Inhibitors of O-Acetylserine Sulfhydrylase with a Cyclopropane-Carboxylic Acid Scaffold Are Effective Colistin Adjuvants in Gram Negative Bacteria
Abstract
:1. Introduction
2. Results and Discussion
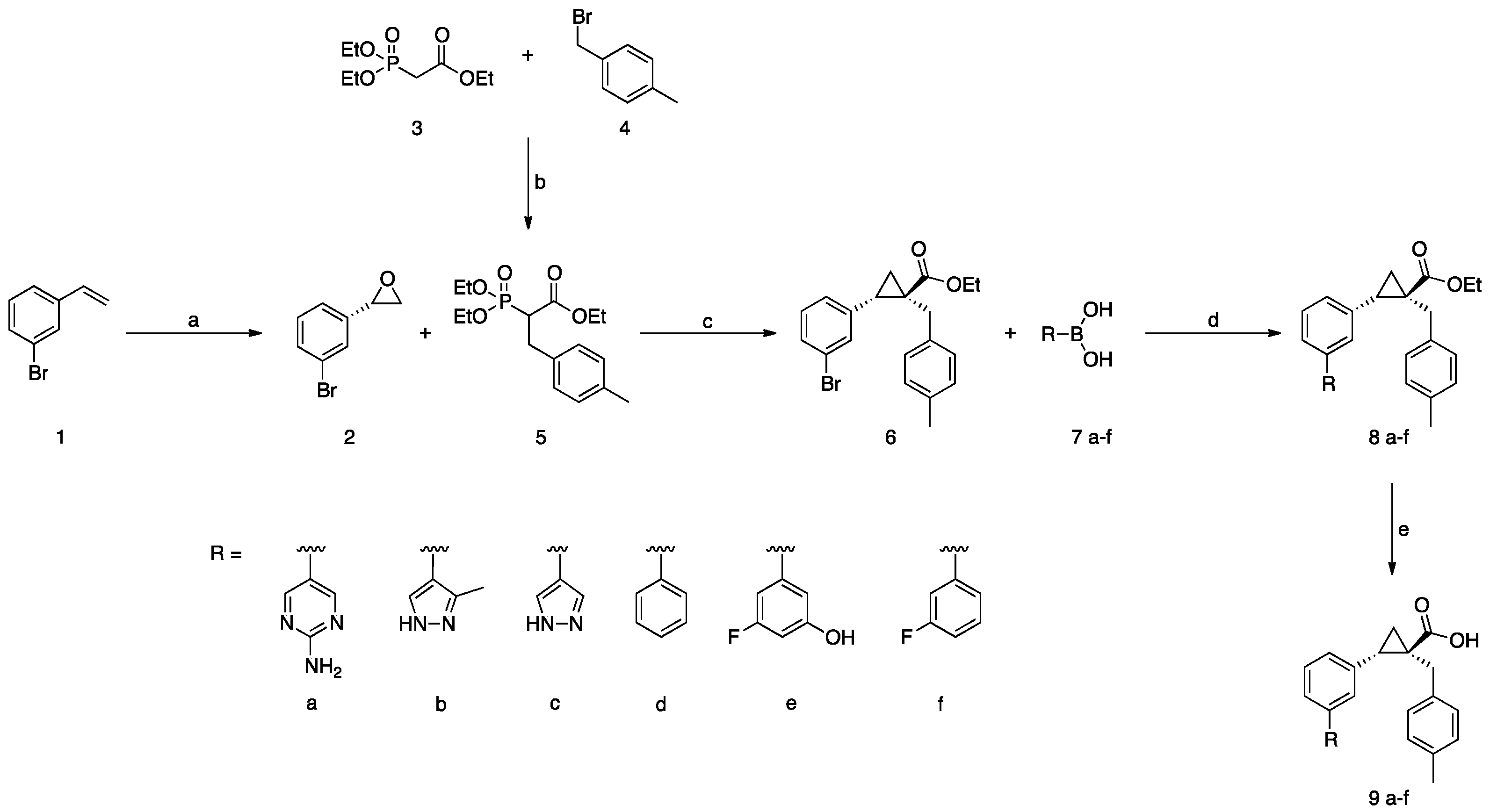
2.1. Chemistry
2.2. Biochemistry
2.3. Antimicrobial Activity
2.4. Cytotoxicity
2.5. Combination with Colistin
2.6. FIC Determination
2.7. StCysK and CysM Profiling and Comparison with 12h Chemical Inhibition
3. Materials and Methods
3.1. Chemistry
3.2. Protein Expression and Purification
3.3. Determination of Binding Affinity
3.4. Evaluation of MIC by Broth Microdilution Assays
3.5. Checkerboard Assays
3.6. Cytotoxicity Assay on MDBK Cells
Tested Bacterial Strains
- Escherichia coli ATCC 25922
- Salmonella enterica subsp. Enterica serovar Typhimurium ATCC 14028
- Klebsiella pneumoniae ATCC 13883
- Salmonella enterica subsp. Enterica serovar Typhimurium DW378 *
4. Conclusions
5. Patent
Supplementary Materials
Author Contributions
Funding
Institutional Review Board Statement
Informed Consent Statement
Data Availability Statement
Acknowledgments
Conflicts of Interest
References
- Aminov, R.I. A Brief History of the Antibiotic Era: Lessons Learned and Challenges for the Future. Front. Microbiol. 2010, 1, 134. [Google Scholar] [CrossRef] [PubMed] [Green Version]
- Prestinaci, F.; Pezzotti, P.; Pantosti, A. Antimicrobial Resistance: A Global Multifaceted Phenomenon. Pathog. Glob. Health 2015, 109, 309–318. [Google Scholar] [CrossRef] [PubMed] [Green Version]
- Murray, C.J.; Ikuta, K.S.; Sharara, F.; Swetschinski, L.; Aguilar, G.R.; Gray, A.; Han, C.; Bisignano, C.; Rao, P.; Wool, E.; et al. Global Burden of Bacterial Antimicrobial Resistance in 2019: A Systematic Analysis. Lancet 2022, 399, 629–655. [Google Scholar] [CrossRef]
- Tacconelli, E.; Carrara, E.; Savoldi, A.; Harbarth, S.; Mendelson, M.; Monnet, D.L.; Pulcini, C.; Kahlmeter, G.; Kluytmans, J.; Carmeli, Y.; et al. Discovery, Research, and Development of New Antibiotics: The WHO Priority List of Antibiotic-Resistant Bacteria and Tuberculosis. Lancet Infect. Dis. 2018, 18, 318–327. [Google Scholar] [CrossRef]
- Lim, C.; Takahashi, E.; Hongsuwan, M.; Wuthiekanun, V.; Thamlikitkul, V.; Hinjoy, S.; Day, N.P.; Peacock, S.J.; Limmathurotsakul, D. Epidemiology and Burden of Multidrug-Resistant Bacterial Infection in a Developing Country. eLife 2016, 5, e18082. [Google Scholar] [CrossRef]
- Goff, D.A.; Kullar, R.; Goldstein, E.J.C.; Gilchrist, M.; Nathwani, D.; Cheng, A.C.; Cairns, K.A.; Escandón-Vargas, K.; Villegas, M.V.; Brink, A.; et al. A Global Call from Five Countries to Collaborate in Antibiotic Stewardship: United We Succeed, Divided We Might Fail. Lancet Infect. Dis. 2017, 17, e56–e63. [Google Scholar] [CrossRef] [Green Version]
- Dadgostar, P. Antimicrobial Resistance: Implications and Costs. IDR 2019, 12, 3903–3910. [Google Scholar] [CrossRef] [Green Version]
- Adebisi, Y.A.; Alaran, A.J.; Okereke, M.; Oke, G.I.; Amos, O.A.; Olaoye, O.C.; Oladunjoye, I.; Olanrewaju, A.Y.; Ukor, N.A.; Lucero-Prisno, D.E. COVID-19 and Antimicrobial Resistance: A Review. Infect. Dis. 2021, 14, 117863372110338. [Google Scholar] [CrossRef]
- Brown, E.D.; Wright, G.D. Antibacterial Drug Discovery in the Resistance Era. Nature 2016, 529, 336–343. [Google Scholar] [CrossRef]
- Ventola, C.L. The Antibiotic Resistance Crisis. Pharm. Ther. 2015, 40, 277–283. [Google Scholar]
- Naylor, N.R.; Atun, R.; Zhu, N.; Kulasabanathan, K.; Silva, S.; Chatterjee, A.; Knight, G.M.; Robotham, J.V. Estimating the Burden of Antimicrobial Resistance: A Systematic Literature Review. Antimicrob. Resist. Infect. Control 2018, 7, 58. [Google Scholar] [CrossRef]
- Filho, F.M.; do Nascimento, A.P.B.; e Costa, M.d.O.C.; Merigueti, T.C.; de Menezes, M.A.; Nicolás, M.F.; dos Santos, M.T.; Carvalho-Assef, A.P.D.; da Silva, F.A.B. A Systematic Strategy to Find Potential Therapeutic Targets for Pseudomonas Aeruginosa Using Integrated Computational Models. Front. Mol. Biosci. 2021, 8, 728129. [Google Scholar] [CrossRef]
- Liu, X.; Xu, Y.; Li, S.; Wang, Y.; Peng, J.; Luo, C.; Luo, X.; Zheng, M.; Chen, K.; Jiang, H. In Silicotarget Fishing: Addressing a “Big Data” Problem by Ligand-Based Similarity Rankings with Data Fusion. J. Cheminform. 2014, 6, 33. [Google Scholar] [CrossRef] [Green Version]
- Brötz-Oesterhelt, H.; Sass, P. Postgenomic Strategies in Antibacterial Drug Discovery. Future Microbiol. 2010, 5, 1553–1579. [Google Scholar] [CrossRef] [Green Version]
- Otoupal, P.B.; Eller, K.A.; Erickson, K.E.; Campos, J.; Aunins, T.R.; Chatterjee, A. Potentiating Antibiotic Efficacy via Perturbation of Non-Essential Gene Expression. Commun. Biol. 2021, 4, 1267. [Google Scholar] [CrossRef]
- González-Bello, C. Antibiotic Adjuvants–A Strategy to Unlock Bacterial Resistance to Antibiotics. Bioorganic Med. Chem. Lett. 2017, 27, 4221–4228. [Google Scholar] [CrossRef]
- Wright, G.D. Antibiotic Adjuvants: Rescuing Antibiotics from Resistance. Trends Microbiol. 2016, 24, 862–871. [Google Scholar] [CrossRef]
- Melander, R.J.; Melander, C. The Challenge of Overcoming Antibiotic Resistance: An Adjuvant Approach? ACS Infect. Dis. 2017, 3, 559–563. [Google Scholar] [CrossRef]
- Kredich, N.M. Biosynthesis of Cysteine. EcoSal. Plus 2008, 3, 1. [Google Scholar] [CrossRef]
- Kessler, D. Enzymatic Activation of Sulfur for Incorporation into Biomolecules in Prokaryotes. FEMS Microbiol. Rev. 2006, 30, 825–840. [Google Scholar] [CrossRef] [Green Version]
- Huang, B.; Vetting, M.W.; Roderick, S.L. The Active Site of O-Acetylserine Sulfhydrylase Is the Anchor Point for Bienzyme Complex Formation with Serine Acetyltransferase. JB 2005, 187, 3201–3205. [Google Scholar] [CrossRef] [Green Version]
- Mozzarelli, A.; Bettati, S.; Campanini, B.; Salsi, E.; Raboni, S.; Singh, R.; Spyrakis, F.; Kumar, V.P.; Cook, P.F. The Multifaceted Pyridoxal 5′-Phosphate-Dependent O-Acetylserine Sulfhydrylase. Biochim. Et Biophys. Acta (BBA)-Proteins Proteom. 2011, 1814, 1497–1510. [Google Scholar] [CrossRef]
- Chattopadhyay, A.; Meier, M.; Ivaninskii, S.; Burkhard, P.; Speroni, F.; Campanini, B.; Bettati, S.; Mozzarelli, A.; Rabeh, W.M.; Li, L.; et al. Structure, Mechanism, and Conformational Dynamics of O-Acetylserine Sulfhydrylase from Salmonella Typhimurium: Comparison of A and B Isozymes. Biochemistry 2007, 46, 8315–8330. [Google Scholar] [CrossRef]
- Filutowicz, M.; Wiater, A.; Hulanicka, D. Delayed Inducibility of Sulphite Reductase in CysM Mutants of Salmonella Typhimurium Under Anaerobic Conditions. Microbiology 1982, 128, 1791–1794. [Google Scholar] [CrossRef] [PubMed] [Green Version]
- Hulanicka, M.D.; Hallquist, S.G.; Kredich, N.M.; Mojica-A, T. Regulation of O-Acetylserine Sulfhydrylase B by L-Cysteine in Salmonella Typhimurium. J. Bacteriol. 1979, 140, 141–146. [Google Scholar] [CrossRef] [Green Version]
- Tai, C.H.; Nalabolu, S.R.; Jacobson, T.M.; Minter, D.E.; Cook, P.F. Kinetic Mechanisms of the A and B Isozymes of O-Acetylserine Sulfhydrylase from Salmonella Typhimurium LT-2 Using the Natural and Alternate Reactants. Biochemistry 1993, 32, 6433–6442. [Google Scholar] [CrossRef]
- Tai, C.-H.; Cook, P.F. O-Acetylserine Sulfhydrylase. In Advances in Enzymology-and Related Areas of Molecular Biology; Purich, D.L., Ed.; John Wiley & Sons, Inc.: Hoboken, NJ, USA, 2006; pp. 185–234. [Google Scholar]
- Turnbull, A.L.; Surette, M.G. L-Cysteine Is Required for Induced Antibiotic Resistance in Actively Swarming Salmonella Enterica Serovar Typhimurium. Microbiology 2008, 154, 3410–3419. [Google Scholar] [CrossRef] [PubMed] [Green Version]
- Turnbull, A.L.; Surette, M.G. Cysteine Biosynthesis, Oxidative Stress and Antibiotic Resistance in Salmonella Typhimurium. Res. Microbiol. 2010, 161, 643–650. [Google Scholar] [CrossRef] [PubMed]
- Brunner, K.; Maric, S.; Reshma, R.S.; Almqvist, H.; Seashore-Ludlow, B.; Gustavsson, A.-L.; Poyraz, Ö.; Yogeeswari, P.; Lundbäck, T.; Vallin, M.; et al. Inhibitors of the Cysteine Synthase CysM with Antibacterial Potency against Dormant Mycobacterium Tuberculosis. J. Med. Chem. 2016, 59, 6848–6859. [Google Scholar] [CrossRef] [PubMed] [Green Version]
- Brunner, K.; Steiner, E.M.; Reshma, R.S.; Sriram, D.; Schnell, R.; Schneider, G. Profiling of in Vitro Activities of Urea-Based Inhibitors against Cysteine Synthases from Mycobacterium Tuberculosis. Bioorganic. Med. Chem. Lett. 2017, 27, 4582–4587. [Google Scholar] [CrossRef] [PubMed]
- Wallace, M.J.; Dharuman, S.; Fernando, D.M.; Reeve, S.M.; Gee, C.T.; Yao, J.; Griffith, E.C.; Phelps, G.A.; Wright, W.C.; Elmore, J.M.; et al. Discovery and Characterization of the Antimetabolite Action of Thioacetamide-Linked 1,2,3-Triazoles as Disruptors of Cysteine Biosynthesis in Gram-Negative Bacteria. ACS Infect. Dis. 2020, 6, 467–478. [Google Scholar] [CrossRef]
- Palde, P.B.; Bhaskar, A.; Pedró Rosa, L.E.; Madoux, F.; Chase, P.; Gupta, V.; Spicer, T.; Scampavia, L.; Singh, A.; Carroll, K.S. First-in-Class Inhibitors of Sulfur Metabolism with Bactericidal Activity against Non-Replicating M. Tuberculosis. ACS Chem. Biol. 2016, 11, 172–184. [Google Scholar] [CrossRef] [Green Version]
- Zeng, L.; Shi, T.; Zhao, Q.; Xie, J. Mycobacterium Sulfur Metabolism and Implications for Novel Drug Targets. Cell Biochem. Biophys. 2013, 65, 77–83. [Google Scholar] [CrossRef]
- Magalhães, J.; Franko, N.; Annunziato, G.; Welch, M.; Dolan, S.K.; Bruno, A.; Mozzarelli, A.; Armao, S.; Jirgensons, A.; Pieroni, M.; et al. Discovery of Novel Fragments Inhibiting O-Acetylserine Sulphhydrylase by Combining Scaffold Hopping and Ligand–Based Drug Design. J. Enzym. Inhib. Med. Chem. 2018, 33, 1444–1452. [Google Scholar] [CrossRef] [Green Version]
- Pieroni, M.; Annunziato, G.; Beato, C.; Wouters, R.; Benoni, R.; Campanini, B.; Pertinhez, T.A.; Bettati, S.; Mozzarelli, A.; Costantino, G. Rational Design, Synthesis, and Preliminary Structure–Activity Relationships of α-Substituted-2-Phenylcyclopropane Carboxylic Acids as Inhibitors of Salmonella Typhimurium O-Acetylserine Sulfhydrylase. J. Med. Chem. 2016, 59, 2567–2578. [Google Scholar] [CrossRef]
- Annunziato, G.; Spadini, C.; Franko, N.; Storici, P.; Demitri, N.; Pieroni, M.; Flisi, S.; Rosati, L.; Iannarelli, M.; Marchetti, M.; et al. Investigational Studies on a Hit Compound Cyclopropane–Carboxylic Acid Derivative Targeting O-Acetylserine Sulfhydrylase as a Colistin Adjuvant. ACS Infect. Dis. 2021, 7, 281–292. [Google Scholar] [CrossRef]
- Marchetti, M.; De Angelis, F.S.; Annunziato, G.; Costantino, G.; Pieroni, M.; Ronda, L.; Mozzarelli, A.; Campanini, B.; Cannistraro, S.; Bizzarri, A.R.; et al. A Competitive O-Acetylserine Sulfhydrylase Inhibitor Modulates the Formation of Cysteine Synthase Complex. Catalysts 2021, 11, 700. [Google Scholar] [CrossRef]
- Magalhães, J.; Annunziato, G.; Franko, N.; Pieroni, M.; Campanini, B.; Bruno, A.; Costantino, G. Integration of Enhanced Sampling Methods with Saturation Transfer Difference Experiments to Identify Protein Druggable Pockets. J. Chem. Inf. Model 2018, 58, 710–723. [Google Scholar] [CrossRef]
- Lai, W.I.; Leung, M.P.; Choy, P.Y.; Kwong, F.Y. Sterically Hindered Amination of Aryl Chlorides Catalyzed by a New Carbazolyl-Derived P,N-Ligand-Composed Palladium Complex. Synthesis 2019, 51, 2678–2686. [Google Scholar] [CrossRef] [Green Version]
- CLSI. Performance Standards for Antimicrobial Susceptibility Testing, 29th ed.; CLSI Supplement M100; Clinical and Laboratory Standards Institute: Wayne, PA, USA, 2019. [Google Scholar]
- Hall, M.J.; Middleton, R.F.; Westmacott, D. The Fractional Inhibitory Concentration (FIC) Index as a Measure of Synergy. J. Antimicrob. Chemother. 1983, 11, 427–433. [Google Scholar] [CrossRef]
- Cully, M. A Novel Antibiotic from a Bacterial Arms Race. Nat. Rev. Drug Discov. 2022, 21, 98. [Google Scholar] [CrossRef]
- Minrovic, B.M.; Jung, D.; Melander, R.J.; Melander, C. New Class of Adjuvants Enables Lower Dosing of Colistin Against Acinetobacter Baumannii. ACS Infect. Dis. 2018, 4, 1368–1376. [Google Scholar] [CrossRef] [PubMed]
- Barker, W.T.; Chandler, C.E.; Melander, R.J.; Ernst, R.K.; Melander, C. Tryptamine Derivatives Disarm Colistin Resistance in Polymyxin-Resistant Gram-Negative Bacteria. Bioorganic Med. Chem. 2019, 27, 1776–1788. [Google Scholar] [CrossRef]
- Kline, T.; Trent, M.S.; Stead, C.M.; Lee, M.S.; Sousa, M.C.; Felise, H.B.; Nguyen, H.V.; Miller, S.I. Synthesis of and Evaluation of Lipid A Modification by 4-Substituted 4-Deoxy Arabinose Analogs as Potential Inhibitors of Bacterial Polymyxin Resistance. Bioorganic Med. Chem. Lett. 2008, 18, 1507–1510. [Google Scholar] [CrossRef] [PubMed] [Green Version]
- Barker, W.T.; Nemeth, A.M.; Brackett, S.M.; Basak, A.K.; Chandler, C.E.; Jania, L.A.; Zuercher, W.J.; Melander, R.J.; Koller, B.H.; Ernst, R.K.; et al. Repurposing Eukaryotic Kinase Inhibitors as Colistin Adjuvants in Gram-Negative Bacteria. ACS Infect. Dis. 2019, 5, 1764–1771. [Google Scholar] [CrossRef]
- Shastry, R.P.; Dolan, S.K.; Abdelhamid, Y.; Vittal, R.R.; Welch, M. Purification and Characterisation of a Quorum Quenching AHL-Lactonase from the Endophytic Bacterium Enterobacter sp. CS66. FEMS Microbiol. Lett. 2018, 365, fny054. [Google Scholar] [CrossRef] [PubMed] [Green Version]
- Campanini, B.; Speroni, F.; Salsi, E.; Cook, P.F.; Roderick, S.L.; Huang, B.; Bettati, S.; Mozzarelli, A. Interaction of Serine Acetyltransferase with O-Acetylserine Sulfhydrylase Active Site: Evidence from Fluorescence Spectroscopy. Protein Sci. 2005, 14, 2115–2124. [Google Scholar] [CrossRef] [PubMed] [Green Version]
- Meletiadis, J.; Pournaras, S.; Roilides, E.; Walsh, T.J. Defining Fractional Inhibitory Concentration Index Cutoffs for Additive Interactions Based on Self-Drug Additive Combinations, Monte Carlo Simulation Analysis, and In Vitro-In Vivo Correlation Data for Antifungal Drug Combinations against Aspergillus Fumigatus. AAC 2010, 54, 602–609. [Google Scholar] [CrossRef] [Green Version]
- Donofrio, G.; Franceschi, V.; Capocefalo, A.; Cavirani, S.; Sheldon, I.M. Bovine Endometrial Stromal Cells Display Osteogenic Properties. Reprod. Biol. Endocrinol 2008, 6, 65. [Google Scholar] [CrossRef] [Green Version]






| Compound | Structure | KD (μM) | |
|---|---|---|---|
| OASS-A | OASS-B | ||
| 8a | ![]() | No binding | No binding |
| 9a | ![]() | 0.57 ± 0.16 | 1.29 ± 0.09 |
| 8b | ![]() | No binding | No binding |
| 9b | ![]() | 1.86 ± 0.76 | 2.63 ± 0.04 |
| 8c | ![]() | No binding | No binding |
| 9c | ![]() | 1.01 ± 0.38 | 3.05 ± 0.18 |
| 8d | ![]() | No binding | No binding |
| 9d | ![]() | 2.51 ± 0.61 | 6.8 ± 1.1 |
| 8e | ![]() | No binding | No binding |
| 9e | ![]() | 0.035 ± 0.003 | 0.61 ± 0.08 |
| 8f | ![]() | No binding | No binding |
| 9f | ![]() | 0.051 ± 0.004 | 1.45 ± 0.31 |
| 12g | ![]() | No binding | No binding |
| 13g | ![]() | 0.10 ± 0.01 | 3.86 ± 0.29 |
| 12h | ![]() | No binding | No binding |
| 13h | ![]() | 0.066 ± 0.005 | 3.37 ± 0.72 |
| 20i | ![]() | No binding | No binding |
| 21i | ![]() | 0.45 ± 0.09 | 83.8 ± 16.1 |
| 20j | ![]() | No binding | No binding |
| 21j | ![]() | 0.25 ± 0.06 | 23.6 ± 4.5 |
| Compound | MIC (μg/mL) | ||
|---|---|---|---|
| E.coli ATCC 25922 | S. Typhimurium ATCC14028 | K. pneumoniae ATCC13883 | |
| 8a | >512 | >512 | >512 |
| 9a | >512 | >512 | >512 |
| 8b | >512 | >512 | >512 |
| 9b | >512 | >512 | >512 |
| 8c | >512 | >512 | >512 |
| 9c | >512 | >512 | >512 |
| 8d | >512 | >512 | >512 |
| 9d | >512 | >512 | >512 |
| 8e | >512 | >512 | >512 |
| 9e | >512 | >512 | >512 |
| 8f | >512 | >512 | >512 |
| 9f | >512 | >512 | >512 |
| 12g | >512 | >512 | >512 |
| 13g | >512 | >512 | >512 |
| 12h | >512 | >512 | >512 |
| 13h | >512 | >512 | >512 |
| 20i | 40 | 36 | 32 |
| 21i | >512 | >512 | >512 |
| 20j | >512 | >512 | >512 |
| 21j | >512 | >512 | >512 |
| Compound (8 μg/mL) | MIC Colistin | FIC Index | ||||
|---|---|---|---|---|---|---|
| E. coli | S. Typhimurium | K. pneumoniae | E. coli | S. Typhimurium | K. pneumoniae | |
| - | 0.39 ± 0.25 | 0.53 ± 0.19 | 4.00 ± 1.73 | - | - | - |
| 12h | 0.122 ± 0.08 | 0.101 ± 0.07 | 8.00 ± 0.0 | 0.33 (synergy) | 0.21 (synergy) | 2.01 (indifference) |
| 13h | 0.18 ± 0.06 | 0.468 ± 0.01 | 3.33 ± 1.0 | 0.48 (synergy) | 0.90 (additivity) | 0.85 (additivity) |
| Bacterial Strain | MIC 12h (μg/mL) | MIC Colistin (μg/mL) | 12h (μg/mL) | MIC Colistin (μg/mL) |
|---|---|---|---|---|
| S. Typhimurium ATCC14028 | >512 | 0.53 ± 0.19 | 32 | 0.125 ± 0.08 |
| S. Typhimurium DW378 | >512 | 0.141 ± 0.09 | - | 0.141 ± 0.09 |
| 32 | 0.141 ± 0.09 |
Publisher’s Note: MDPI stays neutral with regard to jurisdictional claims in published maps and institutional affiliations. |
© 2022 by the authors. Licensee MDPI, Basel, Switzerland. This article is an open access article distributed under the terms and conditions of the Creative Commons Attribution (CC BY) license (https://creativecommons.org/licenses/by/4.0/).
Share and Cite
Annunziato, G.; Spadini, C.; Marchetti, M.; Franko, N.; Pavone, M.; Iannarelli, M.; Bruno, A.; Pieroni, M.; Bettati, S.; Cabassi, C.S.; et al. Inhibitors of O-Acetylserine Sulfhydrylase with a Cyclopropane-Carboxylic Acid Scaffold Are Effective Colistin Adjuvants in Gram Negative Bacteria. Pharmaceuticals 2022, 15, 766. https://doi.org/10.3390/ph15060766
Annunziato G, Spadini C, Marchetti M, Franko N, Pavone M, Iannarelli M, Bruno A, Pieroni M, Bettati S, Cabassi CS, et al. Inhibitors of O-Acetylserine Sulfhydrylase with a Cyclopropane-Carboxylic Acid Scaffold Are Effective Colistin Adjuvants in Gram Negative Bacteria. Pharmaceuticals. 2022; 15(6):766. https://doi.org/10.3390/ph15060766
Chicago/Turabian StyleAnnunziato, Giannamaria, Costanza Spadini, Marialaura Marchetti, Nina Franko, Marialaura Pavone, Mattia Iannarelli, Agostino Bruno, Marco Pieroni, Stefano Bettati, Clotilde Silvia Cabassi, and et al. 2022. "Inhibitors of O-Acetylserine Sulfhydrylase with a Cyclopropane-Carboxylic Acid Scaffold Are Effective Colistin Adjuvants in Gram Negative Bacteria" Pharmaceuticals 15, no. 6: 766. https://doi.org/10.3390/ph15060766
APA StyleAnnunziato, G., Spadini, C., Marchetti, M., Franko, N., Pavone, M., Iannarelli, M., Bruno, A., Pieroni, M., Bettati, S., Cabassi, C. S., Campanini, B., & Costantino, G. (2022). Inhibitors of O-Acetylserine Sulfhydrylase with a Cyclopropane-Carboxylic Acid Scaffold Are Effective Colistin Adjuvants in Gram Negative Bacteria. Pharmaceuticals, 15(6), 766. https://doi.org/10.3390/ph15060766





















