Enhanced Anticancer Activity of Hymenocardia acida Stem Bark Extract Loaded into PLGA Nanoparticles
Abstract
:1. Introduction
2. Results and Discussion
2.1. In Vitro Cytotoxicity Assay of H. acida Using R. ranninus
2.2. In Vitro Cytotoxicity Activity of Crude H. Acida Using S. cerevisiae
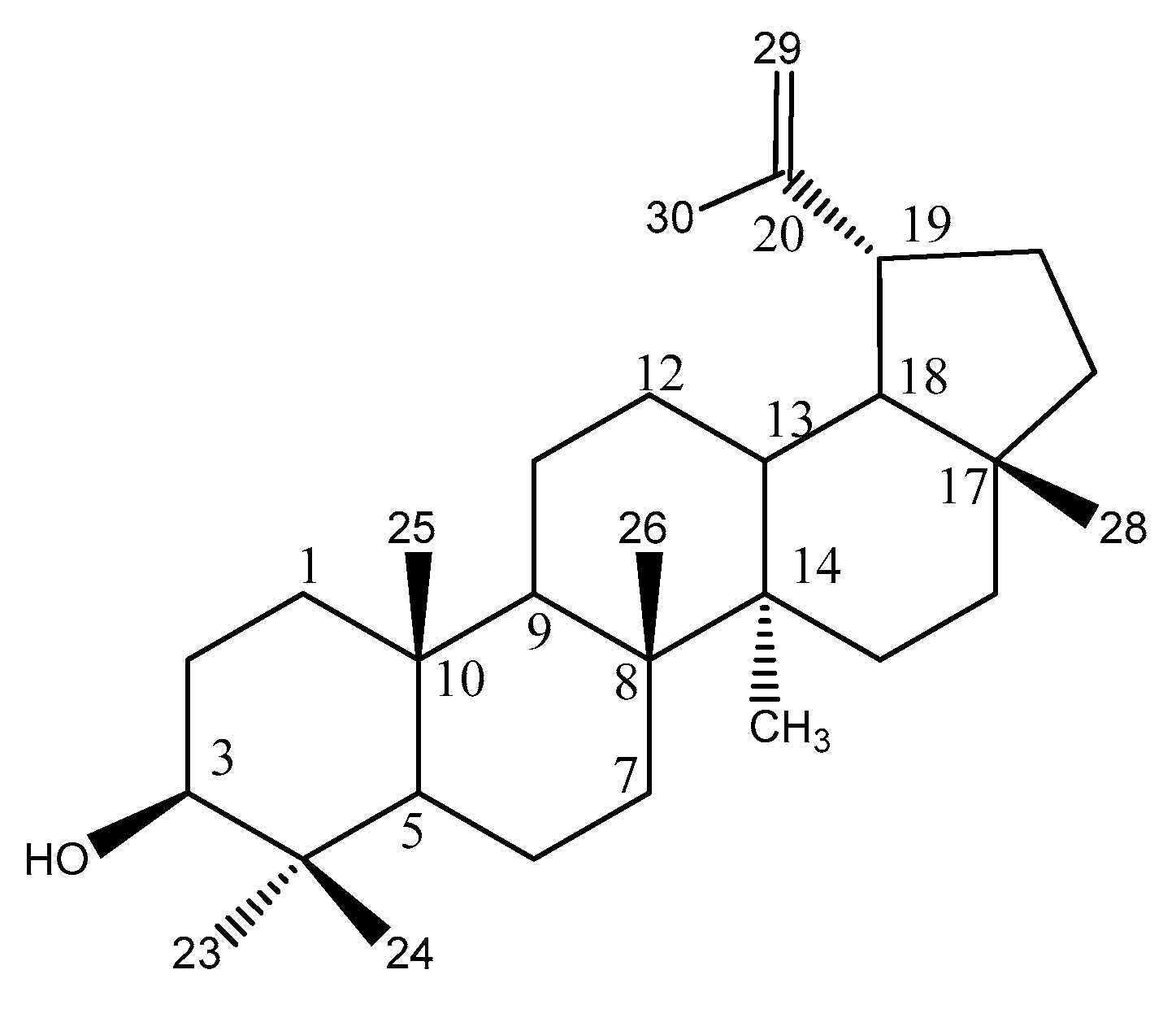
2.3. Phytochemical Study of H. acida
2.4. H. acida-Loaded PLGA Nanoparticles Production and Characterization
2.5. Cytotoxic Effect of H. acida and PLGA Nanoparticles on Human Cancer Cell Lines
3. Materials and Methods
3.1. Materials and Cell Lines
Cell Culture Maintenance
3.2. Botanical Authentication and Extraction
3.3. In Vitro Cytotoxicity Assay Using R. ranninus (Tadpoles)
3.4. Isolation and Structural Characterization of Lupeol
3.5. In Vitro Cytotoxicity Assay Using Saccharomyces Cerevisiae
3.6. Production of H. acida Loaded PLGA Nanoparticles
3.7. H. acida Loaded PLGA Nanoparticles Characterization
3.8. Fourier Transform Infrared Spectroscopy Spectroscopy
3.9. In Vitro Cytotoxicity Assay against Human Cancer Cell Lines
3.10. Statistical Analysis
4. Conclusions
Supplementary Materials
Author Contributions
Funding
Institutional Review Board Statement
Informed Consent Statement
Data Availability Statement
Conflicts of Interest
References
- WHO. W.H.O. Cancer Control Programme. Available online: http://www.who.int/cancer/en/ (accessed on 20 March 2022).
- Sung, H.; Ferlay, J.; Siegel, R.L.; Laversanne, M.; Soerjomataram, I.; Jemal, A.; Bray, F. Global Cancer Statistics 2020: GLOBOCAN Estimates of Incidence and Mortality Worldwide for 36 Cancers in 185 Countries. CA Cancer J. Clin. 2021, 71, 209–249. [Google Scholar] [CrossRef] [PubMed]
- Hassanpour, S.H.; Dehghani, M. Review of cancer from perspective of molecular. J. Cancer Res. Pract. 2017, 4, 127–129. [Google Scholar] [CrossRef]
- Ayati, A.; Moghimi, S.; Salarinejad, S.; Safavi, M.; Pouramiri, B.; Foroumadi, A. A review on progression of epidermal growth factor receptor (EGFR) inhibitors as an efficient approach in cancer targeted therapy. Bioorg. Chem. 2020, 99, 103811. [Google Scholar] [CrossRef] [PubMed]
- WHO. Health Topics/Cancer. Available online: https://www.who.int/health-topics/cancer#tab=tab_1 (accessed on 30 March 2021).
- Bray, F.; Ferlay, J.; Soerjomataram, I.; Siegel, R.L.; Torre, L.A.; Jemal, A. Global cancer statistics 2018: GLOBOCAN estimates of incidence and mortality worldwide for 36 cancers in 185 countries. CA Cancer J. Clin. 2018, 68, 394–424. [Google Scholar] [CrossRef] [Green Version]
- Fidler, M.M.; Bray, F.; Soerjomataram, I. The global cancer burden and human development: A review. Scand. J. Public Health 2018, 46, 27–36. [Google Scholar] [CrossRef] [Green Version]
- McGuire, S. World Cancer Report 2014. Geneva, Switzerland: World Health Organization, International Agency for Research on Cancer, WHO Press, 2015. Adv. Nutr. 2016, 7, 418–419. [Google Scholar] [CrossRef] [Green Version]
- Murray, C.J.L.; Lopez, A.D. The global burden of disease: A comprehensive assessment of mortality and disability from diseases, injuries, and risk factors in 1990 and projected to 2020. In Global Burden of Disease and Injury Series; World Health Organization: Geneva, Switzerland, 1996; Volume xxxii, p. 990. [Google Scholar]
- Schwartsmann, G.; Ratain, M.J.; Cragg, G.M.; Wong, J.E.; Saijo, N.; Parkinson, D.R.; Fujiwara, Y.; Pazdur, R.; Newman, D.J.; Dagher, R.; et al. Anticancer drug discovery and development throughout the world. J. Clin. Oncol. Off. J. Am. Soc. Clin. Oncol. 2002, 20, 47S–59S. [Google Scholar]
- Burger, A.M.; Fiebig, H.-H. Preclinical Screening for New Anticancer Agents. In Handbook of Anticancer Pharmacokinetics and Pharmacodynamics; Figg, W.D., McLeod, H.L., Eds.; Humana Press: Totowa, NJ, USA, 2004; pp. 29–44. ISBN 978-1-59259-734-5. [Google Scholar]
- Carr, C.; Ng, J.; Wigmore, T. The side effects of chemotherapeutic agents. Curr. Anaesth. Crit. Care 2008, 19, 70–79. [Google Scholar] [CrossRef]
- Newman, D.J.; Cragg, G.M.; Snader, K.M. The influence of natural products upon drug discovery. Nat. Prod. Rep. 2000, 17, 215–234. [Google Scholar] [CrossRef] [Green Version]
- Watt, J.M.; Breyer Brandwijk, M.G. Medicinal and Poisonous Plants of South and Eastern Africa, 2nd ed.; E. S. Livingstone Ltd.: Edinburgh, UK, 1962. [Google Scholar]
- Caparica, R.; Júlio, A.; Araújo, M.E.M.; Baby, A.R.; Fonte, P.; Costa, J.G.; Santos de Almeida, T. Anticancer activity of rutin and its combination with ionic liquids on renal cells. Biomolecules 2020, 10, 233. [Google Scholar] [CrossRef] [Green Version]
- Ibrahim, H.; Sani, F.S.; Danladi, B.H.; Ahmadu, A.A. Phytochemical and antisickling studies of the leaves of Hymenocardia acida Tul (Euphorbiaceae). Pak. J. Biol. Sci. 2007, 10, 788–791. [Google Scholar] [CrossRef] [PubMed]
- Tor-Anyin, T.A.; Shimbe, R.Y.; Anyam, J.V. Phytochemical and Medicinal activities of Hymenocardia acida Tul (Euphorbiaceae): A Review. J. Nat. Prod. Plant Resour. 2013, 3, 11–16. [Google Scholar]
- Olotu, P.N.; Olotu, I.A.; Kambasha, M.B.; Ahmed, A.; Ajima, U.; Ohemu, T.L.; Okwori, V.A.; Dafam, D.G.; David, J.; Ameh, E.G.; et al. Culture and Traditional Medicine Practice among the Idoma People of Otukpo Local Government Area of Benue State, Nigeria. Int. Res. J. Pharm. 2017, 8, 33–39. [Google Scholar] [CrossRef]
- Starks, C.M.; Williams, R.B.; Norman, V.L.; Rice, S.M.; O’Neil-Johnson, M.; Lawrence, J.A.; Eldridge, G.R. Antibacterial chromene and chromane stilbenoids from Hymenocardia acida. Phytochemistry 2014, 98, 216–222. [Google Scholar] [CrossRef] [PubMed]
- Hussain, A.; Oves, M.; Alajmi, M.F.; Hussain, I.; Amir, S.; Ahmed, J.; Rehman, T.; El-Seedi, H.R.; Ali, I. Biogenesis of ZnO nanoparticles using: Pandanus odorifer leaf extract: Anticancer and antimicrobial activities. RSC Adv. 2019, 9, 15357–15369. [Google Scholar] [CrossRef] [Green Version]
- Júlio, A.; Costa Lima, S.A.; Reis, S.; Santos de Almeida, T.; Fonte, P. Development of ionic liquid-polymer nanoparticle hybrid systems for delivery of poorly soluble drugs. J. Drug Deliv. Sci. Technol. 2020, 56, 100915. [Google Scholar] [CrossRef]
- Júlio, A.; Caparica, R.; Costa Lima, S.A.; Fernandes, A.S.; Rosado, C.; Prazeres, D.M.F.; Reis, S.; Santos de Almeida, T.; Fonte, P. Ionic Liquid-Polymer Nanoparticle Hybrid Systems as New Tools to Deliver Poorly Soluble Drugs. Nanomaterials 2019, 9, 1148. [Google Scholar] [CrossRef] [Green Version]
- Narayan, S. Curcumin, A Multi-Functional Chemopreventive Agent, Blocks Growth of Colon Cancer Cells by Targeting β-Catenin-Mediated Transactivation and Cell–Cell Adhesion Pathways. J. Mol. Histol. 2004, 35, 301–307. [Google Scholar] [CrossRef]
- Armendáriz-Barragán, B.; Zafar, N.; Badri, W.; Galindo-Rodríguez, S.A.; Kabbaj, D.; Fessi, H.; Elaissari, A. Plant extracts: From encapsulation to application. Expert Opin. Drug Deliv. 2016, 13, 1165–1175. [Google Scholar] [CrossRef]
- Singh, G.; Kaur, T.; Kaur, R.; Kaur, A. Recent biomedical applications and patents on biodegradable polymer PLGA. Int. J. Pharmacol. Pharm. Sci. 2014, 1, 30–42. [Google Scholar]
- Sousa, F.; Castro, P.; Fonte, P.; Kennedy, P.J.; Neves-Petersen, M.T.; Sarmento, B. Nanoparticles for the delivery of therapeutic antibodies: Dogma or promising strategy? Expert Opin. Drug Deliv. 2017, 14, 1163–1176. [Google Scholar] [CrossRef] [PubMed]
- Danhier, F.; Ansorena, E.; Silva, J.M.; Coco, R.; Le Breton, A.; Préat, V. PLGA-based nanoparticles: An overview of biomedical applications. J. Control. Release 2012, 161, 505–522. [Google Scholar] [CrossRef] [PubMed]
- Macedo, A.; Castro, P.M.; Roque, L.; Thomé, N.G.; Reis, C.; Pintado, M.M.; Fonte, P. Novel and revisited approaches in nanoparticle systems for buccal drug delivery. J. Control. Release 2020, 320, 125–141. [Google Scholar] [CrossRef] [PubMed]
- Vichai, V.; Kirtikara, K. Sulforhodamine B colorimetric assay for cytotoxicity screening. Nat. Protoc. 2006, 1, 1112–1116. [Google Scholar] [CrossRef] [PubMed]
- Martin-Cordero, C.; Leon-Gonzalez, A.J.; Calderon-Montano, J.M.; Burgos-Moron, E.; Lopez-Lazaro, M. Pro-oxidant natural products as anticancer agents. Curr. Drug Targets 2012, 13, 1006–1028. [Google Scholar] [CrossRef]
- Sowemimo, A.A.; Fakoya, F.A.; Awopetu, I.; Omobuwajo, O.R.; Adesanya, S.A. Toxicity and mutagenic activity of some selected Nigerian plants. J. Ethnopharmacol. 2007, 113, 427–432. [Google Scholar] [CrossRef] [PubMed]
- Cragg, G.M.; Pezzuto, J.M. Natural Products as a Vital Source for the Discovery of Cancer Chemotherapeutic and Chemopreventive Agents. Med. Princ. Pract. 2016, 25, 41–59. [Google Scholar] [CrossRef]
- Mohanraj, V.J.; Chen, Y. Nanoparticles—A review. Trop. J. Pharm. Res. 2007, 5, 561–573. [Google Scholar] [CrossRef] [Green Version]
- Rimpiläinen, T.; Nunes, A.; Calado, R.; Fernandes, A.S.; Andrade, J.; Ntungwe, E.; Spengler, G.; Szemerédi, N.; Rodrigues, J.; Gomes, J.P.; et al. Increased antibacterial properties of indoline-derived phenolic Mannich bases. Eur. J. Med. Chem. 2021, 220, 113459. [Google Scholar] [CrossRef]
- Tuenter, E.; Exarchou, V.; Baldé, A.; Cos, P.; Maes, L.; Apers, S.; Pieters, L. Cyclopeptide Alkaloids from Hymenocardia acida. J. Nat. Prod. 2016, 79, 1746–1751. [Google Scholar] [CrossRef]
- Silva, A.T.M.; Magalhães, C.G.; Duarte, L.P.; Mussel, W.N.; Ruiz, A.L.; Shiozawa, L.; Carvalho, J.E.; Trindade, I.C.; Vieira Filho, S.A. Lupeol and its esters: NMR, powder XRD data and in vitro evaluation of cancer cell growth. Braz. J. Pharm. Sci. 2017, 53, e00251. [Google Scholar] [CrossRef] [Green Version]
- Igoli, O.J.; Gray, A.I. Friedelanone and other triterpenoids from hymenocardia acida. Int. J. Phys. Sci. 2008, 3, 156–158, ISSN 1992-1950. [Google Scholar]
- Jain, P.; Bari, S. Bari Isolation of Lupeol, Stigmasterol and Campesterol from Petroleum Ether Extract of Woody Stem of Wrightia tinctoria. Asian J. Plant Sci. 2010, 9, 163–167. [Google Scholar] [CrossRef] [Green Version]
- Fonte, P.; Soares, S.; Sousa, F.; Costa, A.; Seabra, V.; Reis, S.; Sarmento, B. Stability Study Perspective of the Effect of Freeze-Drying Using Cryoprotectants on the Structure of Insulin Loaded into PLGA Nanoparticles. Biomacromolecules 2014, 15, 3753–3765. [Google Scholar] [CrossRef] [PubMed]
- Sousa, F.; Cruz, A.; Fonte, P.; Pinto, I.M.; Neves-Petersen, M.T.; Sarmento, B. A new paradigm for antiangiogenic therapy through controlled release of bevacizumab from PLGA nanoparticles. Sci. Rep. 2017, 7, 3736. [Google Scholar] [CrossRef]
- Fonte, P.; Soares, S.; Costa, A.; Andrade, J.C.; Seabra, V.; Reis, S.; Sarmento, B. Effect of cryoprotectants on the porosity and stability of insulin-loaded PLGA nanoparticles after freeze-drying. Biomatter 2012, 2, 329–339. [Google Scholar] [CrossRef] [Green Version]
- Fonte, P.; Araújo, F.; Seabra, V.; Reis, S.; van de Weert, M.; Sarmento, B. Co-encapsulation of lyoprotectants improves the stability of protein-loaded PLGA nanoparticles upon lyophilization. Int. J. Pharm. 2015, 496, 850–862. [Google Scholar] [CrossRef]
- Fonte, P.; Andrade, F.; Azevedo, C.; Pinto, J.; Seabra, V.; van de Weert, M.; Reis, S.; Sarmento, B. Effect of the Freezing Step in the Stability and Bioactivity of Protein-Loaded PLGA Nanoparticles Upon Lyophilization. Pharm. Res. 2016, 33, 2777–2793. [Google Scholar] [CrossRef]
- Sousa, F.; Cruz, A.; Pinto, I.M.; Sarmento, B. Nanoparticles provide long-term stability of bevacizumab preserving its antiangiogenic activity. Acta Biomater. 2018, 78, 285–295. [Google Scholar] [CrossRef]
- Fonte, P.; Lino, P.R.; Seabra, V.; Almeida, A.J.; Reis, S.; Sarmento, B. Annealing as a tool for the optimization of lyophilization and ensuring of the stability of protein-loaded PLGA nanoparticles. Int. J. Pharm. 2016, 503, 163–173. [Google Scholar] [CrossRef]
- Sarmento, B.; Ferreira, D.C.; Jorgensen, L.; van de Weert, M. Probing insulin’s secondary structure after entrapment into alginate/chitosan nanoparticles. Eur. J. Pharm. Biopharm. 2007, 65, 10–17. [Google Scholar] [CrossRef] [PubMed]
- Ibrahim, W.N.; Rosli, L.M.B.M.; Doolaanea, A.A. Formulation, cellular uptake and cytotoxicity of thymoquinone-loaded plga nanoparticles in malignant melanoma cancer cells. Int. J. Nanomed. 2020, 15, 8059–8074. [Google Scholar] [CrossRef] [PubMed]
- Calhelha, R.C.; Falcão, S.; Queiroz, M.J.R.P.; Vilas-Boas, M.; Ferreira, I.C.F.R. Cytotoxicity of portuguese propolis: The proximity of the in vitro doses for tumor and normal cell lines. Biomed. Res. Int. 2014, 2014, 897361. [Google Scholar] [CrossRef] [PubMed] [Green Version]
- Sharma, P.R.; Mondhe, D.M.; Muthiah, S.; Pal, H.C.; Shahi, A.K.; Saxena, A.K.; Qazi, G.N. Anticancer activity of an essential oil from Cymbopogon flexuosus. Chem.-Biol. Interact. 2009, 179, 160–168. [Google Scholar] [CrossRef]
- Machado, V.R.; Jacques, A.V.; Marceli, N.S.; Biavatti, M.W.; Santos-Silva, M.C. Anti-leukemic activity of semisynthetic derivatives of lupeol. Nat. Prod. Res. 2020, 35, 4494–4501. [Google Scholar] [CrossRef]
- Quang, D.N.; Pham, C.T.; Le, L.T.K.; Ta, Q.N.; Dang, N.K.; Hoang, N.T.; Pham, D.H. Cytotoxic constituents from Helicteres hirsuta collected in Vietnam. Nat. Prod. Res. 2020, 34, 585–589. [Google Scholar] [CrossRef]
- Ogunlaja, O.O.; Moodley, R.; Singh, M.; Baijnath, H.; Jonnalagadda, S.B. Cytotoxic activity of the bioactive principles from Ficus burtt-davyi. J. Environ. Sci. Health Part B 2018, 53, 261–275. [Google Scholar] [CrossRef]
- Somwong, P.; Suttisri, R. Cytotoxic activity of the chemical constituents of Clerodendrum indicum and Clerodendrum villosum roots. J. Integr. Med. 2018, 16, 57–61. [Google Scholar] [CrossRef]
- Ragasa, C.Y.; Cornelio, K.B. Triterpenes from Euphorbia hirta and their cytotoxicity. Chin. J. Nat. Med. 2013, 11, 528–533. [Google Scholar] [CrossRef]
- Adlravan, E.; Nejati, K.; Karimi, M.A.; Mousazadeh, H.; Abbasi, A.; Dadashpour, M. Potential activity of free and PLGA/PEG nanoencapsulated nasturtium officinale extract in inducing cytotoxicity and apoptosis in human lung carcinoma A549 cells. J. Drug Deliv. Sci. Technol. 2021, 61, 102256. [Google Scholar] [CrossRef]
- Samanta, S.; Pain, A.; Dutta, S.; Saxena, A.K.; Shanmugavel, M.; Pandita, R.M.; Qazi, G.N.; Sanyal, U. Antitumor activity of Nitronaphthal-NU, a novel mixed-function agent. J. Exp. Ther. Oncol. 2005, 5, 15–22. [Google Scholar] [PubMed]
- Roberto, A.; Caetano, P.P. A high-throughput screening method for general cytotoxicity part I: Chemical toxicity. Rev. Lusófona Ciênc. Tecnol. Saúde 2005, 2, 95–100. [Google Scholar]
- Mandal, S.C.; Mandal, V.; Das, A.K. Essentials of Botanical Extraction; Academic Press: Cambridge, MA, USA, 2015; pp. 1–207. [Google Scholar]
- Ayinde, B.A.; Agbakwuru, U. Cytotoxic and growth inhibitory effects of the methanol extract Struchium sparganophora Ktze (Asteraceae) leaves. Pharmacogn. Mag. 2010, 6, 293–297. [Google Scholar] [CrossRef] [PubMed] [Green Version]
- Paul, S.; Bhattacharyya, S.S.; Boujedaini, N.; Khuda-Bukhsh, A.R. Anticancer potentials of root extract of Polygala senega and its PLGA nanoparticles-encapsulated form. Evid.-Based Complement. Altern. Med. 2010, 2011, 517204. [Google Scholar] [CrossRef]
- Skehan, P.; Storeng, R.; Scudiero, D.; Monks, A.; McMahon, J.; Vistica, D.; Warren, J.T.; Bokesch, H.; Kenney, S.; Boyd, M.R. New Colorimetric Cytotoxicity Assay for Anticancer-Drug Screening. J. Natl. Cancer Inst. 1990, 82, 1107–1112. [Google Scholar] [CrossRef]
- Mothana, R.A.; Lindequist, U.; Gruenert, R.; Bednarski, P.J. Studies of the in vitro anticancer, antimicrobial and antioxidant potentials of selected Yemeni medicinal plants from the island Soqotra. BMC Complement. Altern. Med. 2009, 9, 7. [Google Scholar] [CrossRef] [Green Version]




| Concentration (µg/mL) | % Growth Inhibition | ||
|---|---|---|---|
| DMSO a | Nystatin b | H. acida Crude | |
| 7.81 | 12.67 ± 1.21 | 97.25 ± 1.02 * | 90.30 ± 0.99 * |
| 15.6 | 16.80 ± 1.08 | 98.21 ± 0.98 * | 71.70 ± 1.12 |
| 31.2 | 17.60 ± 0.01 | 98.78 ± 2.17 * | 95.70 ± 1.10 * |
| 62.5 | 30.73 ± 1.12 | 99.35 ± 2.92 * | 95.40 ± 2.08 * |
| 125 | 31.20 ± 1.03 | 99.59 ± 1.87 * | 96.56 ± 1.98 * |
| 250 | 33.84 ± 1.03 | 99.71 ± 1.34 * | 96.98 ± 2.11 * |
| 500 | 33.91 ± 1.10 | 100.00 ± 0.00 * | 100.00 ± 0.00 * |
| Parameter | Unloaded Np | HA-Np |
|---|---|---|
| Particle size (nm) | 210 ± 3 | 193 ± 2 |
| Polydispersity índex (PdI) | 0.100 ± 0.010 | 0.231 ± 0.050 |
| %AE | Not Applicable | 61.71 ± 2.17% |
| Homogeneity | Homogenous | Homogenous |
| Colour | Whitish | Milky |
| Diffusion constant (D) (cm2/sec) | 2.34 × 108 ± 0.07 | 2.55 × 108 ± 0.09 |
| Refractive Index | 1.33 ± 0.01 | 1.33 ± 0.11 |
| Viscosity (cP) | 0.890 ± 0.110 | 0.888 ± 0.170 |
| Cancer Cell Lines (IC50 (µg/mL)) | |||
|---|---|---|---|
| H460 | MCF-7 | HCT116 | |
| H. acida crude | 20.80 ± 6.10 | 38.70 ± 0.80 | 42.90 ± 0.20 |
| HA-Np | >50 | >50 | >50 |
| Doxorubicin | 0.29 ± 2.32 | 0.08 ± 4.10 | 0.05 ± 3.24 |
Publisher’s Note: MDPI stays neutral with regard to jurisdictional claims in published maps and institutional affiliations. |
© 2022 by the authors. Licensee MDPI, Basel, Switzerland. This article is an open access article distributed under the terms and conditions of the Creative Commons Attribution (CC BY) license (https://creativecommons.org/licenses/by/4.0/).
Share and Cite
Adedokun, O.; Ntungwe, E.N.; Viegas, C.; Adesina Ayinde, B.; Barboni, L.; Maggi, F.; Saraiva, L.; Rijo, P.; Fonte, P. Enhanced Anticancer Activity of Hymenocardia acida Stem Bark Extract Loaded into PLGA Nanoparticles. Pharmaceuticals 2022, 15, 535. https://doi.org/10.3390/ph15050535
Adedokun O, Ntungwe EN, Viegas C, Adesina Ayinde B, Barboni L, Maggi F, Saraiva L, Rijo P, Fonte P. Enhanced Anticancer Activity of Hymenocardia acida Stem Bark Extract Loaded into PLGA Nanoparticles. Pharmaceuticals. 2022; 15(5):535. https://doi.org/10.3390/ph15050535
Chicago/Turabian StyleAdedokun, Oluwasegun, Epole N. Ntungwe, Cláudia Viegas, Bunyamin Adesina Ayinde, Luciano Barboni, Filippo Maggi, Lucilia Saraiva, Patrícia Rijo, and Pedro Fonte. 2022. "Enhanced Anticancer Activity of Hymenocardia acida Stem Bark Extract Loaded into PLGA Nanoparticles" Pharmaceuticals 15, no. 5: 535. https://doi.org/10.3390/ph15050535
APA StyleAdedokun, O., Ntungwe, E. N., Viegas, C., Adesina Ayinde, B., Barboni, L., Maggi, F., Saraiva, L., Rijo, P., & Fonte, P. (2022). Enhanced Anticancer Activity of Hymenocardia acida Stem Bark Extract Loaded into PLGA Nanoparticles. Pharmaceuticals, 15(5), 535. https://doi.org/10.3390/ph15050535

