisition, B.R.C., M.M.C., M.-L.B.-K. and J.M.B. All authors have read and agreed to the published version of the manuscript.

Funding

This research was funded by Catalyst: Seeding Dumont d’Urville NZ-France Science and Technology Support Programme (19-UOA-057-DDU) provided by the New Zealand Ministry of Business, Innovation and Employment and administered by the Royal Society Te Apārangi, and the Auckland Medical Research Foundation (1116001).

Institutional Review Board Statement

Not applicable.

Informed Consent Statement

Not applicable.

Data Availability Statement

Data are contained within the article or Supplementary Material.

Acknowledgments

We thank Michael Schmitz, Tony Chen and Mansa Nair for their assistance with the NMR and mass spectrometric data and Hugo Gordon for technical support. Some of the antimicrobial screening was performed by CO-ADD (The Community for Antimicrobial Drug Discovery), funded by the Wellcome Trust (UK) and The University of Queensland (Australia).

Conflicts of Interest

The authors declare no conflict of interest.

References

  1. Singh, S.B. Confronting the Challenges of Discovery of Novel Antibacterial Agents. Bioorg. Med. Chem. Lett. 2014, 24, 3683–3689. [Google Scholar] [CrossRef] [PubMed]
  2. Payne, D.J.; Gwynn, M.N.; Holmes, D.J.; Pompliano, D.L. Drugs for Bad Bugs: Confronting the Challenges of Antibacterial Discovery. Nat. Rev. Drug Discov. 2007, 6, 29–40. [Google Scholar] [CrossRef]
  3. Silver, L.L. Challenges of Antibacterial Discovery. Clin. Microbiol. Rev. 2011, 24, 71–109. [Google Scholar] [CrossRef] [PubMed]
  4. Bernal, P.; Molina-Santiago, C.; Daddaoua, A.; Llamas, M.A. Antibiotic Adjuvants: Identification and Clinical Use: Antibiotic Adjuvants. Microb. Biotechnol. 2013, 6, 445–449. [Google Scholar] [CrossRef] [PubMed]
  5. Farha, M.A.; Brown, E.D. Discovery of Antibiotic Adjuvants. Nat. Biotechnol. 2013, 31, 120–122. [Google Scholar] [CrossRef]
  6. González-Bello, C. Antibiotic Adjuvants—A Strategy to Unlock Bacterial Resistance to Antibiotics. Bioorg. Med. Chem. Lett. 2017, 27, 4221–4228. [Google Scholar] [CrossRef]
  7. Melander, R.J.; Melander, C. The Challenge of Overcoming Antibiotic Resistance: An Adjuvant Approach? ACS Infect. Dis. 2017, 3, 559–563. [Google Scholar] [CrossRef]
  8. Douafer, H.; Andrieu, V.; Phanstiel, O.; Brunel, J.M. Antibiotic Adjuvants: Make Antibiotics Great Again! J. Med. Chem. 2019, 62, 8665–8681. [Google Scholar] [CrossRef]
  9. Liu, M.; El-Hossary, E.M.; Oelschlaeger, T.A.; Donia, M.S.; Quinn, R.J.; Abdelmohsen, U.R. Potential of Marine Natural Products against Drug-Resistant Bacterial Infections. Lancet Infect. Dis. 2019, 19, e237–e245. [Google Scholar] [CrossRef]
  10. Barbosa, F.; Pinto, E.; Kijjoa, A.; Pinto, M.; Sousa, E. Targeting Antimicrobial Drug Resistance with Marine Natural Products. Int. J. Antimicrob. Agents 2020, 56, 106005. [Google Scholar] [CrossRef]
  11. Valdes-Pena, M.A.; Massaro, N.P.; Lin, Y.-C.; Pierce, J.G. Leveraging Marine Natural Products as a Platform to Tackle Bacterial Resistance and Persistence. Acc. Chem. Res. 2021, 54, 1866–1877. [Google Scholar] [CrossRef] [PubMed]
  12. Salmi, C.; Loncle, C.; Vidal, N.; Letourneux, Y.; Fantini, J.; Maresca, M.; Taïeb, N.; Pagès, J.-M.; Brunel, J.M. Squalamine: An Appropriate Strategy against the Emergence of Multidrug Resistant Gram-Negative Bacteria? PLoS ONE 2008, 3, e2765. [Google Scholar] [CrossRef]
  13. Lavigne, J.-P.; Brunel, J.-M.; Chevalier, J.; Pages, J.-M. Squalamine, an Original Chemosensitizer to Combat Antibiotic-Resistant Gram-Negative Bacteria. J. Antimicrob. Chemother. 2010, 65, 799–801. [Google Scholar] [CrossRef]
  14. Pieri, C.; Borselli, D.; Di Giorgio, C.; De Méo, M.; Bolla, J.-M.; Vidal, N.; Combes, S.; Brunel, J.M. New Ianthelliformisamine Derivatives as Antibiotic Enhancers against Resistant Gram-Negative Bacteria. J. Med. Chem. 2014, 57, 4263–4272. [Google Scholar] [CrossRef] [PubMed]
  15. Li, S.A.; Cadelis, M.M.; Sue, K.; Blanchet, M.; Vidal, N.; Brunel, J.M.; Bourguet-Kondracki, M.-L.; Copp, B.R. 6-Bromoindolglyoxylamido Derivatives as Antimicrobial Agents and Antibiotic Enhancers. Bioorg. Med. Chem. 2019, 27, 2090–2099. [Google Scholar] [CrossRef]
  16. Cadelis, M.M.; Pike, E.I.W.; Kang, W.; Wu, Z.; Bourguet-Kondracki, M.-L.; Blanchet, M.; Vidal, N.; Brunel, J.M.; Copp, B.R. Exploration of the Antibiotic Potentiating Activity of Indolglyoxylpolyamines. Eur. J. Med. Chem. 2019, 183, 111708. [Google Scholar] [CrossRef] [PubMed]
  17. Chen, D.; Cadelis, M.M.; Rouvier, F.; Troia, T.; Edmeades, L.R.; Fraser, K.; Gill, E.S.; Bourguet-Kondracki, M.-L.; Brunel, J.M.; Copp, B.R. α,ω-Diacyl-Substituted Analogues of Natural and Unnatural Polyamines: Identification of Potent Bactericides That Selectively Target Bacterial Membranes. Int. J. Mol. Sci. 2023, 24, 5882. [Google Scholar] [CrossRef]
  18. Klenke, B.; Gilbert, I.H. Nitrile Reduction in the Presence of Boc-Protected Amino Groups by Catalytic Hydrogenation over Palladium-Activated Raney-Nickel. J. Org. Chem. 2001, 66, 2480–2483. [Google Scholar] [CrossRef]
  19. Klenke, B.; Stewart, M.; Barrett, M.P.; Brun, R.; Gilbert, I.H. Synthesis and Biological Evaluation of s -Triazine Substituted Polyamines as Potential New Anti-Trypanosomal Drugs. J. Med. Chem. 2001, 44, 3440–3452. [Google Scholar] [CrossRef]
  20. Israel, M.; Rosenfield, J.S.; Modest, E.J. Analogs of Spermine and Spermidine. I. Synthesis of Polymethylenepolyamines by Reduction of Cyanoethylated α,ι-Alkylenediamines1,2. J. Med. Chem. 1964, 7, 710–716. [Google Scholar] [CrossRef]
  21. Pearce, A.N.; Kaiser, M.; Copp, B.R. Synthesis and Antimalarial Evaluation of Artesunate-Polyamine and Trioxolane-Polyamine Conjugates. Eur. J. Med. Chem. 2017, 140, 595–603. [Google Scholar] [CrossRef] [PubMed]
  22. Aubry, C.; Wilson, A.J.; Emmerson, D.; Murphy, E.; Chan, Y.Y.; Dickens, M.P.; García, M.D.; Jenkins, P.R.; Mahale, S.; Chaudhuri, B. Fascaplysin-Inspired Diindolyls as Selective Inhibitors of CDK4/Cyclin D1. Bioorg. Med. Chem. 2009, 17, 6073–6084. [Google Scholar] [CrossRef]
  23. Liew, L.P.P.; Fleming, J.M.; Longeon, A.; Mouray, E.; Florent, I.; Bourguet-Kondracki, M.-L.; Copp, B.R. Synthesis of 1-Indolyl Substituted β-Carboline Natural Products and Discovery of Antimalarial and Cytotoxic Activities. Tetrahedron 2014, 70, 4910–4920. [Google Scholar] [CrossRef]
  24. Petit, S.; Duroc, Y.; Larue, V.; Giglione, C.; Léon, C.; Soulama, C.; Denis, A.; Dardel, F.; Meinnel, T.; Artaud, I. Structure-Activity Relationship Analysis of the Peptide Deformylase Inhibitor 5-Bromo-1 H-Indole-3-Acetohydroxamic Acid. ChemMedChem 2009, 4, 261–275. [Google Scholar] [CrossRef] [PubMed]
  25. Wang, J.; Kaiser, M.; Copp, B. Investigation of Indolglyoxamide and Indolacetamide Analogues of Polyamines as Antimalarial and Antitrypanosomal Agents. Mar. Drugs 2014, 12, 3138–3160. [Google Scholar] [CrossRef] [PubMed]
  26. Blaskovich, M.A.T.; Zuegg, J.; Elliott, A.G.; Cooper, M.A. Helping Chemists Discover New Antibiotics. ACS Infect. Dis. 2015, 1, 285–287. [Google Scholar] [CrossRef]
Figure 1. Structures of indolglyoxyl spermine derivatives.
Figure 1. Structures of indolglyoxyl spermine derivatives.
Pharmaceuticals 16 00823 g001
Figure 2. Antibiotic enhancement structure–activity relationship for indolglyoxyl spermine derivatives.
Figure 2. Antibiotic enhancement structure–activity relationship for indolglyoxyl spermine derivatives.
Pharmaceuticals 16 00823 g002
Figure 3. Polyamine scaffolds 9ae.
Figure 3. Polyamine scaffolds 9ae.
Pharmaceuticals 16 00823 g003
Figure 4. Indole-3-glyoxyl head groups 1016.
Figure 4. Indole-3-glyoxyl head groups 1016.
Pharmaceuticals 16 00823 g004
Scheme 1. Synthesis of 2-(7-methyl-1H-indol-3-yl)-2-oxoacetic acid (16). Reagents and conditions: (a) oxalyl chloride, Et2O, 0 °C, 1.5 h; and (b) saturated aq. NaHCO3, reflux, 2 h (95% over two steps).
Scheme 1. Synthesis of 2-(7-methyl-1H-indol-3-yl)-2-oxoacetic acid (16). Reagents and conditions: (a) oxalyl chloride, Et2O, 0 °C, 1.5 h; and (b) saturated aq. NaHCO3, reflux, 2 h (95% over two steps).
Pharmaceuticals 16 00823 sch001
Scheme 2. Synthetic route to target indolglyoxylpolyamine conjugates 1723. Reagents and conditions: (a) for glyoxylchlorides 1012, 14: DMF, DIPEA, polyamine 9ae, r.t., 48 h (16–56%); (b) for glyoxylic acids 13, 15, 16: DMF, PyBOP, DIPEA, polyamine 9ae, r.t., N2, 24 h (13–97%); and (c) TFA (0.2 mL) in CH2Cl2 (2 mL), N2, 2 h (19–100%).
Scheme 2. Synthetic route to target indolglyoxylpolyamine conjugates 1723. Reagents and conditions: (a) for glyoxylchlorides 1012, 14: DMF, DIPEA, polyamine 9ae, r.t., 48 h (16–56%); (b) for glyoxylic acids 13, 15, 16: DMF, PyBOP, DIPEA, polyamine 9ae, r.t., N2, 24 h (13–97%); and (c) TFA (0.2 mL) in CH2Cl2 (2 mL), N2, 2 h (19–100%).
Pharmaceuticals 16 00823 sch002
Table 4. Antibiotic potentiating activity of 21a.
Table 4. Antibiotic potentiating activity of 21a.
AntibioticConcentration (µM) for Potentiation a
P. aeruginosa bE. coli cK. pneumoniae dA. baumannii e
No antibiotic200>200>200100
Doxycycline3.1251.5620012.5
Erythromycin100200>200100
Chloramphenicol25>200>200200
Nalidixic acid25200>200200
All values presented as the mean (n = 3). a Concentration (µM) of compound 21a required to restore antibiotic activity at 2 µg/mL concentration of antibiotic; b P. aeruginosa ATCC 27853 against doxycycline (MIC 50 µM), erythromycin (MIC > 200 µM), chloramphenicol (MIC > 200 µM) and nalidixic acid (MIC > 200 μM); c E. coli ATCC 25922 against doxycycline (MIC 25 μM), erythromycin (MIC > 200 µM), chloramphenicol (MIC > 200 µM) and nalidixic acid (MIC > 200 μM); d Klebsiella pneumoniae ST258 against doxycycline (MIC 25 μM), erythromycin (MIC > 200 µM), chloramphenicol (MIC 50 µM) and nalidixic acid (MIC 100 μM); e A. baumannii AYE against doxycycline (MIC 12.5 μM), erythromycin (MIC 200 µM), chloramphenicol (MIC > 200 µM) and nalidixic acid (MIC > 200 μM).
Disclaimer/Publisher’s Note: The statements, opinions and data contained in all publications are solely those of the individual author(s) and contributor(s) and not of MDPI and/or the editor(s). MDPI and/or the editor(s) disclaim responsibility for any injury to people or property resulting from any ideas, methods, instructions or products referred to in the content.

Share and Cite

MDPI and ACS Style

Cadelis, M.M.; Liu, T.; Sue, K.; Rouvier, F.; Bourguet-Kondracki, M.-L.; Brunel, J.M.; Copp, B.R. Structure–Activity Relationship Studies of Indolglyoxyl-Polyamine Conjugates as Antimicrobials and Antibiotic Potentiators. Pharmaceuticals 2023, 16, 823. https://doi.org/10.3390/ph16060823

AMA Style

Cadelis MM, Liu T, Sue K, Rouvier F, Bourguet-Kondracki M-L, Brunel JM, Copp BR. Structure–Activity Relationship Studies of Indolglyoxyl-Polyamine Conjugates as Antimicrobials and Antibiotic Potentiators. Pharmaceuticals. 2023; 16(6):823. https://doi.org/10.3390/ph16060823

Chicago/Turabian Style

Cadelis, Melissa M., Tim Liu, Kenneth Sue, Florent Rouvier, Marie-Lise Bourguet-Kondracki, Jean Michel Brunel, and Brent R. Copp. 2023. "Structure–Activity Relationship Studies of Indolglyoxyl-Polyamine Conjugates as Antimicrobials and Antibiotic Potentiators" Pharmaceuticals 16, no. 6: 823. https://doi.org/10.3390/ph16060823

APA Style

Cadelis, M. M., Liu, T., Sue, K., Rouvier, F., Bourguet-Kondracki, M.-L., Brunel, J. M., & Copp, B. R. (2023). Structure–Activity Relationship Studies of Indolglyoxyl-Polyamine Conjugates as Antimicrobials and Antibiotic Potentiators. Pharmaceuticals, 16(6), 823. https://doi.org/10.3390/ph16060823

Note that from the first issue of 2016, this journal uses article numbers instead of page numbers. See further details here.

Article Metrics

Back to TopTop