The Diverse Biological Activity of Recently Synthesized Nitro Compounds
Abstract
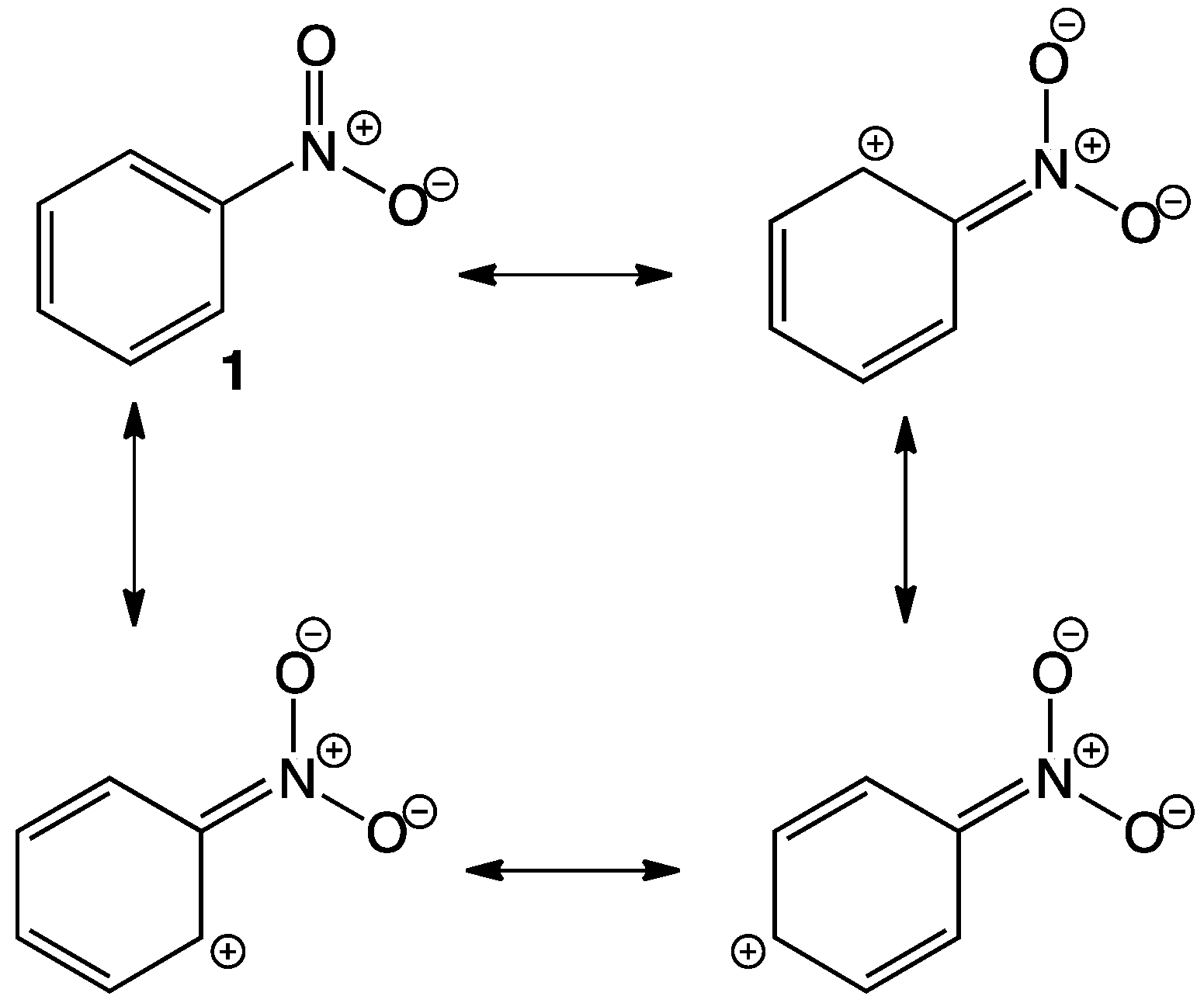
:1. Introduction
2. Antimicrobial Activity
2.1. Antibacterial
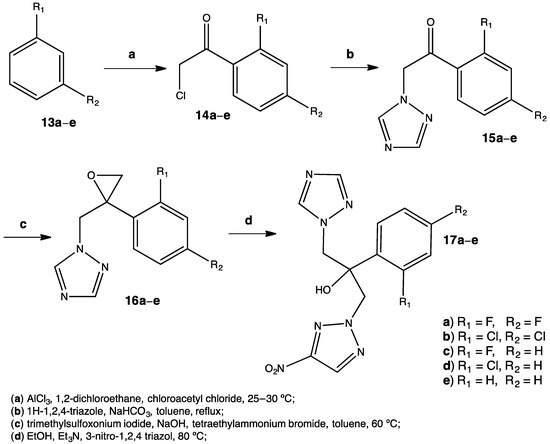
2.2. Antifungal
2.3. Antitubercular
3. Anti-Inflammatory Activity
4. Vasodilatory Activity
5. Antitumoral Activity
6. MAO Inhibitors
7. Conclusions
Author Contributions
Funding
Institutional Review Board Statement
Informed Consent Statement
Data Availability Statement
Conflicts of Interest
References
- Morawska, K.; Jedlińska, K.; Smarzewska, S.; Metelka, R.; Ciesielski, W.; Guziejewski, D. Analysis and DNA Interaction of the Profluralin Herbicide. Environ. Chem. Lett. 2019, 17, 1359–1365. [Google Scholar] [CrossRef] [Green Version]
- Ghatge, S.; Yang, Y.; Moon, S.; Song, W.Y.; Kim, T.Y.; Liu, K.H.; Hur, H.G. A Novel Pathway for Initial Biotransformation of Dinitroaniline Herbicide Butralin from a Newly Isolated Bacterium Sphingopyxis sp. Strain HMH. J. Hazard. Mater. 2021, 402, 123510. [Google Scholar] [CrossRef] [PubMed]
- Tavera-Hernández, R.; Jiménez-Estrada, M.; Alvarado-Sansininea, J.J.; Nieto-Camacho, A.; López-Muñoz, H.; Sánchez-Sánchez, L.; Escobar, M.L. Synthesis of Chrysin, Quercetin and Naringin Nitroderivatives: Antiproliferative, Anti-Inflammatory and Antioxidant Activity. Lett. Drug Des. Discov. 2021, 18, 795–805. [Google Scholar] [CrossRef]
- Ribeiro, T.A.; Machado-Ferreira, E.; Guimarães, L.F.; Cavaleiro, J.; Britto, A.M.A.; Redua, N.; de Souza, L.M.P.; Pimentel, A.S.; Picciani, P.H.S.; Oliveira, O.N.; et al. Novel Cytotoxic Amphiphilic Nitro-Compounds Derived from a Synthetic Route for Paraconic Acids. Colloids Surf. A Physicochem. Eng. Asp. 2021, 626, 126984. [Google Scholar] [CrossRef]
- Adedapo, A.D.A.; Ajayi, A.M.; Ekwunife, N.L.; Falayi, O.O.; Oyagbemi, A.; Omobowale, T.O.; Adedapo, A.A. Antihypertensive Effect of Phragmanthera Incana (Schum) Balle on NG-Nitro-L-Arginine Methyl Ester (L-NAME) Induced Hypertensive Rats. J. Ethnopharmacol. 2020, 257, 112888. [Google Scholar] [CrossRef] [PubMed]
- Rice, A.M.; Long, Y.; King, S.B. Nitroaromatic Antibiotics as Nitrogen Oxide Sources. Biomolecules 2021, 11, 267. [Google Scholar] [CrossRef]
- Toro, P.M.; Acuña, A.; Mallea, M.; Lapier, M.; Moncada-Basualto, M.; Cisterna, J.; Brito, I.; Klahn, H. Condensation and Substitution Products Obtained in Reactions of Isomeric Bromo-Nitrofuraldehydes with Ferrocenylamine: Electrochemistry and Anti-Parasitic Evaluation. J. Organomet. Chem. 2019, 901, 120946. [Google Scholar] [CrossRef]
- Jezuita, A.; Ejsmont, K.; Szatylowicz, H. Substituent Effects of Nitro Group in Cyclic Compounds. Struct. Chem. 2021, 32, 179–203. [Google Scholar] [CrossRef]
- Kunal, N.; Hsueh-Yun, L.; Jing-Ping, L. Nitro-Group-Containing Drugs. J. Med. Chem. 2019, 62, 2851–2893. [Google Scholar]
- Squella, J.; Bollo, S.; Nunez-Vergara, L. Recent Developments in the Electrochemistry of Some Nitro Compounds of Biological Significance. Curr. Org. Chem. 2005, 9, 565–581. [Google Scholar] [CrossRef]
- Olender, D.; Żwawiak, J.; Zaprutko, L. Multidirectional Efficacy of Biologically Active Nitro Compounds Included in Medicines. Pharmaceuticals 2018, 11, 54. [Google Scholar] [CrossRef] [PubMed] [Green Version]
- Sanz, C.G.; Dias, K.A.; Bacil, R.P.; Serafim, R.A.M.; Andrade, L.H.; Ferreira, E.I.; Serrano, S.H.P. Electrochemical Characterization of Para- and Meta-Nitro Substituents in Aqueous Media of New Antichagasic Pharmaceutical Leaders. Electrochim. Acta 2021, 368, 137582. [Google Scholar] [CrossRef]
- Oliveira, A.A.; Oliveira, A.P.A.; Franco, L.L.; Ferencs, M.O.; Ferreira, J.F.G.; Bachi, S.M.P.S.; Speziali, N.L.; Farias, L.M.; Magalhães, P.P.; Beraldo, H. 5-Nitroimidazole-Derived Schiff Bases and Their Copper(II) Complexes Exhibit Potent Antimicrobial Activity against Pathogenic Anaerobic Bacteria. BioMetals 2018, 31, 571–584. [Google Scholar] [CrossRef] [PubMed]
- Xavier, J.A.; Silva, T.L.; Torres-Santos, E.C.; de Vasconcelos, C.C.; Boane, A.; dos Santos, R.A.; Xavier, A.F.A.; Goulart, M.O.F. Unveiling the Relevance of the Redox Character of Nitroaromatic and Nitroheteroaromatic Compounds as Potential Medicines. Curr. Opin. Electrochem. 2021, 29, 100740. [Google Scholar] [CrossRef]
- França, R.R.F.; Menozzi, C.A.C.; Castelo-Branco, F.S.; Hoelz, L.V.B.; Boechat, N. The Medicinal Chemistry of 3-Nitro-1,2,4-Triazoles: Focus on Infectious Diseases. Curr. Top. Med. Chem. 2021, 21, 2072–2100. [Google Scholar] [CrossRef]
- Chauhan, K.; Sharma, M.; Trivedi, P.; Chaturvedi, V.; Chauhan, P.M.S. New Class of Methyl Tetrazole Based Hybrid of (Z)-5-Benzylidene-2-(Piperazin-1-Yl)Thiazol-4(H)-One as Potent Antitubercular Agents. Bioorg. Med. Chem. Lett. 2014, 24, 4166–4170. [Google Scholar] [CrossRef]
- Sharma, R.; Joubert, J.; Malan, S.F. Recent Developments in Drug Design of NO-Donor Hybrid Compounds. Mini Rev. Med. Chem. 2018, 18, 1175–1198. [Google Scholar] [CrossRef]
- Hammerich, O. Reduction of Nitro Compounds and Related Substrates. In Organic Electrochemistry: Revised and Expanded, 5th ed.; CRC Press: Boca Raton, FL, USA, 2015; pp. 1149–1200. [Google Scholar]
- Kerru, N.; Gummidi, L.; Maddila, S.; Gangu, K.K.; Jonnalagadda, S.B. A Review on Recent Advances in Nitrogen-Containing Molecules and Their Biological Applications. Molecules 2020, 25, 1909. [Google Scholar] [CrossRef]
- Müller, J.; Hemphill, A.; Müller, N. Physiological Aspects of Nitro Drug Resistance in Giardia Lamblia. Int. J. Parasitol. Drugs Drug Resist. 2018, 8, 271–277. [Google Scholar] [CrossRef]
- Salar, U.; Khan, K.M.; Taha, M.; Ismail, N.H.; Ali, B.; ul-Ain, Q.; Perveen, S.; Ghufran, M.; Wadood, A. Biology-Oriented Drug Synthesis (BIODS): In Vitro β-Glucuronidase Inhibitory and in Silico Studies on 2-(2-Methyl-5-Nitro-1H-Imidazol-1-Yl)Ethyl Aryl Carboxylate Derivatives. Eur. J. Med. Chem. 2017, 125, 1289–1299. [Google Scholar] [CrossRef]
- Dhivya, C.; Vandarkuzhali, S.A.A.; Radha, N. Antimicrobial Activities of Nanostructured Polyanilines Doped with Aromatic Nitro Compounds. Arab. J. Chem. 2019, 12, 3785–3798. [Google Scholar] [CrossRef] [Green Version]
- Ghobadi, E.; Ghanbarimasir, Z.; Emami, S. A Review on the Structures and Biological Activities of Anti-Helicobacter Pylori Agents. Eur. J. Med. Chem. 2021, 223, 113669. [Google Scholar] [CrossRef] [PubMed]
- Raimondi, M.V.; Presentato, A.; Li Petri, G.; Buttacavoli, M.; Ribaudo, A.; De Caro, V.; Alduina, R.; Cancemi, P. New Synthetic Nitro-Pyrrolomycins as Promising Antibacterial and Anticancer Agents. Antibiotics 2020, 9, 292. [Google Scholar] [CrossRef] [PubMed]
- Valderrama, K.; Pradel, E.; Firsov, A.M.; Drobecq, H.; le Roy, H.B.; Villemagne, B.; Antonenko, Y.N.; Hartkoorn, R.C. Pyrrolomycins are Potent Natural Protonophores. Antimicrob. Agents Chemother. 2019, 63, e01450-19. [Google Scholar] [CrossRef] [PubMed]
- Mahmoud, W.H.; Deghadi, R.G.; Mohamed, G.G. Metal Complexes of Novel Schiff Base Derived from Iron Sandwiched Organometallic and 4-Nitro-1,2-Phenylenediamine: Synthesis, Characterization, DFT Studies, Antimicrobial Activities and Molecular Docking. Appl. Organomet. Chem. 2018, 32, e4289. [Google Scholar] [CrossRef]
- Andrade, J.T.; Alves, S.L.G.; Lima, W.G.; Sousa, C.D.F.; Carmo, L.F.; De Sá, N.P.; Morais, F.B.; Johann, S.; Villar, J.A.F.P.; Ferreira, J.M.S. Pharmacologic Potential of New Nitro-Compounds as Antimicrobial Agents against Nosocomial Pathogens: Design, Synthesis, and in Vitro Effectiveness. Folia Microbiol. 2020, 65, 393–405. [Google Scholar] [CrossRef] [PubMed]
- Gupta, A. Synthesis of Novel Nitro Substituted Benzothiazole Derivatives and Antibacterial Activity against Pseudomonas aeruginosa. Res. J. Pharm. Technol. 2019, 12, 4663–4668. [Google Scholar] [CrossRef]
- Sadeghpour, H.; Khabnadideh, S.; Zomorodian, K.; Pakshir, K.; Hoseinpour, K.; Javid, N.; Faghih-Mirzaei, E.; Rezaei, Z. Design, Synthesis, and Biological Activity of New Triazole and Nitro-Triazole Derivatives as Antifungal Agents. Molecules 2017, 22, 1150. [Google Scholar] [CrossRef]
- Suchodolski, J.; Muraszko, J.; Bernat, P.; Krasowska, A. Lactate like Fluconazole Reduces Ergosterol Content in the Plasma Membrane and Synergistically Kills Candida Albicans. Int. J. Mol. Sci. 2021, 22, 5219. [Google Scholar] [CrossRef]
- Kidwai, S.; Park, C.Y.; Mawatwal, S.; Tiwari, P.; Jung, M.G.; Gosain, T.P.; Kumar, P.; Alland, D.; Kumar, S.; Bajaj, A.; et al. Dual Mechanism of Action of 5-Nitro-1,10-Phenanthroline against Mycobacterium Tuberculosis. Antimicrob. Agents Chemother. 2017, 61, e00969-17. [Google Scholar] [CrossRef] [Green Version]
- D’Ambrosio, L.; Centis, R.; Sotgiu, G.; Pontali, E.; Spanevello, A.; Migliori, G.B. New Anti-Tuberculosis Drugs and Regimens: 2015 Update. ERJ Open Res. 2015, 1, 00010-2015. [Google Scholar] [CrossRef] [PubMed] [Green Version]
- Papadopoulou, M.V.; Bloomer, W.D.; Rosenzweig, H.S.; Arena, A.; Arrieta, F.; Rebolledo, J.C.J.; Smith, D.K. Nitrotriazole- and Imidazole-Based Amides and Sulfonamides as Antitubercular Agents. Antimicrob. Agents Chemother. 2014, 58, 6828–6836. [Google Scholar] [CrossRef] [PubMed] [Green Version]
- Papadopoulou, M.V.; Bloomer, W.D.; Rosenzweig, H.S. The Antitubercular Activity of Various Nitro(Triazole/Imidazole)-Based Compounds. Bioorg. Med. Chem. 2017, 25, 6039–6048. [Google Scholar] [CrossRef] [PubMed]
- Piesche, M.; Roos, J.; Kühn, B.; Fettel, J.; Hellmuth, N.; Brat, C.; Maucher, I.V.; Awad, O.; Matrone, C.; Steffensen, S.G.C.; et al. The Emerging Therapeutic Potential of Nitro Fatty Acids and Other Michael Acceptor-Containing Drugs for the Treatment of Inflammation and Cancer. Front. Pharmacol. 2020, 11, 1–16. [Google Scholar] [CrossRef] [PubMed]
- Schopfer, F.J.; Khoo, N.K.H. Nitro-Fatty Acid Logistics: Formation, Biodistribution, Signaling, and Pharmacology. Trends Endocrinol. Metab. 2019, 30, 505–519. [Google Scholar] [CrossRef]
- Fazzari, M.; Woodcock, S.R.; Rowart, P.; Ricart, K.; Lancaster, J.R.; Patel, R.; Vitturi, D.A.; Freeman, B.A.; Schopfer, F.J. Endogenous Generation of Nitro-Fatty Acid Hybrids Having Dual Nitrate Ester (RONO2) and Nitroalkene (RNO2) Substituents. Redox Biol. 2021, 41, 101913. [Google Scholar] [CrossRef]
- Schopfer, F.J.; Vitturi, D.A.; Jorkasky, D.K.; Freeman, B.A. Nitro-Fatty Acids: New Drug Candidates for Chronic Inflammatory and Fibrotic Diseases. Nitric Oxide-Biol. Chem. 2018, 79, 31–37. [Google Scholar] [CrossRef]
- Sanada, F.; Taniyama, Y.; Muratsu, J.; Otsu, R.; Shimizu, H.; Rakugi, H.; Morishita, R. Source of Chronic Inflammation in Aging. Front. Cardiovasc. Med. 2018, 5, 1–5. [Google Scholar] [CrossRef] [Green Version]
- Nunes, J.H.B.; Nakahata, D.H.; Lustri, W.R.; Corbi, P.P.; de Paiva, R.E.F. The Nitro-Reduced Metabolite of Nimesulide: Crystal Structure, Spectroscopic Characterization, ESI-QTOF Mass Spectrometric Analysis and Antibacterial Evaluation. J. Mol. Struct. 2018, 1157, 469–475. [Google Scholar] [CrossRef]
- Tumer, T.B.; Onder, F.C.; Ipek, H.; Gungor, T.; Savranoglu, S.; Tok, T.T.; Celik, A.; Ay, M. Biological Evaluation and Molecular Docking Studies of Nitro Benzamide Derivatives with Respect to In Vitro Anti-Inflammatory Activity. Int. Immunopharmacol. 2017, 43, 129–139. [Google Scholar] [CrossRef]
- Divakaran, S.; Loscalzo, J. The Role of Nitroglycerin and Other Nitrogen Oxides in Cardiovascular Therapeutics. J. Am. Coll. Cardiol. 2017, 70, 2393–2410. [Google Scholar] [CrossRef] [PubMed]
- Mikhailov, A.A.; Vorobyev, V.A.; Nadolinny, V.A.; Patrushev, Y.V.; Yudina, Y.S.; Kostin, G.A. Primary and Secondary Photochemical Transformations of Biologically Active Precursor-Nitro-Nitrosyl Ruthenium Complex. J. Photochem. Photobiol. A Chem. 2019, 373, 37–44. [Google Scholar] [CrossRef]
- Noack, E. New Pharmacological Concepts Concerning the Active Mechanism of Organic Nitro-Compounds. In Nitroglycerin 7; De Gruyter: Berlin, Germany, 2019; pp. 21–36. [Google Scholar] [CrossRef]
- Tarkin, J.M.; Kaski, J.C. Nicorandil and Long-Acting Nitrates: Vasodilator Therapies for the Management of Chronic Stable Angina Pectoris. Eur. Cardiol. Rev. 2018, 13, 23–28. [Google Scholar] [CrossRef] [PubMed]
- Gánti, B.; Molnár, E.; Fazekas, R.; Mikecs, B.; Lohinai, Z.; Mikó, S.; Vág, J. Evidence of Spreading Vasodilation in the Human Gingiva Evoked by Nitric Oxide. J. Periodontal Res. 2019, 54, 499–505. [Google Scholar] [CrossRef] [PubMed] [Green Version]
- Burgaud, J.; Ongini, E.; Del Soldato, P. Nitric Oxide-Releasing Drugs. Ann. N. Y. Acad. Sci. 2002, 962, 360–371. [Google Scholar] [CrossRef] [PubMed]
- Chiroli, V.; Benedini, F.; Ongini, E.; Del Soldato, P. Nitric Oxide-Donating Non-Steroidal Anti-Inflammatory Drugs: The Case of Nitroderivatives of Aspirin. Eur. J. Med. Chem. 2003, 38, 441–446. [Google Scholar] [CrossRef]
- Jain, N.K.; Patil, C.S.; Kartasasmita, R.E.; Decker, M.; Lehmann, J.; Kulkarni, S.K. Pharmacological Studies on Nitro-Naproxen (Naproxen-2-Nitrooxyethylester). Drug Dev. Res. 2004, 61, 66–78. [Google Scholar] [CrossRef]
- Callingham, B.A.; Khan, M.A.; Milton, A.S.; Rainsford, K.D. Effects of Nitro-Butoxyl- and Butyl-Esters of Non-Steroidal Anti-Inflammatory Drugs Compared with Parent Compounds on the Contractility of Digital Arterial Smooth Muscle from the Fallow Deer (Dama Dama). Inflammopharmacology 2021, 29, 1459–1473. [Google Scholar] [CrossRef]
- Crespo, P.M.; Odio, O.F.; Ávila, Y.; Perez-Cappe, E.; Reguera, E. Effect of Water and Light on the Stability of Transition Metal Nitroprussides. J. Photochem. Photobiol. A Chem. 2021, 412, 113244. [Google Scholar] [CrossRef]
- de Oliveira Neto, J.; Marinho, M.M.; de Moraes Silveira, J.A.; Rocha, D.G.; Lima, N.C.B.; Gouveia, F.S., Jr.; de França Lopes, L.G.; de Sousa, E.H.S.; Martins, A.M.C.; Marinho, A.D.; et al. Synthesis and Potential Vasorelaxant Effect of a Novel Ruthenium-Based Nitro Complex. J. Inorg. Biochem. 2022, 228, 111666. [Google Scholar] [CrossRef]
- Kaushik, I.; Ramachandran, S.; Prasad, S.; Srivastava, S.K. Drug Rechanneling: A Novel Paradigm for Cancer Treatment. Semin. Cancer Biol. 2021, 68, 279–290. [Google Scholar] [CrossRef] [PubMed]
- Isa, E.D.M.; Ahmad, H.; Rahman, M.B.A.; Gill, M.R. Progress in Mesoporous Silica Nanoparticles as Drug Delivery Agents for Cancer Treatment. Pharmaceutics 2021, 13, 152. [Google Scholar] [CrossRef]
- Denny, W.A. Nitroaromatic Hypoxia-Activated Prodrugs for Cancer Therapy. Pharmaceuticals 2022, 15, 187. [Google Scholar] [CrossRef] [PubMed]
- Sharma, A.; Arambula, J.F.; Koo, S.; Kumar, R.; Singh, H.; Sessler, J.L.; Kim, J.S. Hypoxia-Targeted Drug Delivery. Chem. Soc. Rev. 2019, 48, 771–813. [Google Scholar] [CrossRef]
- Korotaev, V.Y.; Kutyashev, I.B.; Barkov, A.Y.; Sosnovskikh, V.Y. Recent Advances in the Chemistry of 3-Nitro-2H- and 3-Nitro-4H-Chromenes. Russ. Chem. Rev. 2019, 88, 27–58. [Google Scholar] [CrossRef]
- Carradori, S.; Secci, D.; Petzer, J.P. MAO Inhibitors and Their Wider Applications: A Patent Review. Expert Opin. Ther. Pat. 2018, 28, 211–226. [Google Scholar] [CrossRef]
- Secci, D.; Carradori, S.; Petzer, A.; Guglielmi, P.; D’Ascenzio, M.; Chimenti, P.; Bagetta, D.; Alcaro, S.; Zengin, G.; Petzer, J.P.; et al. 4-(3-Nitrophenyl)Thiazol-2-Ylhydrazone Derivatives as Antioxidants and Selective HMAO-B Inhibitors: Synthesis, Biological Activity and Computational Analysis. J. Enzym. Inhib. Med. Chem. 2019, 34, 597–612. [Google Scholar] [CrossRef] [Green Version]














Publisher’s Note: MDPI stays neutral with regard to jurisdictional claims in published maps and institutional affiliations. |
© 2022 by the authors. Licensee MDPI, Basel, Switzerland. This article is an open access article distributed under the terms and conditions of the Creative Commons Attribution (CC BY) license (https://creativecommons.org/licenses/by/4.0/).
Share and Cite
Noriega, S.; Cardoso-Ortiz, J.; López-Luna, A.; Cuevas-Flores, M.D.R.; Flores De La Torre, J.A. The Diverse Biological Activity of Recently Synthesized Nitro Compounds. Pharmaceuticals 2022, 15, 717. https://doi.org/10.3390/ph15060717
Noriega S, Cardoso-Ortiz J, López-Luna A, Cuevas-Flores MDR, Flores De La Torre JA. The Diverse Biological Activity of Recently Synthesized Nitro Compounds. Pharmaceuticals. 2022; 15(6):717. https://doi.org/10.3390/ph15060717
Chicago/Turabian StyleNoriega, Saúl, Jaime Cardoso-Ortiz, Argelia López-Luna, Ma Del Refugio Cuevas-Flores, and Juan Armando Flores De La Torre. 2022. "The Diverse Biological Activity of Recently Synthesized Nitro Compounds" Pharmaceuticals 15, no. 6: 717. https://doi.org/10.3390/ph15060717
APA StyleNoriega, S., Cardoso-Ortiz, J., López-Luna, A., Cuevas-Flores, M. D. R., & Flores De La Torre, J. A. (2022). The Diverse Biological Activity of Recently Synthesized Nitro Compounds. Pharmaceuticals, 15(6), 717. https://doi.org/10.3390/ph15060717

