Abstract
The concept of privileged structure has been used as a fruitful approach for the discovery of novel biologically active molecules. A privileged structure is defined as a semi-rigid scaffold able to display substituents in multiple spatial directions and capable of providing potent and selective ligands for different biological targets through the modification of those substituents. On average, these backbones tend to exhibit improved drug-like properties and therefore represent attractive starting points for hit-to-lead optimization programs. This article promotes the rapid, reliable, and efficient synthesis of novel, highly 3-dimensional, and easily functionalized bio-inspired tricyclic spirolactams, as well as an analysis of their drug-like properties.
1. Introduction
Privileged structures are described in the literature as molecular patterns used to provide useful ligands targeting more than one receptor [1]. They are often defined as a semi-rigid scaffold displaying substituents in multiple directions, whose derivatization can lead to potent and selective ligands for various biological targets. Privileged structures usually exhibit good drug-like properties, making them very attractive candidates to enrich libraries of drug-like compounds for screening [2].
For decades, considerable efforts have been made to identify the structural and physico-chemical properties that make small molecules more likely to become drugs. These characteristics would then be helpful to improve the drug discovery success rate through the design and synthesis of focused drug-like molecule libraries. More recently, Lovering et al. reported that the clinical success of many drugs and drug candidates is correlated to their molecular complexity [3]. They proposed two descriptors to measure molecular complexity. The first one is the carbon bond saturation represented by Fsp3, defined as the ratio between the number of sp3-hybridized carbon atoms and the total carbon count. The second one is the total number of chiral carbons in the molecule. The authors demonstrated that molecules displaying a high Fsp3 and numerous stereocenters tend to exhibit good drug-like properties such as high solubility and low promiscuity and have a lower rate of attrition during each stage of the drug discovery process [4]. Moreover, these compounds present an enhanced three-dimensional structure due to their saturated carbon atoms (C-sp3), which allows access to different chemical spaces compared to flat, sp2-rich compounds. In addition, several research groups have succeeded in improving the drug properties of lead compounds by increasing their Fsp3 value [5]. Despite these efforts, commercial chemical libraries for drug discovery screening programs are still dominated by sp2-rich compounds due to the lack of synthetic routes for stereoselective construction of complex sp3-rich molecules.
Drugs issued from natural products typically possess a higher Fsp3 value (>0.5) and a greater number of stereogenic centers compared to drugs from completely synthetic origins [6]. In addition, the core scaffolds of natural products are often considered ‘’privileged structures” due to their presence in many bioactive molecules [7] and constitute an important source of inspiration in drug design and development [8]. Several studies have revealed that the acquisition of a diversity of scaffolds inspired by natural products can be a powerful tool to explore new chemical spaces and identify lead compounds in the search for new drug candidates [9,10,11,12]. However, libraries of natural products are still scarce due to their highly complex structures and synthetic pathways that usually require multiple steps with very low yields [13].
As an alternative, easily accessible synthetic molecules exhibiting the structural features of natural products and privileged structures are highly desirable. To address these issues, we report here the design of and facile access to a focused library of novel Fsp3-rich tricyclic spirolactams (1) (Figure 1). This family displays structural complexity similar to that found in natural products [14], particularly in indole diterpenoids (Thiersindole B [15] and Penicilindole C [16]), and a sesquiterpene γ-lactone Antrocin. Thiersindole B (2) and Penicilindole C (3) were isolated from Penicillium thiersii and Eupenicillium sp. HJ002, respectively. Antrocin (4) was isolated from Antrodia camphorate [17] and can be synthesized in 11 steps from commercially available 3-methyl-2-cyclohexenone [18]. Antrocin has shown significant activity against the proliferation of metastatic breast cancer cell lines (MDA-MB-231) [19] and has potential as a therapeutic agent for the prevention of Alzheimer’s disease [20].
Figure 1.
Structure of natural products Thiersindole B, Penicilindole C, Antrocin, and target Tricyclic SpiroLactams containing fused tricyclic spiro-ring systems.
In addition to possessing the structural hallmarks of natural products, these novel tricyclic spirolactams (1) display a rigid scaffold with three functionalization points (R1, R2, and R3) (Figure 1), spread out in three distinct vectors, allowing the synthesis of a large number of analogues to probe new chemical spaces and explore additional relevant biological space areas [21,22]. These novel bio-inspired sp3-rich tricyclic spirolactams (1) can therefore be considered “privileged structures”, and libraries of such molecules have the potential to provide high-quality hit compounds with significant interest in drug-discovery screening programs.
2. Results and Discussion
Over the past decade, our team has been interested in the development of rapid and efficient synthetic routes to access unprecedented 3-dimensional privileged structures and fragments for drug discovery applications [23,24,25,26]. As a continuation of our efforts to enrich our screening libraries with novel privileged scaffolds, we designed here an original and concise synthetic approach that allows rapid and efficient access to new tricyclic spirolactams from commercially available N-protected cyclic ketones. The three-dimensional core of these molecules (5) can be obtained through Meyers’ lactamization between amino-alcohols and the keto-ester or acid (6), which is derived from N-protected cyclic ketone (7) through alkylation (Scheme 1).
Scheme 1.
Retrosynthetic analysis of Tricyclic SpiroLactams 1.
Meyers’ lactamization reaction has been widely used for the stereoselective synthesis of bicyclic lactams, which may be utilized as chiral building blocks for the stereoselective construction of five- and six-membered nitrogen-containing heterocycles [27,28]. It is a well-known tool for the synthesis of natural products (especially alkaloids) from phenylglycinol-derived bi- and tricyclic lactams [29,30,31]. However, to the best of our knowledge, this methodology has not been extended to derive 4-piperidone δ–keto-ester until the work of our group [32]. Herein, we aim to extend Meyers’ lactamization reaction to piperidones, pyrrolidinones, azapanones, aminocyclohexanone-derived keto-acids and keto-esters, and original amino-alcohols in order to rapidly generate a collection of novel tricyclic spirolactams with a diversity of scaffolds that have similar complexity to natural products.
2.1. Optimization of Meyers’ Lactamization Reaction
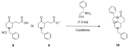
We have previously described the synthesis of bicyclic and tricyclic lactams from keto-acids by this methodology using water or a water/methanol mix as solvent [32]. However, the reported yield for the reaction between 3-(1-benzyl-4-oxo-3-piperidyl) propanoic acid chlorhydrate (8) and phenylglycinol remained moderate (65%). Meyers’ lactamization is usually performed in toluene under reflux with or without a Dean-Stark apparatus [33,34,35]. Using toluene as the solvent, a conversion of 66% was obtained (Table 1, entry 1). Next, the reaction was investigated under microwave irradiations (µW) [36] in order to reduce the reaction time and to allow for heating at higher temperatures (150 °C) (Table 1, entry 2). Under these conditions, the conversion rate was improved to 76%. We hypothesized that the low solubility of keto-acid 8 in toluene could be responsible for the incomplete conversion and that using a less polar (and therefore more soluble in toluene) analog such as keto-ester 9 could improve conversion. Levacher and collaborators have reported that Meyers’ lactamization was more efficient with a di-aryl keto-ester than with its keto-acid analog. In addition, they described the synthesis of various lactams by treatment of diverse di-aryl keto-esters with phenylglycinol using pivalic acid (t-BuCO2H) catalysis under microwave irradiations [37]. Interestingly, complete conversion was obtained when these conditions were applied to δ–keto-ester 9 (Table 1, entry 3). In addition, the reaction was completely stereoselective, and only the expected lactam 10 was formed during the reaction.
Table 1.
Optimization of Meyers’ lactamization between 4-piperidone-derived keto-acid 8 or keto-ester 9 and R-phenylglycinol.
2.2. Scope of Meyers’ Lactamization Reaction
2.2.1. Synthesis of Lactams with Octahydrooxazolo [2,3-j][1,6]naphthyridin-5-ones Core ([5.6.6] Ring System) from Benzyl-Keto-Ester
To explore the scope of these optimized reaction conditions (Table 1, entry 3) to generate lactams with octahydrooxazolo [2,3-j][1,6]naphthyridin-5-ones core ([5.6.6] ring system), benzyl δ-keto-ester 9 was selected as the model substrate to react with several chiral β–amino-alcohols. Complete conversion of starting material 9 was observed when reacted with L-alaninol, L-valinol, and L-tert-leucinol (Table 2, entries 1–3). The stereoselectivity of the reaction was found to be correlated to the steric hindrance of the substituent in position 2 of the amino alcohol. The expected products 11–13 [30,32], with trans configuration for ring junction carbons (7a and 11a) of the tricyclic core, were obtained with moderate to good yields and good to excellent diastereoisomeric excesses (Table 2, entries 1–3).
Table 2.
Meyers’ lactamization of benzyl–δ-keto-ester 9 with amino-alcohols.
2.2.2. Synthesis of Lactams with Decahydro-[1,3]oxazino[2,3-j][1,6]naphthyridin-6-one core ([6,6,6] Ring System)
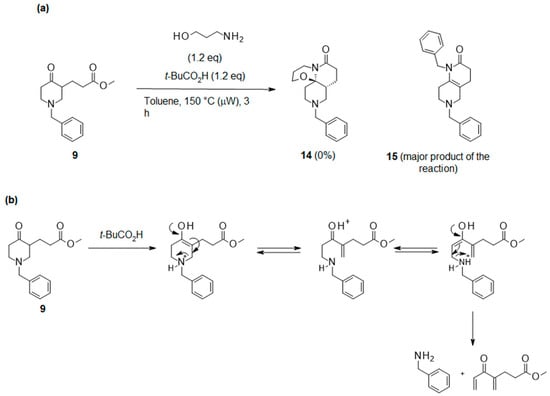
We next tried to extend this procedure to γ-amino-alcohols to produce derivatives with a decahydro-[1,3]oxazino[2,3-j][1,6]naphthyridin-6-one core ([6,6,6] ring system), in which the previous oxazolidine ring is expanded to an 1,3-oxazinane ring. Benzyl-keto-ester 9 was thus reacted with 3-aminopropanol under the optimized conditions (Scheme 2a).

Scheme 2.
(a) Meyers’ lactamization of Benzyl-keto-ester 9 with 3-aminopropanol. Possible pathway for the formation of by-product 15 from keto-ester 9 and benzylamine: (b) Hoffmann-type elimination; (c) Double condensation of benzylamine on keto-ester 9.
A complete conversion of 9 was obtained, but only traces of the desired product 14 were observed. Instead, by-product 15 was found to be the major product of the reaction. We propose that 15 is obtained through a double condensation between benzyl-keto-ester 9 and benzylamine (Scheme 2c), which arises from 9 via a double Hoffmann-type elimination in acidic conditions (Scheme 2b) [38].
To limit the formation of by-product 15, we looked for a non-basic analog of 9 in order to prevent the release of benzylamine by Hoffmann elimination. To this purpose, Boc-protected δ-keto-ester 16 (Scheme 3) was synthesized from commercially available Boc-4-piperidone 7 by Stork-enamine alkylation via a one-pot, three-step process [39,40]. The first step in the sequence is the formation of the enamine by condensation between morpholine and 4-piperidone under toluene reflux using Dean-Stark conditions. Then, the intermediate enamine was alkylated with methyl acrylate, followed by hydrolysis to afford Boc-protected δ-keto-ester 16 in a 72% yield as a racemic mixture.
Scheme 3.
One-pot synthesis of Boc-protected δ-keto-ester 16 via Stork-enamine alkylation.
In contrast to its benzyl analog 9, Boc-protected δ-keto-ester 16 reacted very efficiently with 3-aminopropanol to produce lactam 17 (Table 3, entry 1). It also reacted efficiently with other C-2 and C-3 substituted aminopropanol derivatives to generate various lactams functionalized on the oxazinane ring with small alkyl groups (compounds 17–22, Table 3, entries 1–6) and spirocycles (compounds 23–24, Table 3, entries 7–8).
Table 3.
Meyers’ lactamization of Boc-protected δ-keto-ester 16 with various 3-aminopropanols.
Compounds (17–24) were obtained with good yields ranging from 63% to 98% (Table 3, entries 1, 3–8) except for compound 18, which was only obtained with an 18% yield (Table 3, entry 2), certainly because of the high steric hindrance of the isopropyl moiety. As previously noticed with compounds 11–13 (Table 2, entries 1–3), the stereoselectivity of the reaction was correlated to the steric hindrance of the substituent in the alpha or beta position of the nitrogen. As expected, products were obtained as racemic mixtures when the reaction was performed with non-chiral or racemic amino-alcohols.
2.2.3. Application of Meyers’ Lactamization Reaction to Other Boc-Keto-Esters and Amino-Alcohols to Produce Tricyclic Spirolactams with Original Scaffolds
As shown previously, Meyers’ lactamization of γ-amino-alcohols is more efficient with the Boc-protected δ-keto-ester 16 than with its benzyl analog 9. This result was confirmed with several β-amino-alcohols. For instance, 16 was reacted with L-valinol using the optimized conditions (Table 4, entry 1), leading to lactam 25 with a higher yield (84%), as compared to lactam 12 obtained from benzyl analog 9 (75%, Table 2, entry 2). However, the stereoselectivity of the reaction was slightly decreased from 100:0 to 90:10 but remained excellent (Table 4, entry 1). Interestingly, we also observed that this reaction can be scaled up to 7 mmol of 16 and can be carried out under reflux of toluene in thermal heating instead of microwave irradiations. A similar yield (88%) of 25 was obtained when the keto-ester 16 was reacted with L-valinol under refluxing toluene (Table 4, entry 1). Therefore, the following examples were performed under these conditions.
Table 4.
Extension of Meyers’ lactamization reaction to various Boc-protected keto-esters and amino-alcohols.
Boc-protected δ-keto-ester 16 was then engaged in Meyers’ lactamization reaction with several C-2 substituted β-amino-alcohols. The reaction was also efficient and highly stereoselective, leading to tricyclic spirolactams functionalized on the oxazolidine ring with a benzyl ethyl ether and CF3 group (Table 4, entries 2 and 3). The expected products (26 and 27) were isolated in moderate to good yields with excellent diastereoisomeric ratios (d.r. > 90:10). Using the optimized conditions, tetracyclic lactam 28 was also obtained from 2-aminophenol with a quantitative yield (Table 4, entry 4).
Interestingly, the scope of the reaction could also be extended to aminobutanol to generate product 29 (Table 4, entry 5) with a dodecahydro-[1,3]oxazepino[2,3-j][1,6]naphthyridine core ([7.6.6] ring system) in 81% yield.
To further explore the scope of the reaction and produce a diversity of tricyclic spirolactams with new scaffolds, we attempted to extend this methodology to different Boc-protected keto-esters. Boc-protected δ-keto-esters 30, 32, and 34 (Table 4, entries 6–8) were firstly prepared by Stork-enamine alkylation of N-Boc piperidin-4-one, N-Boc pyrrolidin-3-one, and N-Boc azapan-4-one, respectively, following the protocol previously used for the synthesis of 16 (see Materials and Methods, Section 3.2.1). γ-keto-ester 36 (Table 4, entry 9) was obtained from N-Boc piperidin-4-one and methyl-2-bromoacetate using the same strategy. These keto-esters (30, 32, 34, and 36) reacted with L-valinol under the optimized conditions. Interestingly, this reaction was efficient, highly stereoselective, and led to novel tricyclic spirolactams 31, 33, 35, and 37 with a decahydrooxazolo[2,3-e][1,5]naphthyridine ([5.6.6] ring system), octahydro-1H-oxazolo[3,2-a]pyrrolo[3,2-b]pyridine ([5.6.5]), decahydro-2H-oxazolo[3′,2′:1,2]pyrido[3,2-c]azepine ([5.6.7]), and octahydro-2H-oxazolo[3′,2′:1,2]pyrrolo[3,2-c]pyridine ([5.5.6]) core, respectively (Table 4, entries 6–9). Therefore, these results showed that this methodology is tractable and allows the modification of the size and substituents of each cycle of tricyclic lactams according to the structure of the keto ester and amino-alcohol used during Meyers’ lactamization reaction.
To further demonstrate the reliability and versatility of this methodology, Meyers’ lactamization was extended to aminocyclohexanone derivative 38 (Scheme 4), obtained as a mixture of four stereoisomers from N-4-Boc-aminocyclohexanone by the previously described Stork-enamine alkylation strategy in a good yield (85%) (see Materials and Methods, Section 3.2.1). As observed for previous substrates, Meyers’ lactamization of δ-ketoester 38 with L-valinol under optimized conditions was highly stereoselective, leading to two main diastereoisomers 39 and 40 (70% overall yield), sharing a trans configuration at the ring junction between carbons 7a and 11a, as observed for lactam 25, but epimers at the C-9 position (Scheme 4).
Scheme 4.
Synthesis of aminocyclohexyl derivative lactams 39 and 40 via Meyers’ lactamization methodology.
Luckily, 39 and 40 could be separated by flash chromatography. Interestingly, lactam 39 could be crystalized, and X-ray diffraction confirmed the expected configuration of all stereogenic centers and showed the enhanced three-dimensional character of these molecules (Figure 2). It also confirmed the “privileged structure” character of these fused lactams, as the diversification of substituents (R1, R2, and R3) in each ring provides chemical space exploration through three defined and divergent trajectories.
Figure 2.
X-ray crystal structure of lactam 39.
2.3. Functionalization of the Lactam Ring
Having demonstrated the robustness of our methodology for the formation of several tricyclic spirolactam scaffolds with a large diversity of R1 substituents on the oxazolidine ring, we then looked into the functionalization of the remaining two points of diversity (R2 and R3). First, the alkylation of the lactam ring was performed by treating compound 25 with LDA in THF at 0 °C, followed by addition of alkylating reagents (Scheme 5). Use of methyl iodide as an alkylating agent gave methylated product 41 in a 75% yield as a mixture of two diastereoisomers (d.r. = 50:50), separable by flash chromatography. Interestingly, complete stereoselectivity was obtained when N-fluorobenzenesulfinimide (NFSI) was used as a fluorinating reagent (Scheme 5). However, the fluorinated analog 42 was only isolated with a 16% yield, due to the formation of a doubly fluorinated derivative that was difficult to separate from 42 by flash chromatography.
Scheme 5.
Functionalization of the lactam ring by alkylation reactions.
2.4. Synthesis and Drug-like Properties of Novel Tricyclic Spirolactams Obtained via R3 Position Functionalization
In order to functionalize the R3 position, the protecting groups (benzyl and Boc) of the piperidine nitrogen of lactams 12 and 25 were both readily removed using Pd-catalyzed hydrogenolysis and acidic conditions to generate the free secondary amines 43 and 44, respectively (Scheme 6a). The oxazolidine and lactam rings were not altered under these conditions, demonstrating the robust nature of this scaffold.

Scheme 6.
(a) Deprotection of lactams 12 and 25 and physico-chemical properties of deprotected compound 44, (b) Selected examples of reaction for the derivatization of lactam 43 and 44 into a focused library of potential drug-like compounds (i) 44 (1 eq), bromomethylcyclohexane (1.1 eq), K2CO3 (3 eq), NaI (1.1 eq), MeCN, 80 °C, 60 h; (ii) 43 (1 eq), 4-(1-piperidyl)benzaldehyde (1.2 eq), DIEA (1 eq), NaBH(OAc)3 (2 eq), 1,2-dichloroethane, r.t., overnight; (iii) 43 (1 eq), 3-[4-(trifluoromethyl)phenyl]propanoic acid (1 eq), DIEA (3 eq), COMU (1.5 eq), ethyl acetate, r.t., 4 h; (iv) 43 (1 eq), 2-[4-(trifluoromethyl)phenyl]ethanesulfonyl chloride (1 eq), MeCN, r.t., overnight.
Interestingly, lactam 44 shows a high aqueous solubility (>200 µM in PBS at pH 7.4) and logD = −1.715 (Scheme 6a). In addition, it exhibits a high fraction of sp3-hybridized carbon atoms (Fsp3 = 0.9), three contiguous chiral centers, a low molecular weight (<300 g.mol−1), and a functional nitrogen atom. Therefore, lactam 44 is an excellent platform for derivatization to produce a library of drug-like compounds for screening against various biological targets.
To this purpose, diverse functional groups were successfully introduced on the piperidine ring via various transformations such as alkylation (nucleophilic substitution, reductive amination), acylation, and sulfonylation. Scheme 6b shows selected examples of such functionalization, leading to compounds 45, 46, 47, and 48. These molecules are Lipinsky’s rule of five compliant [41] (cLogP calculated using DataWarrior [42]) (Scheme 6b). The Fsp3 values of all these compounds (Fsp3 > 0.6) are much higher than the average of completely synthetic drugs (Fsp3 = 0.37) [9] and are as high as those of natural product drugs (Fsp3 = 0.68) [9] (Scheme 6b). These results show the three-dimensionality and drug-like properties of these compounds, suggesting that a screening of our 3D tricyclic spirolactam library against diverse biological targets has the potential to identify hit compounds targeting a new biological space.
3. Materials and Methods
3.1. General Information
All reagent-grade chemicals and anhydrous solvents for synthesis, analysis, and purification were obtained from commercial suppliers and used as received without further purification.
Flash chromatography was performed using a Puriflash PF-430 with silica gel cartridges (Buchi Silica 40 µm). ELSD and UV detection (254 nm) were used to collect the desired product. Reverse flash chromatography was performed using a CombiFlash® Rf200 with C18 cartridges (Buchi C18 40 µm). UV detection (215 and 254 nm) was used to collect the desired product.
1H NMR and 13C NMR spectra were recorded on a Bruker DRX-300 spectrometer. Chemical shifts (δ) are in parts per million (ppm). The 1H spectra were calibrated to signals from CD2Cl2 (δ 5.36 ppm) or CDCl3 (δ 7.26 ppm), and the 13C spectra from CD2Cl2 (δ 53.84 ppm) or CDCl3 (δ 77.16 ppm). 1H NMR spectra are reported as the following: chemical shift (ppm), multiplicity (s: singlet; brs: broad singlet; d: doublet; dd: doublet of doublet; t: triplet; td: triplet of doublet; m: multiplet), coupling constants in Hertz (Hz), and integration. Proton and carbon signal assignments were established using COSY, HSQC-DEPT, and HMBC spectra.
The LC-MS Waters system was equipped with a 2747 sample manager, a 2695 separation module, a 2996 photodiode array detector (200–400 nm), and a Micromass ZQ2000 detector (scan 100–800). XBridge C18 column (50 mm × 4.6 mm, 3.5 µm, Waters) was used. The injection volume was 20 µL. A mixture of water and acetonitrile was used as the mobile phase in gradient elution. The pH of the mobile phase was adjusted with HCOOH and NH4OH to form a buffer solution at pH 3.8. The analysis time was 5 min (at a flow rate of 2 mL/min), 10 min (at a flow rate of 1 mL/min), or 30 min (at a flow rate of 1 mL/min). Purity (%) was determined by reversed-phase HPLC, using UV detection (215 nm). All final compounds showed purity greater than 95%.
High-resolution mass spectra (HRMS) analysis was performed on a LC-MS system equipped with a LCT Premier XE mass spectrometer (Waters), using an XBridge C18 column (50 mm × 4.6 mm, 3.5 µm, Waters). A gradient starting from 98% H2O and 5 mM Ammonium Formate pH 3.8 and reaching 100% MeCN and 5 mM Ammonium Formate pH 3.8 within 3 min at a flow rate of 1 mL was used.
Single-crystal X-ray diffraction measurements were performed at room temperature. Data were collected on a Bruker Apex Duo diffractometer equipped with a Photon III C14 detector and an Incoatec microsource (λCu = 1.54184 Å).
3.2. Chemistry
- 3-(1-benzyl-4-oxo-3-piperidyl)propanoic acid (8):
Compound 8 was prepared according to the procedure described by our team [32].
- Methyl 3-(1-benzyl-4-oxo-3-piperidyl)propanoate (9):
To a solution of compound 8 (19.3 g, 73.9 mmol) in methanol (200 mL), SOCl2 (5.9 mL, 81.3 mmol) was added dropwise at room temperature. The mixture was then stirred at 55 °C for 1 h. The solvent was removed under vacuum, and the mixture was dissolved in 0.1 N HCl (100 mL) and stirred at room temperature for 1 h. A saturated aqueous solution of Na2CO3 was added until pH 10. The solution was extracted with ethyl acetate. The organic layer was dried over MgSO4, and the solvent was removed under reduced pressure to give the crude product, which was purified by silica gel chromatography (cyclohexane/ethyl acetate: 70/30 to 0/100) to afford 9 (6.73 g, 33%), as a colorless oil. 1H NMR (300 MHz, CD2Cl2): δ 7.36–7.25 (m, 5H), 3.64 (d, J = 13.1 Hz, 1H), 3.61 (s, 3H), 3.57 (d, J = 13.1 Hz, 1H), 3.08–2.97 (m, 2H), 2.62–2.11 (m, 7H), 2.08–1.95 (m, 1H), 1.53–1.42 (m, 1H) ppm. LCMS (ESI, m/z): [M+H]+ = 276. 1H NMR data matched those reported previously [43].
3.2.1. General Protocol 1: Synthesis of Boc-Keto-Esters via Stork Enamine Alkylation
The appropriate ketone (1 eq) was dissolved in dry toluene (0.4 N), then morpholine (1.5 eq) or pyrrolidine (5 eq) was added. The flask was equipped with a Dean-Stark apparatus and a condenser. The solution was refluxed for 6–8 h. The mixture was cooled down to room temperature, and then methyl acrylate (2.5–5 eq) or methyl-2-bromoacetate (2.5–5 eq) was added. The solution was refluxed for 20–40 h. The mixture was evaporated until dry. The brown oil obtained was dissolved in HCl (10 eq) and stirred at room temperature for 5–20 h. The solution was extracted with ethyl acetate. The layers were separated. The organic layer was dried over MgSO4, filtered, and concentrated under reduced pressure to give the crude product, which was purified to afford the corresponding Boc-protected keto-ester, (see Scheme 7).
Scheme 7.
Synthesis of Boc-keto-esters via Stork enamine alkylation.
- Tert-butyl 3-(3-methoxy-3-oxo-propyl)-4-oxo-piperidine-1-carboxylate (16):
Compound 16 was obtained from N-Boc piperidin-4-one, morpholine, and methyl acrylate following the general protocol 1. The crude product was purified by reverse phase chromatography using H2O/MeOH (90/10 to 0/100) to afford compound 16 (yield = 72%) as a white solid. 1H NMR (300 MHz, CDCl3): δ 4.20–4.00 (m, 2H), 3.66 (s, 3H), 3.42–3.26 (m, 1H), 3.06–2.92 (m, 1H), 2.51–2.33 (m, 5H), 2.11–1.98 (m, 1H), 1.65–1.52 (m, 1H),1.48 (s, 9H) ppm. 13C (75 MHz, CDCl3): δ 209.1, 173.5, 154.6, 80.7, 51.8, 49.4, 48.4, 43.9, 40.9, 31.5, 28.5, 22.5 ppm. HRMS (ESI, m/z): [M+H]+ calcd. For C14H24NO5, 286.1654; found 286.1689.
- Tert-butyl 2-(3-methoxy-3-oxo-propyl)-3-oxo-piperidine-1-carboxylate (30):
Compound 30 was obtained from N-Boc piperidin-4-one, morpholine, and methyl-2-bromoacetate using general protocol 1. The crude product was purified by reverse phase chromatography using H2O/MeOH (90/10 to 0/100) to afford 30 (yield = 60%) as a colorless oil. 1H NMR (300 MHz, CDCl3): δ 3.65 (s, 3H), 3.29–3.20 (m, 2H), 2.63–2.55 (m, 2H), 2.49–2.33 (m, 3H), 2.09–1.90 (m, 5H), 1.44 (s, 9H) ppm. HRMS (ESI, m/z): [M+H]+ calcd. for C14H24NO5, 286.1654; found 286.1668.
- Tert-butyl 3-(3-methoxy-3-oxo-propyl)-4-oxo-pyrrolidine-1-carboxylate (32):
Compound 32 was obtained from N-Boc pyrrolidin-3-one, morpholine, and methyl acrylate following the general protocol 1. The crude product was purified by reverse-phase chromatography using H2O/MeOH (90/10 to 0/100) to afford 32 (yield = 43%) as a colorless oil. 1H NMR (300 MHz, CDCl3): δ 3.96–3.98 (m, 1H), 3.73–3.65 (m, 1H), 3.63 (s, 3H), 3.57–3.44 (m, 1H), 2.67–2.23 (m, 4H), 2.20–2.01 (m, 2H), 1.47 (s, 9H) ppm. LCMS (ESI, m/z): [M+H]+ = 272.
- Tert-butyl 3-(3-methoxy-3-oxo-propyl)-4-oxo-azepane-1-carboxylate (34):
Compound 34 was obtained from N-Boc azapan-4-one, pyrrolidine, and methyl acrylate using general protocol 1. The crude product was purified by reverse phase chromatography using H2O/MeOH (90/10 to 0/100) to afford keto-ester 34 (yield = 34%) as a colorless oil. 1H NMR (300 MHz, CDCl3): δ 4.02–3.79 (m, 2H), 3.64 (s, 3H), 3.11–2.93 (m, 2H), 2.91–2.73 (m, 1H), 2.72–2.55 (m, 2H), 2.52–2.42 (m, 1H), 2.40–2.24 (m, 2H), 1.82–1.61 (m, 3H), 1.42 (s, 9H) ppm. 13C (75 MHz, CDCl3): δ 212.9, 173.4, 154.5, 80.3, 77.3, 51.5, 49.3, 42.8, 40.8, 31.6, 28.4, 26.6, 25.8, 25.6, 24.5, 24.4, 23.5 ppm. HRMS (ESI, m/z): [M+H]+ calcd. For C15H26NO5, 300.1811; found 300.1827.
- Tert-butyl 3-(2-methoxy-2-oxo-ethyl)-4-oxo-piperidine-1-carboxylate (36):
Compound 36 was obtained from N-Boc piperidin-4-one, morpholine, and methyl-2-bromoacetate using general protocol 1. The crude product was purified by reverse phase chromatography using H2O/MeOH (90/10 to 0/100) to afford 36 (yield = 9%) as a colorless oil. 1H NMR (300 MHz, CDCl3): δ 4.40–4.24 (m, 2H), 3.70 (s, 3H), 3.25–3.211 (m, 1H), 3.02–2.84 (m, 2H), 2.77–2.64 (m, 1H), 2.62–3.37 (m, 2H), 2.34–2.22 (m, 1H),1.50 (s, 9H) ppm; 13C (75 MHz, CDCl3): δ 207.5, 172.1, 154.5, 80.8, 52.0, 48.1, 46.4, 43.8, 41.0, 31.3, 28.5 ppm. HRMS (ESI, m/z): [M+H]+ calcd. for C13H22NO5, 272.1498; found 272.1501.
- Methyl 3-[5-(tert-butoxycarbonylamino)-2-oxo-cyclohexyl]propanoate (38):
Compound 38 was obtained from N-Boc cyclohexan-4-one, pyrrolidine, and methyl acrylate using general protocol 1. The crude product was purified by flash column chromatography over silica gel (cyclohexane/ethyl acetate 100/0 to 40/60) to afford the desired keto-ester 38 (yield = 85%) as a yellow oil. 1H NMR (300 MHz, CDCl3): δ 4.85–4.49 (1H), 4.00 (br s, 1H), 3.67 (s, 3H), 2.61–2.25 (m, 7H), 2.17–1.98 (m, 4H), 1.48–1.43 (m, 9H) ppm. LCMS (ESI, m/z): [M+H]+ = 300.
3.2.2. General Protocol 2: Synthesis of Lactams via Meyers’ Lactamization of Keto-Esters with Amino-Alcohols
A solution of pivalic acid (1.2–3 eq) in toluene (0.2 N) was added to the appropriate keto-ester (1 eq). The appropriate amino-alcohol (1.2–3 eq) was added (when the amine is used as a chlorohydrate, DIEA (1.2–3 eq) was added). The mixture was refluxed (thermic for 20 h or 150 °C under microwave irradiations for 1–4 h). When the conversion of the keto-ester was judged complete by LC/MS, the solution was dissolved in H2O and extracted with ethyl acetate or dichloromethane. The layers were separated. The organic layer was dried over MgSO4, filtered, and concentrated under vacuum to give the crude product, which was purified to afford the desired product, (see Scheme 8).
Scheme 8.
Synthesis of lactams via Meyers’ lactamization of keto-esters with amino-alcohols.
- (3S,7aS,11aS)-9-benzyl-3-methyl-2,3,6,7,7a,8,10,11-octahydrooxazolo[2,3-j][1,6]naphthyridin-5-one (11) and (3S,7aS,11aS)-9-benzyl-3-methyl-2,3,6,7,7a,8,10,11-octahydrooxazolo[2,3-j][1,6]naphthyridin-5-one (11′):
The products 11 and 11′ were obtained from keto-ester 9 and (2S)-2-aminopropan-1-ol following the general protocol 2. The crude product was purified by preparative HPLC using H2O + 0.1% HCOOH/MeCN + 0.1% HCOOH (90/10 to 0/100) to afford 11 and 11′ (yield = 46%) as a yellow oil, as a mixture of two diastereoisomers (d.r. = 70:30). Data for the major diastereoisomer 11: 1H NMR (300 MHz, CD2Cl2): δ 7.38–7.20 (m, 5H), 4.28–4.06 (m, 2H), 3.62 (dd, J = 13.0 Hz, J = 1.3 Hz, 1H), 3.53 (d, J = 13.4 Hz, 1H), 3.42 (d, J = 13.4 Hz, 1H), 2.78–2.63 (m, 2H), 2.58–2.15 (m, 5H), 1.99–1.60 (m, 5H), 1.29 (d, J = 6.1 Hz, 3H) ppm. 13C NMR (75 MHz, CD2Cl2): δ 168.9, 139.4, 129.0, 128.5, 127.3, 92.6, 69.7, 62.7, 55.2, 54.7, 51.7, 50.9, 40.7, 31.6, 31.1, 22.9, 20.2 ppm. HRMS (ESI, m/z): [M+H]+ calcd. for C18H25N2O2, 301.1916; found: 301.1914.
- (3S,7aR,11aR)-9-benzyl-3-isopropyl-2,3,6,7,7a,8,10,11-octahydrooxazolo[2,3-j][1,6]naphthyridin-5-one (12):
Product 12 was obtained from keto-ester 9 and L-valinol using general protocol 2. The crude product was purified by flash column chromatography on silica gel (Cyclohexane/ethyl acetate: 100/0 to 0/100) to afford compound 12 (yield = 75%, white powder) as a single diastereoisomer. 1H NMR (300 MHz, CDCl3): δ 7.33–7.20 (m, 5H), 4.13–4.03 (m, 1H), 3.98 (dd, J = 8.6 Hz, J = 7.6 Hz, 1H), 3.77 (dd, J = 8.6 Hz, J = 6.2 Hz, 1H), 3.54 (d, J = 13.3 Hz, 1H), 3.41 (d, J = 13.1 Hz, 1H), 2.77–2.64 (m, 2H), 2.62–2.51 (m, 1H), 2.49–2.29 (m, 3H), 2.25–2.16 (m, 1H), 2.09–1.89 (m, 2H), 1.83–1.73 (m, 1H), 1.72–1.55 (m, 2H), 0.94 (d, J = 6.8 Hz, 3H), 0.90 (d, J = 6.8 Hz, 3H) ppm. 13C NMR (75 MHz, CDCl3): δ 170.2, 138.9, 128.7, 128.3, 127.0, 92.7, 66.2, 62.5, 61.2, 54.8, 50.7, 40.4, 32.4, 32.4, 30.8, 21.9, 19.9, 18.7 ppm. HRMS (ESI, m/z): [M+H]+ calculated for C20H29N2O2, 329.2229; found 329.2227.
- (3S,7aR,11aR)-9-benzyl-3-tert-butyl-2,3,6,7,7a,8,10,11-octahydrooxazolo[2,3-j][1,6]naphthyridin-5-one (13):
Product 13 was obtained from keto-ester 9 and (2S)-2-amino-3,3-dimethyl-butan-1-ol using general protocol 2. The crude was purified by preparative HPLC using H2O + 0.1% HCOOH/MeCN + 0.1% HCOOH (100/0 to 0/100) to afford the desired product 13 (yield = 40%, yellow oil) as a single diastereoisomer. 1H NMR (300 MHz, CD2Cl2): δ 7.36–7.19 (m, 5H), 4.11 (t, J = 6.9 Hz, 1H), 3.85 (d, J = 6.5 Hz, 2H), 3.53 (d, J = 13.3 Hz, 1H), 3.41 (d, J = 13.3 Hz, 1H), 2.77–2.69 (m, 1H), 2.61–2.57 (m, 1H), 2.58–2.49 (m, 1H), 2.45–2.27 (m, 3H), 2.20 (dt, J = 12.0 Hz, J = 3.4 Hz, 1H), 1.98 (dt, J = 13.3 Hz, J = 4.68 Hz, 1H), 1.90–1.82 (m, 1H), 1.73–1.52 (m, 2H), 0.92 (s, 9H) ppm. 13C (75 MHz, CD2Cl2): δ 172.7, 139.5, 129.1, 128.5, 127.2, 94.3, 64.8, 64.5, 62.7, 54.9, 50.9, 40.2, 34.8, 32.7, 31.0, 27.8, 20.9 ppm. HRMS (ESI, m/z): [M+H]+ calcd. For C21H31N2O2, 343.2386; found: 343.2394.
- Tert-butyl 6-oxo-3,4,7,8,8a,9,11,12-octahydro-2H-[1,3] oxazino[2,3-j][1,6]naphthyridine-10-carboxylate (17):
Product 17 was obtained from keto-ester 16 and 3-aminopropan-1-ol using general protocol 2. The crude product was purified by flash column chromatography on silica gel (cyclohexane/ethyl acetate: 100/0 to 0/100) to afford 17 (yield = 79%, white powder) as a racemic mixture. 1H NMR (300 MHz, CDCl3): δ 4.61 (dd, J = 13.9 Hz, J = 4.9 Hz, 1H), 4.15–3.73 (m, 4H), 3.35–3.15 (m, 1H), 2.90–2.69 (m, 2H), 2.58 (d, J = 13.9 Hz, 1H), 2.51–2.42 (m, 2H), 1.98–1.66 (m, 4H), 1.64–1.50 (m, 2H), 1.42 (s, 9H) ppm. 13C (75 MHz, CDCl3): δ 168.2, 155.0, 85.8, 79.8, 59.6, 45.1, 41.7, 39.7, 34.2, 31.8, 28.5, 26.4, 25.2, 21.3 ppm. HRMS (ESI, m/z): [M+H]+ calculated for C16H27N2O4, 311.1971; found 311.1985.
- Tert-butyl (4R,8aR,12aR)-4-isopropyl-6-oxo-3,4,7,8,8a,9,11,12-octahydro-2H-[1,3]oxazino[2,3-j][1,6]naphthyridine-10-carboxylate (18):
Product 18 was obtained from keto-ester 16 and (3R)-3-amino-4-methyl-pentan-1-ol using general protocol 2. The crude product was purified by flash column chromatography on silica gel (cyclohexane/ethyl acetate: 100/0 to 0/100) to give compound 18 (yield = 18%, colorless oil) as a single diastereoisomer. 1H NMR (300 MHz, CDCl3): δ 4.64–4.54 (m, 1H), 4.10–3.76 (m, 3H), 3.73–3.63 (m, 1H), 3.40–3.22 (m, 1H), 2.92–2.73 (m, 1H), 2.62–2.30 (m, 3H), 2.04–1.59 (m, 7H), 1.44 (s, 9H), 0.98 (d, J = 6.3 Hz, 3H), 0.87 (d, J = 6.3 Hz, 3H) ppm. 13C (75 MHz, CDCl3): δ 169.7, 155.0, 86.3, 79.8, 56.3, 51.7, 45.5, 42.3, 39.9, 32.3, 31.7, 30.3, 28.5, 26.6, 21.2, 20.7, 19.6 ppm. LCMS (ESI, m/z): [M+H]+ = 353.
- Tert-butyl (4S,8aR,12aR)-4-methyl-6-oxo-3,4,7,8,8a,9,11,12-octahydro-2H-[1,3]oxazino[2,3-j][1,6]naphthyridine-10-carboxylate (19) and tert-butyl (4S,8aS,12aS)-4-methyl-6-oxo-3,4,7,8,8a,9,11,12-octahydro-2H-[1,3]oxazino[2,3-j][1,6]naphthyridine-10-carboxylate (19′):
Products 19 and 19′ were obtained from keto-ester 16 and 3-aminobutan-1-ol using general protocol 2. The crude product was purified by flash column chromatography on silica gel (cyclohexane/ethyl acetate: 100/0 to 0/100) to give compound 19 + 19′ (yield = 86%, colorless oil) as a racemic mixture of two diastereoisomers (d.r. = 50:50). Data for the mixture of diastereoisomers 19 and 19′: 1H NMR (300 MHz, CDCl3): δ 4.88–4.76 (m, 1H), 4.53–4.42 (m, 1H), 4.21–3.85 (m, 5H), 3.76 (dd, J = 5.0 Hz, J = 2.5 Hz, 1H), 3.71 (dd, J = 5.1 Hz, J = 2.5 Hz, 1H), 3.38–3.18 (m, 2H), 2.91–2.69 (m, 2H), 2.53–2.37 (m, 5H), 2.29–1.97 (m, 3H), 1.89–1.61 (m, 9H), 1.43 (s, 9H), 1.42 (s, 9H), 1.31 (d, J = 6.6 Hz, 3H), 1.29 (d, J = 7.2 Hz, 3H), 1.21 (d, J = 9.2 Hz, 4H) ppm. 13C (75 MHz, CDCl3): δ 168.6, 168.2, 155.2, 155.0, 85.9, 85.3, 79.9, 79.8, 56.5, 55.7, 45.2, 44.7, 43.9, 41.9, 41.7, 40.7, 39.8, 32.0, 31.3, 30.8, 29.8, 29.5, 29.1, 28.5, 37.3, 26.7, 21.1, 20.8, 20.1, 19.1 ppm. HRMS (ESI, m/z): [M+H]+ calculated for C17H29N2O5, 325.2127; found 325.2139.
- Tert-butyl (3R,8aR,12aR)-3-methyl-6-oxo-3,4,7,8,8a,9,11,12-octahydro-2H-[1,3]oxazino[2,3-j][1,6]naphthyridine-10-carboxylate (20):
Product 20 was obtained from keto-ester 16 and 3-amino-2-methyl-propan-1-ol using general protocol 2. The crude product was purified by flash column chromatography on silica gel (cyclohexane/ethyl acetate: 100/0 to 0/100) to give compound 20 (yield = 63%, colorless oil) as a single diastereoisomer (in mixture with its enantiomer). 1H NMR (300 MHz, CDCl3): δ 4.60 (ddd, J = 13.7 Hz, J = 4.9 Hz, J = 1.8 Hz, 1H), 4.13–3.79 (m, 2H), 3.74 (ddd, J = 11.7 Hz, J = 4.9 Hz, J = 1.8 Hz, 1H), 3.49–3.20 (m, 2H), 2.90–2.68 (m, 1H), 2.62–2.37 (m, 4H), 1.94–1.67 (m, 4H), 1.57 (ddd, J = 13.7 Hz, J = 4.9 Hz, J = 1.5 Hz, 1H), 1.44 (s, 9H), 0.84 (d, J = 6.7 Hz, 3H) ppm. 13C (75 MHz, CDCl3): δ 168.1, 155.0, 85.2, 79.9, 65.9, 45.3, 41.7, 41.2, 39.7, 31.8, 30.0, 28.5, 26.2, 21.4, 14.4 ppm. HRMS (ESI, m/z): [M+H]+ calculated for C17H29N2O5, 325.2127; found 325.2136.
- Tert-butyl (3R,8aR,12aR)-3-ethyl-6-oxo-3,4,7,8,8a,9,11,12-octahydro-2H-[1,3]oxazino[2,3-j][1,6]naphthyridine-10-carboxylate (21) and Tert-butyl (3R,8aR,12aR)-3-ethyl-6-oxo-3,4,7,8,8a,9,11,12-octahydro-2H-[1,3]oxazino[2,3-j][1,6]naphthyridine-10-carboxylate (21′):
Products 21 and 21′ were obtained from keto-ester 16 and 2-(aminomethyl)butan-1-ol using general protocol 2. The crude product was purified by flash column chromatography on silica gel (cyclohexane/ethyl acetate: 100/0 to 0/100) to give compounds 21 + 21′ (yield = 89%, colorless oil) as a racemic mixture of two diastereoisomers (d.r. = 70:30). Data for the major compound 21: 1H NMR (300 MHz, CDCl3): δ 4.65 (ddd, J = 13.6 Hz, J = 4.9 Hz, J = 1.8 Hz, 1H), 4.13–3.89 (m, 2H), 3.81 (ddd, J = 13.6 Hz, J = 4.9 Hz, J = 1.8 Hz, 1H), 3.51–3.40 (m, 1H), 3.38–3.19 (m, 1H), 2.80–2.67 (m, 1H), 2.63–2.37 (m, 5H), 1.87–1.63 (m, 4H), 1.62–1.54 (m, 1H), 1.43 (s, 9H), 1.27–1.14 (m, 2H), 0.92 (t, J = 7.2 Hz, 3H) ppm. 13C (75 MHz, CDCl3): δ 168.1, 155.0, 85.4, 79.8, 64.7, 45.3, 41.7, 39.7, 37.5, 36.4, 31.8, 28.5, 26.2, 23.0, 21.3, 11.0 ppm. HRMS (ESI, m/z): [M+H]+ calculated for C18H31N2O4, 339.2284; found 339.2312.
- Tert-butyl 3-isopropyl-6-oxo-3,4,7,8,8a,9,11,12-octahydro-2H-[1,3]oxazino[2,3-j][1,6]naphthyridine-10-carboxylate (22):
Product 22 was obtained from keto-ester 16 and 2-(aminomethyl)-3-methyl-butan-1-ol using general protocol 2. The crude product was purified by flash column chromatography on silica gel (cyclohexane/ethyl acetate: 100/0 to 0/100) to give compound 22 (Yield = 92%, colorless oil) as a racemic mixture of a single diastereoisomer. 1H NMR (300 MHz, CDCl3): δ 4.74–4.64 (m, 1H), 4.13–3.73 (m, 3H), 3.64–3.20 (m, 1H), 2.98–2.71 (m, 1H), 2.57–2.45 (m, 4H), 1.87–1.67 (m, 3H), 1.64–1.51 (m, 4H), 1.45 (s, 9H); 0.95 (d, J = 6.8 Hz, 3H), 0.89 (d, J = 6.8 Hz, 3H) ppm. 13C (75 MHz, CDCl3): δ 168.6, 155.1, 85.2, 79.9, 63.3, 61.8, 45.4, 41.7, 40.9, 38.8, 36.6, 31.9, 29.8, 28.5, 21.3, 20.8, 20.0, 19.9 ppm. HRMS (ESI, m/z): [M+H]+ calculated for C19H33N2O4, 353.2440; found 353.2439.
- Tert-butyl (8aR,12aR)-6-oxospiro[2,4,7,8,8a,9,11,12-octahydro-[1,3]oxazino[2,3-j][1,6]naphthyridine-3,1′-cyclopropane]-10-carboxylate (23):
Product 23 was obtained from keto-ester 16 and [1-(aminomethyl)cyclopropyl]methanol using general protocol 2. The crude product was purified by flash column chromatography on silica gel (cyclohexane/ethyl acetate: 100/0 to 0/100) to give compound 23 (yield = 88%, colorless oil) as a racemic mixture. 1H NMR (300 MHz, CDCl3): δ 4.20 (d, J = 11.7 Hz, 1H), 4.14–3.88 (m,1H), 3.84 (dd, J = 13.8 Hz, J =1.8 Hz, 1H), 3.38–3.29 (m, 1H), 3.24 (d, J = 13.7 Hz, 1H), 2.96 (dd, J = 11.7 Hz, J =1.8 Hz, 1H), 2.90–2.71 (m, 1H), 2.64 (d, J =14.6 Hz, 1H), 2.52–2.46 (m, 2H), 1.97–1.56 (m, 5H), 1.43 (s, 9H), 0.63–0.54 (m, 1H), 0.53–0.43 (m, 2H), 0.42–0.33 (m, 1H). 13C (75 MHz, CDCl3): δ 168.3, 155.0, 85.8, 79.9, 67.1, 45.3, 42.2, 41.6, 39.7, 31.7, 28.5, 26.5, 21.4, 17.7, 13.4, 6.6 ppm. HRMS (ESI, m/z): [M+H]+ calculated for C18H29N2O4, 337.2127; found 337.2142.
- Tert-butyl (8aR,12aR)-6-oxospiro[2,4,7,8,8a,9,11,12-octahydro-[1,3]oxazino[2,3-j][1,6]naphthyridine-3,1′-cyclobutane]-10-carboxylate (24):
Product 24 was obtained from keto-ester 16 and [1-(aminomethyl)cyclobutyl]methanol following the general protocol 2. The crude product was purified by flash column chromatography on silica gel (cyclohexane/ethyl acetate: 100/0 to 0/100) to give compound 24 (yield = 98%, white powder) as a racemic mixture. 1H NMR (300 MHz, CDCl3): δ 4.62 (dd, J = 13.5 Hz, J = 1.4 Hz, 1H), 4.11–3.74 (m, 2H), 3.70–3.59 (m, 2H), 3.35–3.19 (m, 1H), 2.65 (d, J = 13.5 Hz, 1H), 2.53–2.42 (m, 3H), 2.34–2.10 (m, 1H), 1.99–1.44 (m, 10H), 1.41 (s, 9H) ppm. 13C (75 MHz, CDCl3): δ 168.6, 154.9, 85.2, 79.7, 68.5, 45.2, 43.8, 41.5, 39.7, 37.4, 31.6, 29.7, 28.4, 26.3, 25.9, 21.2, 15.0 ppm. HRMS (ESI, m/z): [M+H]+ calculated for C19H31N2O4, 351.2284; found 351.2290.
- Tert-butyl (3S,7aR,11aR)-3-isopropyl-5-oxo-2,3,6,7,7a,8,10,11-octahydrooxazolo[2,3-j][1,6]naphthyridine-9-carboxylate (25):
Product 25 was obtained from keto-ester 16 and L-valinol using general protocol 2. The crude product was purified by flash column chromatography on silica gel (cyclohexane/ethyl acetate: 100/0 to 0/100) to give 25 (yield = 88%, white solid), as a single diastereoisomer. 1H NMR (300 MHz, CDCl3): δ 4.18–4.04 (m, 2H), 4.02–3.90 (m, 2H), 3.78 (dd, J = 8.7, 6.1 Hz, 1H), 3.30–3.11 (m, 1H), 2.97–2.78 (m, 1H), 2.62–2.50 (m, 1H), 2.39–2.34 (m, 1H), 2.09–1.93 (m, 1H), 1.89–1.54 (m, 5H), 1.44 (s, 9H), 0.92 (d, J = 6.9 Hz, 3H), 0.89 (d, J = 6.9 Hz, 3H) ppm. 13C (75 MHz, CDCl3): δ 169.8, 155.1, 92.4, 79.9, 66.4, 61.5, 45.5, 44.6, 40.2, 32.3, 31.9, 30.3, 28.5, 20.6, 19.8, 18.7 ppm. HRMS (ESI, m/z): [M+H]+ calculated for C18H31N2O4, 339.2284; found 329.2305.
- Tert-butyl (3R,7aR,11aR)-3-[(1R)-1-benzyloxyethyl]-5-oxo-2,3,6,7,7a,8,10,11-octahydrooxazolo[2,3-j][1,6]naphthyridine-9-carboxylate (26):
Product 26 was obtained from keto-ester 16 and (2R,3R)-2-amino-3-benzyloxy-butan-1-ol;hydrochloride using general protocol 2. The crude product was purified by flash column chromatography on silica gel (cyclohexane/ethyl acetate: 100/0 to 0/100) to give 26 (yield = 50%, colorless oil) as a mixture of two diastereoisomers (d.r. = 94:6). Data for the major compound 26: 1H NMR (300 MHz, CDCl3): δ 7.31–7.18 (m, 5H), 4.57 (d, J = 11.8 Hz, 1H), 4.41 (d, J = 11.8 Hz, 1H), 4.44–4.34 (m, 1H), 4.07–3.83 (m, 5H), 3,23–3.04 (m, 1H), 2.86–2.67 (m, 1H), 2.54–2.30 (m, 2H), 1.86–1.49 (m, 5H), 1.38 (s, 9H), 1.10 (d, J = 6.5 Hz, 3H) ppm. 13C (75 MHz, CDCl3): δ 170.2, 155.0, 138.6, 128.4, 127.7, 92.9, 79.8, 74.2, 71.4, 64.3, 59.0, 45.4, 41.3, 40.4, 30.1, 28.5, 20.5, 15.4 ppm. HRMS (ESI, m/z): [M+H]+ calculated for C24H35N2O5, 431.2546; found 431.2551.
- Tert-butyl (3R,7aR,11aR)-5-oxo-3-(trifluoromethyl)-2,3,6,7,7a,8,10,11-octahydrooxazolo[2,3-j][1,6]naphthyridine-9-carboxylate (27):
Product 27 was obtained from keto-ester 16 and (2R)-2-amino-3,3,3-trifluoro-propan-1-ol;hydrochloride using general protocol 2. The crude product was purified by flash column chromatography on silica gel (cyclohexane/ethyl acetate: 100/0 to 0/100) to afford 27 (yield = 59%, colorless oil), as a single diastereoisomer. 1H NMR (300 MHz, CDCl3): δ 4.98–4.84 (m, 1H), 4.25–3.94 (m, 4H), 3.29–3.12 (m, 1H), 2.96–2.69 (m, 1H), 2.70–2.58 (m, 1H), 2.56–2.42 (m, 1H), 1.92–1.75 (m, 4H), 1.71–1.58 (m, 1H), 1.45 (m, 9H) ppm. 13C (75 MHz, CDCl3): δ 170.6, 155.1, 124.2 (q, J = 280.2 Hz), 95.0, 80.2, 63.0 (q, J = 2.0 Hz), 56.3 (q, J = 33.9 Hz), 45.4, 41.2, 40.4, 30.6, 30.4, 28.6, 20.5 ppm. LCMS (ESI, m/z): [M+H]+ = 365.
- Tert-butyl 9-oxo-17-oxa-4,10-diazatetracyclo[8.7.0.01,6.011,16]heptadeca-11(16),12,14-triene-4-carboxylate (28):
Product 28 was obtained from keto-ester 16 and 2-aminophenol using general protocol 2. The crude product was purified by flash column chromatography on silica gel (cyclohexane/ethyl acetate: 100/0 to 0/100) to afford 28 (yield = 98%, brown oil) as a racemic mixture. 1H NMR (300 MHz, CDCl3): δ 7.81 (dd, J = 7.5 Hz, J = 1.1 Hz, 1H), 7.03 (td, J = 7.7 Hz, J = 1.4 Hz, 1H), 6.90 (td, J = 7.7 Hz, J = 1.4 Hz, 1H), 6.86 (dd, J = 7.7 Hz, J = 1.1 Hz, 1H), 4.28–4.03 (m, 1H), 3.48–3.30 (m, 1H), 3.15–2.98 (m, 1H), 2.75–2.51 (m, 2H), 2.27–2.14 (m, 1H), 2.05–1.67 (m, 4H), 1.48 (s, 9H) ppm. 13C (75 MHz, CDCl3): δ 166.4, 155.1, 148.9, 129.7, 125.3, 121.9, 117.4, 109.7, 97.7, 80.3, 53.6, 45.41, 38.1, 32.0, 30.3, 28.6, 21.1 ppm. LCMS (ESI, m/z): [M+H]+ = 345.
- Tert-butyl (1R,6R)-9-oxo-15-oxa-4,10-diazatricyclo[8.5.0.01,6]pentadecane-4-carboxylate (29):
Product 29 was obtained from keto-ester 16 and [4-aminobutan-1-ol following the general protocol 2. The crude product was purified by flash column chromatography on silica gel (cyclohexane/ethyl acetate: 100/0 to 0/100) to give compound 29 (yield = 81%, colorless oil), as a racemic mixture. 1H NMR (300 MHz, CDCl3): δ 4.14–3.84 (m, 3H), 3.79–3.71 (m, 1H), 3.57–3.47 (m, 1H), 3.27–3.07 (m, 1H), 2.92 (dd, J = 11.0 Hz, J = 12.3 Hz, 1H), 2.56–2.37 (m, 2H), 1.87–1.59 (m, 10H), 1.44 (s, 9H) ppm. 13C (75 MHz, CDCl3): δ 69.7, 155.0, 88.5, 79.8, 62.6, 45.3, 41.2, 40.4, 37.0, 33.2, 31.7, 29.5, 28.5, 26.5, 21.7 ppm. HRMS (ESI, m/z): [M+H]+ calculated for C17H29N2O4, 325.2127; found 325.2139.
- Tert-butyl (3S,7aS,11aR)-3-isopropyl-5-oxo-2,3,6,7,7a,9,10,11-octahydrooxazolo[2,3-e][1,5]naphthyridine-8-carboxylate (31):
Compound 31 was obtained from keto-ester 30 and L-valinol using general protocol 2. The crude was purified by flash column chromatography on silica gel (cyclohexane/ethyl acetate: 100/0 to 0/100) to give product 31 (yield = 49%, colorless oil), as a single diastereoisomer. 1H NMR (300 MHz, CDCl3): δ 4.21–3.87 (m, 4H), 3.72 (dt, J = 5.5 Hz, J = 8.9 Hz, 1H), 2.89–2.38 (m, 3H), 2.14–1.86 (m, 3H), 1.81–1.67 (m, 3H), 1.59–1.49 (m, 1H), 1.42 (s, 9H), 0.91 (d, J = 7.1 Hz, 3H), 0.89–0.85 (m, 3H) ppm. 13C (75 MHz, CDCl3): δ 169.1, 155.0, 91.2, 90.2, 66.4, 61.9, 55.3, 54.1, 38.7, 37.5, 32.4, 30.3, 30.0, 28.4, 21.4, 19.7, 19.6, 18.9 ppm. HRMS (ESI, m/z): [M+H]+ calculated for C18H31N2O4, 339.2284; found 339.2299.
- Tert-butyl (1S,4S,9R)-4-isopropyl-6-oxo-2-oxa-5,11-diazatricyclo[7.3.0.01,5]dodecane-11-carboxylate (33):
Product 33 was obtained from keto-ester 32 with L-valinol following the general protocol 2. The crude was purified by flash column chromatography on silica gel (cyclohexane/ethyl acetate: 100/0 to 0/100) to give product 33 (yield = 78%, colorless oil), as a single diastereoisomer. 1H NMR (300 MHz, CDCl3): δ 4.14–4.00 (m, 2H), 3.76–3.57 (m, 2H), 3.54–3.31 (m, 2H), 2.59–2.41 (m, 1H), 2.39–1.92 (m, 4H), 1.86–1.57 (m, 2H), 1.40 (s, 9H), 0.92 (d, J = 6.8 Hz, 3H), 0.88 (d, J = 6.8 Hz, 3H) ppm. 13C (75 MHz, CDCl3): δ 170.4, 154.2, 98.9, 80.0, 66.9, 60.7, 59.2, 43.9, 33.6, 33.0, 29.8, 28.5, 27.2, 25.2, 20.1, 18.6 ppm. HRMS (ESI, m/z): [M+H]+ calculated for C17H29N2O4, 325.2127; found 325.2139.
- Tert-butyl (1R,4S,9R)-4-isopropyl-6-oxo-2-oxa-5,11-diazatricycl [7.5.0.01,5]tetradecane-11-carboxylate (35):
Product 35 was obtained from keto-ester 34 and L-valinol using general protocol 2. The crude product was purified by flash column chromatography on silica gel (cyclohexane/ethyl acetate: 100/0 to 0/100) to afford compound 35 (yield = 89%, colorless oil), as a mixture of two diastereoisomers (d.r. = 90:10). Data for the major compound 35: 1H NMR (300 MHz, CDCl3): δ 4.14–3.86 (m, 2H), 3.84–3.53 (m, 2H), 3.44–3.30 (m, 3H), 2.61–2.26 (m, 2H), 2.00–1.53 (m, 8H), 1.44 (s, 9H), 0.94 (d, J = 6.9 Hz, 3H), 0.90 (d, J = 6.8 Hz, 3H) ppm. 13C (75 MHz, CDCl3): δ 170.5, 156.5, 96.0, 79.8, 66.8, 61.6, 48.0, 47.7, 44.4, 42.9, 33.2, 32.6, 30.6, 28.6, 20.9, 20.4, 20.1, 19.3 ppm. HRMS (ESI, m/z): [M+H]+ calculated for C19H33N2O4, 353.2440; found 353.2459.
- Tert-butyl (1R,4S,8R)-4-isopropyl-6-oxo-2-oxa-5,10-diazatricyclo[6.4.0.01,5]dodecane-10-carboxylate (37):
Compound 37 was obtained from keto-ester 36 and L-valinol using general protocol 2. The crude was purified by flash column chromatography on silica gel (cyclohexane/ethyl acetate: 100/0 to 0/100) to give product 37 (yield = 90%, colorless oil), as a single diastereoisomer. 1H NMR (300 MHz, CDCl3): δ 4.21 (dd, J = 8.8 Hz, J = 7.6 Hz, 1H), 3.83 (dd, J = 8.8 Hz, 6.4 Hz, 1H), 3.70–3.35 (m, 5H), 2.63–2.47 (m, 3H), 2.10–1.88 (m, 2H), 1.68–1.53 (m, 1H), 1.46 (s, 9H), 1.03 (d, J = 6.7 Hz, 3H), 0.87 (d, J = 6.7 Hz, 3H) ppm. 13C (75 MHz, CDCl3): δ 178.2, 155.6, 99.2, 80.2, 71.2, 61.8, 42.7, 41.5, 40.6, 39.7, 36.8, 33.9, 30.6, 28.7, 20.7, 19.1 ppm. HRMS (ESI, m/z): [M+H]+ calculated for C17H29N2O4, 325.2127; found 325.2144.
- Tert-butyl N-[(3S,7aR,9S,11aR)-3-isopropyl-5-oxo-3,6,7,7a,8,9,10,11-octahydro-2H-oxazolo[2,3-j]quinolin-9-yl]carbamate (39) and Tert-butyl N-[(3S,7aR,9R,11aR)-3-isopropyl-5-oxo-3,6,7,7a,8,9,10,11-octahydro-2H-oxazolo[2,3-j]quinolin-9-yl]carbamate (40):
Products 39 and 40 were obtained from keto-ester 38 and L-valinol using general protocol 2. The crude product was purified by flash column chromatography on silica gel (cyclohexane/ethyl acetate: 100/0 to 0/100) to afford compounds 39 (yield = 41%, white solid) and 40 (Yield= 29%, white powder). Compound 39 was crystallized from dichloromethane using the slow evaporation technique at room temperature under atmospheric pressure.
Data for 39: m.p. = 141–143 °C. 1H NMR (300 MHz, CDCl3): δ 4.56–4.28 (m, 1H), 4.17–3.96 (m, 2H), 3.78–3.61 (m, 2H), 2.67–2.53 (m, 1H), 2.48–2.28 (m, 1H), 2.11–1.85 (m,5H), 1.84–1.68 (m, 4H), 1.43 (s, 9H), 0.94 (d, J = 6.9 Hz, 3H), 0.90 (d, J = 6.9 Hz, 3H) ppm. 13C (75 MHz, CDCl3): δ 170.2, 155.2, 93.3, 66.3, 61.4, 44.1, 40.0, 34.7, 32.5, 30.9, 30.2, 29.6, 28.4, 26.9, 22.4, 19.9, 18.7 ppm. HRMS (ESI, m/z): [M+H]+ calculated for C19H33N2O4, 353.2440; found 353.2446.
Data for 40: 1H NMR (300 MHz, CDCl3): 4.35 (d, J = 7.4 Hz, 1H), 4.05–3.96 (m, 1H), 3.95–3.89 (m, 2H), 3.84–3.64 (m, 1H), 3.00 (d sept, J = 7.0 Hz, J = 3.2 Hz, 1H), 2.51–2.39 (m, 2H), 2.07–1.97 (m, 5H), 1.95–1.83 (m, 4H), 1.45 (s, 9H), 0.87 (d, J = 7.1 Hz, 3H), 0.72 (d, J = 7.0 Hz, 3H) ppm. 13C (75 MHz, CDCl3): δ 68.2, 155.2, 92.9, 62.6, 60.6, 43.9, 38.0, 30.2, 29.5, 28.43, 28.40, 26.9, 24.6, 22.4, 18.9, 19.5, 18.7 ppm. LCMS (ESI, m/z): [M+H]+ = 353.
3.2.3. General Protocol 3: Functionalization of Lactam Ring by Alkylation Reaction
N-Boc lactam 25 (1 eq) was dissolved in dry THF (0.15 M). The solution was cooled down to 0 °C, and then LDA (1.2–3 eq) was added dropwise. The mixture was stirred for 1 h, then a solution of alkylating reagent (1.2–2 eq) in dry THF was added dropwise. The resulting mixture was warmed up to room temperature and stirred for 3–20 h. The solution was quenched with H2O and extracted with diethyl ether. The organic layer was washed with a saturated aqueous solution of NH4Cl, dried over MgSO4, filtered, and concentrated under vacuum. The crude product obtained was purified by flash column chromatography over silica gel (cyclohexane/ethyl acetate: 100/0 to 0/100) to afford the corresponding desired product, (see Scheme 9).
Scheme 9.
Functionalization of Lactam Ring by Alkylation Reaction.
- Tert-butyl (3S,7aR,11aR)-3-isopropyl-6-methyl-5-oxo-2,3,6,7,7a,8,10,11-octahydrooxazolo[2,3-j][1,6]naphthyridine-9-carboxylate (41):
Product 41 was obtained following general protocol 3, using iodomethane as an alkylating reagent (Yield = 75%, colorless oil) as two diastereoisomers separable by flash chromatography.
Diastereoisomer 1: 1H NMR (300 MHz, CDCl3): δ 4.17–3.97 (m, 4H); 3.71 (d, J = 8.1 Hz, 6.0 Hz, 1H); 3.29–3.11 (m, 1H); 2.94–2.77 (m, 1H); 2.53–2.38 (m, 1H); 2.01–1.50 (m, 6H), 1.45 (s, 9H); 1.26 (d, J = 7.6 Hz, 3H), 0.91 (d, J = 6.9 Hz, 3H), 0.88 (d, J = 6.9 Hz, 3H) ppm. 13C NMR (75 MHz, CDCl3): δ 173.5, 155.1, 92.5, 79.9, 66.9, 61.2, 45.7, 41.4, 40.4, 37.1, 32.9, 31.7, 30.4, 28.5, 19.9, 19.8, 18.8 ppm; [ES+ MS] m/z 353 (MH+). HRMS (ESI,m/z): [M+H]+ calculated for C19H33N2O4, 353.2440; found 353.2441.
Diastereoisomer 2: 1H NMR (300 MHz, CDCl3): δ 4.13–4.01 (m, 2H), 3.92 (d, J = 8.8 Hz, 7.1 Hz, 2H), 3.78 (d, J = 8.8 Hz, 5.5 Hz, 1H), 3.27–3.09 (m, 1H), 2.96–2.77 (m, 1H), 2.58–2.46 (m, 1H), 2.08–1.56 (m, 6H), 1.44 (s, 9H), 1.21 (d, J = 7.2 Hz, 3H), 0.89 (d, J = 6.6 Hz, 3H), 0.87 (d, J = 6.6 Hz, 3H) ppm. 13C NMR (75 MHz, CDCl3): δ 173.1, 155.2, 92.6, 79.9, 66.3, 61.5, 44.8, 41.2, 40.4, 37.8, 33.5, 31.9, 31.9, 28.5, 19.7, 18.7, 18.2 ppm. LCMS (ESI, m/z): [M+H]+ = 353.
- Tert-butyl (3S,7aR,11aR)-6-fluoro-3-isopropyl-5-oxo-2,3,6,7,7a,8,10,11-octahydrooxazolo[2,3-j][1,6]naphthyridine-9-carboxylate (42):
Product 42 was obtained following general protocol 3, using N-(benzenesulfonyl)-N-fluoro-benzenesulfonamide as an alkylating reagent. Yield =16%; colorless oil; single diastereoismer. 1H NMR (300 MHz, CDCl3): δ 4.93 (ddd, J = 48.0 Hz, J = 6.6 Hz, J = 2.7 Hz, 1H), 4.22–4.13 (m, 1H), 4.05 (dd, J = 8.7 Hz, J = 7.4 Hz, 1H), 4.04–3.88 (m, 2H), 3.82 (dd, J = 8.7 Hz, J = 6.1 Hz, 1H), 3.30–3.10 (m, 1H), 2.96–2.73 (m, 1H), 2.34–1.82 (m, 4H), 1.81–1.62 (m, 2H), 1.45 (s, 9H), 0.93 (d, J = 6.9 Hz, 3H), 0.90 (d, J = 6.9 Hz, 3H) ppm. 13C NMR (75 MHz, CDCl3): δ 165.9 (d, J = 22.3 Hz), 154.9, 92.8, 85.5, 83.2, 80.2, 66.8, 61.4, 44.9, 41.1, 36.8, 32.1, 31.5, 28.6 (d, J = 22.9 Hz), 28.5, 19.8, 18.7 ppm. LCMS (ESI, m/z): [M+H]+ = 357.
3.2.4. Deprotection of Lactams
- (3S,7aR,11aR)-3-isopropyl-3,6,7,7a,8,9,10,11-octahydro-2H-oxazolo[2,3-j][1,6]naphthyridin-5-one;hydrochloride (43):
N-Boc lactam 25 (3.2 g, 9.46 mmol, 1 eq) was dissolved in 1,4-dioxane (100 mL), and then a solution of HCl (4N in dioxane) (24 mL, 94.6 mmol, 10 eq) was added. The mixture was stirred at room temperature overnight. The solvent was removed under vacuum to afford the product 43 with a quantitative yield as a white powder. 1H NMR (300 MHz, CD3OD): δ 4.18–4.04 (m, 2H), 3.99–3.87 (m, 1H), 3.48–3.28 (m, 4H), 3.24–3.09 (m, 1H), 2.70 (dd, J = 18.6 Hz, J = 6.3 Hz, 1H), 2.26–1.84 (m, 6H), 0.95 (d, J = 6.9 Hz, 3H), 0.94 (d, J = 6.9 Hz, 3H) ppm. 13C NMR (75 MHz, CD3OD): δ 172.3, 91.4, 67.8, 63.3, 46.1, 42.6, 38.5, 33.5, 30.9, 29.3, 21.4, 20.1, 19.0 ppm. HRMS (ESI, m/z): [M+H]+ calcd. for C13H22N2O2, 239.1760; found 239.1743.
(3S,7aR,11aR)-3-isopropyl-3,6,7,7a,8,9,10,11-octahydro-2H-oxazolo[2,3-j][1,6]naphthyridin-5-one;formic acid (44):
Lactam 12 (655 mg, 1.99 mmol, 1 eq.) was dissolved in methanol (20 mL), then were added Pd/C 10% (127 mg, 1.20 mmol, 0.12 mmol, 10 mol%) and ammonium formate (629 mg, 9.97 mmol, 5 eq). The mixture was refluxed for 30 min. The solution was filtered over celite, then the filtrate was concentrated under reduced pressure to afford compound 44 with a quantitative yield as a white powder. 1H NMR (300 MHz, CD2Cl2): δ 8.44 (brs, 1H), 4.13–3.99 (m, 2H), 3.77 (dd, J = 8.3 Hz, J = 5.6 Hz, 1H), 3.35–3.11 (m, 3H), 2.99 (td, J = 13.1 Hz, J = 3.2 Hz, 1H), 2.68–2.55 (m, 1H), 2.48–2.20 (m, 2H), 2.10 (td, J = 14.4 Hz, J = 4.6 Hz, 1H), 2.01–1.70 (m, 4H), 0.92 (d, J = 6.4 Hz, 3H), 0.90 (d, J = 6.4 Hz, 3H) ppm. HRMS (ESI, m/z): [M+H]+ calcd. for C13H22N2O2, 239.1760; found 239.1759.
3.2.5. R3 Functionalization of Lactams 43 and 44
- (3S,7aR,11aR)-9-(cyclohexylmethyl)-3-isopropyl-2,3,6,7,7a,8,10,11-octahydrooxazolo[2,3-j][1,6]naphthyridin-5-one (45):
To a solution of lactam 44 (100 mg, 0.352 mmol) in MeCN (2 mL), bromomethylcyclohexane (126 mg, 0.528 mmol), and K2CO3 (146 mg, 1.06 mmol) were added. After 2 h of stirring at room temperature, NaI (39.5 mg, 0.264 mmol) was added. The mixture was then heated to 80 °C and stirred for 60 h. The solvent was removed under vacuum, and the mixture was washed with dichloromethane and a saturated solution of Na2CO3. The organic layer was dried over magnesium sulfate, and the solvent was removed under vacuum. The crude product was then purified by flash column chromatography over silica gel (cyclohexane/ethyl acetate: 100/0 to 0/100) to afford the corresponding desired product 45 (78.4 mg, 67%) as a colorless oil. 1H NMR (300 MHz, CD2Cl2): δ 4.09–3.96 (m, 2H), 3.78 (dd, J = 8.0 Hz, J = 5.7 Hz, 1H), 3.98 (d, J = 7.5 Hz, 1H), 3.79 (d, J = 5.7 Hz, 1H), 3.76 (d, J = 6.2 Hz, 1H), 2.75–2.46 (m, 3H), 2.44–2.26 (m, 3H), 2.18–1.87 (m, 5H), 1.85–1.57 (m, 8H), 1.53–1.39 (m, 1H), 1.37–1.16 (m, 3H), 0.89 (d, J = 7.9 Hz, 3H), 0.92 (d, J = 7.9 Hz, 3H), 0.90–0.82 (m, 2H) ppm. 13C NMR (75 MHz, CDCl3): δ 170.3, 92.8, 66.1, 65.0, 61.2, 55.3, 51.3, 40.4, 35.4, 32.4, 32.3, 30.8, 26.9, 26.2, 22.1, 19.9, 18.7 ppm. HRMS (ESI, m/z): [M+H]+ calcd. for C20H35N2O2, 335.2699; found 335.2693.
- (3S,7aR,11aR)-3-isopropyl-9-[[4-(1-piperidyl)phenyl]methyl]-2,3,6,7,7a,8,10,11-octahydrooxazolo[2,3-j][1,6]naphthyridin-5-one (46):
In a tube charged with 4-(1-piperidyl)benzaldehyde (103 mg, 0.5 mmol, 3 eq), lactam 43 (50 mg, 0.18 mmol, 1 eq), DIEA (31 µL, 0.18 mmol, 1 eq) dissolved in DCE (1 mL), and NaBH(OAc)3 (116 mg, 0.5 mmol, 3 eq) were added. The mixture was stirred at room temperature overnight. The crude was evaporated with celite and then purified by flash column chromatography over silica gel (cyclohexane/ethyl acetate: 100/0 to 0/100) to afford the desired product 46 (58 mg, 77%) as a colorless oil. 1H NMR (300 MHz, CDCl3): δ 7.18 (d, J = 8.7 Hz, 2H), 6.90 (d, J = 8.7 Hz, 2H), 4.11 (m, 1H), 3.99 (dd, J = 8.7 Hz, J = 7.6 Hz, 1H), 3.78 (dd, J = 8.7 Hz, J = 6.3 Hz, 1H), 3.50 (d, J = 13.0 Hz, 1H), 3.34 (d, J = 13.0 Hz, 1H), 3.18–3.12 (m, 4H), 2.82 -2.66 (m, 2H), 2.64–2.52 (m, 1H), 2.49–2.12 (m, 5H), 2.10–1.88 (m, 2H), 1.85–1.53 (m, 9H) 0.96 (d, J = 6.9 Hz, 3H), 0.92 (d, J = 6.9 Hz, 3H) ppm. 13C NMR (75 MHz, CDCl3): δ 170.2, 151.3, 129.5, 116.2, 92.7, 66.1, 61.98, 61.2, 54.5, 50.8, 50.4, 40.3, 32.3, 30.8, 25.9, 24.3, 21.8, 18.8, 18.6 ppm. HRMS (ESI, m/z): [M+H]+ calcd. For C25H38N3O2, 412.2964; found 412.2961.
- (3S,7aR,11aR)-3-isopropyl-9-[3-[4-(trifluoromethyl)phenyl]propanoyl]-2,3,6,7,7a,8,10,11-octahydrooxazolo[2,3-j][1,6]naphthyridin-5-one (47):
COMU (234 mg, 0.546 mmol, 1.5 eq) was dissolved in ethyl acetate (1 mL), and then 3-[4(trifluoromethyl)phenyl]propanoic acid (79.4 mg, 0.364 mmol, 1 eq), and DIEA (94 µL, 0.5 mmol, 1.5 eq) were added. The mixture was stirred at room temperature, then a solution of lactam 43 (100 mg, 0.364 mmol, 1 eq) and DIEA (94 µL, 0.5 mmol, 1.5 eq) were added. The resulting solution was stirred at room temperature for 4 h. The mixture was washed with an aqueous solution of NaHCO3 and brine. The layers were separated, then the organic layer was dried over MgSO4, filtered, and concentrated under reduced pressure to give the crude product. The crude was purified by reverse phase chromatography using H2O/MeCN (90/10 to 0/100) to afford product 47 (102 mg, 64%) as a colorless oil. 1H NMR (300 MHz, CDCl3): δ 7.54 (d, J = 8.1 Hz, 2H), 7.36–7.30 (m, 2H), 4.68–4.54 (m, 1H), 4.20–4.06 (m, 1H), 3.87–3.75 (m, 1H), 3.75–3.62 (m, 1H), 3.62–3.48 (m, 0.5H), 3.24–3.16 (m, 0.5H), 3.11–2.98 (m, 2H), 2.80–2.57 (m, 2H), 2.57–2.35 (m, 2H), 2.10–1.90 (m, 1H), 1.88–1.51 (m, 7H), 0.96–0.83 (m, 6H) ppm. 13C NMR (75 MHz, CDCl3): δ 170.5, 170.4, 169.7, 169.3, 145.5, 128.9, 128.6 (q, J = 32 Hz), 125.7 (q, J = 3.7 Hz), 124.5 (q, J = 272.3 Hz), 92.1, 66.5, 61.6, 61.4, 46.7, 42.9, 42.6, 40.0, 39.7, 38.8, 34.3, 32.5, 32.1, 32.0, 31.5, 31.1, 31.0, 29.9, 29.8, 20.5, 19.7, 19.6, 18.7, 18.6 ppm. HRMS (ESI, m/z): [M+H]+ calcd. for C23H30N2O3F3, 439.2209; found 439.2182.
- (3S,7aR,11aR)-3-isopropyl-9-[2-[4-(trifluoromethyl)phenyl]ethylsulfonyl]-2,3,6,7,7a,8,10,11-octahydrooxazolo[2,3-j][1,6]naphthyridin-5-one (48):
In a tube charged with lactam 43 (50 mg, 0.18 mmol, 1 eq) dissolved in 1 mL of anhydrous MeCN, DIEA (62 µL, 0.36 mmol, 2 eq) was added dropwise. The mixture was stirred until complete solubilization of 43 was achieved, then 2-[4-(trifluoromethyl)phenyl]ethanesulfonyl chloride (50 mg, 0.18 mmol, 1 eq) was added. The mixture was stirred at room temperature overnight. The crude was evaporated with celite and then purified by flash chromatography over silica gel (cyclohexane/ethyl acetate: 100/0 to 50/50) to afford the desired product 48 (49 mg, 57%) as a colorless oil. 1H NMR (300 MHz, CDCl3): δ 7.60 (d, J = 8.1 Hz, 2H), 7.35 (d, J = 8.1 Hz, 2H), 4.19–4.09 (m, 1H), 3.98 (dd, J = 8.9 Hz, J = 7.4 Hz, 1H), 3.83–3.65 (m, 3H), 3.28 (dd, J = 12.5 Hz, J = 3.0 Hz, 1H), 3.18 (br s, 4H), 2.97 (dt, J = 12.5 Hz, J = 3.0 Hz, 1H), 2.63 (ddd, J = 18.3 Hz, J = 8.8 Hz, J = 2.5 Hz, 1H), 2.25–2.09 (m, 1H), 2.08–1.95 (m, 2H), 1.90–1.66 (m, 4H), 0.96 (d, J = 6.9 Hz, 3H), 0.93 (d, J = 6.8 Hz, 3H). 13C NMR (75 MHz, CDCl3): δ 169.6, 142.0, 129.5 (q, J = 32 Hz), 128.8, 125.8 (q, J = 3.8 Hz), 124.0 (q, J = 273 Hz), 91.4, 66.4, 61.5, 50.6, 47.1, 43.1, 39.4, 32.1, 32.0, 29.7, 29.2, 20.3, 19.6, 18.6 ppm. HRMS (ESI, m/z): [M+H]+ calcd. for C22H30N2O4F3S, 475.1878; found 475.1875.
3.3. X-ray Structural Determination
A suitable single crystal of compound 39 was selected, glued at the tip of a Mitegen sample holder, and mounted on a Bruker APEX DUO diffractometer. The crystal was kept at RT during data collection. Using the Olex2 program [44], the structure was solved with SHELXT [45] and refined by least-squares procedures on F2 with SHELXL [46]. Crystal Data for C19H32N2O4 (M = 352.47 g/mol): orthorhombic, space group P212121 (no. 19), a = 9.2668(12) Å, b = 12.1741(17) Å, c = 17.512(3) Å, V = 1975.6(5) Å3, Z = 4, T = 296 K, μ(CuKα) = 0.67 mm−1, Dcalc = 1.185 g/cm3, 60262 reflections measured (8.8° ≤ 2Θ ≤ 138.4°), 3662 unique (Rint = 0.0510, Rsigma = 0.0182), which were used in all calculations. The final R1 was 0.0339 (I > 2σ(I)) and wR2 was 0.0953 (all data). CCDC 2215399 contains the supplementary crystallographic data for this paper. These data can be obtained free of charge from the Cambridge Crystallographic Data Centre via www.ccdc.cam.ac.uk/structures, accessed on 20 December 2022.
3.4. Determination of Compound 44 Solubility
To determine compound solubility, 10 mM of the compound 44 in DMSO was diluted 50-fold either in PBS at pH 7.4 or in organic MeOH solvent in PP tubes (n = 3 for PBS and methanol). The tubes were gently shaken for 24 h at room temperature. Then, the three PBS tubes and three of the six methanol tubes were centrifuged for 5 min at 4000 rpm and filtered over 0.45 μm filters (Millex-LH Millipore). The sample was diluted 50-fold in MeOH before LC-MS/MS analysis. The test was performed in triplicate. The solubility was determined by the following ratio: (AUCPBS/AUCMeOH) × 200.
To determine compound LogD, 10 mM of the compound 44 in DMSO was diluted 50-fold in a mixture of 1:1 octanol:PBS at pH 7.4. The mixture was gently shaken for 2 h at room temperature. Each sample was then diluted 50-fold in MeOH before LC-MS/MS analysis. For each compound, the test was performed in triplicate. LogD was determined as the logarithm of the ratio of product concentrations in octanol and PBS, respectively, determined by mass signals.
4. Conclusions
Here, we report the rapid and efficient synthesis of novel natural-inspired tricyclic spirolactams from keto-esters by stereoselective Meyers’ lactamization. The synthetic route was straightforward, reliable, and versatile, and it generated new tricyclic spirolactams with a large scaffold diversity. This novel family of molecules contains a spiranic carbon, providing rigidity and three-dimensionality as well as three easily functionalized positions to populate new biologically relevant chemical spaces. On average, these molecules exhibit good drug-like properties: molecular weight < 500, clogP < 5, and a high fraction of sp3-hybridized carbon atoms (Fsp3 > 0.6). A focused library of new three-dimensional tricyclic spirolactams is currently produced and screened on a variety of biological targets. Among them, several compounds have already been identified as lead compounds against mycobacteria [47]. The structure-activity relationship studies will be reported soon.
5. Patents
B.D., B.V., L.F., M.F., N.W. and S.T. are inventors on a patent application covering the TriSLa described in this manuscript. The remaining authors declare no competing interest.
Supplementary Materials
The following supporting information can be downloaded at: https://www.mdpi.com/article/10.3390/ph16030413/s1, NMR spectra of compounds 10–48.
Author Contributions
Conceptualization, B.D., N.W., M.F. and B.V.; phys-chem properties, C.P.; X-ray crystal structure data collection and analysis, F.C.; investigation, S.T., L.F., R.G., M.M. and B.V.; writing—original draft preparation, S.T., L.F. and B.V.; writing—review and editing, S.T., L.F., M.M., M.F., B.D., N.W. and B.V.; supervision, N.W. and B.V.; project administration, B.V. All authors have read and agreed to the published version of the manuscript.
Funding
This research was financially co-funded by NL4TB, SMARt-Lab, and CPER grants. The NL4TB grant was funded by the French National Research Agency (ANR-19-CE18-0034-01). The SMARt-Lab grant was funded by the European Union under the European Regional Development Fund (ERDF), by the Hauts De France Regional Council (Contract n° NP0020070), and by I-Site ULNE (ANR-16-IDEX-0004 ULNE). The CPER grants were funded by the European Union under the European Regional Development Fund (ERDF) and by the Hauts de France Regional Council (contract n° 20002842 and contract n° 18006176), the MEL (contract n° 2017_ESR_14 and contract_2020_ESR_06), and the French State (contract n° 2018-R3-CTRL-Phase2 and contract n° 2020-R3-CTRL_IPL_Phase4). The compound physicochemical/ADME property measurements were supported by ChemBioFrance through the ARIADNE-ADME platform (Lille, France).
Institutional Review Board Statement
Not applicable.
Data Availability Statement
Data is contained within the article and Supplementary Materials.
Acknowledgments
We thank the Pharmacy Faculty NMR platform at Lille University. The 300 MHz NMR facilities were funded by the Région Hauts-De-France, the ministère de la jeunesse de l’éducation Nationale et de la Recherche (MJENR) and the fonds Européens de développement Régional (FEDER). Chevreul Institute (FR 2638), the Ministère de l’Enseignement Supérieur, de la Recherche et de l’Innovation, the Région Hauts de France, the Institut National de la Santé et de la Recherche Médicale, Université de Lille, Institut Pasteur de Lille, and FEDER are acknowledged for supporting and partially funding this work.
Conflicts of Interest
The authors declare no conflict of interest.
References
- Evans, B.E.; Rittle, K.E.; Bock, M.G.; DiPardo, R.M.; Freidinger, R.M.; Whitter, W.L.; Lundell, G.F.; Veber, D.F.; Anderson, P.S.; Chang, R.S.L.; et al. Methods for Drug Discovery: Development of Potent, Selective, Orally Effective Cholecystokinin Antagonists. J. Med. Chem. 1988, 31, 2235–2246. [Google Scholar] [CrossRef] [PubMed]
- DeSimone, R.W.; Currie, K.S.; Mitchell, S.A.; Darrow, J.W.; Pippin, D.A. Privileged Structures: Applications in Drug Discovery. Comb. Chem. High Throughput Screen. 2004, 7, 473–493. [Google Scholar] [CrossRef]
- Lovering, F.; Biccker, J.; Humblet, C. Escape from Flatland: Increasing Saturation as an Approach to Improving Clinical Success. J. Med. Chem. 2009, 52, 6752–6756. [Google Scholar] [CrossRef] [PubMed]
- Lovering, F. Escape from Flatland 2: Complexity and promiscuity. Med. Chem. Commun. 2013, 4, 515–519. [Google Scholar] [CrossRef]
- Wei, W.; Cherukupalli, S.; Jing, L.; Liu, X.; Zhan, P. Fsp3: A new parameter for drug-likeness. Drug Discov. Today 2020, 25, 1839–1845. [Google Scholar] [CrossRef]
- Stratton, C.F.; Newman, D.J.; Tan, D.S. Cheminformatic comparison of approved drugs from natural product versus synthetic origins. Bioorg. Med. Chem. Lett. 2015, 25, 4802–4807. [Google Scholar] [CrossRef] [PubMed]
- Davison, E.K.; Brimble, M.A. Natural product derived privileged scaffolds in drug discovery. Curr. Opin. Chem. Biol. 2019, 52, 1–8. [Google Scholar] [CrossRef]
- Welsch, M.E.; Snyder, S.A.; Stockwell, B.R. Privileged scaffolds for library design and drug discovery. Curr. Opin. Chem. Biol. 2010, 14, 347–361. [Google Scholar] [CrossRef]
- Grabowski, K.; Baringhaus, K.-H.; Schneider, G. Scaffold diversity of natural products: Inspiration for combinatorial library design. Nat. Prod. Rep. 2008, 25, 892–904. [Google Scholar] [CrossRef]
- Lee, M.-L.; Schneider, G. Scaffold Architecture and Pharmacophoric Properties of Natural Products and Trade Drugs: Application in the Design of Natural Product-Based Combinatorial Libraries. J. Comb. Chem. 2001, 3, 284–289. [Google Scholar] [CrossRef]
- Grigalunas, M.; Burhop, A.; Zinken, S.; Pahl, A.; Gally, J.-M.; Wild, N.; Mantel, Y.; Sievers, S.; Foley, D.J.; Scheel, R.; et al. Natural product fragment combination to performance-diverse pseudo-natural products. Nat. Commun. 2021, 12, 1883. [Google Scholar] [CrossRef] [PubMed]
- Young, R.J.; Flitsch, S.L.; Grigalunas, M.; Leeson, P.D.; Quinn, R.J.; Turner, N.J.; Waldmann, H. The Time and Place for Nature in Drug Discovery. JACS Au. 2022, 2, 2400–2416. [Google Scholar] [CrossRef]
- Thomas, G.L.; Johannes, C.W. Natural product-like synthetic libraries. Curr. Opin. Chem. Biol. 2011, 15, 516–522. [Google Scholar] [CrossRef]
- Wildermuth, R.; Speck, K.; Haut, F.-L.; Mayer, P.; Karge, B.; Brönstrup, M.; Magauer, T. A modular synthesis of tetracyclic meroterpenoid antibiotics. Nat. Commun. 2017, 8, 2083. [Google Scholar] [CrossRef] [PubMed]
- Li, C.; Gloer, J.B.; Wicklow, D.T. Thiersindoles A–C: New Indole Diterpenoids from Penicillium thiersii . J. Nat. Prod. 2003, 66, 1232–1235. [Google Scholar] [CrossRef] [PubMed]
- Zheng, C.-J.; Bai, M.; Zhou, X.-M.; Huang, G.-L.; Shao, T.-M.; Luo, Y.-P.; Niu, Z.-G.; Niu, Y.-Y.; Chen, G.-Y.; Han, C.-R. Penicilindoles A–C, Cytotoxic Indole Diterpenes from the Mangrove Derived Fungus Eupenicillium sp. HJ002. J. Nat. Prod. 2018, 81, 1045–1049. [Google Scholar] [CrossRef]
- Geethangili, M.; Tzeng, Y.-M. Review of Pharmacological Effects of Antrodia camphorata and Its Bioactive Compounds. Evid.-Based Complement. Altern. Med. 2009, 2011, nep108. [Google Scholar] [CrossRef]
- Venkatachalam, A.; Tai, D.-F. Synthesis of Natural (−)-Antrocin and Its Enantiomer via Stereoselective Aldol Reaction. Molecules 2020, 25, 831. [Google Scholar]
- Rao, Y.K.; Wu, A.T.H.; Geethangili, M.; Huang, M.-T.; Chao, W.-J.; Wu, C.-H.; Deng, W.-P.; Yeh, C.-T.; Tzeng, Y.-M. Identification of Antrocin from Antrodia camphorata as a Selective and Novel Class of Small Molecule Inhibitor of Akt/mTOR Signaling in Metastatic Breast Cancer MDA-MB-231 Cells. Chem. Res. Toxicol. 2011, 24, 238–245. [Google Scholar] [CrossRef]
- Wu, A.T.H.; Lawal, B.; Wei, L.; Wen, Y.-T.; Tzeng, D.T.W.; Lo, W.-C. Multiomics Identification of Potential Targets for Alzheimer Disease and Antrocin as a Therapeutic Candidate. Pharmaceutics 2021, 13, 1555. [Google Scholar] [CrossRef]
- Talele, T.T. Opportunities for Tapping into Three-Dimensional Chemical Space through a Quaternary Carbon. J. Med. Chem. 2020, 63, 13291–13315. [Google Scholar] [CrossRef]
- Saldívar-González, F.I.; Lenci, E.; Trabocchi, A.; Medina-Franco, J.L. Exploring the chemical space and the bioactivity profile of lactams: A chemoinformatic study. RSC Adv. 2019, 9, 27105–27116. [Google Scholar] [CrossRef]
- Willand, N.; Beghyn, T.; Nowogrocki, G.; Gesquiere, J.-C.; Deprez, B. Synthesis and structural studies of a novel scaffold for drug discovery: A 4,5-dihydro-3H-spiro[1,5-benzoxazepine-2,40-piperidine]. Tetrahedron Lett. 2004, 45, 1051–1054. [Google Scholar] [CrossRef]
- Beghyn, T.; Deprez-Poulain, R.; Willand, N.; Folleas, B.; Deprez, B. Natural Compounds: Leads or Ideas? Bioinspired Molecules for Drug Discovery. Chem. Biol. Drug Des. 2008, 72, 3–15. [Google Scholar] [PubMed]
- Tran, N.C.; Dhondt, H.; Flipo, M.; Deprez, B.; Willand, N. Synthesis of functionalized 2-isoxazolines as three-dimensional fragments for fragment-based drug discovery. Tetrahedron Lett. 2015, 56, 4119–4123. [Google Scholar] [CrossRef]
- Prevet, H.; Flipo, M.; Roussel, P.; Deprez, B.; Willand, N. Microwave-assisted synthesis of functionalized spirohydantoins as 3-D privileged fragments for scouting the chemical space. Tetrahedron Lett. 2016, 57, 2888–2894. [Google Scholar] [CrossRef]
- Meyers, A.I.; Brengel, G.P. Chiral bicyclic lactams: Useful precursors and templates for asymmetric syntheses. Chem. Commun. 1997, 1, 1–8. [Google Scholar] [CrossRef]
- Groaming, M.D.; Meyers, A.I. Chiral Non-Racemic Bicyclic Lactams. Auxiliary-Based Asymmetric Reactions. Tetrahedron 2000, 56, 9843–9873. [Google Scholar] [CrossRef]
- Amat, M.; Llor, N.; Griera, R.; Pérez, M.; Bosch, J. Enantioselective Synthesis of Alkaloids from Phenylglycinol-Derived Lactams. Nat. Prod. Commun. 2011, 6, 515–526. [Google Scholar] [CrossRef]
- Pinto, A.; Piccichè, M.; Griera, R.; Molins, E.; Bosch, J.; Amat, M. Studies on the Synthesis of Phlegmarine-Type Lycopodium Alkaloids: Enantioselective Synthesis of (−)-Cermizine B, (+)-Serratezomine E, and (+)-Luciduline. J. Org. Chem. 2018, 83, 8364–8375. [Google Scholar] [CrossRef]
- Piccichè, M.; Pinto, A.; Griera, R.; Bosch, J.; Amat, M.J. Total Synthesis of (−)-Cylindricine H. J. Org. Chem. 2022, 24, 5356–5360. [Google Scholar] [CrossRef] [PubMed]
- Malaquin, S.; Jida, M.; Courtin, J.; Laconde, G.; Willand, N.; Deprez, B.; Deprez-Poulain, R. Water-based conditions for the microscale parallel synthesis of bicyclic lactams. Tetrahedron Lett. 2013, 54, 562–567. [Google Scholar] [CrossRef]
- Deprez-Poulain, R.; Willand, N.; Boutillon, C.; Nowogrocki, G.; Azaroual, N.; Deprez, B. A simple reaction to produce small structurally complex and diverse molecules. Tetrahedron Lett. 2004, 45, 5287–5290. [Google Scholar] [CrossRef]
- Penhoat, M.; Levacher, v.; Dupas, G. Novel Extension of Meyers’ Methodology: Stereoselective Construction of Axially Chiral 7,5-Fused Bicyclic Lactams. J. Org. Chem. 2003, 68, 9517–9520. [Google Scholar] [CrossRef] [PubMed]
- Ennis, M.D.; Hoffman, R.L.; Ghazal, N.B.; Old, D.W.; Mooney, P.A. Asymmetric Synthesis of Cis-Fused Bicyclic Pyrrolidines and Pyrrolidinones via Chiral Polycyclic Lactams. J. Org. Chem. 1996, 61, 5813–5817. [Google Scholar] [CrossRef]
- Jida, M.; Deprez-Poulain, R.; Malaquin, S.; Roussel, P.; Agbossou-Niedercorn, F.; Deprez, B.; Laconde, G. Solvent-free microwave-assisted Meyers’ lactamization. Green Chem. 2010, 12, 961–964. [Google Scholar] [CrossRef]
- Postikova, S.; Sabbah, M.; Wightman, D.; Nguyen, I.T.; Sanselme, M.; Besson, T.; Brière, J.-F.; Oudeyer, S.; Levacher, V. Developments in Meyers’ Lactamization Methodology: En Route to Bi(hetero)aryl Structures with Defined Axial Chirality. J. Org. Chem. 2013, 78, 8191–8197. [Google Scholar] [CrossRef] [PubMed]
- Membrat, R.; Vasseur, A.; Moraleda, D.; Michaud-Chevallier, S.; Martinez, A.; Giordano, L.; Nuel, D. Platinum–(phosphinito–phosphinous acid) complexes as bi-talented catalysts for oxidative fragmentation of piperidinols: An entry to primary amines. RSC Adv. 2019, 9, 37825–37829. [Google Scholar] [CrossRef] [PubMed]
- Alam, M.; Baty, J.D.; Jones, G.; Moore, C. Alkylation of 4-Piperidones; Intermediates in the Synthesis of Reduced 2-Pyrindin-6-ones. J. Chem. Soc. C 1969, 11, 1520–1528. [Google Scholar] [CrossRef]
- Schwehm, C.; Li, J.; Song, H.; Hu, X.; Kellam, B.; Stocks, M. Synthesis of New DPP-4 Inhibitors Based on a Novel Tricyclic Scaffold. ACS Med. Chem. Lett. 2015, 6, 324–328. [Google Scholar] [CrossRef]
- Lipinski, C.A.; Lombardo, F.; Dominy, B.W.; Feeney, P.J. Experimental and computational approaches to estimate solubility and permeability in drug discovery and development settings. Adv. Drug. Deliv. Rev. 1997, 23, 3–25. [Google Scholar] [CrossRef]
- Ander, T.; Freyss, J.; Von Korff, M.; Rufener, C. DataWarrior: An open-source program for chemistry aware data visualization and analysis. J. Chem. Inf. Model. 2015, 55, 460–473. [Google Scholar] [CrossRef]
- Idzik, T.J.; Myk, Z.M.; Peruzynska, M.; Maciejewska, G.; Drozdzik, M.; Sosnicki, J.G. Arylation of enelactams using TIPSOTf: Reaction scope and mechanistic insight. Org. Chem. Front. 2021, 8, 708–720. [Google Scholar] [CrossRef]
- Dolomanov, O.V.; Bourhis, L.J.; Gildea, J.G.; Howard, J.A.K.; Puschmann, H. OLEX2: A complete structure solution, refinement and analysis program. J. Appl. Cryst. 2009, 42, 339–341. [Google Scholar] [CrossRef]
- Sheldrick, G.M. SHELXT—Integrated space-group and crystal-structure determination. Acta Cryst. 2015, A71, 3–8. [Google Scholar] [CrossRef] [PubMed]
- Sheldrick, G.M. Crystal structure refinement with SHELXL. Acta Cryst. 2015, C71, 3–8. [Google Scholar]
- Dam, S.; Tangara, S.; Hamela, C.; Hattabi, T.; Faїon, L.; Carre, P.; Antoine, R.; Herledan, A.; Leroux, F.; Piveteau, C.; et al. Tricyclic SpiroLactams Kill Mycobacteria in vitro and in vivo by Inhibiting Type II NADH Dehydrogenases. J. Med. Chem. 2022, 65, 16651–16664. [Google Scholar] [CrossRef] [PubMed]
Disclaimer/Publisher’s Note: The statements, opinions and data contained in all publications are solely those of the individual author(s) and contributor(s) and not of MDPI and/or the editor(s). MDPI and/or the editor(s) disclaim responsibility for any injury to people or property resulting from any ideas, methods, instructions or products referred to in the content. |
© 2023 by the authors. Licensee MDPI, Basel, Switzerland. This article is an open access article distributed under the terms and conditions of the Creative Commons Attribution (CC BY) license (https://creativecommons.org/licenses/by/4.0/).


































