A Comparative Study of Serum Pharmacochemistry of Kai-Xin-San in Normal and AD Rats Using UPLC-LTQ-Orbitrap-MS
Abstract
1. Introduction
2. Results
2.1. Assessment of the AD Rat Model
2.1.1. General Behavioral Observations
2.1.2. Morris Water Maze Test
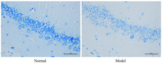
2.1.3. Histomorphology of the Hippocampus
2.2. Acquisition of Chromatograms of Biological Samples
2.3. Multivariate Statistical Analysis
2.4. Analysis and Identification of KXS Components in the Blood
2.5. Identification of the Prototype Components
2.6. Identification of Metabolites
3. Discussion
4. Materials and Methods
4.1. Materials
4.2. Method
4.2.1. Preparation of 70% Ethanol Extract of KXS
4.2.2. Sample Solution
4.2.3. AD Rat Model
4.2.4. Indicator Detection
Observation of General Behavior
Morris Water Maze Test
Observation of Pathological Changes in the Hippocampal CA1 Region with Nissl Staining
4.2.5. Drug Administration and Sample Collection
4.2.6. Handling of Serum Samples
4.2.7. Chromatographic Conditions
4.2.8. MS Conditions
4.2.9. Data Handling and Analysis
5. Conclusions
Supplementary Materials
Author Contributions
Funding
Institutional Review Board Statement
Informed Consent Statement
Data Availability Statement
Conflicts of Interest
References
- Yi, T.D.; Li, Y.L.; Tan, Z.Q.; Yang, R.L.; Gang, S.K.; Yuan, Z.Y. Relation textual research between effect variation and dosage of famous classical formula Kai-xin-san. Chin. J. Exp. Tradit. Med. Formulae 2021, 27, 24–33. [Google Scholar]
- Wu, Q.F. Analysis of 50 cases of vascular dementia treated from theory of toxin damaging the brain collateral. J. New Chin. Med. 2021, 53, 32–35. [Google Scholar]
- Bao, Z.X.; Zhao, G.P.; Sun, W.; Chen, B.J. Clinical curative effects of Kai-xin-san on depression with mild or moderate degree. J. Chin. Arch. Tradit. Chin. Med. 2011, 29, 987–988. [Google Scholar]
- Liu, C.; Zhang, A.H.; Yan, G.L.; Shi, H.; Sun, H.; Han, Y.; Zhou, Y.; Wang, X.J. High-throughput ultra-high performance liquid chromatography coupled to quadrupole time-of-flight mass spectrometry method for the rapid analysis and characterization of multiple constituents of Radix Polygalae. J. Sep. Sci. 2017, 40, 663–670. [Google Scholar] [CrossRef] [PubMed]
- Ling, Y.; Chen, M.C.; Wang, K.; Sun, Z.L.; Li, Z.X.; Wu, B.; Huang, C.G. Systematic screening and characterization of the major bioactive components of Poriacocos and their metabolites in rats by LC-ESI-MS(n). J. Biochem. Chromatogr. 2012, 26, 1109–1117. [Google Scholar] [CrossRef]
- Zhang, X.W.; Li, Q.; Lv, C.X.; Xu, H.R.; Liu, X.J.; Sui, Z.Y.; Bi, K.S. Characterization of multiple constituents in Kai-Xin-San prescription and rat plasma after oral administration by liquid chromatography with quadrupole time-of-flight tandem mass spectrometry. J. Sep. Sci. 2015, 38, 2068–2075. [Google Scholar] [CrossRef]
- Wang, X.T.; Liu, J.; Yang, X.M.; Zhang, Q.; Zhang, Y.W.; Li, Q.; Bi, K.S. Development of a systematic strategy for the global identification and classification of the chemical constituents and metabolites of Kai-Xin-San based on liquid chromatography with quadrupole time-of-flight mass spectrometry combined with multiple data-processing approaches. J. Sep. Sci. 2018, 41, 2672–2680. [Google Scholar]
- Dong, W.R.; Ding, Y.G.; Lei, J.; Lu, F.; Liu, S.M.; Liu, J.H. Comparative study on serum pharmacochemistry of Gardenia jasminoides under physiological and pathological status. J. Chin. Tradit. Herbal Drugs 2011, 42, 2270–2274. [Google Scholar]
- Shi, Y.H.; Yang, H.; Ran, H.F.; Chen, H.; Zhang, J.F.; Xue, Q.; Feng, S.; Xu, X.Y. Analysis of blood components of Yougui Yin in normal rats and rats with kidney deficiency caused by adenine based on UPLC-MS technology. China J. Chin. Mater. Med. 2021, 46, 2287–2297. [Google Scholar]
- Wei, F.T.; Chen, H.; Qiao, R.; Zhang, M.; Zhong, M.Y.; Zhang, W.L.; Yuan, J.B. Identification of prototype compounds and their metabolites in rat plasma after oral administration of aurantii fructus extract by UPLC-Q-TOF/MS. Chin. J. Exp. Tradit. Med. Formulae 2020, 26, 161–172. [Google Scholar]
- Yuan, M.; Sun, G.D.; Liu, H.S.; Huo, J.H.; Wang, W.M. Therapeutic material basis of Daqinglong Decoction: Based on serum pharmacochemistry and network pharmacology. China J. Chin. Mater. Med. 2022, 47, 3876–3886. [Google Scholar]
- Yuan, J.B.; Chen, Y.; Liang, J.; Wang, C.Z.; Liu, X.F.; Yan, Z.H.; Tang, Y.; Li, J.K.; Yuan, C.S. Component analysis and target cell-based neuroactivity screening of Panax ginseng by ultra-performance liquid chromatography coupled with quadrupole-time-of-flight mass spectrometry. J. Chromatogr. B 2016, 1038, 1–11. [Google Scholar] [CrossRef] [PubMed]
- Yu, L.D.; Wei, F.T.; Liang, J.; Ren, G.; Liu, X.F.; Wang, C.Z.; Yuan, J.B.; Zeng, J.X.; Luo, Y.; Bi, Y.; et al. Target Molecular-Based Neuroactivity Screening and Analysis of Panax ginseng by Affinity Ultrafiltration, UPLC-QTOF-MS and Molecular Docking. Am. J. Chin. Med. 2019, 47, 1345–1363. [Google Scholar] [CrossRef] [PubMed]
- Li, T.; Zhou, Z.Z.; Zhang, K.; Ma, W.; Chen, W.; Tu, P.F.; Li, J.; Song, Q.Q.; Song, Y.L. Direct infusion-tandem mass spectrometry combining with data mining strategies enables rapid chemome characterization of medicinal plants: A case study of Polygala tenuifolia. J. Pharm. Biomed. Anal. 2021, 204, 114281. [Google Scholar] [CrossRef] [PubMed]
- Gao, H.; Gao, X.L.; Zhang, Q.; Cui, J.Q.; Ye, X.D.; Peng, L.Z. Analysis of composition changes of polygalae radix before and after processing based on UPLC-LTQ-Orbitrap MS. Tradit. Chin. Drug Res. Clin. Pharm. 2021, 32, 1845–1854. [Google Scholar]
- Feng, G.F.; Liu, S.; Pi, Z.F.; Song, F.R.; Liu, Z.Q. Comprehensive characterization of in vivo metabolic profile of Polygalae radix based on ultra-high-performance liquid chromatography-tandem mass spectrometry. J. Pharm. Biomed. Anal. 2019, 165, 173–181. [Google Scholar] [CrossRef]
- Wang, W.H.; Dong, H.J.; Yan, R.Y.; Li, H.; Li, P.Y.; Chen, P.; Yang, B.; Wang, Z.M. Comparative study of lanostane-type triterpene acids in different parts of Poriacocos (Schw.) Wolf by UHPLC-Fourier transform MS and UHPLC-triple quadruple MS. J. Pharm. Biomed. Anal. 2015, 102, 203–214. [Google Scholar] [CrossRef]
- Zhang, Z.; Teng, Y.R.; Li, Z.Y.; Wu, W.; Liu, S.Y. Pharmacokinetic and metabolic studies of ginsenoside Rb2 in rats. Chin. J. Anal Chem. 2017, 45, 191–198. [Google Scholar]
- Zhao, Q.L.; Bian, X.K.; Qian, D.W.; Su, S.L.; Guo, S.; Wang, T.J.; Duan, J.N. Analysis of metabolites in primary dysmenorrhea rats plasma, bile, urine and feces after administration of Guizhi Fuling capsules. Chin. J. Pharm. Anal. 2021, 41, 51–63. [Google Scholar]
- Li, H.R.; Dong, P.P.; Li, H.J.; Xu, J.; Wang, H.; Cui, Y.F.; Sun, Z.Q.; Gao, P.; Zhang, J.Y. UHPLC-Q-Exactive Orbitrap MS/MS-based rapid identification of chemical components in substance benchmark of Kai-xin-san. China J. Chin. Mater. Med. 2022, 47, 938–950. [Google Scholar]
- Breijyeh, Z.; Karaman, R. Comprehensive Review on Alzheimer’s Disease: Causes and Treatment. Molecules 2020, 25, 5789. [Google Scholar] [CrossRef] [PubMed]
- Lv, C.X.; Li, Q.; Zhang, Y.W.; Sui, Z.Y.; He, B.S.; Xu, H.R.; Yin, Y.D.; Chen, X.H.; Bi, K.S. A UFLC-MS/MS method with a switching ionization mode for simultaneous quantitation of polygalaxanthone III, four ginsenosides and tumulosic acid in rat plasma: Application to a comparative pharmacokinetic study in normal and Alzheimer’s disease rats. J. Mass Spectrom. 2013, 48, 904–913. [Google Scholar] [CrossRef] [PubMed]
- Shah, V.K.; Choi, J.J.; Han, J.Y.; Lee, M.K.; Hong, J.T.; Oh, K.W. Pachymic Acid Enhances Pentobarbital-Induced Sleeping Behaviors via GABAA-ergic Systems in Mice. J. Biomol. Ther. 2014, 22, 314–320. [Google Scholar] [CrossRef] [PubMed]
- Sang, X.X.; Yang, Y.; Tang, X.L.; Jiang, Y.Y.; Fang, F. Effects of oligosaccharide esters of polygala tenuifolia on the injury of human neuroblastoma SH-SY5Y cells induced by Aβ25-35 fragment. Chin. Pharm. J. 2018, 53, 876–881. [Google Scholar]
- Feng, G.F.; Li, S.Z.; Liu, S.; Song, F.R.; Pi, Z.F.; Liu, Z.Q. Targeted Screening Approach to Systematically Identify the Absorbed Effect Substances of Poriacocos in Vivo Using Ultrahigh Performance Liquid Chromatography Tandem Mass Spectrometry. J. Agric. Food Chem. 2018, 66, 8319–8327. [Google Scholar] [CrossRef]
- Zhou, Q.; Xu, X.; Zeng, S. The influence of disease patterns on human drug metabolism. Chin. Pharm. J. 2005, 40, 1845–1848. [Google Scholar]
- Guo, Y.P.; Chen, M.Y.; Shao, L.; Zhang, W.; Rao, T.; Zhou, H.H.; Huang, W.H. Quantification of Panax notoginseng saponins metabolites in rat plasma with in vivo gut microbiota-mediated biotransformation by HPLC-MS/MS. Chin. J. Nat. Med. 2019, 17, 231–240. [Google Scholar] [CrossRef]
- Wang, X.F.; Chen, X.; Tang, Y.; Wu, J.M.; Qin, D.L.; Yu, L.; Yu, C.L.; Zhou, X.G.; Wu, A.G. The therapeutic potential of plant polysaccharides in metabolic diseases. Pharmaceuticals 2022, 15, 1329. [Google Scholar] [CrossRef]
- Guo, Y.P.; Shao, L.; Chen, M.Y.; Qiao, R.F.; Zhang, W.; Yuan, J.B.; Huang, W.H. In Vivo Metabolic Profiles of Panax notoginseng Saponins Mediated by Gut Microbiota in Rats. J. Agric. Food Chem. 2020, 68, 6835–6844. [Google Scholar] [CrossRef]
- Wang, H.Y.; Qi, L.W.; Wang, C.-Z.; Li, P. Bioactivity enhancement of herbal supplements by intestinal microbiota focusing on ginsenosides. Am. J. Chin. Med. 2011, 39, 1103–1115. [Google Scholar] [CrossRef]
- Cao, C.; Xiao, J.Y.; Liu, M.Q.; Ge, Z.S.; Huang, R.J.; Qi, M.Z.; Zhu, H.L.; Zhu, Y.; Duan, J.A. Active components, derived from Kai-xin-san, a herbal formula, increase the expressions of neurotrophic factor NGF and BDNF on mouse astrocyte primary cultures via cAMP-dependent signaling pathway. J. Ethnopharmacol. 2018, 224, 554–562. [Google Scholar] [CrossRef] [PubMed]
- Sun, Y.F.; He, Y.; Liu, S.X.; Gao, H.X.; Pi, Z.F.; Song, F.R.; Liu, Z.Q.; Liu, S. Comparative pharmacokinetics of Ding-Zhi-Xiao-Wan preparation and its single herbs in rats by using a putative multiple-reaction monitoring UPLC-MS/MS method. J. Phytochem. Anal. 2021, 32, 362–374. [Google Scholar] [CrossRef] [PubMed]










| No. | Compound | tR/min | Formula | Measured Mass (m/z) | Mass Error/ppm | Ion Addition | Fragment Ions (m/z) | * Origin | Group | Reference |
|---|---|---|---|---|---|---|---|---|---|---|
| P1 | Polygalaxanthone VI | 10.69 | C23H26O12 | 493.1372 | 4.2 | [M−H]− | 317.0646, 302.0414, 175.0241 | b | CG | [14] |
| P2 | Polygalaxanthone III | 10.88 | C25H28O15 | 567.1408 | 9.3 | [M−H]− | 399.0780, 345.0665, 315.0555, 272.0366 | b | CG | [6,15] |
| P3 | Ginsenoside Rg1 | 17.42 | C42H72O14 | 845.4913 | 2.3 | [M−H+HCOO]− | 799.4779, 637.4269, 619.4165, 475.3755 | a | CG | [12,13] |
| P4 | Ginsenoside Re | 17.45 | C48H82O18 | 991.5531 | 5.9 | [M−H+HCOO]− | 945.5341 | a | CG | [12,13] |
| P5 | Polygala saponin XXIX | 20.34 | C64H102O33 | 1397.616 | −5.0 | [M−H]− | 1367.5997, 1173.5590, 1143.5489, 717.2394, 455.3132, 425.3030 | b | CG | [14] |
| P6 | Desacyl senega saponin B | 21.04 | C59H94O29 | 1265.5863 | 4.4 | [M−H]− | 1235.5588, 907.4617, 455.3132, 425.3029 | b | CG/MG | [16] |
| P7 | Tenuifoliose O | 21.93 | C61H76O35 | 1367.4114 | 1.4 | [M−H]− | 1337.5914, 1187.5401, 1143.5506, 1113.5404, 1011.5094, 455.3137, 425.3033 | b | CG | [15] |
| P8 | Polygala saponin XXII | 22.23 | C58H92O28 | 1235.5753 | 4.1 | [M−H]− | 1205.5500, 1011.5091, 555.1890, 469.1530, 455.3136, 425.3033 | b | CG | [16] |
| P9 | Polygala saponin XXVIII | 22.95 | C53H84O24 | 1103.5313 | 3.0 | [M−H]− | 1073.5091, 455.3137, 425.3034 | b | CG | [15] |
| P10 | Ginsenoside Rb1 | 31.77 | C54H92O23 | 1153.6052 | 4.5 | [M−H+HCOO]− | 945.5345, 783.4833, 621.4320, 459.3811 | a | CG/MG | [12,13] |
| P11 | Ginsenoside Ro | 32.6 | C48H76O19 | 955.4943 | 3.6 | [M−H]− | 835.4423, 793.4320, 731.4323, 613.3702, 569.3808, 523.3756 | a | CG | [12,13] |
| P12 | Ginsenoside Rc | 33.23 | C53H90O22 | 1123.5935 | 3.6 | [M−H+HCOO]− | 945.5341, 783.4829, 765.4727, 621.4317, 459.3808 | a | CG/MG | [12,13] |
| P13 | Ginsenoside Ra1 | 33.51 | C58H98O26 | 1255.6407 | 7.1 | [M−H+HCOO]− | 1077.5756, 945.5345, 915.5244, 783.4832, 621.4321 | a | CG/MG | [6,16] |
| P14 | Ginsenoside Rb2 | 34.93 | C53H90O22 | 1123.5936 | 3.7 | [M−H+HCOO]− | 1079.5835, 945.5360, 915.5260, 783.4845, 765.4742, 621.4330, 459.3816 | a | CG/MG | [12,13] |
| P15 | Ginsenoside Rd | 39.24 | C48H82O18 | 991.5518 | 4.6 | [M−H+HCOO]− | 945.5352 | a | CG/MG | [12,13] |
| P16 | 16α-hydroxytrametenolic acid | 66.39 | C30H48O4 | 471.3501 | 4.6 | [M−H]− | 450.9847, 425.3457, 409.3143, 407.3351, 339.2720, 337.2563 | c | CG | [5,17] |
| P17 | Poricoic acid B | 66.81 | C30H44O5 | 483.3135 | 4.1 | [M−H]− | 465.3050, 411.2939, 409.2783, 367.3037, 255.2351 | c | CG/MG | [5,17] |
| P18 | Dehydrotumulosic acid | 67.49 | C31H48O4 | 483.3503 | 4.9 | [M−H]− | 465.3412, 437.3461, 421.2759, 405.3196, 337.2564, 255.2350 | c | CG | [5,17] |
| P19 | Tumulosic acid | 67.95 | C31H50O4 | 485.3642 | 1.2 | [M−H]− | 437.3463, 423.3305, 389.2730, 337.2565, 275.204 | c | CG/MG | [5,17] |
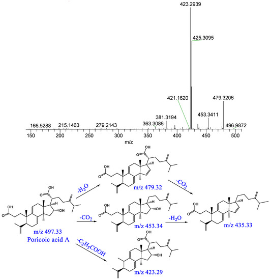
| P20 | Poricoic acid A | 68.13 | C31H46O5 | 497.33 | 5.6 | [M−H]− | 479.3206, 453.3411, 435.3304, 425.3094, 423.2938, 409.2780, 381.3194 | c | CG/MG | [5,17] |
| P21 | Polyporenic acid C | 69.33 | C31H46O4 | 481.3296 | −5.6 | [M−H]− | 481.3286, 463.3392, 437.2925, 419.2925, 403.2977 | c | CG | [5,17] |
| P22 | Poricoic acid Bisomer | 69.4 | C30H44O5 | 483.3151 | 7.4 | [M−H]− | 465.3056, 439.3259, 421.3151, 381.2835, 353.2518, 255.2351 | c | MG | [5,17] |
| P23 | 3-epidehydrotumulosic acid | 69.7 | C31H48O4 | 483.3501 | 4.5 | [M−H]− | 421.3147, 391.2287, 255.2350 | c | CG | [5,17] |
| P24 | 3β-hydroxylanosta-8,24-dien-21-oic acid | 70.04 | C30H48O3 | 455.3549 | 4.1 | [M−H]− | 455.17578, 434.9843, 372.2604, 338.2551, 297.2419, 279.2315 | c | CG | [5,17] |
| P25 | Poricoic acid A isomer | 73.98 | C31H46O5 | 497.3305 | 6.6 | [M−H]− | 455.3542, 437.3437, 401.2708 | c | CG | [5,17] |
| P26 | 25-hydroxy-3-epitumulosic acid | 74.02 | C31H50O4 | 485.361 | −5.3 | [M−H]− | 485.2794, 469.2485, 423.3243, 337.2518 | c | MG | \ |
| No. | Compound | tR/min | Formula | Measured Mass (m/z) | Mass Error/ppm | Ion Addition | Fragment Ions (m/z) | * Origin | Group | Reference |
|---|---|---|---|---|---|---|---|---|---|---|
| M1 | Hydrated ginsenoside Rb1 (+2H2O) | 31.73 | C54H96O25 | 1143.6194 | 2.3 | [M−H]− | 1107.5870, 945.5357, 783.4841, 621.4331 | a | CG | [7] |
| M2 | Oxidated ginsenoside Rb1 | 32.57 | C54H92O24 | 1123.5849 | −4.9 | [M−H]− | 1098.5273, 1075.5377, 648.0545, 478.92459 | a | CG | [7] |
| M3 | Ginsenoside F2 | 55.98 | C42H72O13 | 829.4915 | −4.1 | [M−H+HCOO]− | 783.4844, 621.4329, 459.3815 | a | CG/MG | [18] |
| M4 | Dehydrotumulosic acid hydroxylation | 59.54 | C31H48O5 | 499.3472 | 8.8 | [M−H]− | 481.3288, 455.3499, 437.3394, 421.3083, 371.2567 | c | CG | [19] |
| M5 | Tumulosic acid hydroxylation + desaturation | 59.87 | C31H48O5 | 499.3395 | −6.6 | [M−H]− | 481.3290, 453.3345, 437.3395, 421.3084, 371.2568, 313.2155 | c | CG | \ |
| M6 | Tumulosic acid hydroxylation | 61.08 | C31H50O5 | 501.3605 | 3.9 | [M−H]− | 483.3526, 453.3416, 439.3624, 423.3309, 373.2783, 339.2361, 275.2043 | c | CG | [19] |
| M7 | Dehydrotumulosic acid hydroxylation | 63.14 | C31H48O5 | 499.3392 | −7.2 | [M−H]− | 481.3292, 453.3343, 437.3032, 421.3085, 353.2465, 329.2104, 286.1924 | c | CG | [19] |
| M8 | Hydrated Pachymic acid | 63.22 | C33H54O6 | 527.3709 | −6.0 | [M−H-H2O]− | 528.3739, 481.3656, 465.3344, 413.2672 | c | MG | \ |
| M9 | Poricoic acid G dehydration + glycine conjugation | 63.43 | C32H47NO5 | 524.3392 | 2.0 | [M−H]− | 464.3157 | c | MG | \ |
| M10 | Dehydrotumulosic acid demethylation | 66.01 | C30H46O4 | 469.3302 | −4.4 | [M−H]− | 470.3327, 451.3188, 423.3241, 409.3085, 391.2983, 337.2517, 311.2000 | c | CG | \ |
| M11 | 16α-hydroxytrametenolic acid hydroxylation | 66.06 | C30H48O5 | 487.3406 | −4.5 | [M−H]− | 469.3288, 439.3186, 425.3031, 397.3085, 355.2619, 287.2001, 207.1744 | c | CG | [19] |
| M12 | Dehydrotumulosic acid desaturation | 66.65 | C31H46O4 | 481.3383 | 1.2 | [M−H]− | 481.3455, 463.3396, 437.3393, 391.2593, 335.2360, 271.1690 | c | CG | [19] |
| M13 | Poricoic acid B Glycine conjugation | 66.94 | C32H47NO6 | 540.336 | 5.5 | [M−H]− | 480.3139, 409.2397 | c | CG | [19] |
| M14 | Tumulosic acid demethylation | 67.29 | C30H48O4 | 471.3515 | 7.6 | [M−H]− | 453.3416, 423.3309, 409.3151, 389.3576, 375.2575, 357.2467, 323.2410, 261.1883 | c | CG/MG | \ |
| M15 | Poricoic acid G dehydration +deoxygenation + desaturation + glycine conjugation | 73.06 | C32H49NO3 | 494.3659 | 4.0 | [M−H]− | 433.3127, 295.3033, 196.0400 | c | MG | \ |
| M16 | Poricoic acid G oxidation + glycine conjugation | 73.66 | C32H49NO7 | 540.328 | −9.2 | [M−H−H2O]− | 481.2543, 255.2320 | c | MG | \ |
| M17 | Oxidated pachymic acid | 73.67 | C33H52O6 | 525.3548 | −7.0 | [M−H−H2O]− | 526.3585, 481.3656, 465.3344, 449.3034, 432.3006, 355.2257 | c | MG | \ |
| M18 | Dehydrotumulosic acetylation | 73.67 | C33H50O5 | 525.3548 | −7.0 | [M−H]− | 526.3585, 481.3656, 465.3344, 432.3006, 355.2257 | c | MG | \ |
| M19 | Poricoic acid G deoxidation(−2O) | 73.72 | C30H46O3 | 453.3351 | −5.0 | [M−H]− | 435.3237, 371.2565, 337.2515, 323.2360, 295.2261 | c | CG/MG | \ |
Disclaimer/Publisher’s Note: The statements, opinions and data contained in all publications are solely those of the individual author(s) and contributor(s) and not of MDPI and/or the editor(s). MDPI and/or the editor(s) disclaim responsibility for any injury to people or property resulting from any ideas, methods, instructions or products referred to in the content. |
© 2022 by the authors. Licensee MDPI, Basel, Switzerland. This article is an open access article distributed under the terms and conditions of the Creative Commons Attribution (CC BY) license (https://creativecommons.org/licenses/by/4.0/).
Share and Cite
Yang, L.; Liang, J.; Zheng, Q.; Zhou, L.; Xiong, Y.; Wang, H.; Yuan, J. A Comparative Study of Serum Pharmacochemistry of Kai-Xin-San in Normal and AD Rats Using UPLC-LTQ-Orbitrap-MS. Pharmaceuticals 2023, 16, 30. https://doi.org/10.3390/ph16010030
Yang L, Liang J, Zheng Q, Zhou L, Xiong Y, Wang H, Yuan J. A Comparative Study of Serum Pharmacochemistry of Kai-Xin-San in Normal and AD Rats Using UPLC-LTQ-Orbitrap-MS. Pharmaceuticals. 2023; 16(1):30. https://doi.org/10.3390/ph16010030
Chicago/Turabian StyleYang, Lin, Jian Liang, Qin Zheng, Lifen Zhou, Yongchang Xiong, Huijuan Wang, and Jinbin Yuan. 2023. "A Comparative Study of Serum Pharmacochemistry of Kai-Xin-San in Normal and AD Rats Using UPLC-LTQ-Orbitrap-MS" Pharmaceuticals 16, no. 1: 30. https://doi.org/10.3390/ph16010030
APA StyleYang, L., Liang, J., Zheng, Q., Zhou, L., Xiong, Y., Wang, H., & Yuan, J. (2023). A Comparative Study of Serum Pharmacochemistry of Kai-Xin-San in Normal and AD Rats Using UPLC-LTQ-Orbitrap-MS. Pharmaceuticals, 16(1), 30. https://doi.org/10.3390/ph16010030
