Quinazolin-4-one/3-cyanopyridin-2-one Hybrids as Dual Inhibitors of EGFR and BRAFV600E: Design, Synthesis, and Antiproliferative Activity
Abstract
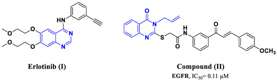
1. Introduction
2. Results and Discussion
2.1. Chemistry
2.2. Biology
2.2.1. In Vitro Anti-Cancer Activity
Cytotoxicity Assay in Non-Tumorigenic MCF-10A Cells
Antiproliferative Activity
EGFR Inhibitory Activity
BRAFV600E Inhibitory Activity
2.3. In Silico Studies
2.3.1. Docking Study
2.3.2. In Silico ADMET Studies
2.3.3. In Silico Toxicity Predictions
2.4. Structure–Activity Relationship (SAR)

3. Materials and Methods
3.1. Chemistry
General Procedures for the Synthesis of Compounds 7–21
- N-(4-(5-Cyano-6-oxo-4-phenyl-1,6-dihydropyridin-2-yl)phenyl)-2-((3-ethyl-4-oxo-3,4-dihydroquinazolin-2-yl)thio)acetamide (7). White powder; yield (0.400 g, 75%); m.p.: > 300 °C; 1H NMR (500 MHz, DMSO-d6) δ (ppm): 1.33 (t, J = 7.0 Hz, 3H, N3-CH2-CH3), 4.14 (q, J = 7.1 Hz, 2H, N3-CH2-CH3), 4.27 (s, 2H, SCH2), 6.74 (s, 1H, pyridine-C5–H), 7.41–7.48 (m, 4H, Ar-H), 7.57–7.60 (m, 3H, Ar-H), 7.77 (d, J = 8.2 Hz, 3H, Ar-H), 7.92 (d, J = 8.5 Hz, 2H, Ar-H), 8.08 (d, J = 7.9 Hz, 1H, Ar-H), 10.73 (s, 1H, CONH), 12.67 (br s, 1H, pyridine-NH). 13C NMR (125 MHz, DMSO-d6) δ (ppm): 13.02, 36.78, 37.61, 91.52, 104.39, 118.53, 118.83, 118.88, 121.61, 124.00, 125.67, 125.99, 126.43, 127.50, 128.69, 130.37, 131.29, 131.77, 134.68, 135.36, 138.26, 141.76, 146.68, 155.88, 160.21, 166.36. Anal. Calcd. For C30H23N5O3S (533.61): C, 67.53; H, 4.34; N, 13.12; S, 6.01. Found: C, 67.64; H, 4.46; N, 13.15; S, 6.23.
- N-(4-(5-Cyano-4-(4-methoxyphenyl)-6-oxo-1,6-dihydropyridin-2-yl)phenyl)-2-((3-ethyl-4-oxo-3,4-dihydroquinazolin-2-yl)thio)acetamide (8). Yellow powder; yield (0.292 g, 80%); m.p.: > 300 °C; 1H NMR (500 MHz, DMSO-d6) δ (ppm): 1.33 (t, J = 7.0 Hz, 3H, N3-CH2-CH3), 3.85 (s, 3H, OCH3), 4.14 (q, J = 7.1 Hz, 2H, N3-CH2-CH3), 4.27 (s, 2H, SCH2), 6.74 (s, 1H, pyridine-C5–H), 7.10–7.16 (m, 2H, Ar-H), 7.40–7.46 (m, 2H, Ar-H), 7.72–7.78 (m, 5H, Ar-H), 7.89 (s, 2H, Ar-H), 8.07 (dd, J = 8.2, 1.6 Hz, 1H, Ar-H), 10.73 (s, 1H, CONH), 12.61 (br s, 1H, pyridine-NH). 13C NMR (125 MHz, DMSO-d6) δ (ppm): 13.02, 36.78, 37.61, 55.61, 91.52, 104.39, 118.53, 118.83, 118.88, 121.61, 124.00, 125.67, 125.99, 126.43, 127.50, 128.69, 130.37, 131.29, 131.77, 134.68, 135.36, 138.26, 141.76, 146.68, 155.88, 160.21, 166.36. Anal. Calcd. For C31H25N5O4S (563.63): C, 66.06; H, 4.47; N, 12.43; S, 5.69. Found: C, 66.28; H, 4.67; N, 12.44; S, 5.71.
- N-(4-(4-(4-Chlorophenyl)-5-cyano-6-oxo-1,6-dihydropyridin-2-yl)phenyl)-2-((3-ethyl-4-oxo-3,4-dihydroquinazolin-2-yl)thio)acetamide (9). Yellow powder; yield (0.282 g, 78%); m.p.: > 300 °C; 1H NMR (500 MHz, DMSO-d6) δ (ppm): 1.33 (t, J = 7.0 Hz, 3H, N3-CH2-CH3), 4.13 (q, J = 7.1 Hz, 2H, N3-CH2-CH3), 4.26 (s, 2H, SCH2), 6.77 (s, 1H, pyridine-C5–H), 7.34–7.48 (m, 3H, Ar-H), 7.58–7.71 (m, 3H, Ar-H), 7.72–7.85 (m, 5H, Ar-H), 8.04 –8.09 (m, 1H, Ar-H), 10.73 (s, 1H, CONH), 12.75 (s, 1H, pyridine-NH). 13C NMR (125 MHz, DMSO-d6) δ (ppm): 13.02, 36.78, 38.01, 91.52, 104.45, 115.26, 118.83, 118.87, 125.67, 125.99, 126.43, 127.50, 128.69, 130.37, 131.29, 131.77, 134.68, 135.36, 141.76, 146.68, 152.76, 155.88, 157.34,158.88, 159.35, 160.21, 166.36. Anal. Calcd. For C30H22ClN5O3S (568.05): C, 63.43; H, 3.90; N, 12.33; S, 5.64. Found: C, 63.45; H, 4.10; N, 12.35; S, 5.66.
- N-(4-(4-(4-Bromophenyl)-5-cyano-6-oxo-1,6-dihydropyridin-2-yl)phenyl)-2-((3-ethyl-4-oxo-3,4-dihydroquinazolin-2-yl)thio)acetamide (10). Yellow powder; yield (0.262 g, 78%); m.p.: > 300 °C; 1H NMR (500 MHz, DMSO-d6) δ (ppm): 1.33 (t, J = 7.0 Hz, 3H, N3-CH2-CH3), 4.13 (q, J = 7.1 Hz, 2H, N3-CH2-CH3), 4.26 (s, 2H, SCH2), 6.77 (s, 1H, pyridine-C5–H), 7.34–7.48 (m, 3H, Ar-H), 7.58–7.71 (m, 3H, Ar-H), 7.72–7.85 (m, 5H, Ar-H), 8.04–8.09 (m, 1H, Ar-H), 10.73 (s, 1H, CONH), 12.75 (s, 1H, pyridine-NH). 13C NMR (125 MHz, DMSO-d6) δ (ppm): 13.02, 36.78, 38.01, 91.52, 104.45, 115.26, 118.83, 118.87, 125.67, 125.99, 126.43, 127.50, 128.69, 130.37, 131.29, 131.77, 134.68, 135.36, 141.76, 146.68, 152.76, 155.88, 157.34, 158.88, 159.35, 160.21, 166.36. Anal. Calcd. For C30H22BrN5O3S (612.50): C, 58.83; H, 3.62; N, 11.43; S, 5.23. Found: C, 58.90; H, 3.68; N, 11.48; S, 5.28.
- N-(4-(5-Cyano-4-(4-fluorophenyl)-6-oxo-1,6-dihydropyridin-2-yl)phenyl)-2-((3-ethyl-4-oxo-3,4-dihydroquinazolin-2-yl)thio)acetamide (11). Yellow powder; yield (0.298 g, 80%); m.p.: > 300 °C; 1H NMR (500 MHz, DMSO-d6) δ (ppm): 1.33 (t, J = 7.0 Hz, 3H, N3-CH2-CH3), 4.13 (q, J = 7.1 Hz, 2H, N3-CH2-CH3), 4.26 (s, 2H, SCH2), 6.77 (s, 1H, pyridine-C5–H), 7.34–7.48 (m, 3H, Ar-H), 7.58–7.71 (m, 3H, Ar-H), 7.72–7.85 (m, 5H, Ar-H), 8.04–8.09 (m, 1H, Ar-H), 10.73 (s, 1H, CONH), 12.75 (s, 1H, pyridine-NH). 13C NMR (125 MHz, DMSO-d6) δ (ppm): 13.02, 36.78, 38.01, 91.52, 104.45, 115.26, 118.83, 118.87, 125.67, 125.99, 126.43, 127.50, 128.69, 130.37, 131.29, 131.77, 134.68, 135.36, 141.76, 146.68, 152.76, 155.88, 157.34, 158.88, 159.35, 160.21, 166.36. Anal. Calcd. For C30H22FN5O3S (551.60): C, 65.32; H, 4.02; N, 12.70; S, 5.81. Found: C, 65.42; H, 4.22; N, 12.60; S, 5.85.
- N-(4-(5-Cyano-6-oxo-4-phenyl-1,6-dihydropyridin-2-yl)phenyl)-2-((4-oxo-3-phenyl-3,4-dihydroquinazolin-2-yl)thio)acetamide (12). Yellow powder; yield (0.298 g, 80%); m.p.: > 300 °C; 1H NMR (500 MHz, DMSO-d6) δ: 4.11 (s, 2H, SCH2), 6.78 (s, 1H, pyridine-C5–H), 7.43–7.48 (m, 1H, Ar-H), 7.48–7.51 (m, 2H, Ar-H), 7.51–7.56 (m, 2H, Ar-H), 7.56–7.58 (m, 2H, Ar-H), 7.59–7.62 (m, 3H, Ar-H), 7.70–7.76 (m, 4H, Ar-H), 7.78–7.84 (m, 1H, Ar-H), 7.90 (d, J = 8.3 Hz, 2H, Ar-H), 8.08 (m, 1H, Ar-H), 10.67 (s, 1H, CONH), 12.71 (s, 1H, pyridine-NH). 13C NMR (125 MHz, DMSO-d6) δ (ppm): 37.43, 91.84, 104.34, 108.15, 116.84, 119.18, 119.67, 126.10, 126.38, 126.85, 128.39, 128.86, 129.04, 129.57, 129.85, 130.32, 130.66, 135.25, 135.90, 136.30, 138.07, 141.85, 143.68, 147.28, 157.06, 158.78, 160.90, 166.71. Anal. Calcd. For C34H23N5O3S (581.65): C, 70.21; H, 3.99; N, 12.04; S, 5.51. Found: C, 70.41; H, 3.95; N, 12.01; S, 5.50.
- N-(4-(5-Cyano-4-(4-methoxyphenyl)-6-oxo-1,6-dihydropyridin-2-yl)phenyl)-2-((4-oxo-3-phenyl-3,4-dihydroquinazolin-2-yl)thio)acetamide (13). Yellow powder; yield (0.332 g, 80%); m.p.: > 300 °C; 1H NMR (500 MHz, DMSO-d6) δ (ppm): 3.86 (s, 3H, OCH3), 4.13 (s, 2H, SCH2), 6.78 (s, 1H, pyridine-C5–H), 7.13 (d, J = 8.4 Hz, 2H, Ar-H), 7.44–7.58 (m, 4H, Ar-H), 7.62 (d, J = 5.7 Hz, 3H, Ar-H), 7.66–7.85 (m, 5H, Ar-H), 7.90 (d, J = 8.3 Hz, 2H, Ar-H), 8.09 (d, J = 7.9 Hz, 1H, Ar-H), 10.68 (s, 1H, CONH), 12.58 (br s, 1H, pyridine-NH). 13C NMR (125 MHz, DMSO-d6) δ (ppm): 36.81, 55.22, 91.02, 112.65, 115.63, 118.17, 119.34, 120.04, 122.73, 123.64, 126.34, 126.55, 127.13, 129.17, 129.90, 130.05, 130.52, 130.85, 132.25, 135.44, 135.79, 136.25, 142.22, 147.58, 157.39, 160.59, 165.72. Anal. Calcd. For C35H25N5O4S (611.68): C, 68.73; H, 4.12; N, 11.45; S, 5.24. Found: C, 68.75; H, 4.17; N, 11.50; S, 5.25.
- N-(4-(4-(4-Chlorophenyl)-5-cyano-6-oxo-1,6-dihydropyridin-2-yl)phenyl)-2-((4-oxo-3-phenyl-3,4-dihydroquinazolin-2-yl)thio)acetamide (14). Yellow powder; yield (0.309 g, 75%); m.p.: > 300 °C; 1H NMR (500 MHz, DMSO-d6) δ (ppm): 4.13 (s, 2H, SCH2), 6.82 (s, 1H, pyridine-C5–H), 7.47 (d, J = 7.5 Hz, 1H, Ar-H), 7.49–7.52 (m, 2H, Ar-H), 7.54 (d, J = 8.0 Hz, 1H, Ar-H), 7.57–7.63 (m, 3H, Ar-H), 7.63–7.68 (m, 2H, Ar-H), 7.72–7.79 (m, 4H, Ar-H), 7.79–7.84 (m, 1H, Ar-H), 7.91 (d, J = 8.3 Hz, 2H, Ar-H), 8.09 (dd, J = 8.0, 1.6 Hz, 1H, Ar-H), 10.68 (s, 1H, CONH), 12.76 (br s, 1H, pyridine-NH). 13C NMR (125 MHz, DMSO-d6) δ (ppm): 37.82, 91.02, 104.65, 119.34, 120.04, 122.73, 123.64, 124.51, 126.34, 126.55, 127.13, 129.17, 129.90, 130.05, 130.52, 130.85, 132.25, 135.44, 135.79, 136.25, 142.22, 147.58, 157.39, 161.08, 166.86. Anal. Calcd. For C34H22ClN5O3S (616.09): C, 66.28; H, 3.60; N, 11.37; S, 5.20. Found: C, 66.30; H, 3.70; N, 11.36; S, 5.29.
- N-(4-(4-(4-Bromophenyl)-5-cyano-6-oxo-1,6-dihydropyridin-2-yl)phenyl)-2-((4-oxo-3-phenyl-3,4-dihydroquinazolin-2-yl)thio)acetamide (15). Yellow powder; yield (0.296 g, 77%); m.p.: > 300 °C; 1H NMR (500 MHz, DMSO-d6) δ (ppm): 4.13 (s, 2H, SCH2), 6.80 (s, 1H, pyridine-C5–H), 7.47 (d, J = 7.5 Hz, 1H, Ar-H), 7.49–7.52 (m, 2H, Ar-H), 7.54 (d, J = 8.0 Hz, 1H, Ar-H), 7.57–7.63 (m, 3H, Ar-H), 7.63–7.68 (m, 2H, Ar-H), 7.72–7.79 (m, 4H, Ar-H), 7.79–7.84 (m, 1H, Ar-H), 7.91 (d, J = 8.3 Hz, 2H, Ar-H), 8.09 (dd, J = 8.0, 1.6 Hz, 1H, Ar-H), 10.68 (s, 1H, CONH), 12.76 (br s, 1H, pyridine-NH). 13C NMR (125 MHz, DMSO-d6) δ (ppm): 37.82, 91.02, 104.65, 119.34, 120.04, 122.73, 123.64, 124.51, 126.34, 126.55, 127.13, 129.17, 129.90, 130.05, 130.52, 130.85, 132.25, 135.44, 135.79, 136.25, 142.22, 147.58, 157.39, 161.08, 166.86. Anal. Calcd. For C34H22BrN5O3S (660.55): C, 61.82; H, 12.10; N, 7.27; S, 4.85. Found: C, 61.84; H, 12.30; N, 7.47; S, 4.90.
- N-(4-(5-Cyano-4-(4-fluorophenyl)-6-oxo-1,6-dihydropyridin-2-yl)phenyl)-2-((4-oxo-3-phenyl-3,4-dihydroquinazolin-2-yl)thio)acetamide (16). Yellow powder; yield (0.339 g, 80%); m.p.: > 300 °C; 1H NMR (500 MHz, DMSO-d6) δ 4.11 (s, 2H, SCH2), 6.80 (s, 1H, pyridine-C5–H), 7.17–7.34 (m, 1H, Ar-H), 7.34–7.56 (m, 5H, Ar-H), 7.56 –7.68 (m, 3H, Ar-H), 7.68–7.77 (m, 3H, Ar-H), 7.77–7.84 (m, 2H, Ar-H), 7.85–8.02 (m, 2H, Ar-H), 8.08 (dd, J = 8.0, 1.6 Hz, 1H), 10.67 (s, 1H, CONH), 12.71 (br s, 1H, pyridine-NH). 13C NMR (125 MHz, DMSO-d6) δ (ppm): 37.82, 91.02, 104.65, 119.34, 120.04, 122.73, 123.64, 124.51, 126.34, 126.55, 127.13, 129.17, 129.90, 130.05, 130.52, 130.85, 132.25, 135.44, 135.79, 136.25, 142.22, 147.58, 157.39, 161.08, 166.86. Anal. Calcd. For C34H22FN5O3S (599.64): C, 68.10; H, 3.70; N, 11.68; S, 5.35. Found: C, 68.30; H, 3.80; N, 11.70; S, 5.45.
- 2-((3-Allyl-4-oxo-3,4-dihydroquinazolin-2-yl)thio)-N-(4-(5-cyano-6-oxo-4-phenyl-1,6-dihydropyridin-2-yl)phenyl)acetamide (17). Yellow powder; yield (0.409 g, 75%); m.p.: > 300 °C; 1H NMR (500 MHz, DMSO-d6) δ (ppm): 4.25 (s, 2H, SCH2), 4.75 (d, J = 5.2 Hz, 2H, CH2CH=CH2), 5.16–5.27 (m, 2H, CH2CH=CH2), 5.92–5.98 (m, 1H, CH2CH=CH2), 6.82 (s, 1H, pyridine-C5–H), 7.41–7.48 (m, 4H, Ar-H), 7.57–7.60 (m, 3H, Ar-H), 7.77 (d, J = 8.2 Hz, 3H, Ar-H), 7.92 (d, J = 8.5 Hz, 2H, Ar-H), 8.08 (d, J = 7.9 Hz, 1H, Ar-H), 10.73 (s, 1H, CONH), 12.67 (br s, 1H, pyridine-NH). 13C NMR (125 MHz, DMSO-d6) δ (ppm): 37.20, 46.50, 91.09, 105.51, 114.69, 116.99, 118.17, 118.43, 119.05, 119.63, 125.67, 126.30, 126.79, 127.03, 128.85, 129.14, 130.38, 131.64, 132.49, 135.49, 141.59, 147.16, 156.74, 158.94, 161.01, 161.29, 167.05, 174.30. Anal. Calcd. For C31H23N5O3S (545.62): C, 68.24; H, 4.25; N, 12.84; S, 5.88. Found: C, 68.34; H, 4.40; N, 12.90; S, 5.93.
- 2-((3-Allyl-4-oxo-3,4-dihydroquinazolin-2-yl)thio)-N-(4-(5-cyano-4-(4-methoxy phenyl)-6-oxo-1,6-dihydropyridin-2-yl)phenyl)acetamide (18). Yellow powder; yield (0.303 g, 80%); m.p.: > 300 °C; 1H NMR (500 MHz, DMSO-d6) δ (ppm): 3.83 (s, 3H, OCH3), 4.25 (s, 2H, SCH2), 4.73–4.76 (m, 2H, CH2CH=CH2), 5.15–5.26 (m, 2H, CH2CH=CH2), 5.91–6.00 (m, 1H, CH2CH=CH2), 6.71 (s, 1H, pyridine-C5–H), 7.05–7.10 (m, 2H, Ar-H), 7.40–7.48 (m, 2H, Ar-H), 7.62–7.67 (m, 2H, Ar-H), 7.71–7.79 (m, 3H, Ar-H), 7.90–7.95 (m, 2H, Ar-H), 8.06–8.10 (m, 1H, Ar-H), 10.70 (s, 1H, CONH), 12.56 (br s, 1H, pyridine-NH). 13C NMR (125 MHz, DMSO-d6) δ (ppm): 37.20, 46.50, 55.90, 91.09, 105.51, 114.69, 118.17, 118.43, 119.05, 119.63, 125.67, 126.30, 126.79, 127.03, 128.85, 129.14, 130.38, 131.64, 132.49, 135.49, 141.59, 147.16, 156.74, 158.94, 161.01, 161.29, 167.05, 174.30. Anal. Calcd. For C32H25N5O4S (575.64): C, 66.77; H, 4.38; N, 12.17; S, 5.57. Found: C, 66.80; H, 4.58; N, 12.29; S, 5.70.
- 2-((3-Allyl-4-oxo-3,4-dihydroquinazolin-2-yl)thio)-N-(4-(4-(4-chlorophenyl)-5-cyano-6-oxo-1,6-dihydropyridin-2-yl)phenyl)acetamide (19). Yellow powder; yield (0.293 g, 78%); m.p.: > 300 °C; 1H NMR (500 MHz, DMSO-d6) δ (ppm): 4.26 (s, 2H, SCH2), 4.74–4.80 (m, 2H, CH2CH=CH2), 5.16–5.29 (m, 2H, CH2CH=CH2), 5.91–6.02 (m, 1H, CH2CH=CH2), 6.83 (s, 1H, pyridine-C5–H), 7.41–7.51 (m, 3H, Ar-H), 7.63–7.67 (m, 2H, Ar-H), 7.75–7.77 (m, 2H, Ar-H), 7.77–7.79 (m, 2H, Ar-H), 7.89–7.96 (m, 2H, Ar-H), 8.05–8.10 (m, 1H, Ar-H), 10.75 (s, 1H, CONH), 12.73 (br s, 1H, pyridine-NH). 13C NMR (125 MHz, DMSO-d6) δ (ppm): 37.20, 46.50, 91.54, 105.51, 114.69, 118.17, 118.43, 119.05, 119.63, 126.30, 126.79, 127.03, 128.85, 129.14, 130.38, 131.64, 132.49, 135.49, 141.59, 147.16, 156.74, 158.94, 161.01, 161.29, 167.05, 170.13, 174.30. Anal. Calcd. For C31H22ClN5O3S (580.06): C, 64.19; H, 3.82; N, 12.07; S, 5.53. Found: C, 64.22; H, 3.90; N, 12.17; S, 5.64.
- 2-((3-Allyl-4-oxo-3,4-dihydroquinazolin-2-yl)thio)-N-(4-(4-(4-bromophenyl)-4-cyano-6-oxo-1,6-dihydropyridin-2-yl)phenyl)acetamide (20). Yellow powder; yield (0.279 g, 80%); m.p.: > 300 °C; 1H NMR (500 MHz, DMSO-d6) δ (ppm): 4.26 (s, 2H, SCH2), 4.74–4.80 (m, 2H, CH2CH=CH2), 5.16–5.29 (m, 2H, CH2CH=CH2), 5.91–6.02 (m, 1H, CH2CH=CH2), 6.83 (s, 1H, pyridine-C5–H), 7.41–7.51 (m, 3H, Ar-H), 7.63–7.67 (m, 2H, Ar-H), 7.75–7.77 (m, 2H, Ar-H), 7.77–7.79 (m, 2H, Ar-H), 7.89–7.96 (m, 2H, Ar-H), 8.05–8.10 (m, 1H, Ar-H), 10.75 (s, 1H, CONH), 12.73 (br s, 1H, pyridine-NH). 13C NMR (125 MHz, DMSO-d6) δ (ppm): 37.20, 46.50, 91.54, 105.51, 114.69, 118.17, 118.43, 119.05, 119.63, 126.30, 126.79, 127.03, 128.85, 129.14, 130.38, 131.64, 132.49, 135.49, 141.59, 147.16, 156.74, 158.94, 161.01, 161.29, 167.05, 170.13, 174.30. Anal. Calcd. For C31H22BrN5O3S (624.51): C, 59.62; H, 3.55; N, 11.21; S, 5.13. Found: C, 59.70; H, 3.60; N, 11.41; S, 5.26.
- 2-((3-Allyl-4-oxo-3,4-dihydroquinazolin-2-yl)thio)-N-(4-(5-cyano-4-(4-fluorophenyl) -6-oxo-1,6-dihydropyridin-2-yl)phenyl)acetamide (21). Yellow powder; yield (0.309 g, 80%); m.p.: > 300 °C; 1H NMR (500 MHz, DMSO-d6) δ (ppm): 4.26 (s, 2H, SCH2), 4.74–4.80 (m, 2H, CH2CH=CH2), 5.16–5.29 (m, 2H, CH2CH=CH2), 5.91–6.02 (m, 1H, CH2CH=CH2), 6.83 (s, 1H, pyridine-C5–H), 7.41–7.51 (m, 3H, Ar-H), 7.63–7.67 (m, 2H, Ar-H), 7.75–7.77 (m, 2H, Ar-H), 7.77–7.79 (m, 2H, Ar-H), 7.89–7.96 (m, 2H, Ar-H), 8.05–8.10 (m, 1H, Ar-H), 10.75 (s, 1H, CONH), 12.73 (br s, 1H, pyridine-NH). 13C NMR (125 MHz, DMSO-d6) δ (ppm): 37.20, 46.50, 91.54, 105.51, 114.69, 118.17, 118.43, 119.05, 119.63, 126.30, 126.79, 127.03, 128.85, 129.14, 130.38, 131.64, 132.49, 135.49, 141.59, 147.16, 156.74, 158.94, 161.01, 161.29, 167.05, 170.13, 174.30. Anal. Calcd. For C31H22FN5O3S (563.61): C, 66.06; H, 3.93; N, 12.43; S, 5.69. Found: C, 66.20; H, 3.95; N, 12.46; S, 5.69.
3.2. Biology
3.2.1. Cell Viability Assay
3.2.2. Antiproliferative Assay
3.2.3. EGFR Inhibitory Activity
3.2.4. BRAFV600E Inhibitory Activity
3.3. In Silico Studies
3.3.1. Docking Study
3.3.2. In Silico ADMET Analysis
4. Conclusions
Supplementary Materials
Author Contributions
Funding
Institutional Review Board Statement
Informed Consent Statement
Data Availability Statement
Acknowledgments
Conflicts of Interest
References
- DeVita, V.T., Jr.; Rosenberg, S.A. Two hundred years of cancer research. N. Engl. J. Med. 2012, 366, 2207–2214. [Google Scholar] [CrossRef]
- Lujambio, A.; Lowe, S.W. The microcosmos of cancer. Nature 2012, 482, 347–355. [Google Scholar] [CrossRef] [PubMed]
- Siegel, R.L.; Miller, K.D.; Wagle, N.S.; Jemal, A. Cancer statistics. CA Cancer J. Clin. 2023, 73, 17–48. [Google Scholar] [CrossRef]
- Bedard, P.L.; Hyman, D.M.; Davids, M.S.; Siu, L.L. Small molecules, big impact: 20 years of targeted therapy in oncology. Lancet 2020, 395, 1078–1088. [Google Scholar] [CrossRef] [PubMed]
- Raghavendra, N.M.; Pingili, D.; Kadasi, S.; Mettu, A.; Prasad, S. Dual or multi-targeting inhibitors: The next generation anticancer agents. Eur. J. Med. Chem. 2018, 143, 1277–1300. [Google Scholar] [CrossRef] [PubMed]
- Elwaie, T.A.; Abbas, S.E.; Aly, E.I.; George, R.F.; Ali, H.; Kraiouchkine, N.; Abdelwahed, K.S.; Fandy, T.E.; El Sayed, K.A.; Ali, H.I.; et al. HER2 Kinase-Targeted Breast Cancer Therapy: Design, Synthesis, and In Vitro and In Vivo Evaluation of Novel Lapatinib Congeners as Selective and Potent HER2 Inhibitors with Favorable Metabolic Stability. J. Med. Chem. 2020, 63, 15906–15945. [Google Scholar] [CrossRef] [PubMed]
- Khalil, D.N.; Smith, E.L.; Brentjens, R.J.; Wolchok, J.D. The future of cancer treatment: Immunomodulation, CARs and combination immunotherapy. Nat. Rev. Clin. Oncol. 2016, 13, 273–290. [Google Scholar] [CrossRef]
- Youssif, B.G.; Abdelrahman, M.H.; Abdelazeem, A.H.; Ibrahim, H.M.; Salem, O.I.; Mohamed, M.F.; Bukhari, S.N.A. Design, synthesis, mechanistic and histopathological studies of small-molecules of novel indole-2-carboxamides and pyrazino [1, 2-a] indol-1 (2H)-ones as potential anticancer agents effecting the reactive oxygen species production. Eur. J. Med. Chem. 2018, 146, 260–273. [Google Scholar] [CrossRef]
- Youssif, B.G.; Gouda, A.M.; Moustafa, A.H.; Abdelhamid, A.A.; Gomaa, H.A.; Kamal, I.; Marzouk, A.A. Design and synthesis of new triarylimidazole derivatives as dual inhibitors of BRAFV600E/p38α with potential antiproliferative activity. J. Mol. Struct. 2022, 1253, 132218. [Google Scholar] [CrossRef]
- Seton-Rogers, S. Cytokine cues. Nat. Rev. Cancer 2011, 11, 690. [Google Scholar] [CrossRef]
- Jin, S.; Sun, Y.; Liang, X.; Gu, X.; Ning, J.; Xu, Y.; Chen, S.; Pan, L. Emerging new therapeutic antibody derivatives for cancer treatment. Signal Transduct. Target. Ther. 2022, 7, 39. [Google Scholar] [CrossRef] [PubMed]
- Cohen, P.; Cross, D.; Janne, P.A. Kinase drug discovery 20 years after imatinib: Progress and future directions. Nat. Rev. Drug Discov. 2021, 20, 551–569. [Google Scholar] [CrossRef] [PubMed]
- Yahya, E.B.; Alqadhi, A.M. Recent trends in cancer therapy: A review on the current state of gene delivery. Life Sci. 2021, 269, 119087. [Google Scholar] [CrossRef]
- Avendaño, C.; Menendez, J.C. Medicinal Chemistry of Anticancer Drugs; Elsevier: Amsterdam, The Netherlands, 2015. [Google Scholar]
- Cheng, C.J.; Bahal, R.; Babar, I.A.; Pincus, Z.; Barrera, F.; Liu, C.; Svoronos, A.; Braddock, T.E.; Glazer, P.M.; Slack, F.J.; et al. MicroRNA silencing for cancer therapy targeted to the tumour microenvironment. Nature 2015, 518, 107–110. [Google Scholar] [CrossRef] [PubMed]
- Fukuhara, H.; Ino, Y.; Todo, T. Oncolytic virus therapy: A new era of cancer treatment at dawn. Cancer Sci. 2016, 107, 1373–1379. [Google Scholar] [CrossRef] [PubMed]
- Troike, K.; Lathia, J.D. Optimising gene editing for cancer therapy. Nat Cell Biol. 2020, 22, 259–261. [Google Scholar] [CrossRef]
- Tebbutt, N.; Pedersen, M.W.; Johns, T.G. Targeting the ERBB family in cancer: Couples therapy. Nat. Rev. Cancer 2013, 13, 663–673. [Google Scholar] [CrossRef]
- Yarden, Y. Biology of HER2 and its importance in breast cancer. Oncology 2001, 61 (Suppl. 2), 1–13. [Google Scholar] [CrossRef]
- Pennock, S.; Wang, Z. Stimulation of cell proliferation by endosomal epidermal growth factor receptor as revealed through two distinct phases of signaling. Mol. Cell. Biol. 2003, 23, 5803–5815. [Google Scholar] [CrossRef]
- Barberan, S.; Cebria, F. The role of the EGFR signaling pathway in stem cell differentiation during planarian regeneration and homeostasis. Semin. Cell Dev. Biol. 2019, 87, 45–57. [Google Scholar] [CrossRef]
- Chiasson-MacKenzie, C.; McClatchey, A.I. EGFR-induced cytoskeletal changes drive complex cell behaviors: The tip of the iceberg. Sci. Signal. 2018, 11, eaas9473. [Google Scholar] [CrossRef] [PubMed]
- Keller, S.; Schmidt, M.H.H. EGFR and EGFRvIII Promote Angiogenesis and Cell Invasion in Glioblastoma: Combination Therapies for an Effective Treatment. Int. J. Mol. Sci. 2017, 18, 1295. [Google Scholar] [CrossRef] [PubMed]
- McCubrey, J.A.; Rakus, D.; Gizak, A.; Steelman, L.S.; Abrams, S.L.; Lertpiriyapong, K.; Fitzgerald, T.L.; Yang, L.V.; Fitzgerald, T.L.; Martelli, A.M.; et al. Effects of mutations in Wnt/β-catenin, hedgehog, Notch and PI3K pathways on GSK-3 activity—Diverse effects on cell growth, metabolism and cancer. Biochim. Et Biophys. Acta (BBA)-Mol. Cell Res. 2016, 1863, 2942–2976. [Google Scholar] [CrossRef] [PubMed]
- Zhang, L.; Castanaro, C.; Luan, B.; Yang, K.; Fan, L.; Fairhurst, J.L.; Rafique, A.; Potocky, T.B.; Shan, J.; Daly, C.; et al. ERBB3/HER2 signaling promotes resistance to EGFR blockade in head and neck and colorectal cancer models. Mol. Cancer Ther. 2014, 13, 1345–1355. [Google Scholar] [CrossRef] [PubMed]
- Pao, W.; Chmielecki, J. Rational, biologically based treatment of EGFR-mutant non-small-cell lung cancer. Nat. Rev. Cancer 2010, 10, 760–774. [Google Scholar] [CrossRef] [PubMed]
- Singh, M.; Jadhav, H.R. Targeting non-small cell lung cancer with small-molecule EGFR tyrosine kinase inhibitors. Drug Discov. Today 2018, 23, 745–753. [Google Scholar] [CrossRef]
- Yan, N.; Guo, S.; Zhang, H.; Zhang, Z.; Shen, S.; Li, X. BRAF-Mutated Non-Small Cell Lung Cancer: Current Treatment Status and Future Perspective. Front. Oncol. 2022, 12, 863043. [Google Scholar] [CrossRef]
- Murugesan, S.; Murugesan, J.; Palaniappan, S.; Palaniappan, S.; Murugan, T.; Siddiqui, S.S.; Loganathan, S. Tyrosine Kinase Inhibitors (TKIs) in Lung Cancer Treatment: A Comprehensive Analysis. Curr. Cancer Drug Targets 2021, 21, 55–69. [Google Scholar] [CrossRef]
- Cicenas, J.; Tamosaitis, L.; Kvederaviciute, K.; Tarvydas, R.; Staniute, G.; Kalyan, K.; Meskinyte-Kausiliene, E.; Stankevicius, V.; Valius, M. KRAS, NRAS and BRAF mutations in colorectal cancer and melanoma. Med. Oncol. 2017, 34, 26. [Google Scholar] [CrossRef]
- Pakneshan, S.; Salajegheh, A.; Smith, R.A.; Lam, A.K.-Y. Clinicopathological relevance of BRAF mutations in human cancer. Pathology 2013, 45, 346–356. [Google Scholar] [CrossRef]
- Kerru, N.; Gummidi, L.; Maddila, S.; Gangu, K.K.; Jonnalagadda, S.B. A Review on Recent Advances in Nitrogen-Containing Molecules and Their Biological Applications. Molecules 2020, 25, 1909. [Google Scholar] [CrossRef] [PubMed]
- Hisham, M.; Hassan, H.A.; Gomaa, H.A.M.; Youssif, B.G.M.; Hayallah, A.M.; Abdel-Aziz, M. Structure-based design, synthesis and antiproliferative action of new quinazoline-4-one/chalcone hybrids as EGFR inhibitors. J. Mol. Struct. 2022, 1254, 132422. [Google Scholar] [CrossRef]
- Dawood, D.H.; Nossier, E.S.; Abdelhameed, M.F.; Asaad, G.F.; Abd El-Rahman, S.S. Design, synthesis, anti-inflammatory evaluation and molecular docking of novel thiophen-2-ylmethylene-based derivatives as potential TNF-α production inhibitors. Bioorganic Chem. 2022, 122, 105726. [Google Scholar] [CrossRef] [PubMed]
- Hisham, M.; Hassan, H.A.; Gomaa, H.A.M.; Youssif, B.G.M.; Hayalah, A.M.; Abdel-Aziz, M. Design, Synthesis, and Antiproliferative Activity of Quinazolin-4-One/Chalcone Hybrids via the Egfr Inhibition Pathway. Anti-Cancer Agents Med. Chem. 2023, 23, 1932–1943. [Google Scholar] [CrossRef]
- Dutta, A.; Trivedi, P.; Gehlot, P.S.; Gogoi, D.; Hazarika, R.; Chetia, P.; Kumar, A.; Chaliha, A.K.; Chaturvedi, V.; Sarma, D. Design and Synthesis of Quinazolinone-Triazole Hybrids as Potent Anti-Tubercular Agents. ACS Appl. Bio Mater. 2022, 5, 4413–4424. [Google Scholar] [CrossRef]
- Zayed, M.F. Medicinal Chemistry of Quinazolines as Analgesic and Anti-Inflammatory Agents. Chemengineering 2022, 6, 94. [Google Scholar] [CrossRef]
- Łysakowska, M.; Głowacka, I.E.; Andrei, G.; Schols, D.; Snoeck, R.; Lisiecki, P.; Szemraj, M.; Piotrowska, D.G. Design, Synthesis, Anti-Varicella-Zoster and Antimicrobial Activity of (Isoxazolidin-3-yl)Phosphonate Conjugates of N1-Functionalised Quinazoline-2,4-Diones. Molecules 2022, 27, 6526. [Google Scholar] [CrossRef]
- Cohen, M.H.; Johnson, J.R.; Chen, Y.F.; Sridhara, R.; Pazdur, R. FDA drug approval summary: Erlotinib (Tarceva) tablets. Oncologist 2005, 10, 461–466. [Google Scholar] [CrossRef]
- Das, D.; Hong, J. Recent advancements of 4-aminoquinazoline derivatives as kinase inhibitors and their applications in medicinal chemistry. Eur. J. Med. Chem. 2019, 170, 55–72. [Google Scholar] [CrossRef]
- Abdelgalil, A.A.; Al-Kahtani, H.M.; Al-Jenoobi, F.I. Erlotinib. Profiles Drug Subst. Excip. Relat. Methodol. 2020, 45, 93–117. [Google Scholar]
- Faidallah, H.M.; Rostom, S.A.F.; Badr, M.H.; Ismail, A.E.; Almohammadi, A.M. Synthesis of Some 1,4,6-Trisubstituted-2-oxo-1,2-dihydropyridine-3-carbonitriles and Their Biological Evaluation as Cytotoxic and Antimicrobial Agents. Arch. Pharm. 2015, 348, 824–834. [Google Scholar] [CrossRef] [PubMed]
- Al-Etaibi, A.M.; El-Apasery, M.A. A Comprehensive Review on the Synthesis and Versatile Applications of Biologically Active Pyridone-Based Disperse Dyes. Int. J. Environ. Res. Public Health 2020, 17, 4714. [Google Scholar] [CrossRef] [PubMed]
- Mamedov, I.; Naghiyev, F.; Maharramov, A.; Uwangue, O.; Farewell, A.; Sunnerhagen, P.; Erdelyi, M. Antibacterial activity of 2-amino-3-cyanopyridine derivatives. Mendeleev Commun. 2020, 30, 498–499. [Google Scholar] [CrossRef]
- Abo-Ghalia, M.H.; Amr, A.E.-G.E.; Abdalah, M.M. Synthesis of Some New (Nα-Dipicolinoyl)-bis-L-leucyl-DL-norvalyl Linear tetra and Cyclic octa Bridged Peptides as New Antiinflammatory Agents. Z. Naturforschung B 2003, 58, 903–910. [Google Scholar] [CrossRef]
- Amr Ael, G.; Sayed, H.H.; Abdulla, M.M. Synthesis and reactions of some new substituted pyridine and pyrimidine derivatives as analgesic, anticonvulsant and antiparkinsonian agents. Arch. Pharm. 2005, 338, 433–440. [Google Scholar] [CrossRef]
- Abou-Zied, H.A.; Beshr, E.A.; Gomaa, H.A.; Mostafa, Y.A.; Youssif, B.G.; Hayallah, A.M.; Abdel-Aziz, M. Discovery of new cyanopyridine/chalcone hybrids as dual inhibitors of EGFR/BRAF(V600E) with promising antiproliferative properties. Arch. Pharm. 2023, 356, e2200464. [Google Scholar] [CrossRef]
- Ismail, M.M.F.; Farrag, A.M.; Harras, M.F.; Ibrahim, M.H.; Mehany, A.B.M. Apoptosis: A target for anticancer therapy with novel cyanopyridines. Bioorganic Chem. 2020, 94, 103481. [Google Scholar] [CrossRef]
- Abd Elhameid, M.K.; Ryad, N.; Al-Shorbagy, M.Y.; Mohammed, M.R.; Ismail, M.M.; El Meligie, S. Design, Synthesis and Screening of 4,6-Diaryl Pyridine and Pyrimidine Derivatives as Potential Cytotoxic Molecules. Chem. Pharm. Bull. 2018, 66, 939–952. [Google Scholar] [CrossRef]
- Abadi, A.H.; Abouel-Ella, D.A.; Lehmann, J.; Tinsley, H.N.; Gary, B.D.; Piazza, G.A.; Abdel-Fattah, M.A. Discovery of colon tumor cell growth inhibitory agents through a combinatorial approach. Eur. J. Med. Chem. 2010, 45, 90–97. [Google Scholar] [CrossRef][Green Version]
- Sabour, R.; Harras, M.F.; Mehany, A.B.M. Design, synthesis, cytotoxicity screening and molecular docking of new 3-cyanopyridines as survivin inhibitors and apoptosis inducers. Bioorganic Chem. 2020, 94, 103358. [Google Scholar] [CrossRef]
- Abdelaziz, M.E.; El-Miligy, M.M.M.; Fahmy, S.M.; Mahran, M.A.; Hazzaa, A.A. Design, synthesis and docking study of pyridine and thieno [2,3-b] pyridine derivatives as anticancer PIM-1 kinase inhibitors. Bioorganic Chem. 2018, 80, 674–692. [Google Scholar] [CrossRef] [PubMed]
- Abouzid, K.A.M.; Al-Ansary, G.H.; El-Naggar, A.M. Eco-friendly synthesis of novel cyanopyridine derivatives and their anticancer and PIM-1 kinase inhibitory activities. Eur. J. Med. Chem. 2017, 134, 357–365. [Google Scholar] [CrossRef] [PubMed]
- Al-Wahaibi, L.H.; Abou-Zied, H.A.; Hisham, M.; Beshr, E.A.M.; Youssif, B.G.M.; Bräse, S.; Hayallah, A.M.; Abdel-Aziz, M. Design, Synthesis, and Biological Evaluation of Novel 3-Cyanopyridone/Pyrazoline Hybrids as Potential Apoptotic Antiproliferative Agents Targeting EGFR/BRAF(V600E) Inhibitory Pathways. Molecules 2023, 28, 6586. [Google Scholar] [CrossRef] [PubMed]
- Ho, C.C.; Liao, W.Y.; Lin, C.A.; Shih, J.Y.; Yu, C.J.; Yang, J.C. Acquired BRAF V600E Mutation as Resistant Mechanism after Treatment with Osimertinib. J. Thorac. Oncol. 2017, 12, 567–572. [Google Scholar] [CrossRef] [PubMed]
- Desai, J.; Markman, B.; Ananda, S.; Tebbutt, N.C.; Michael, M.; Solomon, B.J.; McArthur, G.A.; Tie, J.; Gibbs, P.; Ritchie, D.; et al. A phase I/II trial of combined BRAF and EGFR inhibition in patients (pts) with BRAF V600E mutated (BRAFm) metastatic colorectal (mCRC): The EViCT (Erlotinib and Vemurafenib in Combination Trial) study. J. Clin. Oncol. 2017, 35, 3557. [Google Scholar] [CrossRef]
- Remon, J.; Morán, T.; Majem, M.; Reguart, N.; Dalmau, E.; Márquez-Medina, D.; Lianes, P. Acquired resistance to epidermal growth factor receptor tyrosine kinase inhibitors in EGFR-mutant non-small cell lung cancer: A new era begins. Cancer Treat. Rev. 2014, 40, 93–101. [Google Scholar] [CrossRef] [PubMed]
- Turner, E.; Chen, L.; Foulke, J.G.; Gu, Z.; Tian, F. CRISPR/Cas9 Edited RAS & MEK Mutant Cells Acquire BRAF and MEK Inhibitor Resistance with MEK1 Q56P Restoring Sensitivity to MEK/BRAF Inhibitor Combo and KRAS G13D Gaining Sensitivity to Immunotherapy. Cancers 2022, 14, 5449. [Google Scholar]
- Al-Wahaibi, L.H.; Gouda, A.M.; Abou-Ghadir, O.F.; Salem, O.I.; Ali, A.T.; Farghaly, H.S.; Abdelrahman, M.H.; Trembleau, L.; Abdu-Allah, H.H.; Youssif, B.G. Design and synthesis of novel 2, 3-dihydropyrazino [1, 2-a] indole-1, 4-dione derivatives as antiproliferative EGFR and BRAFV600E dual inhibitors. Bioorganic Chem. 2020, 104, 104260. [Google Scholar] [CrossRef]
- Gomaa, H.A.; Shaker, M.E.; Alzarea, S.I.; Hendawy, O.; Mohamed, F.A.; Gouda, A.M.; Ali, A.T.; Morcoss, M.M.; Abdelrahman, M.H.; Trembleau, L.; et al. Optimization and SAR investigation of novel 2, 3-dihydropyrazino [1, 2-a] indole-1, 4-dione derivatives as EGFR and BRAFV600E dual inhibitors with potent antiproliferative and antioxidant activities. Bioorganic Chem. 2022, 120, 105616. [Google Scholar] [CrossRef]
- Hisham, M.; Youssif, B.G.M.; Osman, E.E.A.; Hayallah, A.M.; Abdel-Aziz, M. Synthesis and biological evaluation of novel xanthine derivatives as potential apoptotic antitumor agents. Eur. J. Med. Chem. 2019, 176, 117–128. [Google Scholar] [CrossRef]
- Youssif, B.G.; Mohamed, A.M.; Osman, E.E.A.; Abou-Ghadir, O.F.; Elnaggar, D.H.; Abdelrahman, M.H.; Treamblu, L.; Gomaa, H.A. 5-Chlorobenzofuran-2-carboxamides: From allosteric CB1 modulators to potential apoptotic antitumor agents. Eur. J. Med. Chem. 2019, 177, 1–11. [Google Scholar] [CrossRef] [PubMed]
- Gomaa, H.A.M.; El-Sherief, H.A.M.; Hussein, S.; Gouda, A.M.; Salem, O.I.A.; Alharbi, K.S.; Hayallah, A.M.; Youssif, B.G.M. Novel 1, 2, 4-triazole derivatives as apoptotic inducers targeting p53: Synthesis and antiproliferative activity. Bioorganic Chem. 2020, 105, 104369. [Google Scholar] [CrossRef] [PubMed]
- Marzouk, A.A.; Abdel-Aziz, S.A.; Abdelrahman, K.S.; Wanas, A.S.; Gouda, A.M.; Youssif, B.G.; Abdel-Aziz, M. Design and synthesis of new 1, 6-dihydropyrimidin-2-thio derivatives targeting VEGFR-2: Molecular docking and antiproliferative evaluation. Bioorganic Chem. 2020, 102, 104090. [Google Scholar] [CrossRef] [PubMed]
- Mahmoud, M.A.; Mohammed, A.F.; Salem, O.I.; Gomaa, H.A.; Youssif, B.G. New 1, 3, 4-oxadiazoles linked with the 1, 2, 3-triazole moiety as antiproliferative agents targeting the EGFR tyrosine kinase. Arch. Pharm. 2022, 355, 2200009. [Google Scholar] [CrossRef] [PubMed]
- Jejurikar, B.L.; Rohane, S.H. Drug designing in discovery studio. Indian J. 2021, 14, 135–138. [Google Scholar]
- Ibrahim, T.S.; Bokhtia, R.M.; Al-Mahmoudy, A.M.; Taher, E.S.; AlAwadh, M.A.; Elagawany, M.; Abdel-Aal, E.H.; Panda, S.; Gouda, A.M.; Asfour, H.Z.; et al. Design, synthesis and biological evaluation of novel 5-((substituted quinolin-3-yl/1-naphthyl) methylene)-3-substituted imidazolidin-2, 4-dione as HIV-1 fusion inhibitors. Bioorganic Chem. 2020, 99, 103782. [Google Scholar] [CrossRef] [PubMed]
- Shaykoon, M.S.; Marzouk, A.A.; Soltan, O.M.; Wanas, A.S.; Radwan, M.M.; Gouda, A.M.; Youssif, B.G.; Abdel-Aziz, M. Design, synthesis and antitrypanosomal activity of heteroaryl-based 1, 2, 4-triazole and 1, 3, 4-oxadiazole derivatives. Bioorganic Chem. 2020, 100, 103933. [Google Scholar] [CrossRef]
- Bhat, M.A.; Tüzün, B.; Alsaif, N.A.; Khan, A.A.; Naglah, A.M. Synthesis, characterization, molecular modeling against EGFR target and ADME/T analysis of novel purine derivatives of sulfonamides. J. Mol. Struct. 2022, 1257, 132600. [Google Scholar] [CrossRef]
- Umar, A.B.; Uzairu, A.; Shallangwa, G.A.; Uba, S. QSAR modelling and molecular docking studies for anti-cancer compounds against melanoma cell line SK-MEL-2. Heliyon 2020, 6, e03640. [Google Scholar] [CrossRef]
- Wu, Z.; Lei, T.; Shen, C.; Wang, Z.; Cao, D.; Hou, T. ADMET evaluation in drug discovery. 19. Reliable prediction of human cytochrome P450 inhibition using artificial intelligence approaches. J. Chem. Inf. Model. 2019, 59, 4587–4601. [Google Scholar] [CrossRef]
- Abd El-Sattar, N.E.; Badawy, E.H.; AbdEl-Hady, W.H.; Abo-Alkasem, M.I.; Mandour, A.A.; Ismail, N.S. Design and synthesis of new CDK2 inhibitors containing thiazolone and thiazolthione scafold with apoptotic activity. Chem. Pharm. Bull. 2021, 69, 106–117. [Google Scholar] [CrossRef]
- Rai, H.; Barik, A.; Singh, Y.P.; Suresh, A.; Singh, L.; Singh, G.; Nayak, U.Y.; Dubey, V.K.; Modi, G. Molecular docking, binding mode analysis, molecular dynamics, and prediction of ADMET/toxicity properties of selective potential antiviral agents against SARS-CoV-2 main protease: An effort toward drug repurposing to combat COVID-19. Mol. Divers. 2021, 25, 1905–1927. [Google Scholar] [CrossRef]
- Roy, P.P.; Roy, K. QSAR Studies of CYP2D6 Inhibitor Aryloxypropanolamines Using 2D and 3D Descriptors. Chem. Biol. Drug Des. 2009, 73, 442–455. [Google Scholar] [CrossRef]
- Xia, X.; Maliski, E.G.; Gallant, P.; Rogers, D. Classification of Kinase Inhibitors Using a Bayesian Model. J. Med. Chem. 2004, 47, 4463–4470. [Google Scholar] [CrossRef] [PubMed]
- Goodrnan, G.; Wilson, R. Comparison of the Dependence of the TD50 on Maximum Tolerated Dose for Mutagens and Nonmutagens. Risk Anal. 1992, 12, 525–533. [Google Scholar] [CrossRef] [PubMed]
- Gonella Diaza, R.; Manganelli, S.; Esposito, A.; Roncaglioni, A.; Manganaro, A.; Benfenati, E. Comparison of in silico tools for evaluating rat oral acute toxicity. SAR QSAR Environ. Res. 2015, 26, 1–27. [Google Scholar] [CrossRef]
- Wilhelmus, K.R. The Draize Eye Test. Surv. Ophthalmol. 2001, 45, 493–515. [Google Scholar] [CrossRef] [PubMed]










| Compound | Cell Viability % |
|---|---|
| 7 | 90 |
| 8 | 89 |
| 9 | 96 |
| 10 | 88 |
| 11 | 91 |
| 12 | 86 |
| 13 | 87 |
| 14 | 89 |
| 15 | 87 |
| 16 | 89 |
| 17 | 89 |
| 18 | 90 |
| 19 | 91 |
| 20 | 91 |
| 21 | 87 |
| Doxorubicin | a ND |
| Comp. | Antiproliferative Activity a IC50 ± SEM (µM) | ||||
|---|---|---|---|---|---|
| b A-549 | c MCF-7 | d Panc-1 | e HT-29 | f Average IC50(GI50) | |
| 7 | 9.20 ± 0.80 | 9.10 ± 0.80 | 9.30 ± 0.80 | 9.80 ± 0.90 | 9.30 |
| 8 | 1.50 ± 0.10 | 1.40 ± 0.10 | 1.70 ± 0.10 | 1.70 ± 0.10 | 1.60 |
| 9 | 1.80 ± 0.10 | 1.60 ± 0.10 | 2.00 ± 0.10 | 2.00 ± 0.10 | 1.80 |
| 10 | 2.40 ± 0.20 | 2.20 ± 0.45 | 2.60 ± 0.20 | 2.70 ± 0.20 | 2.50 |
| 11 | 3.70 ± 0.30 | 3.60 ± 0.30 | 3.80 ± 0.30 | 4.00 ± 0.30 | 3.80 |
| 12 | 7.50 ± 0.60 | 7.20 ± 0.70 | 7.80 ± 0.70 | 7.70 ± 0.70 | 7.50 |
| 13 | 3.20 ± 0.30 | 3.10 ± 0.30 | 3.40 ± 0.30 | 3.50 ± 0.30 | 3.30 |
| 14 | 4.10 ± 0.40 | 3.90 ± 0.40 | 4.20 ± 0.40 | 4.20 ± 0.40 | 4.10 |
| 15 | 4.70 ± 0.40 | 4.60 ± 0.40 | 5.00 ± 0.40 | 4.90 ± 0.40 | 4.80 |
| 16 | 4.80 ± 0.50 | 4.70 ± 0.40 | 5.10 ± 0.50 | 5.10 ± 0.50 | 4.90 |
| 17 | 8.40 ± 0.70 | 8.10 ± 0.70 | 8.90 ± 0.70 | 9.00 ± 0.70 | 8.60 |
| 18 | 1.10 ± 0.10 | 1.00 ± 0.10 | 1.30 ± 0.10 | 1.30 ± 0.10 | 1.20 |
| 19 | 1.30 ± 0.10 | 1.20 ± 0.08 | 1.60 ± 0.10 | 1.60 ± 0.10 | 1.40 |
| 20 | 2.00 ± 0.10 | 1.80 ± 0.10 | 2.10 ± 0.10 | 2.10 ± 0.10 | 2.00 |
| 21 | 2.10 ± 0.20 | 1.90 ± 0.10 | 2.20 ± 0.20 | 2.20 ± 0.10 | 2.10 |
| Doxorubicin | 1.20 ± 0.10 | 0.90± 0.10 | 1.40 ± 0.10 | 1.00 ± 0.10 | 1.10 |
| Compound | EGFR Inhibition a IC5 ± SEM (nM) | BRAF Inhibition IC50 ± SEM (nM) |
|---|---|---|
| 8 | 160 ± 12 | 220 ± 15 |
| 9 | 190 ± 15 | 290 ± 20 |
| 18 | 110 ± 10 | 140 ± 10 |
| 19 | 140 ± 11 | 190 ± 12 |
| Erlotinib | 80 ± 5 | 60 ± 5 |
| Comp. ID | PSA | PPB a | Absorption Level b | CYP2D6 Prediction c | BBB Level d | Solubility Level e | AlogP98 |
|---|---|---|---|---|---|---|---|
| 7 | 113.584 | True | 2 | False | 4 | 2 | 5.009 |
| 8 | 122.514 | True | 2 | False | 4 | 2 | 4.992 |
| 9 | 113.584 | True | 3 | False | 4 | 1 | 5.673 |
| 10 | 113.584 | True | 2 | False | 4 | 1 | 5.757 |
| 11 | 113.584 | True | 2 | False | 4 | 2 | 5.214 |
| 12 | 115.133 | False | 3 | False | 4 | 2 | 5.361 |
| 13 | 124.063 | False | 3 | False | 4 | 2 | 5.345 |
| 14 | 115.133 | True | 2 | False | 4 | 1 | 6.026 |
| 15 | 115.133 | False | 2 | False | 4 | 1 | 6.11 |
| 16 | 115.133 | True | 2 | False | 4 | 2 | 5.567 |
| 17 | 115.133 | False | 1 | False | 4 | 2 | 4.402 |
| 18 | 124.063 | False | 2 | False | 4 | 2 | 4.385 |
| 19 | 115.133 | True | 2 | False | 4 | 2 | 5.066 |
| 20 | 115.133 | False | 2 | False | 4 | 2 | 5.15 |
| 21 | 115.133 | True | 2 | False | 4 | 2 | 4.607 |
| Erlotinib | 70.844 | True | 0 | False | 1 | 2 | 4.299 |
| Comp. ID | FDA Rodent Carcinogenicity (Mouse- Female) | Rat Maximum Tolerated Dose (Feed) a | Rat Oral LD50 a | Ocular Irritancy | Skin Irritancy |
|---|---|---|---|---|---|
| 7 | Non-Carcinogen | 0.0306 | 0.592702 | Mild | Non-Irritant |
| 8 | Non-Carcinogen | 0.0164 | 0.63625 | Mild | Non-Irritant |
| 9 | Non-Carcinogen | 0.0367 | 0.686439 | Mild | Non-Irritant |
| 10 | Non-Carcinogen | 0.0236 | 0.912908 | Mild | Non-Irritant |
| 11 | Non-Carcinogen | 0.0400 | 0.357337 | Mild | Non-Irritant |
| 12 | Non-Carcinogen | 0.0239 | 1.5471 | Mild | Non-Irritant |
| 13 | Non-Carcinogen | 0.0127 | 0.806376 | Mild | Non-Irritant |
| 14 | Non-Carcinogen | 0.0285 | 0.737159 | Mild | Non-Irritant |
| 15 | Non-Carcinogen | 0.0182 | 0.974688 | Mild | Non-Irritant |
| 16 | Non-Carcinogen | 0.0311 | 0.384654 | Mild | Non-Irritant |
| 17 | Non-Carcinogen | 0.0251 | 0.719247 | Mild | Non-Irritant |
| 18 | Non-Carcinogen | 0.0134 | 0.582941 | Mild | Non-Irritant |
| 19 | Non-Carcinogen | 0.0300 | 0.533142 | Moderate-Severe | Non-Irritant |
| 20 | Non-Carcinogen | 0.0192 | 0.707879 | Moderate-Severe | Non-Irritant |
| 21 | Non-Carcinogen | 0.0327 | 0.277722 | Moderate-Severe | Non-Irritant |
| Erlotinib | Non-Carcinogen | 0.0730 | 0.534347 | Mild | Non-Irritant |
Disclaimer/Publisher’s Note: The statements, opinions and data contained in all publications are solely those of the individual author(s) and contributor(s) and not of MDPI and/or the editor(s). MDPI and/or the editor(s) disclaim responsibility for any injury to people or property resulting from any ideas, methods, instructions or products referred to in the content. |
© 2023 by the authors. Licensee MDPI, Basel, Switzerland. This article is an open access article distributed under the terms and conditions of the Creative Commons Attribution (CC BY) license (https://creativecommons.org/licenses/by/4.0/).
Share and Cite
Al-Wahaibi, L.H.; Hisham, M.; Abou-Zied, H.A.; Hassan, H.A.; Youssif, B.G.M.; Bräse, S.; Hayallah, A.M.; Abdel-Aziz, M. Quinazolin-4-one/3-cyanopyridin-2-one Hybrids as Dual Inhibitors of EGFR and BRAFV600E: Design, Synthesis, and Antiproliferative Activity. Pharmaceuticals 2023, 16, 1522. https://doi.org/10.3390/ph16111522
Al-Wahaibi LH, Hisham M, Abou-Zied HA, Hassan HA, Youssif BGM, Bräse S, Hayallah AM, Abdel-Aziz M. Quinazolin-4-one/3-cyanopyridin-2-one Hybrids as Dual Inhibitors of EGFR and BRAFV600E: Design, Synthesis, and Antiproliferative Activity. Pharmaceuticals. 2023; 16(11):1522. https://doi.org/10.3390/ph16111522
Chicago/Turabian StyleAl-Wahaibi, Lamya H., Mohamed Hisham, Hesham A. Abou-Zied, Heba A. Hassan, Bahaa G. M. Youssif, Stefan Bräse, Alaa M. Hayallah, and Mohamed Abdel-Aziz. 2023. "Quinazolin-4-one/3-cyanopyridin-2-one Hybrids as Dual Inhibitors of EGFR and BRAFV600E: Design, Synthesis, and Antiproliferative Activity" Pharmaceuticals 16, no. 11: 1522. https://doi.org/10.3390/ph16111522
APA StyleAl-Wahaibi, L. H., Hisham, M., Abou-Zied, H. A., Hassan, H. A., Youssif, B. G. M., Bräse, S., Hayallah, A. M., & Abdel-Aziz, M. (2023). Quinazolin-4-one/3-cyanopyridin-2-one Hybrids as Dual Inhibitors of EGFR and BRAFV600E: Design, Synthesis, and Antiproliferative Activity. Pharmaceuticals, 16(11), 1522. https://doi.org/10.3390/ph16111522

