Relationship between Delta Rhythm, Seizure Occurrence and Allopregnanolone Hippocampal Levels in Epileptic Rats Exposed to the Rebound Effect
Abstract
1. Introduction
2. Results
2.1. Different Responses to Treatment
2.2. Characterization of the Duration of SRSs
2.3. Characterization of SRSs Occurrence
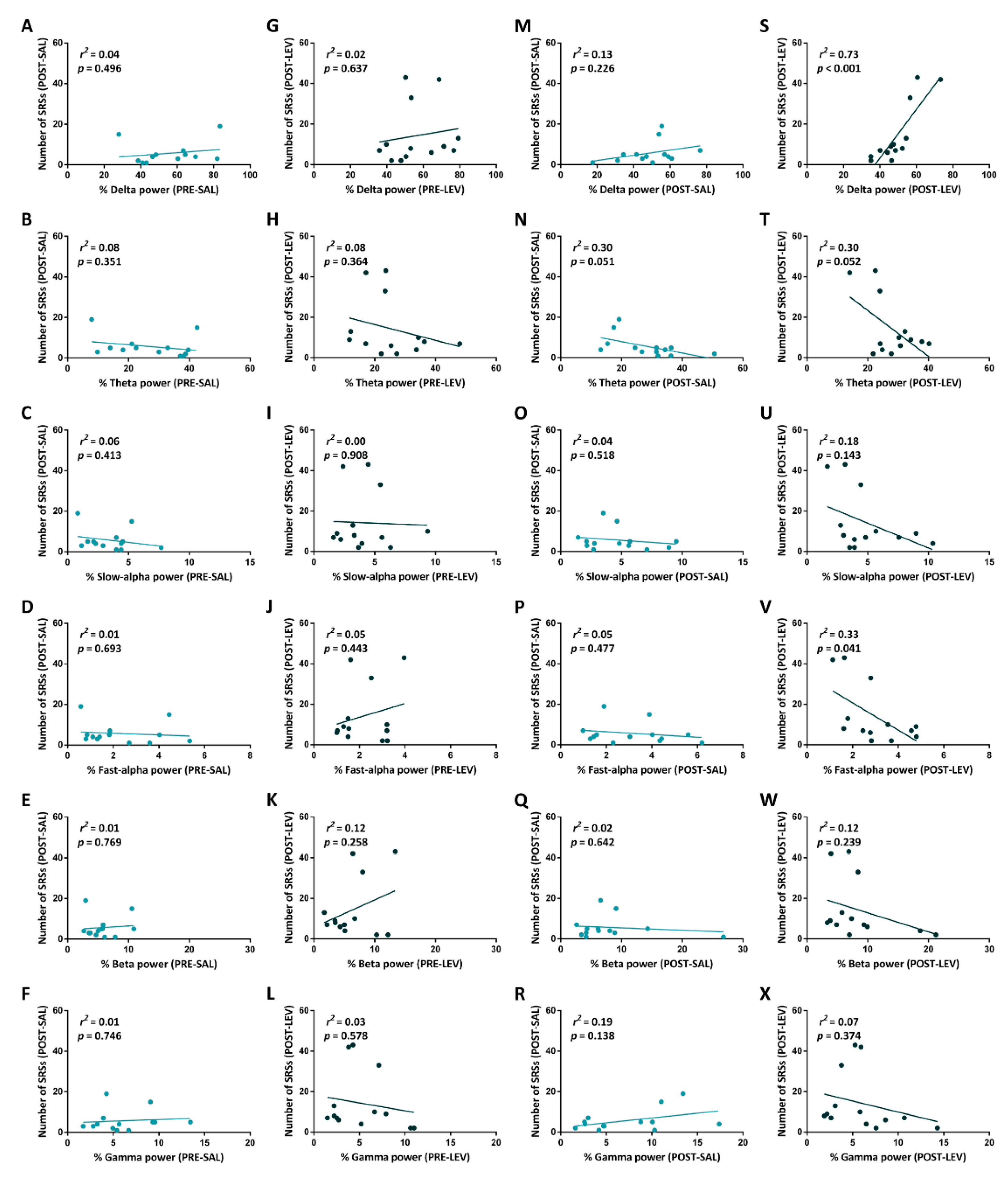
2.4. Relationship between Frontal Power Band Spectrum and SRSs in the Week Following the Treatment
2.5. Levels of Neurosteroids in the Hippocampus and Neocortex of Epileptic Rats, Measured 2 Weeks Following the Treatment
2.6. Relationship between the Number of SRSs after Treatment and Levels of Hippocampal Neurosteroids
2.7. Relationship between the Power of Delta Band in the Postictal Component of Seizures and Levels of Hippocampal Neurosteroids
3. Discussion
4. Materials and Methods
4.1. Animals
4.2. Experimental Design
4.3. v-ECoG Recordings
4.4. Behavioral and ECoG Analysis
4.5. Quantitative Analysis of Neurosteroids by LC-ESI-MS/MS
4.6. Statistics
5. Conclusions
Author Contributions
Funding
Institutional Review Board Statement
Informed Consent Statement
Data Availability Statement
Acknowledgments
Conflicts of Interest
References
- World Health Organization. Neurological Disorders: Public Health Challenges; World Health Organization: Geneva, Switzerland, 2006; ISBN 978-92-4-156336-9. [Google Scholar]
- Chisholm, D. Cost-effectiveness of first-line antiepileptic drug treatments in the developing world: A population-level analysis. Epilepsia 2005, 46, 751–759. [Google Scholar] [CrossRef]
- Al-Otaibi, F.; Baeesa, S.S.; Parrent, A.G.; Girvin, J.P.; Steven, D. Surgical techniques for the treatment of temporal lobe epilepsy. Epilepsy Res. Treat. 2012, 2012, 374848. [Google Scholar] [CrossRef]
- Engel, J. Introduction to temporal lobe epilepsy. Epilepsy Res. 1996, 26, 141–150. [Google Scholar] [CrossRef]
- Marciani, M.G.; Gotman, J.; Andermann, F.; Olivier, A. Patterns of seizure activation after withdrawal of antiepileptic medication. Neurology 1985, 35, 1537–1543. [Google Scholar] [CrossRef]
- Wang-Tilz, Y.; Tilz, C.; Wang, B.; Pauli, E.; Koebnick, C.; Stefan, H. Changes of seizures activity during rapid withdrawal of lamotrigine. Eur. J. Neurol. 2005, 12, 280–288. [Google Scholar] [CrossRef]
- Yen, D.-J.; Chen, C.; Shih, Y.-H.; Guo, Y.-C.; Liu, L.-T.; Yu, H.-Y.; Kwan, S.-Y.; Yiu, C.-H. Antiepileptic drug withdrawal in patients with temporal lobe epilepsy undergoing presurgical video-EEG monitoring. Epilepsia 2008, 42, 251–255. [Google Scholar] [CrossRef] [PubMed]
- Kagawa, K.; Iida, K.; Baba, S.; Hashizume, A.; Katagiri, M.; Kurisu, K.; Otsubo, H. Effective withdrawal of antiepileptic drugs in premonitoring admission to capture seizures during limited video-EEG monitoring. Epilepsia Open 2017, 2, 172–179. [Google Scholar] [CrossRef] [PubMed]
- Haut, S.R.; Shinnar, S.; Moshe, S.L.; O’Dell, C.; Legatt, A.D. The association between seizure clustering and convulsive status epilepticus in patients with intractable complex partial seizures. Epilepsia 1999, 40, 1832–1834. [Google Scholar] [CrossRef]
- Rajakulendran, S.; Nashef, L. Postictal generalized EEG suppression and SUDEP: A review. J. Clin. Neurophysiol. 2015, 32, 14–20. [Google Scholar] [CrossRef]
- Gualtieri, F.; Marinelli, C.; Longo, D.; Pugnaghi, M.; Nichelli, P.F.; Meletti, S.; Biagini, G. Hypoxia markers are expressed in interneurons exposed to recurrent seizures. Neuromol. Med. 2013, 15, 133–146. [Google Scholar] [CrossRef] [PubMed]
- Ayuga Loro, F.; Gisbert Tijeras, E.; Brigo, F. Rapid versus slow withdrawal of antiepileptic drugs. Cochrane Database Syst. Rev. 2020. [Google Scholar] [CrossRef]
- Klitgaard, H.; Matagne, A.; Gobert, J.; Wülfert, E. Evidence for a unique profile of levetiracetam in rodent models of seizures and epilepsy. Eur. J. Pharmacol. 1998, 353, 191–206. [Google Scholar] [CrossRef]
- Glien, M.; Brandt, C.; Potschka, H.; Löscher, W. Effects of the novel antiepileptic drug levetiracetam on spontaneous recurrent seizures in the rat pilocarpine model of temporal lobe epilepsy. Epilepsia 2002, 43, 350–357. [Google Scholar] [CrossRef]
- Van Vliet, E.A.; van Schaik, R.; Edelbroek, P.M.; Lopes da Silva, F.H.; Wadman, W.J.; Gorter, J.A. Development of tolerance to levetiracetam in rats with chronic epilepsy. Epilepsia 2008, 49, 1151–1159. [Google Scholar] [CrossRef] [PubMed]
- Doheny, H.C.; Whittington, M.A.; Jefferys, J.G.R.; Patsalos, P.N. A comparison of the efficacy of carbamazepine and the novel anti-epileptic drug levetiracetam in the tetanus toxin model of focal complex partial epilepsy. Br. J. Pharmacol. 2002, 135, 1425–1434. [Google Scholar] [CrossRef]
- Costa, A.M.; Lucchi, C.; Simonini, C.; Rosal Lustosa, Í.; Biagini, G. Status epilepticus dynamics predicts latency to spontaneous seizures in the kainic acid model. Cell. Physiol. Biochem. 2020, 54, 493–507. [Google Scholar] [CrossRef] [PubMed]
- Lucchi, C.; Costa, A.M.; Rustichelli, C.; Biagini, G. Allopregnanolone and pregnanolone are reduced in the hippocampus of epileptic rats, but only allopregnanolone correlates with the seizure frequency. Neuroendocrinology 2020. [Google Scholar] [CrossRef] [PubMed]
- Shiono, S.; Williamson, J.; Kapur, J.; Joshi, S. Progesterone receptor activation regulates seizure susceptibility. Annal. Clin. Trans. Neurol. 2019, 6, 1302–1310. [Google Scholar] [CrossRef] [PubMed]
- Scharfman, H.E.; Buckmaster, P.S. Issues in Clinical Epileptology: A View from the Bench; Springer: Dordrecht, The Netherlands, 2014; ISBN 978-94-017-8914-1. [Google Scholar]
- Grabenstatter, H.L.; Dudek, F.E. Effect of carbamazepine on spontaneous recurrent seizures recorded from the dentate gyrus in rats with kainate-induced epilepsy. Epilepsia 2019, 60, 636–647. [Google Scholar] [CrossRef]
- Dudek, F.E.; Staley, K.J. Post-status epilepticus models: Systemic kainic acid. In Models of Seizures and Epilepsy; Elsevier: Amsterdam, The Netherlands, 2017; pp. 599–610. ISBN 978-0-12-804066-9. [Google Scholar]
- Grabenstatter, H.L.; Ferraro, D.J.; Williams, P.A.; Chapman, P.L.; Dudek, F.E. Use of chronic epilepsy models in antiepileptic drug discovery: The effect of topiramate on spontaneous motor seizures in rats with kainate-induced epilepsy. Epilepsia 2005, 46, 8–14. [Google Scholar] [CrossRef]
- Grabenstatter, H.L.; Clark, S.; Dudek, F.E. Anticonvulsant effects of carbamazepine on spontaneous seizures in rats with kainate-induced epilepsy: Comparison of intraperitoneal injections with drug-in-food protocols. Epilepsia 2007, 48, 2287–2295. [Google Scholar] [CrossRef] [PubMed]
- Grabenstatter, H.L.; Dudek, F.E. A new potential AED, carisbamate, substantially reduces spontaneous motor seizures in rats with kainate-induced epilepsy. Epilepsia 2008, 49, 1787–1794. [Google Scholar] [CrossRef] [PubMed]
- Rosenow, F. Presurgical evaluation of epilepsy. Brain 2001, 124, 1683–1700. [Google Scholar] [CrossRef] [PubMed]
- Willems, L.M.; Reif, P.S.; Spyrantis, A.; Cattani, A.; Freiman, T.M.; Seifert, V.; Wagner, M.; You, S.-J.; Schubert-Bast, S.; Bauer, S.; et al. Invasive EEG-electrodes in presurgical evaluation of epilepsies: Systematic analysis of implantation-, video-EEG-monitoring- and explantation-related complications, and review of literature. Epilepsy Behav. 2019, 91, 30–37. [Google Scholar] [CrossRef]
- Henning, O.; Baftiu, A.; Johannessen, S.I.; Landmark, C.J. Withdrawal of antiepileptic drugs during presurgical video-EEG monitoring: An observational study for evaluation of current practice at a referral center for epilepsy. Acta Neurol. Scand. 2014, 129, 243–251. [Google Scholar] [CrossRef]
- Malow, B.A.; Blaxton, T.A.; Stertz, B.; Theodore, W.H. Carbamazepine withdrawal: Effects of taper rate on seizure frequency. Neurology 1993, 43, 2280. [Google Scholar] [CrossRef]
- Löscher, W.; Hönack, D. Development of tolerance during chronic treatment of kindled rats with the novel antiepileptic drug levetiracetam. Epilepsia 2000, 41, 1499–1506. [Google Scholar] [CrossRef]
- Van Vliet, E.A.; van Schaik, R.; Edelbroek, P.M.; Redeker, S.; Aronica, E.; Wadman, W.J.; Marchi, N.; Vezzani, A.; Gorter, J.A. Inhibition of the multidrug transporter P-glycoprotein improves seizure control in phenytoin-treated chronic epileptic rats. Epilepsia 2006, 47, 672–680. [Google Scholar] [CrossRef] [PubMed]
- Lucchi, C.; Costa, A.M.; Senn, L.; Messina, S.; Rustichelli, C.; Biagini, G. Augmentation of endogenous neurosteroid synthesis alters experimental status epilepticus dynamics. Epilepsia 2020. [Google Scholar] [CrossRef] [PubMed]
- Schmoll, H.; Badan, I.; Grecksch, G.; Walker, L.; Kessler, C.; Popa-Wagner, A. Kindling status in Sprague-Dawley rats induced by pentylenetetrazole. Am. J. Pathol. 2003, 162, 1027–1034. [Google Scholar] [CrossRef]
- Buga, A.-M.; Vintilescu, R.; Balseanu, A.T.; Pop, O.T.; Streba, C.; Toescu, E.; Popa-Wagner, A. Repeated PTZ treatment at 25-day intervals leads to a highly efficient accumulation of doublecortin in the dorsal hippocampus of rats. PLoS ONE 2012, 7, e39302. [Google Scholar] [CrossRef]
- Park, Y.; Luo, L.; Parhi, K.K.; Netoff, T. Seizure prediction with spectral power of EEG using cost-sensitive support vector machines: Seizure prediction with spectral power of EEG. Epilepsia 2011, 52, 1761–1770. [Google Scholar] [CrossRef]
- Cho, J.R.; Koo, D.L.; Joo, E.Y.; Yoon, S.M.; Ju, E.; Lee, J.; Kim, D.Y.; Hong, S.B. Effect of levetiracetam monotherapy on background EEG activity and cognition in drug-naïve epilepsy patients. Clin. Neurophysiol. 2012, 123, 883–891. [Google Scholar] [CrossRef] [PubMed]
- Rosenow, F. Is it time to look for frontal lobe seizures onset zone after they are over?—Defining the value of the postical irritative zone (PIZ) and postictal functional deficit zone (PFDZ) in localizing the epileptogenic zone. Clin. Neurophysiol. 2016, 127, 1757–1758. [Google Scholar] [CrossRef]
- Jan, M.M.S.; Sadler, M.; Rahey, S.R. Lateralized postictal EEG delta predicts the side of seizure surgery in temporal lobe epilepsy. Epilepsia 2002, 42, 402–405. [Google Scholar] [CrossRef] [PubMed]
- Kaibara, M.; Blume, W.T. The postictal electroencephalogram. Electroencephalogr. Clin. Neurophysiol. 1988, 70, 99–104. [Google Scholar] [CrossRef]
- Yang, L.; Worrell, G.A.; Nelson, C.; Brinkmann, B.; He, B. Spectral and spatial shifts of post-ictal slow waves in temporal lobe seizures. Brain 2012, 135, 3134–3143. [Google Scholar] [CrossRef]
- Grigorovsky, V.; Jacobs, D.; Breton, V.L.; Tufa, U.; Lucasius, C.; del Campo, J.M.; Chinvarun, Y.; Carlen, P.L.; Wennberg, R.; Bardakjian, B.L. Delta-gamma phase-amplitude coupling as a biomarker of postictal generalized EEG suppression. Brain Commun. 2020, 2. [Google Scholar] [CrossRef]
- Biagini, G.; Panuccio, G.; Avoli, M. Neurosteroids and epilepsy. Curr. Opin. Neurol. 2010, 23, 170–176. [Google Scholar] [CrossRef]
- Miller, P.S.; Scott, S.; Masiulis, S.; De Colibus, L.; Pardon, E.; Steyaert, J.; Aricescu, A.R. Structural basis for GABAA receptor potentiation by neurosteroids. Nat. Struct. Mol. Biol. 2017, 24, 986–992. [Google Scholar] [CrossRef] [PubMed]
- Margineanu, D.-G.; Matagne, A.; Kaminski, R.M.; Klitgaard, H. Effects of chronic treatment with levetiracetam on hippocampal field responses after pilocarpine-induced status epilepticus in rats. Brain Res. Bull. 2008, 77, 282–285. [Google Scholar] [CrossRef] [PubMed]
- Lucchi, C.; Costa, A.M.; Giordano, C.; Curia, G.; Piat, M.; Leo, G.; Vinet, J.; Brunel, L.; Fehrentz, J.-A.; Martinez, J.; et al. Involvement of PPARγ in the anticonvulsant activity of EP-80317, a ghrelin receptor antagonist. Front. Pharmacol. 2017, 8. [Google Scholar] [CrossRef]
- Racine, R.J. Modification of seizure activity by electrical stimulation: II. Motor seizure. Electroencephalogr. Clin. Neurophysiol. 1972, 32, 281–294. [Google Scholar] [CrossRef]
- Williams, P.A.; White, A.M.; Clark, S.; Ferraro, D.J.; Swiercz, W.; Staley, K.J.; Dudek, F.E. Development of spontaneous recurrent seizures after kainate-induced status epilepticus. J. Neurosci. 2009, 29, 2103–2112. [Google Scholar] [CrossRef] [PubMed]
- Richardson, M.P. Large scale brain models of epilepsy: Dynamics meets connectomics. J. Neurol. Neurosurg. Psychiatry 2012, 83, 1238–1248. [Google Scholar] [CrossRef]
- Kemp, B.; van Beelen, T.; Stijl, M.; van Someren, P.; Roessen, M.; van Dijk, J.G. A DC attenuator allows common EEG equipment to record fullband EEG, and fits fullband EEG into standard european data format. Clin. Neurophysiol. 2010, 121, 1992–1997. [Google Scholar] [CrossRef] [PubMed]
- Meletti, S.; Lucchi, C.; Monti, G.; Giovannini, G.; Bedin, R.; Trenti, T.; Rustichelli, C.; Biagini, G. Low levels of progesterone and derivatives in cerebrospinal fluid of patients affected by status epilepticus. J. Neurochem. 2018, 147, 275–284. [Google Scholar] [CrossRef]







| Analytes (ng/mg) | Rats Treated with Saline (Mean ± SEM) | Rats Treated with LEV (Mean ± SEM) | p-Value of t-Test |
|---|---|---|---|
| Pregnenolone sulfate | 0.01040 ± 0.00297 | 0.00042 ± 0.00018 | p = 0.001 |
| (hippocampus) | (n = 8) | (n = 11) | |
| Pregnenolone sulfate | 0.00032 ± 0.00006 | 0.00014 ± 0.00003 | p = 0.009 |
| (neocortex) | (n = 8) | (n = 13) | |
| Pregnenolone | 0.01070 ± 0.00215 | 0.00801 ± 0.00154 | p = 0.312 |
| (hippocampus) | (n = 8) | (n = 11) | |
| Pregnenolone | 0.01080 ± 0.00041 | 0.00925 ± 0.00066 | p = 0.106 |
| (neocortex) | (n = 8) | (n = 13) | |
| Progesterone | 0.00059 ± 0.00007 | 0.00068 ± 0.00005 | p = 0.305 |
| (hippocampus) | (n = 8) | (n = 10) | |
| Progesterone | 0.00052 ± 0.00005 | 0.00045 ± 0.00008 | p = 0.522 |
| (neocortex) | (n = 8) | (n = 12) | |
| 5α-Dihydroprogesterone | 0.00106 ± 0.00032 | 0.00034 ± 0.00008 | p = 0.018 |
| (hippocampus) | (n = 7) | (n = 11) | |
| 5α-Dihydroprogesterone | 0.00020 ± 0.00003 | 0.00016 ± 0.00003 | p = 0.490 |
| (neocortex) | (n = 8) | (n = 12) | |
| Allopregnanolone | 0.00030 ± 0.00006 | 0.00021 ± 0.00010 | p = 0.530 |
| (hippocampus) | (n = 7) | (n = 10) | |
| Allopregnanolone | 0.00011 ± 0.00002 | 0.00036 ± 0.00009 | p = 0.034 |
| (neocortex) | (n = 8) | (n = 12) | |
| Pregnanolone | 0.00015 ± 0.00005 | 0.00008 ± 0.00002 | p = 0.120 |
| (hippocampus) | (n = 3) | (n = 9) | |
| Pregnanolone | 0.00667 ± 0.00146 | 0.00007 ± 0.00002 | p ≤ 0.001 |
| (neocortex) | (n = 8) | (n = 11) |
Publisher’s Note: MDPI stays neutral with regard to jurisdictional claims in published maps and institutional affiliations. |
© 2021 by the authors. Licensee MDPI, Basel, Switzerland. This article is an open access article distributed under the terms and conditions of the Creative Commons Attribution (CC BY) license (http://creativecommons.org/licenses/by/4.0/).
Share and Cite
Costa, A.-M.; Lucchi, C.; Malkoç, A.; Rustichelli, C.; Biagini, G. Relationship between Delta Rhythm, Seizure Occurrence and Allopregnanolone Hippocampal Levels in Epileptic Rats Exposed to the Rebound Effect. Pharmaceuticals 2021, 14, 127. https://doi.org/10.3390/ph14020127
Costa A-M, Lucchi C, Malkoç A, Rustichelli C, Biagini G. Relationship between Delta Rhythm, Seizure Occurrence and Allopregnanolone Hippocampal Levels in Epileptic Rats Exposed to the Rebound Effect. Pharmaceuticals. 2021; 14(2):127. https://doi.org/10.3390/ph14020127
Chicago/Turabian StyleCosta, Anna-Maria, Chiara Lucchi, Asiye Malkoç, Cecilia Rustichelli, and Giuseppe Biagini. 2021. "Relationship between Delta Rhythm, Seizure Occurrence and Allopregnanolone Hippocampal Levels in Epileptic Rats Exposed to the Rebound Effect" Pharmaceuticals 14, no. 2: 127. https://doi.org/10.3390/ph14020127
APA StyleCosta, A.-M., Lucchi, C., Malkoç, A., Rustichelli, C., & Biagini, G. (2021). Relationship between Delta Rhythm, Seizure Occurrence and Allopregnanolone Hippocampal Levels in Epileptic Rats Exposed to the Rebound Effect. Pharmaceuticals, 14(2), 127. https://doi.org/10.3390/ph14020127

