Next Article in Journal
Three-Component Synthesis of 2-Amino-3-cyano-4H-chromenes, In Silico Analysis of Their Pharmacological Profile, and In Vitro Anticancer and Antifungal Testing
Next Article in Special Issue
Synthesis, Molecular Docking, and Antimalarial Activity of Hybrid 4-Aminoquinoline-pyrano[2,3-c]pyrazole Derivatives
Previous Article in Journal
New Diterpenoids from Mesona procumbens with Antiproliferative Activities Modulate Cell Cycle Arrest and Apoptosis in Human Leukemia Cancer Cells
Previous Article in Special Issue
Antikinetoplastid Activity of Sesquiterpenes Isolated from the Zoanthid Palythoa aff. clavata
 
 
Font Type:
Arial Georgia Verdana
Font Size:
Aa Aa Aa
Line Spacing:
Column Width:
Background:
Article

Synthesis and Structure-Activity Relationships of New 2-Phenoxybenzamides with Antiplasmodial Activity

1
Institute of Pharmaceutical Sciences, Pharmaceutical Chemistry, University of Graz, Schubertstraße 1, A-8010 Graz, Austria
2
Institute of Pharmaceutical Sciences, Pharmacognosy, University of Graz, Beethovenstraße 8, A-8010 Graz, Austria
3
Institute for Chemistry and Technology of Materials (ICTM), Graz University of Technology, Stremayrgasse 9, A-8010 Graz, Austria
4
Swiss Tropical and Public Health Institute, Socinstraße 57, CH-4002 Basel, Switzerland
5
Swiss TPH, University of Basel, Petersplatz 1, CH-4001 Basel, Switzerland
*
Author to whom correspondence should be addressed.
Pharmaceuticals 2021, 14(11), 1109; https://doi.org/10.3390/ph14111109
Submission received: 21 September 2021 / Revised: 28 October 2021 / Accepted: 29 October 2021 / Published: 30 October 2021
(This article belongs to the Collection Drug Discovery and Development for Tropical Diseases (TDs))

Abstract

:
The 2-phenoxybenzamide 1 from the Medicines for Malaria Venture Malaria Box Project has shown promising multi-stage activity against different strains of P. falciparum. It was successfully synthesized via a retrosynthetic approach. Subsequently, twenty-one new derivatives were prepared and tested for their in vitro activity against blood stages of the NF54 strain of P. falciparum. Several insights into structure-activity relationships were revealed. The antiplasmodial activity and cytotoxicity of compounds strongly depended on the substitution pattern of the anilino partial structure as well as on the size of substituents. The diaryl ether partial structure had further impacts on the activity. Additionally, several physicochemical and pharmacokinetic parameters were calculated (log P, log D7.4 and ligand efficiency) or determined experimentally (passive permeability and CYP3A4 inhibition). The tert-butyl-4-{4-[2-(4-fluorophenoxy)-3-(trifluoromethyl)benzamido]phenyl}piperazine-1-carboxylate possesses high antiplasmodial activity against P. falciparum NF54 (PfNF54 IC50 = 0.2690 µM) and very low cytotoxicity (L-6 cells IC50 = 124.0 µM) resulting in an excellent selectivity index of 460. Compared to the lead structure 1 the antiplasmodial activity was improved as well as the physicochemical and some pharmacokinetic parameters.

1. Introduction

Over a half of the world’s population is at risk of an infection with malaria, especially children and pregnant women in developing countries like Africa. In 2019 more than 229 million cases and over 400,000 deaths were reported [1]. Malaria is caused by single-celled, eukaryotic protozoans of the species Plasmodium. Five of them are human pathogenic with Plasmodium falciparum causing the most deadly and dangerous Malaria tropica [2]. The current gold standard for malaria treatment are artemisinin-based combination therapies (ACTs). They are combinations of short-acting artemisinins with drugs with longer half-life and different mode of action. Progressive resistance development to ACTs in the Southeast Asian region as well as first reports of artemisinin resistances from Africa in 2020, however, present a tremendous threat to previous accomplishments in the fight against malaria [3,4,5,6]. The last chance to at least temporarily prevent resistance development are triple artemisinin-based combination therapies, so called TACTs [7,8]. Vaccine development for malaria is also rather challenging due to the complex life cycle and multiple possible targets. The most advanced candidate in vaccines for P. falciparum malaria, RTS,S/AS01, neither provides long term protection nor significant protection against severe malaria [9,10,11]. Therefore, for now, orally administered drugs remain the most important field of research to successfully fight the malaria parasite.
In 2016 the foundation Medicines for Malaria Venture (MMV) has published results of a huge screening project, the so called “Malaria Box” [12]. It consists of 400 compounds with different activity against various strains of P. falciparum and serves as starting point for further research. Based on the Malaria Box project, a complex study on resistance development and cross resistances on 50 diverse chemically structured compounds discovered by phenotypic screening was performed [13,14,15]. By comparing the data set of this study, compound 1 was picked as promising lead structure. This 2-phenoxybenzamide is one of few structures exhibiting multi-stage activity against sexual, asexual and liver-stages of P. falciparum. Furthermore, in long-term in vitro studies with sub-lethal doses of compound 1 parasites did neither acquire resistances, nor cross-resistances, which is of great significance.
Within a subsequent study, targets of the 2-phenoxybenzamide were identified [16,17]. Synchronized P. falciparum 3D7-A10 parasites with an erythrocytic cycle of 40 h were exposed to different drug concentrations to determine stage specific activity. Compound 1 showed peak activity in sub-micromolar concentrations on late stage trophozoites. Furthermore, dihydroorotate and N-carbamoyl-L-aspartate, characteristic metabolic products that indicate disturbance of the mitochondrial electron transport chain, were detected. Consequently, the dihydroorotate-dehydrogenase as well as the cytochrome bc1 complex are potential targets of 1. Bloated digestive vacuoles indicate an additional influence on the hemoglobin catabolism [18,19].
The aim of this study was to synthesize new derivatives of the 2-phenoxybenzamide 1 to gain first insights in structure-activity relationships (SAR) and increase antiplasmodial activity. All newly synthesized compounds were tested for their activity against the NF54 strain of P. falciparum. To reveal pharmacokinetic parameters essential for orally administered drugs, compounds were analyzed for passive permeability and CYP3A4 inhibition.

2. Results and Discussion

2.1. Chemistry

The lead structure 1 was prepared in a multi-step synthesis starting from 3-(trifluoromethyl)anthranilic acid. By this time, no synthetic route to obtain compound 1 has been published. Therefore, a retrosynthetic approach was elaborated to prepare the 2-phenoxy scaffold 2 as well as the 2-substituted derivative of aniline 3. These partial structures were subsequently coupled to obtain the desired carboxamide 1 (Figure 1).
Treatment of 3-(trifluoromethyl)anthranilic acid with sodium nitrite under acidic conditions yielded the diazonium salt. In the course of a Sandmeyer-like reaction with potassium iodide, the diazonium group was substituted with iodine giving the 2-iodo-3-(trifluoromethyl)benzoic acid 4 in high yields [20]. The iodobenzoic acid 4 was afterwards converted into the diaryl ether 2 by means of a copper-catalyzed Ullmann-like ether synthesis [21]. Thereby, it was coupled with 4-fluorophenol to obtain the 2-phenoxy scaffold 2. The nucleophilic aromatic substitution of 1-fluoro-2-nitrobenzene with N-Boc-piperazine and potassium carbonate in dimethyl sulfoxide (DMSO) gave the 1-Boc-4-(2-nitrophenyl)piperazine 5 in high yields [22]. To obtain the 2-substituted derivative of aniline 3, the nitro group of compound 5 was subsequently reduced with palladium in an atmosphere of hydrogen at a Parr-apparatus [23]. The desired 2-phenoxybenzamide 1 was synthesized by coupling the carboxylic acid 2 with the anilino derivative 3. Various combinations of DCC, Oxyma Pure, Potassium Oxyma B, EDC x HCl, COMU, CDI and Mukaiyama reagent were used for amide formation. The highest yield was obtained with a combination of 2-chloro-N-methylpyridinium iodide (Mukaiyama reagent) and diisopropylethylamine (DIPEA) [24]. This reaction pathway was used for the majority of new compounds in this paper. The successful amide bond formation was detected by significant changes in the NMR spectra. In the 1H-NMR spectrum the signal of the aromatic amino protons disappeared and a new signal of the amide hydrogen appeared at much higher frequencies. In the 2D HMBC spectrum we observed a cross-peak from this hydrogen atom to the carbonyl group.
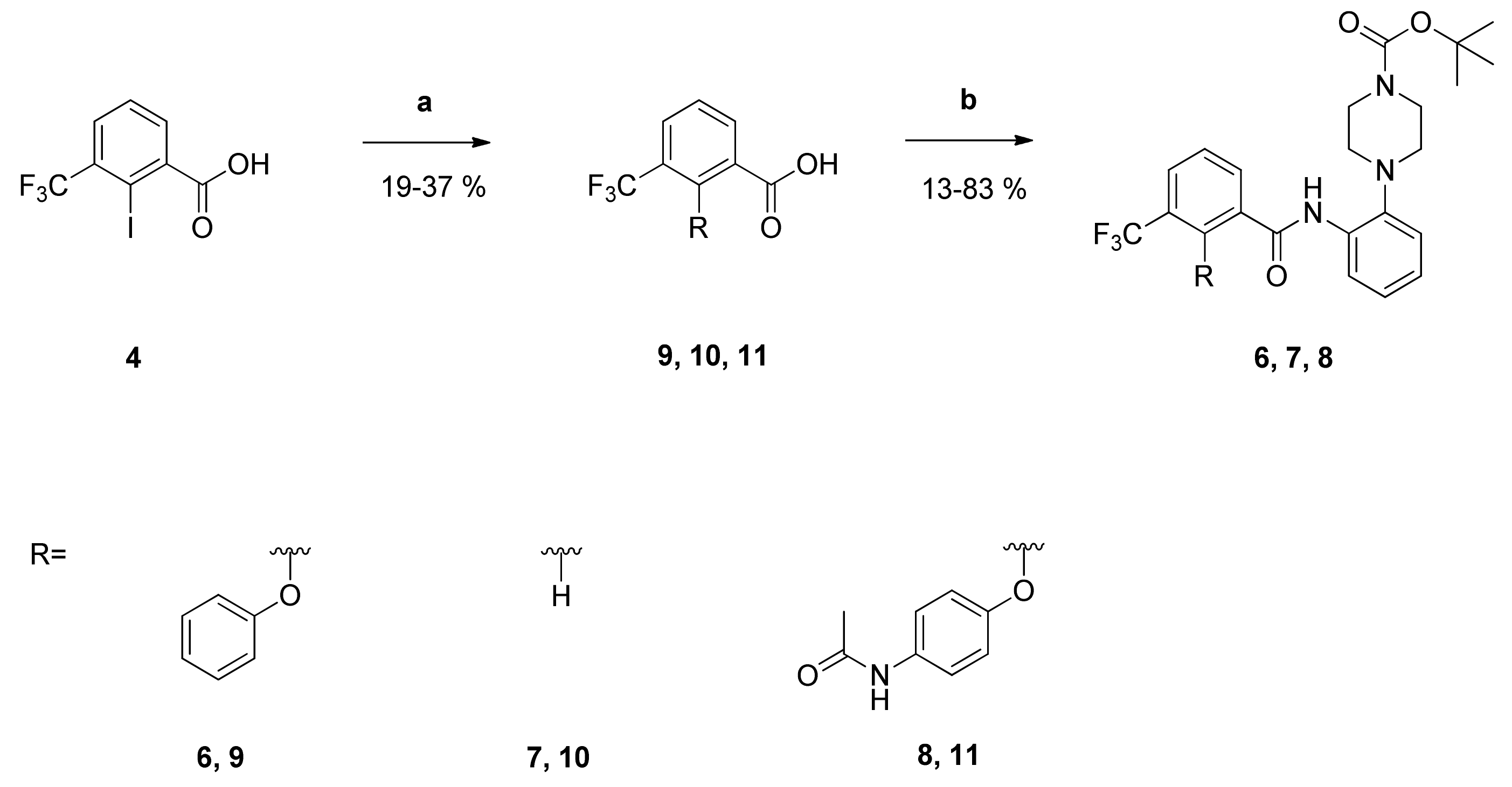
To obtain first insights into structure-activity relationships, several series of derivatives were prepared. At first, the 2-(4-fluorophenoxy) substituent was replaced by different functional groups to investigate their influence on the antiplasmodial activity. Compounds 6, 7 and 8 were synthesized as shown in Figure 2.
The carboxylic acids 9, 10 and 11 were prepared from 2-iodo-3-(trifluoromethyl)benzoic acid 4.The latter was treated with the corresponding phenoles to obtain the diaryl ethers 9 and 11 as well as the 3-(trifluoromethyl)benzoic acid 10. Subsequent treatment of the carboxylic acids with the anilino derivative 3, the Mukaiyama reagent and DIPEA in dichloromethane (CH2Cl2) yielded the amides 6, 7 and 8.
In order to determine the importance of the N-Boc-piperazinyl group for the antiplasmodial activity, the 2-phenoxybenzoic acid 2 was coupled with different primary aromatic amines giving compounds 12, 13 and 14.
The substituted aniline 15 was prepared from 2-nitroaniline. The latter was treated with di-tert-butyldicarbonate giving the tert-butyl-N-(2-nitrophenyl)carbamate 16 [25]. Selective reduction of the nitro group yielded the desired anilino derivative 15. Reaction of the carboxylic acid 2 with aniline or compound 15 gave benzanilides 12 and 13, respectively. Carbamate groups are usually cleaved with trifluoroacetic acid in dichloromethane [26]. Such treatment of compound 13 afforded the N-(2-aminophenyl)benzamide 14 (Figure 3).
In another series, the influence of the tert-butyloxycarbonyl substituent of the 2-piperazinylphenyl moiety of compound 1 on the antiplasmodial activity was investigated. Its replacement by diverse substituents yielded compounds 1722. The corresponding primary aromatic amines 2328 for the synthesis of the benzamides 1722 were prepared in multi-stage syntheses from 1-fluoro-2-nitrobenzene (Figure 4).
The N-Boc-group of carbamate 5 was eliminated using trifluoroacetic acid in CH2Cl2 yielding the 4-unsubstituted piperazinyl derivative 29. Afterwards, the terminal piperazinyl hydrogen was substituted with different functional groups. Compound 29 was treated with acetyl chloride and pivaloyl chloride, respectively, to obtain the acylated derivatives 30 and 31 [27]. In the course of a Reimer-Tiemann reaction the formylpiperazinyl analogue 32 was prepared from 29 with sodium ethanolate and chloroform [28]. Reaction of 29 with potassium cyanate in a mildly acidic environment yielded the carboxamide 33. Its N,N-dimethyl analogue 34 was prepared by reaction of 29 with 1,1′-carbonyldiimidazole and dimethylamine hydrochloride [29,30]. The nitro group of compounds 3034 was reduced with palladium in an atmosphere of hydrogen to obtain the desired 2-substituted anilino derivatives 2327. Their tert-butyl-piperazinyl analogue 28 was prepared by reduction of the nitro group of compound 35, which was obtained from the reaction of 1-fluoro-2-nitrobenzene with tert-butyl-piperazine. The N-[2-(piperazin-1-yl)phenyl derivatives 2328 were subsequently coupled with the carboxylic acid 2 to yield the amides 1722 (Figure 4).
In order to evaluate the influence of the ortho position of the piperazinyl substituent of 1, we prepared its 3-substituted and 4-substituted analogues 36 and 37. Furthermore, the N-Boc group was replaced by N-pivaloyl groups yielding compounds 38 and 39.
Their syntheses started from the corresponding fluoronitrobenzenes, which reacted in alkaline medium with N-Boc-piperazine giving compounds 40 and 41. Their N-pivaloyl analogues 42 and 43 were obtained in 2 steps from 40 and 41. At first the N-Boc group was cleaved with trifluoroacetic acid affording N-unsubstituted derivatives 44 and 45. Subsequent reaction with pivaloyl chloride and triethylamine in CH2Cl2 gave compounds 42 and 43 [27]. The nitro groups of compounds 4043 were reduced with palladium in an atmosphere of hydrogen to obtain their anilino derivatives 4649. Finally, they were coupled with the carboxylic acid 2 yielding benzamides 3639 (Figure 5).
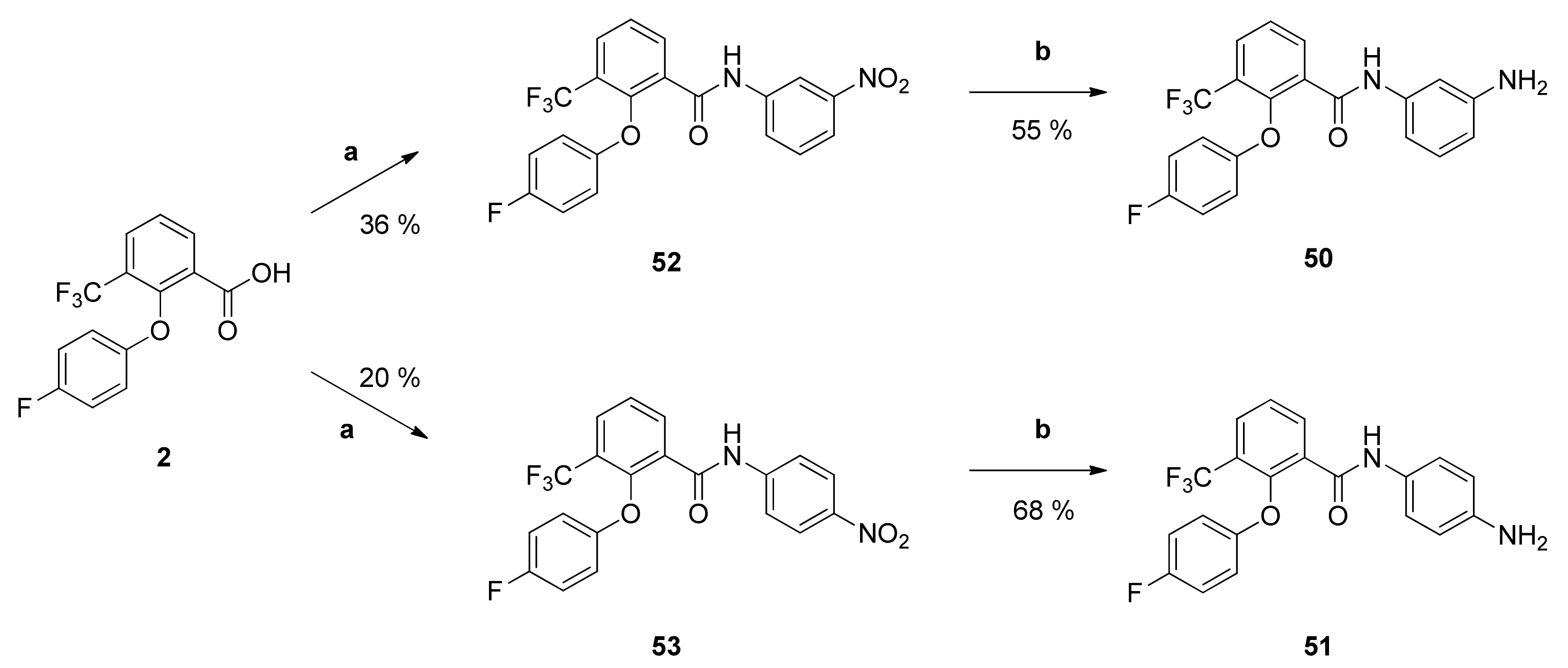
The positive influence of the piperazinyl substituent per se was examined via its replacement by a primary amino group. Compounds 50 and 51 were prepared by amide synthesis of the carboxylic acid 2 with the corresponding aniline giving the N-(nitrophenyl)benzamides 52 and 53 which were afterwards reduced with palladium in an atmosphere of hydrogen at the Parr-apparatus yielding the amides 50 and 51 (Figure 6).
Finally, analogues 54, 55 and 56 were synthesized, which exhibit the most promising substituents on the anilino site but lack the 4-fluoro substituent of the phenoxy moiety. They were prepared by reaction of the benzoic acid 9 with anilines 48, 49 and 25, respectively (Figure 7).

2.2. Antiplasmodial Activity and Cytotoxicity

All newly synthesized compounds were tested for their antiplasmodial activity against the chloroquine-sensitive strain Plasmodium falciparum NF54. Cytotoxicity was determined using rat skeletal myofibroblasts (L-6 cells). As standards chloroquine and podophyllotoxin were used. Results obtained are summarized in Table 1.
The already known compound 1 exhibits a 4-fluorophenoxy moiety and a N-(2-(4-Boc-piperazin-1-yl)phenyl substituent. It served as comparison for all newly synthesized compounds, showing good antiplasmodial activity (PfNF54 IC50 = 0.4134 µM) and promising selectivity (S.I. = 316.9). Replacement of the 4-fluorophenoxy substituent by a 4-phenoxy or a 4-acetamidophenoxy distinctly decreased the activity of compounds, but 6 and 8 still exhibited quite good activity and good selectivity (6, 8: PfNF54 IC50 = 1.012–1.146 µM; S.I. = 127.1–62.93). Substitution of the 4-fluorophenoxy moiety by a hydrogen atom led to moderate activity and selectivity (7: PfNF54 IC50 = 3.738 µM; S.I. = 30.22). So the aryloxy substituent appears to be favorable for the antiplasmodial activity. The impact on the cytotoxicity of the above-mentioned compounds was comparatively low (L-6 cells IC50 = 73.00–131.0 µM).
Replacement of the piperazinyl substituent in ring position 2 by a hydrogen atom, an amino group or a N-Boc-amino group caused a decrease of antiplasmodial activity. Compounds 12 and 14 showed negligible activity (PfNF54 IC50 = 9.325–21.28 µM) and low to moderate selectivity (S.I. = 21.71–6.080). Their N-Boc-amino analogue 13 exhibited moderate activity (PfNF54 IC50 = 1.902 µM), but only low selectivity (S.I. = 9.043), because its cytotoxicity was markedly increased (L-6 cells IC50 = 17.20 µM) in contrast to that of compounds 12 and 13 (L-6 cells IC50 = 129.4–202.5 µM).
In the next series of compounds the piperazinyl ring in position 2 was retained, but its N-Boc group was replaced by diverse substituents. The N-formyl and the N-carbamoyl analogues 18 and 21 possessed weak to negligible activity (PfNF54 IC50 = 6.585–15.64 µM), increased cytotoxicity (L-6 cells IC50 = 31.80–35.43 µM) and as a result only low selectivity (S.I. = 4.829–2.265). The corresponding N,N-dimethylcarbamoyl, the N-acetyl and the N-tert-butyl analogues 22, 17 and 20 showed comparable cytotoxicity (L-6 cells IC50 = 20.17–34.72 µM) but slightly improved activity (PfNF54 IC50 = 2.300–2.890 µM) and selectivity (S.I. = 10.72–8.770). In this series the N-pivaloyl analogues 19 and 56 showed sub-micromolar antiplasmodial activity (PfNF54 IC50 = 0.6172–0.6593 µM). Due to their decreased cytotoxicity (L-6 cells IC50 = 185.0–190.3 µM) their selectivity indices (S.I. = 299.7–288.6) match up with that of 1. In this case the 4-fluoro substitution of the phenoxy ring of 19 made no distinction. A benefit of the pivaloyl- compared to the tert-butyloxycarbonyl-group is its stability in acidic environment. Bulky, non polar substituents on the terminal piperazinyl nitrogen seem to be beneficial for high antiplasmodial activity.
A shift of the N-Boc piperazinyl substituent to ring positions 3 and 4 changed the activity significantly, whereas the cytotoxicity of both compounds 36 and 37 remained nearly unchanged (L-6 cells IC50 = 124.0 µM). The meta-substituted derivative 36 possessed only moderate activity (PfNF54 IC50 = 3.297 µM) and selectivity (S.I. = 37.58). However, its para-substituted analogue 37 showed the highest activity (PfNF54 IC50 = 0.2690 µM) and selectivity (S.I. = 461.0) of all tested compounds. Its 2-phenoxy analogue 54 exhibited distinctly lower activity (PfNF54 IC50 = 1.222 µM). Due to its decreased cytotoxicity (L-6 cells IC50 = 124.0 µM) its selectivity is still good (S.I. = 151.4). Their N-pivaloyl analogues 38 and 39 showed slightly increased cytotoxicity (L-6 cells IC50 = 78.00–99.62 µM). Again the meta-substituted derivative 38 was only moderately active (PfNF54 IC50 = 3.174 µM) and selective (S.I. = 24.61). Its para-substituted analogue 39 was a bit more active (PfNF54 IC50 = 0.5795 µM) but less selective (S.I. = 171.8) than its ortho-analogues 19 and 56. Its 2-phenoxy analogue 55 showed remarkably lower activity (PfNF54 IC50 = 4.662 µM) and selectivity (S.I. = 19.27), indicating that the 4-fluorophenoxy substituent has generally an advantageous effect. The para substituted N-Boc and N-pivaloylpiperazinyl derivatives are more active than their ortho substituted analogues. As already demonstrated for ortho substituted derivatives a remarkable decrease of activity was observed when the piperazinyl moieties was replaced by amino groups. The 3- amino and 4-amino analogues 50 and 51 were the least active of all tested compounds (PfNF54 IC50 = 51.49–51.85 µM).

2.3. Physicochemical and Pharmacokinetic Properties

In addition to antiplasmodial activity and cytotoxicity of compounds 1, 68, 1214, 1722, 3639, 50, 51 and 5456, some physicochemical parameters like log P and log D7.4 were calculated. Furthermore, ligand efficiency (LE) was determined (Table 2) [31]. The log P and log D7.4 values of compounds range between 4.43–6.60. Among the compounds with considerable antiplasmodial activity the N-[4-(4-pivaloylpiperazinyl)phenyl] benzamide 39 (log P = 5.56) exhibits the lowest log P and log D7.4 values, which is compared to compound 1 (log P = 6.44) a remarkable improvement.
Ligand efficiency is an important parameter in early drug development. It becomes more apparent, that large molecules often have disadvantageous molecular properties when it comes to oral bioavailability. Ligand efficiency is defined by the free binding energy for a compound divided by its number of heavy atoms (HA). The calculated values ranged from 0.183–0.255 kcal/mol/HA. From the group of more active compounds it was again 39 (LE = 0.236 kcal/mol/HA) that showed the highest value, which is a minor enhancement compared to 1 (LE = 0.214 kcal/mol/HA).
In addition, ADME assays to determine pharmacokinetic parameters were performed (Table 3). Passive permeability and inhibition of Cytochrom P450 3A4 were determined. Permeability of compounds through a semipermeable membrane was detectable for all compounds except 22 due to insufficient solubility in the used solvents. The most active compounds 19, 37, 39 and 56 showed quite low permeability (Pe = 0.09–0.24 × 10−6 cm/s). In the group of compounds with quite good activity the 2-phenyl and the 2-(4-acetamidophenyl) derivative 6 and 8 (Pe = 4.06–3.00 × 10−6 cm/s) possessed improved passive permeability compared to their 2-(4-fluorophenyl) analogue 1 (Pe = 2.37 × 10−6 cm/s). In general, compounds with permeabilities higher than 1.5 × 10−6 cm/s are considered to be highly permeable.
Inhibition of the phase I liver enzyme Cytochrom P450 3A4 that plays a crucial role in drug metabolism was determined for compounds with the highest antiplasmodial activities. CYP3A4 inhibition of compounds could result in increased bioavailability of simultaneously applied drugs. The lead structure 1 exhibits high enzyme interaction (87%) that is however surpassed by most tested compounds. Only compounds 18 (82%), 54 (80%) and 55 (60%) show less inhibition of CYP3A4.

3. Materials and Methods

3.1. Instrumentation and Chemicals

Melting points were obtained on an Electrothermal IA 9200 melting point apparatus. IR-spectra were acquired by a Bruker Alpha Platinum ATR FTIR spectrometer (KBr discs), the frequencies are reported in cm−1. The structures of all newly synthesized compounds were determined by one- and two-dimensional NMR spectroscopy. NMR spectra: Varian UnityInova 400 MHz and Bruker Avance Neo 400 MHz, 5 mm tubes, TMS as internal standard. Shifts in 1H NMR (400 MHz) and 13C NMR (100 MHz) spectra are reported in ppm; 1H- and 13C-resonances were assigned using 1H,1H- and 1H,13C-correlation spectra and are numbered as given in Figure 1. Signal multiplicities are abbreviated as follows: br, broad; d, doublet; dd, doublet of doublets; ddd, doublet of doublet of doublets; dt, doublet of triplets; m, multiplet; q, quartet; t, triplet; td, triplet of doublets; s, singlet. HRMS: Micromass Tofspec 3E spectrometer (MALDI) and GCT-Premiere, Waters (EI, 70 eV) and Q Exactive Hybrid Quadrupole-Orbitrap mass spectrometer (Thermo Fisher Scientific, Waltham, MA, USA).
Materials: column chromatography (CC): silica gel 60 (Merck 70–230 mesh, pore diameter 60 Å), flash silica gel 60 (Merck 230–400 mesh, pore diameter 60 Å or VWR 230–400 mesh, pore diameter 60 Å); thin-layer chromatography (TLC): TLC plates silica gel 60 F254 (Merck); PAMPA: 96-well precoated Corning Gentest PAMPA plate (Corning, Glendale, AZ, USA), 96-well UV-Star Microplates (Greiner Bio-One, Kremsmünster, Austria), SpectraMax M3 UV plate reader (Molecular Devices, San Jose, CA, USA); CYP3A4 inhibition assay: P450-Glo CYP3A4 Assay with Luciferin-IPA, NADPH Regeneration System and Beetle Luciferin, Potassium Salt (Promega Corporation, Madison, WI, USA), Corning Supersomes Human CYP3A4 + Oxidoreductase + b5 and Corning Supersomes Human P450 Oxidoreductase + b5 Negative Control (Corning, Glendale, AZ, USA), Ketoconazole Pharmaceutical Secondary Standard (Sigma Aldrich), 96-well White Plate (Greiner Bio-One, Kremsmünster, Austria); SpectraMax M3 plate reader (Molecular Devices, San Jose, CA, USA). 1H-NMR and 13C-NMR spectra of new compounds are available in Supplementary Materials Section (Figures S1–S40).

3.2. Syntheses

2-Iodo-3-(trifluoromethyl)benzoic acid (4): 3-(Trifluoromethyl)anthranilic acid (2.11 g (10.33 mmol)) was dissolved in dimethylsulfoxide (17 mL) and the solution was ice-cooled. Sulfuric acid 30 percent (17 mL) was added and the reaction mixture was stirred at 0 °C for 5 min. After that, NaNO2 (1.54 g (22.35 mmol)) was added, the ice bath was removed and the reaction mixture was stirred at room temperature for 2 h. KI (3.02 g (18.21 mmol)) was dissolved in water (10 mL) and added dropwise with a syringe through a septum. The reaction mixture was stirred at ambient temperature for 1 h. After that, the second portion of KI (1.71 g (10.33 mmol)) dissolved in water (7 mL) was added and the reaction mixture was stirred for another hour at room temperature. Then, ethyl acetate (50 mL) were added. The aqueous and organic phases were separated. The organic phase was washed with water and brine, dried over anhydrous sodium sulfate and filtered. The solvent was evaporated in vacuo. The residue was recrystallized from water, giving compound 4 as brownish solid (2.97 g (91%)). m.P. 134 °C. NMR data were in accordance with literature data [32].

3.2.1. General Procedure for the Synthesis of Compounds 2, 9, 10 and 11

The corresponding iodobenzoic acid derivative (4.00 mmol) was dissolved in dry dimethylformamide. Phenol (4.20 mmol), catalytic amounts of copper (0.53 mmol) and copper (I) iodide (0.18 mmol), 1,8-diazabicyclo[5.4.0]undec-7-ene (12.00 mmol) and dry pyridine (0.80 mmol) were added. The reaction mixture was refluxed at 160 °C for 2–48 h. Then, the mixture was acidified with 2N HCl to a pH of 1. Ice and dichloromethane were added. The aqueous and organic phases were separated. The aqueous phase was extracted three times with dichloromethane. The combined organic phases were washed with water and brine, dried over anhydrous sodium sulfate and filtered. The solvent was evaporated in vacuo yielding the raw diaryl ether, which was purified by column chromatography.
2-(4-Fluorophenoxy)-3-(trifluoromethyl)benzoic acid (2): The reaction of compound 4 (1.50 g (4.74 mmol)), 4-fluorophenol (561 mg (4.98 mmol)), copper (40 mg (0.62 mmol)), copper (I) iodide (43 mg (0.23 mmol)), DBU (2.17 g (14.23 mmol)) and dry pyridine (75 mg (0.95 mmol)) in dry dimethylformamide (38 mL) gave the raw diaryl ether. It was purified by column chromatography (silica gel, CH2Cl2/MeOH/AcOH 149:1:1) followed by recrystallization from CH2Cl2 yielding compound 2 as white solid (711 mg (50%)). m.P. 143 °C. IR = 3424, 1703, 1503, 1452, 1321, 1249, 1218, 1137, 827, 784, 678; 1H NMR (CDCl3, 400 MHz) δ = 6.67–6.70 (m, 2H, 2′-H, 6′-H), 6.90–6.94 (m, 2H, 3′-H, 5′-H), 7.44 (t, J = 7.8 Hz, 1H, 5-H), 7.96 (dd, J = 7.6, 1.7 Hz, 1H, 4-H), 8.18 (dd, J = 7.9, 1.7Hz, 1H, 6-H); 13C NMR (CDCl3, 100 MHz) δ = 115.87 (d, J = 22.8 Hz, C-3′, C-5′), 116.42 (d, J = 7.7 Hz, C-2′, C-6′), 122.59 (q, J = 273 Hz, CF3), 125.04 (C-1), 125.12 (C-5), 126.21 (q, J = 31.1 Hz, C-3), 132.33 (q, J = 4.6 Hz, C-4), 136.44 (C-6), 153.25 (q, J = 1.8 Hz, C-2), 155.05 (d, J = 2.5 Hz, C-1′), 158.03 (d, J = 240 Hz, C-4′), 168.79 (C=O); HRMS (EI+) calcd for C14H8F4O3 [M+]: 300.0410; found: 300.0406.
2-Phenoxy-3-(trifluoromethyl)benzoic acid (9): The reaction of compound 4 (1.63 g (5.15 mmol)), phenol (509 mg (5.41 mmol)), copper (49 mg (0.77 mmol)), copper (I) iodide (54 mg (0.28 mmol)), DBU (2.35 g (15.45 mmol)) and dry pyridine (71 mg (0.90 mmol)) in dry dimethylformamide (45 mL) gave the raw diaryl ether. It was purified by column chromatography (silica gel, CH2Cl2/isopropyl alcohol/NH3 cc. 8:9:2). The residue was dissolved in water (10 mL) and acidified with 2N HCl to a pH of 1. The aqueous phase was extracted with dichloromethane. The organic phase was dried over anhydrous sodium sulfate, filtered and the solvent was evaporated in vacuo yielding compound 9 as pale brown solid (538 mg (37%)). IR = 3430, 1684, 1601, 1493, 1451, 1322, 1244, 1169, 1132, 750; 1H NMR (CDCl3, 400 MHz) δ = 6.76 (d, J = 8.1 Hz, 2H, 2 ′-H, 6 ′-H), 7.01 (t, J = 7.4 Hz, 1H, 4′-H), 7.24 (d, J = 8.1 Hz, 2H, 3′-H, 5′-H), 7.44 (t, J = 7.9 Hz, 1H, 5-H), 7.94 (d, J = 7.8 Hz, 1H, 4-H), 8.20 (d, J = 7.7 Hz, 1H, 6-H); 13C NMR (CDCl3, 100 MHz) δ = 115.33 (C-2′, C-6′), 122.49 (C-4′), 122.62 (q, J = 273 Hz, CF3), 125.01 (C-5), 125.23 (C-1), 126.23 (q, J = 31.7 Hz, C-3), 129.44 (C-3′, C-5′), 132.25 (q, J = 5.2 Hz, C-4), 136.33 (C-6), 153.03 (C-2), 158.94 (C-1′), 167.96 (C=O); HRMS (ESI -) calcd for C14H8F3O3 [M-H]: 281.0426; found: 281.0426.
3-(Trifluoromethyl)benzoic acid (10): The reaction of compound 4 (1.28 g (4.06 mmol)), 2-nitrophenol (545 mg (3.92 mmol)), copper (34 mg (0.54 mmol)), copper (I) iodide (42 mg (0.22 mmol)), DBU (1.83 g (12.00 mmol)) and dry pyridine (63 mg (0.80 mmol)) in dry dimethylformamide (26 mL) gave the raw benzoic acid. It was purified by column chromatography (silica gel, CH2Cl2/MeOH/AcOH 59:1:1) yielding compound 10 as brownish solid (277 mg (19%)). NMR data were in accordance with literature data [33].
2-(4-Acetamidophenoxy)-3-(trifluoromethyl)benzoic acid (11): The reaction of compound 4 (1.27 g (4.03 mmol)), N-(4-hydroxyphenyl)acetamide (645 mg (4.27 mmol)), copper (35 mg (0.55 mmol)), copper (I) iodide (43 mg (0.25 mmol)), DBU (1.82 g (12.00 mmol)) and dry pyridine (63 mg (0.80 mmol)) in dry dimethylformamide (30 mL) for 48 h gave the raw diaryl ether. It was purified by column chromatography (silica gel, CH2Cl2/EtOH/AcOH 9:1:0.1) yielding compound 11 as pale-yellow solid (438 mg (32%)). IR = 3430, 2925, 1706, 1634, 1507, 1453, 1322, 1242, 1135, 672; 1H NMR (MeOD, 400 MHz) δ = 2.11 (s, 3H, CH3), 6.72–6.75 (m, 2H, 2′-H, 6′-H), 7.42–7.45 (m, 2H, 3′-H, 5′-H), 7.50 (t, J = 7.8 Hz, 1H, 5-H), 7.94 (dd, J = 7.9, 1.6 Hz, 1H, 4-H), 8.09 (dd, J = 7.8, 1.7 Hz, 1H, 6-H); 13C NMR (MeOD, 100 MHz) δ = 23.89 (CH3), 117.09 (C-2′, C-6′), 122.87 (C-3′, C-5′), 124.83 (q, J = 272 Hz, CF3), 126.51 (C-5), 126.56 (q, J = 30.8 Hz, C-3), 131.42 (q, J = 5.0 Hz, C-4), 131.61 (C-1), 134.68 (C-4′), 136.90 (C-6), 153.30 (q, J = 1.8 Hz, C-2), 157.20 (C-1′), 169.11 (COOH), 171.71 (C=O); HRMS (ESI +) calcd for C16H13F3NO4 [M+H]+: 340.0797; found: 340.0793.

3.2.2. General Procedure for the Synthesis of Compounds 5, 35, 40 and 41

Potassium carbonate (14.00 mmol) and the corresponding piperazine derivative (14.00 mmol) were suspended in dry dimethyl sulfoxide. The corresponding fluoronitrobenzene (7.00 mmol) was added and the suspension was refluxed at 80–120 °C for 72–120 h. After that, the reaction mixture was diluted with diethyl ether (30 mL) and acidified with 2N HCl to a pH of 1. The aqueous and organic phases were separated. The aqueous phase was extracted three times with diethyl ether. The combined organic phases were washed with water and brine, dried over anhydrous sodium sulfate and filtered. The solvent was evaporated in vacuo yielding the raw nitro compound, which was either purified by column chromatography or used without further purification.
tert-Butyl-4-(2-nitrophenyl)piperazine-1-carboxylate (5): The reaction of potassium carbonate (1.96 g (14.20 mmol), N-Boc-piperazine (2.64 g (14.20 mmol) and 1-fluoro-2-nitrobenzene (1.00 g (7.10 mmol)) in dry DMSO (40 mL) yielded compound 5 as orange oil (2.07 g (95%)) which was used without further purification. NMR data were in accordance with literature data [23].
tert-Butyl-4-(2-nitrophenyl)piperazine (35): The reaction of potassium carbonate (1.11 g (8.00 mmol), 1-tert-butylpiperazine (680 mg (4.57 mmol) and 1-fluoro-2-nitrobenzene (565 mg (4.00 mmol)) in dry DMSO (23 mL) gave the raw product. It was purified by column chromatography (silica gel, CH2Cl2/MeOH 19:1) yielding compound 35 as orange oil (664 mg (63%)). IR = 2977, 2830, 1604, 1527, 1490, 1447, 1353, 1293, 1222, 1134, 970, 849, 776, 757; 1H NMR (CDCl3, 400 MHz) δ = 1.11 (s, 9H, (CH3)3), 2.71–2.75 (m, 4H, N(CH2)2), 3.07–3.10 (m, 4H, N(CH2)2), 7.01 (td, J = 7.7, 1.2 Hz, 1H, 4-H), 7.14 (dd, J = 8.3, 1.1 Hz, 1H, 6-H), 7.46 (td, J = 7.8, 1.6 Hz, 1H, 5-H), 7.74 (dd, J = 8.1, 1.6 Hz, 1H, 3-H); 13C NMR (CDCl3, 100 MHz) δ = 25.93 ((CH3)3), 45.76 (N(CH2)2), 52.26 (N(CH2)2), 53.83 (CMe3),120.70 (C-6), 121.40 (C-4), 125.82 (C-3), 133.41 (C-5), 143.27 (C-2), 146.01 (C-1); HRMS (ESI +) calcd for C14H22N3O2 [M+H]+: 264.1712; found: 264.1712.
tert-Butyl-4-(3-nitrophenyl)piperazine-1-carboxylate (40): Refluxing a suspension of potassium carbonate (1.94 g (14.04 mmol), N-Boc-piperazine (2.61 g (14.00 mmol) and 1-fluoro-3-nitrobenzene (988 mg (7.00 mmol)) in dry DMSO (40 mL) at 120 °C for 120 h gave the raw product. It was purified by column chromatography (silica gel, cyclohexane (CH)/ethyl acetate (EtAc) 4:1) yielding compound 40 as orange solid (624 mg (29%)). NMR data were in accordance with literature data [34].
tert-Butyl-4-(4-nitrophenyl)piperazine-1-carboxylate (41): The reaction of potassium carbonate (1.94 g (14.02 mmol), N-Boc-piperazine (2.69 g (14.44 mmol) and 1-fluoro-4-nitrobenzene (988 mg (7.00 mmol)) in dry DMSO (40 mL) yielded compound 41 as orange solid (2.07 g (96%)) which was used without further purification. NMR data were in accordance with literature data [35].
tert-Butyl-N-(2-nitrophenyl)carbamate (16): To a solution of 2-nitroaniline (569 mg (4.12 mmol)) in dry CH2Cl2 (18 mL), dry triethylamine (567 mg (5.60 mmol)) was added. After that, di-tert-butyldicarbonat was added in portions. The reaction mixture was stirred at room temperature for 24 h. Then, the organic phase was washed with 8% aq NaHCO3 and brine, dried over anhydrous sodium sulfate and filtered. The solvent was evaporated in vacuo yielding compound 16 as orange solid (962 mg (98%)), which was used without further purification. NMR data were in accordance with literature data [36].

3.2.3. General Procedure for the Synthesis of Compounds 14, 29, 44 and 45

To an ice-cooled solution of the corresponding N-Boc derivative (1.00 mmol) in dry CH2Cl2 (10 mL) a solution of trifluoroacetic acid (30 mmol) in dry CH2Cl2 (3 mL) was added dropwise via a dropping funnel. The ice-bath was removed and the reaction mixture was stirred at room temperature for 24 h. After that, the solvent and excess trifluoroacetic acid were evaporated in vacuo. The residue was suspended in a solution of potassium carbonate (6.00 mmol) in water (12 mL). The aqueous phase was extracted five times with CH2Cl2/isopropyl alcohol (3:1). The organic phases were combined, dried over anhydrous sodium sulfate and filtered. The solvent was evaporated in vacuo yielding the amino or piperazine derivative, which was either purified by column chromatography or used without further purification.
N-(2-Aminophenyl)-2-(4-fluorophenoxy)-3-(trifluoromethyl)benzamide (14): Reaction of compound 13 (502 mg (1.02 mmol)) with trifluoroacetic acid (3.49 g (30.64 mmol)) in dichloromethane (13 mL) gave the protonated form 14. Work-up with a solution of potassium carbonate (2.92 g (21.00 mmol)) in water (42 mL) gave the raw product. It was purified by column chromatography (silica gel, CH2Cl2/EtAc 39:1) yielding compound 14 as white solid (56 mg (14%)). IR = 3292, 1649, 1501, 1452, 1312, 1223, 1141, 1099, 778, 743, 685; 1H NMR (CDCl3, 400 MHz) δ = 3.50 (br s, 2H, NH2), 6.69–6.74 (m, 2H, 3″-H, 5″-H), 6.79–6.83 (m, 2H, 2′-H, 6′-H), 6.92 (dd, J = 8.3, 1.5 Hz, 1H, 6″-H), 6.95–6.98, (m, 2H, 3′-H, 5′-H), 7.01 (td, J = 7.7, 1.5 Hz, 1H, 4″-H), 7.54 (t, J = 7.8 Hz, 1H, 5-H), 7.91 (dd, J = 8.0, 1.8 Hz, 1H, 4-H), 8.33 (dd, J = 7.9, 1.8 Hz, 1H, 6-H), 8.37 (br s, 1H, NH); 13C NMR (CDCl3, 100 MHz) δ = 116.26 (d, J = 8.3 Hz, C-2′, C-6′), 116.62 (d, J = 23.7 Hz, C-3′, C- 5′), 117.70 (C-3″), 119.31 (C-5″), 122.64 (q, J = 274 Hz, CF3), 123.12 (C-1″), 125.40 (C-6″), 125.41 (q, J = 31.8 Hz, C-3), 126.33 (C-5), 127.64 (C-4″), 130.54 (C-1), 130.88 (q, J = 4.9 Hz, C-4), 136.00 (C-6), 140.88 (C-2″), 149.50 (q, J = 1.9 Hz, C-2), 153.99 (d, J = 2.5 Hz, C-1′), 158.53 (d, J = 242 Hz, C-4′), 162.22 (C=O); HRMS (ESI +) calcd for C20H15F4N2O2 [M+H]+: 391.1070; found: 391.1060.
1-(2-Nitrophenyl)piperazine (29): Reaction of compound 5 (2.24 g (7.30 mmol)) with trifluoroacetic acid (5.00 g (43.80 mmol)) in dichloromethane (95 mL) gave the protonated form of 29. Work-up with a solution of potassium carbonate (6.06 g (43.80 mmol)) in water (88 mL) yielded compound 29 as orange oil (1.36 g (90%)), which was used without further purification. NMR data were in accordance with literature data [37].
1-(3-Nitrophenyl)piperazine (44): Reaction of compound 40 (464 mg (1.51 mmol)) with trifluoroacetic acid (2.05 g (18.00 mmol)) in dichloromethane (20 mL) gave the protonated form of 44. Work-up with a solution of potassium carbonate (1.25 g (9.00 mmol)) in water (18 mL) yielded compound 44 as orange oil (307 mg (98%)), which was used without further purification. NMR data were in accordance with literature data [34].
1-(4-Nitrophenyl)piperazine (45): Reaction of compound 41 (1.02 g (3.33 mmol)) with trifluoroacetic acid (4.45 g (39.00 mmol)) in dichloromethane (42 mL) gave the protonated form of 45. Work-up with a solution of potassium carbonate (2.70 g (19.56 mmol)) in water (40 mL) yielded compound 45 as yellow solid (683 mg (99%)), which was used without further purification. NMR data were in accordance with literature data [38].
1-[4-(2-Nitrophenyl)piperazin-1-yl]ethan-1-one (30): To a solution of compound 29 (1.36 g (6.59 mmol)) in dry acetonitrile (27 mL), dry triethylamine was added (2.00 g (19.78 mmol)). Acetyl chloride (1.55 g (19.78 mmol)) was added dropwise with a syringe through a septum. The reaction mixture was stirred at room temperature for 24 h. Afterwards, the solvent was evaporated in vacuo. The residue was dissolved in CH2Cl2 (20 mL). The organic phase was washed with 8% aq NaHCO3 and brine, dried over anhydrous sodium sulfate and filtered. The solvent was evaporated in vacuo yielding compound 30 as brown oil (1.64 g (100%)), which was used without further purification. NMR data were in accordance with literature data [23].
4-(2-Nitrophenyl)piperazine-1-carbaldehyde (32): Sodium (498 mg (21.70 mmol)) was added in portions to dry ethanol (12 mL). After that, a solution of compound 29 (746 mg (3.60 mmol)) in dry ethanol (5 mL) was added. The reaction mixture was stirred at 50 °C for 15 min. Dry chloroform (1.55 g (13.02 mmol)) was added dropwise with a syringe through a septum. The reaction mixture was stirred for another 45 min at 50 °C. Then, the mixture was quenched with water (30 mL). The aqueous and organic phases were separated, and the aqueous phase was extracted with CH2Cl2. The combined organic phases were washed with 1N HCl, dried over anhydrous sodium sulfate and filtered. The solvent was evaporated in vacuo yielding compound 32 as brown oil (661 mg (78%)), which was used without further purification. NMR data are in accordance with literature data [39].
4-(2-Nitrophenyl)piperazine-1-carboxamide (33): To a solution of 29 (559 mg (2.73 mmol)) in 1N HCl (3.5 mL), 2N KOH was added dropwise up to a pH of 3. After that, potassium cyanate (292 mg (3.60 mmol)) was added, and the reaction mixture was stirred at room temperature for 2 h. The precipitate was filtered and washed with water. It was dissolved in CH2Cl2. The organic phase was washed with 2N NaOH, dried over anhydrous sodium sulfate and filtered. The solvent was evaporated in vacuo yielding compound 33 as orange solid (396 mg (58%)), which was used without further purification. IR = 3388, 1651, 1589, 1523, 1501, 1440, 1332, 1229, 988, 780, 705; 1H NMR (CDCl3, 400 MHz) δ = 2.93–2.96 (m, 4H, N(CH2)2), 3.38–3.41 (m, 4H, N(CH2)2), 6.05 (s, 2H, NH2), 7.16 (ddd, J = 8.2, 7.3, 1.2 Hz, 1H, 4-H), 7.35 (dd, J = 8.4, 1.2 Hz, 1H, 6-H), 7.60 (ddd, J = 8.6, 7.4, 1.6 Hz, 1H, 5-H), 7.82 (dd, J = 8.1, 1.6 Hz, 1H, 3-H); 13C NMR (CDCl3, 100 MHz) δ = 43.61 (N(CH2)2), 51.39 (N(CH2)2), 121.98 (C-6), 122.49 (C-4), 125.51 (C-3), 133.96 (C-5), 143.35 (C-2), 145.38 (C-1), 158.15 (C=O); HRMS (ESI +) calcd for C11H15N4O3 [M+H]+: 251.1144; found: 251.1143.
N,N-Dimethyl-4-(2-nitrophenyl)piperazine-1-carboxamide (34): To a solution of compound 29 (414 mg (2.00 mmol)) and 1,1’-carbonyldiimidazole (433 mg (2.40 mmol)) in dry dimethylformamide (4 mL), dry triethylamine (1.13 g (10.00 mmol)) was added. The reaction mixture was stirred at room temperature for 30 min. After that, dimethylamine hydrochloride (726 mg (8.00 mmol)) was added. The reaction mixture was stirred at 80 °C for 6 h. The solvent was evaporated in vacuo and the residue was mixed with water (5 mL). The aqueous phase was extracted three times with ethyl acetate. The combined organic phases were washed with 8% aq NaHCO3 and brine, dried over anhydrous sodium sulfate and filtered. The solvent was evaporated in vacuo giving the raw product. Purification by column chromatography (silica gel, EtAc) yielded compound 34 as yellow solid (395 mg (71%)). IR = 3441, 2843, 1645, 1605, 1520, 1488, 1451, 1385, 1349, 1287, 1232, 1210, 1173, 1044, 1002, 927, 781, 759; 1H NMR (CDCl3, 400 MHz) δ = 2.85 (s, 6H, N(CH3)2), 3.04–3.08 (m, 4H, N(CH2)2), 3.41–3.44 (m, 4H, N(CH2)2), 7.08 (ddd, J = 8.3, 7.3, 1.2 Hz, 1H, 4-H), 7.15 (dd, J = 8.3, 1.1 Hz, 1H, 6-H), 7.49 (ddd, J = 8.5, 7.4, 1.6 Hz, 1H, 5-H), 7.82 (dd, J = 8.2, 1.5 Hz, 1H, 3-H); 13C NMR (CDCl3, 100 MHz) δ = 38.47 (N(CH3)2), 46.68 (N(CH2)2), 51.63 (N(CH2)2), 121.31 (C-6), 122.31 (C-4), 125.80 (C-3), 133.49 (C-5), 143.75 (C-2), 145.88 (C-1), 164.50 (C=O); HRMS (ESI +) calcd for C13H19N4O3 [M+H]+: 279.1457; found: 279.1458 [M+H]+.

3.2.4. General Procedure for the Synthesis of Compounds 31, 42 and 43

To an ice-cooled solution of the corresponding piperazine (2.00 mmol) in dry CH2Cl2 (8 mL), dry triethylamine (3.00 mmol) was added. After that, pivaloyl chloride (2.10 mmol) was added dropwise with a syringe through a septum. The ice-bath was removed and the reaction mixture was stirred at room temperature for 24 h. Then, the reaction was quenched with water (30 mL). The aqueous and organic phases were separated, and the organic phase was washed with 2N NaOH, 8% aq NaHCO3 and brine. It was dried over anhydrous sodium sulfate, filtered and the residue was evaporated in vacuo yielding the pivaloyl-piperazine derivative, which was either purified by column chromatography or used without further purification.
2,2-Dimethyl-1-[4-(2-nitrophenyl)piperazin-1-yl]propan-1-one (31): Reaction of 29 (555 mg (2.68 mmol)) with dry triethylamine (815 mg (8.05 mmol)) and pivaloyl chloride (340 mg (2.82 mmol)) in dry CH2Cl2 (11 mL) yielded compound 31 as yellow solid (687 mg (88%)), which was used without further purification. IR = 3441, 2973, 1619, 1523, 1493, 1424, 1363, 1272, 1231, 1187, 1015, 772, 751; 1H NMR (CDCl3, 400 MHz) δ = 1.31 (s, 9H, (CH3)3), 3.04–3.07 (m, 4H, N(CH2)2), 3.79–3.82 (m, 4H, N(CH2)2), 7.11 (td, J = 7.7, 1.2 Hz, 1H, 4-H), 7.15 (dd, J = 8.2, 1.2 Hz, 1H, 6-H), 7.51 (ddd, J = 8.1, 7.3, 1.6 Hz, 1H, 5-H), 7.79 (dd, J = 8.1, 1.6 Hz, 1H, 3-H); 13C NMR (CDCl3, 100 MHz) δ = 28.40 ((CH3)3), 38.67 (CMe3), 45.11 (N(CH2)2), 52.01 (N(CH2)2), 121.30 (C-6), 122.70 (C-4), 125.83 (C-3), 133.55 (C-5), 143.94 (C-2), 145.55 (C-1), 176.50 (C=O); HRMS (ESI +) calcd for C15H22N3O3 [M+H]+: 292.1661; found: 292.1661.
2,2-Dimethyl-1-[4-(3-nitrophenyl)piperazin-1-yl]propan-1-one (42): Reaction of 44 (332 mg (1.60 mmol)) with dry triethylamine (486 mg (4.80 mmol)) and pivaloyl chloride (203 mg (1.68 mmol)) in dry CH2Cl2 (8 mL) gave the raw product. Purification by column chromatography (silica gel, CH/EtAc 2:1) yielded compound 42 as yellow solid (322 mg (69%). IR = 3442, 2360, 1616, 1526, 1418, 1340, 1239, 734; 1H NMR (CDCl3, 400 MHz) δ = 1.33 (s, 9H, (CH3)3), 3.26–3.29 (m, 4H, N(CH2)2), 3.83–3.86 (m, 4H, N(CH2)2), 7.20 (dd, J = 8.3, 2.5 Hz, 1H, 6-H), 7.41 (t, J = 8.1 Hz, 1H, 5-H), 7.69–7.73 (m, 2 H, 2-H, 4-H); 13C NMR (CDCl3, 100 MHz) δ = 28.37 ((CH3)3), 38.69 (CMe3), 44.64 (N(CH2)2), 48.66 (N(CH2)2), 109.96 (C-2), 114.36 (C-4), 121.39 (C-6), 129.82 (C-5), 149.23 (C-3), 151.50 (C-1), 176.46 (C=O); HRMS (EI+) calcd for C15H22N3O3 [M+H]+: 292.1661; found: 292.1661.
2,2-Dimethyl-1-[4-(4-nitrophenyl)piperazin-1-yl]propan-1-one (43): Reaction of 45 (414 mg (2.00 mmol)) with dry triethylamine (607 mg (6.00 mmol)) and pivaloyl chloride (253 mg (2.10 mmol)) in dry CH2Cl2 (8 mL) yielded compound 43 as orange solid (513 mg (88%), which was used without further purification. IR = 3443, 1625, 1595, 1493, 1417, 1320, 1241, 1186, 1113, 1014, 753; 1H NMR (CDCl3, 400 MHz) δ = 1.32 (s, 9H, (CH3)3), 3.42–3.45 (m, 4H, N(CH2)2), 3.82–3.85 (m, 4H, N(CH2)2), 6.84 (d, J = 9.3 Hz, 2H, 2-H, 6-H), 8.15 (d, J = 9.3 Hz, 2H, 3-H, 5-H); 13C NMR (CDCl3, 100 MHz) δ = 28.22 ((CH3)3), 38.71 (CMe3), 44.42 ((NCH2)2), 47.07 ((NCH2)2), 112.88 (C-2, C- 6), 125.90 (C-3, C-5), 139.05 (C-4), 154.55 (C-1), 176.56 (C=O); HRMS (EI+) calcd for C15H22N3O3 [M+H]+: 292.1661; found: 292.1663.

3.2.5. General Procedure for the Synthesis of Compounds 3, 15, 2328, 4649, 50 and 51

To a solution of 15% (m/m) palladium on activated carbon in dry methanol (100 mL), the corresponding nitro compound (2.00 mmol) was added. The reduction of the nitro group was performed in an atmosphere of 50 psi hydrogen at the Parr-apparatus at room temperature for 24 h. After that, the reaction mixture was filtered and the solvent was evaporated in vacuo yielding the corresponding amino compound, which was either purified by column chromatography or used without further purification.
tert-Butyl-4-(2-aminophenyl)piperazine-1-carboxylate (3): Reaction of compound 5 (3.67 g (11.93 mmol)) with PdC (560 mg) in dry methanol (100 mL) gave the raw anilino derivative. It was purified by column chromatography (silica gel, CH2Cl2/MeOH 79:1) yielding compound 3 as pale brown solid (1.75 g (53%)). NMR data were in accordance with literature data [23].
tert-Butyl-N-(2-aminophenyl)carbamate (15): Reaction of compound 16 (1.12 g (4.71 mmol)) with PdC (172 mg) in dry methanol (100 mL) yielded compound 15 as orange solid (657 mg (67%)), which was used without further purification. NMR data were in accordance with literature data [40].
1-[4-(2-Aminophenyl)piperazin-1-yl]ethan-1-one (23): Reaction of compound 30 (1.78 g (7.14 mmol)) with PdC (268 mg) in dry methanol (80 mL) yielded compound 23 as dark-green oil (1.57 g (100%)), which was used without further purification. NMR data were in accordance with literature data [23].
4-(2-Aminophenyl)piperazine-1-carbaldehyde (24): Reaction of compound 32 (600 mg (2.55 mmol)) with PdC (123 mg) in dry methanol (90 mL) yielded compound 24 as pale brown solid (508 mg (97%)), which was used without further purification. IR = 3419, 3323, 2923, 2825, 1654, 1619, 1586, 1503, 1442, 1397, 1365, 1303, 1270, 1235, 1191, 1135, 1012, 918, 756; 1H NMR (CDCl3, 400 MHz) δ = 2.88–2.96 (m, 4H, N(CH2)2), 3.52 (t, J = 5.0 Hz, 2H, NCH2), 3.70 (br, 2H, NCH2), 4.00 (br s, 2H, NCH2), 6.73–6.77 (m, 2H, 3-H, 5-H), 6.94–7.00 (m, 2H, 4-H, 6-H), 8.10 (s, 1H, C=O); 13C NMR (CDCl3, 100 MHz) δ = 40.67 (NCH2), 46.32 (NCH2), 50.54 (NCH2), 51.70 (NCH2), 115.33 (C-3), 118.65 (C-5), 119.90 (C-6), 125.25 (C-4), 138.29 (C-1), 141.31 (C-2), 160.87 (C=O); HRMS (EI+) calcd for C11H16N3O [M+H]+: 206.1293; found: 206.1292.
1-[4-(2-Aminophenyl)piperazin-1-yl]-2,2-dimethylpropan-1-one (25): Reaction of compound 31 (555 mg (1.90 mmol)) with PdC (111 mg) in dry methanol (90 mL) yielded compound 25 as silver-grey solid (367 mg (74%)), which was used without further purification. IR = 3397, 3320, 2965, 2825, 1614, 1500, 1477, 1426, 1360, 1300, 1276, 1228, 1196, 1152, 1042, 1018, 934, 752; 1H NMR (CDCl3, 400 MHz) δ = 1.32 (s, 9H, (CH3)3), 2.88–2.91 (br, 4H, N(CH2)2), 3.78 (br, 4H, N(CH2)2), 3.99 (s, 2H, NH2), 6.72–6.76 (m, 2H, 3-H, 5-H), 6.93–6.97 (m, 2H, 4-H, 6-H); 13C NMR (CDCl3, 100 MHz) δ = 28.44 ((CH3)3), 38.67 (CMe3), 45.82 (N(CH2)2), 51.23 (N(CH2)2), 115.27 (C-3), 118.64 (C-5), 119.84 (C-6), 125.05 (C-4), 138.47 (C-1), 141.42 (C-2), 176.46 (C=O); HRMS (ESI +) calcd for C15H24N3O [M+H]+: 262.1919; found: 262.1919.
4-(2-Aminophenyl)-N,N-dimethylpiperazine-1-carboxamide (26): Reaction of compound 34 (407 mg (1.46 mmol)) with PdC (61 mg) in dry methanol (90 mL) yielded compound 28 as white solid (330 mg (91%)), which was used without further purification. IR = 3397, 3315, 2811, 1621, 1502, 1455, 1392, 1365, 1212, 1107, 1069, 1002, 928, 753; 1H NMR (CDCl3, 400 MHz) δ = 2.87 (s, 6H, N(CH3)2), 2.89–2.92 (m, 4H, N(CH2)2), 3.38 (br, 4H, N(CH2)2), 3.98 (br, 2H, NH2), 6.72–6.76 (m, 2H, 3-H, 5-H), 6.94 (td, J = 7.6, 1.2 Hz, 1H, 4-H), 6.98 (dd, J = 8.2, 1.3 Hz, 1H, 6-H); 13C NMR (CDCl3, 100 MHz) δ = 38.50 (N(CH3)2), 47.49 (N(CH2)2), 50.95 (N(CH2)2), 115.20 (C-3), 118.58 (C-5), 119.93 (C-6), 124.88 (C-4), 138.86 (C-1), 141.47 (C-2), 164.82 (C=O); HRMS (ESI +) calcd for C13H21N4O [M+H]+: 249.1715; found: 249.1714.
4-(2-Aminophenyl)piperazine-1-carboxamide (27): Reaction of compound 33 (404 mg (1.61 mmol)) with PdC (62 mg) in dry methanol (90 mL) yielded compound 27 as pale brown solid (333 mg (94%)), which was used without further purification. IR = 3424, 1645, 1592, 1503, 1440, 1283, 993, 754; 1H NMR (CDCl3, 400 MHz) δ = 2.69–2.73 (m, 4H, N(CH2)2), 3.44 (br, 4H, N(CH2)2), 4.77 (s, 2H, NH2), 6.00 (s, 2H, (C=O)NH2), 6.53 (td, J = 7.5, 1.5 Hz, 1H, 5-H), 6.67 (td, J = 7.9, 1.5 Hz, 1H, 3-H), 6.80 (td, J = 7.6, 1.3 Hz, 1H, 4-H),6.87 (dd, J = 7.8, 1.4 Hz, 1H, 6-H); 13C NMR (CDCl3, 100 MHz) δ = 44.12 (N(CH2)2), 50.63 (N(CH2)2), 114.55 (C-3), 116.72 (C-5), 119.32 (C-6), 124.31 (C-4), 138.13 (C-1), 142.51 (C-2), 158.33 (C=O); HRMS (EI+) calcd for C11H17N4 [M+H]+: 221.1402; found: 221.1402.
2-(4-tert-Butylpiperazin-1-yl)aniline (28): Reaction of compound 35 (619 mg (2.35 mmol)) with PdC (112 mg) in dry methanol (90 mL) yielded compound 26 as pale brown solid (472 mg (86%)), which was used without further purification. IR = 3395, 2974, 2829, 1610, 1503, 1457, 1363, 1279, 1220, 1132, 963, 760, 739; 1H NMR (CDCl3, 400 MHz) δ = 1.12 (s, 9H, (CH3)3), 2.73 (br, 4H, N(CH2)2), 2.95 (br, 4H, N(CH2)2), 3.97 (br, 2H, NH2), 6.71–6.76 (m, 2H, 3-H, 5-H), 6.92 (td, J = 7.6, 1.5 Hz, 1H, 4-H), 7.02 (dd, J = 8.3, 1.4 Hz, 1H, 6-H); 13C NMR (CDCl3, 100 MHz) δ = 25.92 ((CH3)3), 46.44 (N(CH2)2), 51.68 (N(CH2)2), 53.74 (CMe3), 115.00 (C-3), 118.57 (C-5), 119.91 (C-6), 124.45 (C-4), 139.34 (C-1), 141.53 (C-2); HRMS (ESI +) calcd for C14H24N3 [M+H]+: 234.1970; found: 234.1972.
tert-Butyl-4-(3-aminophenyl)piperazine-1-carboxylate (46): Reaction of compound 40 (809 mg (2.63 mmol)) with PdC (125 mg) in dry methanol (100 mL) yielded compound 46 as brown oil (657 mg (90%)), which was used without further purification. NMR data were in accordance with literature data [41].
1-[4-(3-Aminophenyl)piperazin-1-yl]-2,2-dimethylpropan-1-one (47): Reaction of compound 42 (291 mg (1.00 mmol)) with PdC (60 mg) in dry methanol (80 mL) gave the raw anilino derivative. The residue was dissolved in ethyl acetate and extracted with 2N HCl. The aqueous phases were combined and basified with 2N NaOH to a pH of 14. The aqueous phase was extracted with ethyl acetate. The organic phase was washed with 8% aq NaHCO3, dried over anhydrous sodium sulfate and filtered. The solvent was evaporated in vacuo yielding compound 47 as pale brown solid (248 mg (95%)). IR = 3471, 3338, 2972, 1614, 1503, 1426, 1364, 1283, 1210, 1193, 974, 841, 761, 689; 1H NMR (CDCl3, 400 MHz) δ = 1.31 (s, 9H, (CH3)3), 3.12–3.15 (m, 4H, N(CH2)2), 3.63 (br, 2H, NH2), 3.77–3.80 (m, 4H, N(CH2)2), 6.24–6.26 (m, 2H, 2-H, 2-H, 4-H), 6.35 (dd, J = 8.2, 2.0 Hz, 1H, 6-H), 7.06 (t, J = 8.2 Hz, 1H, 5-H); 13C NMR (CDCl3, 100 MHz) δ = 28.40 ((CH3)3), 38.63 (CMe3), 45.00 (N(CH2)2), 49.47 (N(CH2)2), 103.14 (C-2), 107.00 (C-6), 107.57 (C-4), 129.99 (C-5), 147.35 (C-3), 152.18 (C-1), 176.33 (C=O); HRMS (ESI +) calcd for C15H24N3O [M+H]+: 262.1919; found: 262.1920.
tert-Butyl-4-(4-aminophenyl)piperazine-1-carboxylate (48): Reaction of compound 41 (1.98 g (6.45 mmol)) with PdC (299 mg) in dry methanol (100 mL) yielded compound 48 as dark-red oil (1.66 g (93%)), which was used without further purification. NMR data were in accordance with literature data [41].
1-[4-(4-Aminophenyl)piperazin-1-yl]-2,2-dimethylpropan-1-one (49): Reaction of compound 43 (410 mg (1.41 mmol)) with PdC (69 mg) in dry methanol (100 mL) yielded compound 49 as dark-red oil (346 mg (94%)). IR = 3435, 2966, 1610, 1515, 1423, 1364, 1269, 1229, 1190, 1017, 831; 1H NMR (CDCl3, 400 MHz) δ = 1.31 (s, 9H, (CH3)3), 2.99–3.02 (m, 4H, N(CH2)2), 3.46 (br, 2H, NH2), 3.77–3.80 (m, 4H, N(CH2)2), 6.66 (d, J = 8.7 Hz, 2H, 3-H, 5-H), 6.80 (d, J = 8.7 Hz, 2H, 2-H, 6-H); 13C NMR (CDCl3, 100 MHz) δ = 28.43 ((CH3)3), 38.64 (CMe3), 45.23 ((NCH2)2), 51.34 ((NCH2)2), 116.14 (C-3, C-5), 118.96 (C-2, C-6), 140.68 (C-4), 144.04 (C-1), 176.30 (C=O); HRMS (ESI +) calcd for C15H24N3O [M+H]+: 262.1919; found: 262.1913.
N-(3-Aminophenyl)-2-(4-fluorophenoxy)-3-(trifluoromethyl)benzamide (50): Reaction of compound 52 (90 mg (0.21 mmol)) with PdC (15 mg) in dry methanol (80 mL) yielded compound 50 as pale yellow solid (45 mg (55%)). IR = 3253, 1656, 1597, 1547, 1500, 1450, 1325, 1222, 1160, 776, 686; 1H NMR (CDCl3, 400 MHz) δ = 6.43 (dd, J = 8.1, 2.2 Hz, 1H, 4″-H), 6.54 (dd, J = 8.0, 1.9 Hz, 1H, 6″-H), 6.74–6.78 (m, 2H, 2′-H, 6′-H), 6.90–6.95 (m, 2H, 3′-H, 5′-H), 7.02–7.06 (m, 2H, 2″-H, 5″-H), 7.53 (t, J = 7.8 Hz, 1H, 5-H), 7.89 (dd, J = 7.9, 1.7 Hz, 1H, 4-H), 8.27 (dd, J = 7.8, 1.7 Hz, 1H, 6-H), 8.39 (br s, 1H, NH); 13C NMR (CDCl3, 100 MHz) δ = 106.82 (C-2″), 110.02 (C-6″), 111.69 (C-4″), 116.20 (d, J = 8.3 Hz, C-2′, C-6′), 116.53 (d, J = 23.8 Hz, C-3′, C-5′), 122.67 (q, J = 273 Hz, CF3), 125.22 (q, J = 31.7 Hz, C-3), 126.28 (C-5), 129.71 (C-5″), 130.59 (q, J = 4.8 Hz, C-4), 130.97 (C-1), 135.89 (C-6), 138.18 (C-1″), 147.19 (C-3″), 149.43 (q, J = 1.8 Hz, C-2), 154.01 (d, J = 2.5 Hz, C-1′), 158.50 (d, J = 242 Hz, C-4′), 161.52 (C=O); HRMS (ESI +) calcd for C20H15F4N2O2 [M+H]+: 391.1070; found: 391.1061.
N-(4-Aminophenyl)-2-(4-fluorophenoxy)-3-(trifluoromethyl)benzamide (51): Reaction of compound 53 (58 mg (0.14 mmol)) with PdC (10 mg) in dry methanol (80 mL) gave the raw anilino derivative. It was purified by column chromatography (silica gel, CH/EtAc 1:1) yielding compound 51 as pale yellow solid (37 mg (68%)). IR = 3362, 1654, 1517, 1500, 1449, 1315, 1217, 1167, 1135, 1097, 828, 779, 685; 1H NMR (CDCl3, 400 MHz) δ = 3.61 (br s, 2H, NH2), 6.59 (d, J = 8.6 Hz, 2H, 3″-H, 5″-H), 6.75–6.79 (m, 2H, 2′-H, 6′-H), 6.91–6.96 (m, 2H, 3′-H, 5′-H), 7.09 (d, J = 8.6 Hz, 2H, 2″-H, 6″-H), 7.52 (t, J = 7.8 Hz, 1H, 5-H), 7.88 (dd, J = 7.8, 1.7 Hz, 1H, 4-H), 8.26–8.29 (m, 1H, 6-H, NH); 13C NMR (CDCl3, 100 MHz) δ = 115.27 (C-3″, C-5″), 116.19 (d, J = 8.2 Hz, C-2′, C-6′), 116.51 (d, J = 23.7 Hz, C-3′, C-5′), 122.35 (C-2″, C-6″), 122.71 (q, J = 273 Hz, CF3), 125.13 (q, J = 31.8 Hz, C-3), 126.22 (C-5), 128.31 (C-1″), 130.38 (q, J = 4.9 Hz, C-4), 131.02 (C-1), 135.88 (C-6), 143.91 (C-4″), 149.39 (q, J = 1.8 Hz, C-2), 154.03 (d, J = 2.5 Hz, C-1′), 158.47 (d, J = 242 Hz, C-4′), 161.41 (C=O); HRMS (ESI +) calcd for C20H15F4N2O2 [M+H]+: 391.1070; found: 391.1062.

3.2.6. General Procedure for the Synthesis of Compounds 1, 68, 12, 13, 1722, 3639 and 5256

Carboxylic acid (1.00 mmol) and anilino derivative (1.00 mmol) were dissolved in dry CH2Cl2 and cooled to 0 °C in an ice-bath. 2-Chloro-N-methylpyridinium iodide and diisopropylethylamine were added whereupon the ice-bath was removed. The reaction mixture was stirred at room temperature for 24–48 h. Reaction progress was monitored by TLC. Afterwards, 20% aq NH4Cl (50 mL) was added. The aqueous and organic phases were separated, and the aqueous phase was extracted twice with ethyl acetate. The combined organic phases were washed with 8% aq NaHCO3 and brine, dried over anhydrous sodium sulfate and filtered. The solvent was evaporated in vacuo giving the raw carboxamide that was purified by recrystallization or column chromatography.
tert-Butyl-4-{2-[2-(4-fluorophenoxy)-3-(trifluoromethyl)benzamido]phenyl}piperazine-1-carboxylate (1): Reaction of the carboxylic acid 2 (210 mg (0.70 mmol)) with the amine 3 (194 mg (0.70 mmol)), 2-chloro-N-methylpyridinium iodide (316 mg (1.24 mmol)) and DIPEA (452 mg (3.50 mmol)) in dry CH2Cl2 (30 mL) gave the raw carboxamide. Purification by column chromatography (silica gel, CH2Cl2/MeOH 99:1) yielded compound 1 as pale-yellow solid (51 mg (13%)). IR = 3440, 1690, 1539, 1523, 1500, 1450, 1366, 1320, 1216, 1166, 1135, 837, 777, 689; 1H NMR (CDCl3, 400 MHz) δ = 1.50 (s, 9H, (CH3)3), 2.81 (t, J = 4.8 Hz, 4H, N(CH2)2), 3.62 (br s, 4H, N(CH2)2), 6.68–6.72 (m, 2H, 2′-H, 6′-H), 6.84–6.89 (m, 2H, 3′-H, 5′-H), 7.04–7.14 (m, 3H, 3″-H, 4″-H, 5″-H), 7.53 (t, J = 7.6 Hz, 1H, 5-H), 7.89 (dd, J = 7.9, 1.6 Hz, 1H, 4-H), 8.21 (dd, J = 7.6, 1.6 Hz, 1H, 6-H), 8.31 (dd, J = 8.3, 1.6 Hz, 1H, 6″-H), 9.69 (s, 1H, NH); 13C NMR (CDCl3, 100 MHz) δ = 28.39 ((CH3)3), 44.12 (N(CH2)2), 52.26 (N(CH2)2), 80.13 (CMe3), 116.28 (d, J = 23.6 Hz, C-3′, C-5′), 116.44 (d, J = 7.6 Hz, C-2′, C- 6′), 119.68 (C-6″), 120.53 (C-3″), 122.67 (q, J = 274 Hz, CF3), 124.41 (C-4″), 125.31 (q, J = 31.8 Hz, C-3), 125.80 (C-5″), 126.18 (C-5), 130.42 (q, J = 4.9 Hz, C-4), 131.94 (C-1), 133.11 (C-1″), 135.28 (C-6), 141.07 (C-2″), 149.77 (q, J = 1.8 Hz, C-2), 154.14 (d, J = 2.6 Hz, C-1′), 154.65 (C=O), 158.35 (d, J = 242 Hz, C-4′), 161.74 ((C=O)NH); HRMS (EI+) calcd for C29H29F4N3O4 [M+]: 559.2094; found: 559.2094.
tert-Butyl-4-{2-[2-phenoxy-3-(trifluoromethyl)benzamido]phenyl}piperazine-1-carboxylate (6): Reaction of the carboxylic acid 9 (414 mg (1.47 mmol)) with the amine 3 (411 mg (1.48 mmol)), 2-chloro-N-methylpyridinium iodide (657 mg (2.57 mmol)) and DIPEA (949 mg (7.34 mmol)) in dry CH2Cl2 (32 mL) gave the raw carboxamide. Purification by column chromatography (silica gel, CH2Cl2/EtOH 79:1) yielded compound 6 as white solid (414 mg (52%)). IR = 3330, 2976, 1687, 1592, 1522, 1449, 1356, 1321, 1229, 1136, 911, 871, 752, 690; 1H NMR (CDCl3, 400 MHz) δ = 1.50 (s, 9H, (CH3)3), 2.81 (t, J = 4.9 Hz, 4H, N(CH2)2), 3.64 (br t, J = 5.0 Hz, 4H, N(CH2)2), 6.74 (br d, J = 7.9 Hz, 2H, 2′-H, 6′-H), 6.95 (br t, J = 7.4 Hz, 1H, 4′-H), 7.02–7.12 (m, 3H, 3″-H, 4″-H, 5″-H), 7.14–7.20 (m, 2H, 3′-H, 5′-H), 7.53 (br t, J = 7.8 Hz, 1H, 5-H), 7.89 (dd, J = 8.0, 1.7 Hz, 1H, 4-H), 8.24 (dd, J = 7.8, 1.7 Hz, 1H, 6-H), 8.29 (dd, J = 8.1, 1.8 Hz, 1H, 6″-H), 9.76 (s, 1H, NH); 13C NMR (CDCl3, 100 MHz) δ = 28.42 ((CH3)3), 44.07 (N(CH2)2), 52.26 (N(CH2)2), 80.07 (CMe3), 115.22 (C-2′, C-6′), 119.77 (C-6″), 120.48 (C-3″), 122.72 (q, J = 273 Hz, CF3), 123.13 (C-4′), 124.27 (C-4″), 125.41 (q, J = 31.7 Hz, C-3), 125.69 (C-5″), 126.02 (C-5), 129.72 (C-3′, C-5′), 130.41 (q, J = 4.9 Hz, C-4), 131.98 (C-1), 133.23 (C-1″), 135.29 (C-6), 141.16 (C-2″), 149.68 (q, J = 2.0 Hz, C-2), 154.66 (COO), 158.16 (C-1′), 161.80 (C=O); HRMS (EI+) calcd for C29H30F3N3O4 [M+]: 551.2110; found: 542.2278 [M+H]+.
tert-Butyl-4-{2-[3-(trifluoromethyl)benzamido]phenyl}piperazine-1-carboxylate (7): Reaction of the carboxylic acid 10 (323 mg (1.70 mmol)) with the amine 3 (287 mg (1.04 mmol)), 2-chloro-N-methylpyridinium iodide (463 mg (1.81 mmol)) and DIPEA (646 mg (5.00 mmol)) in dry CH2Cl2 (44 mL) gave the raw carboxamide. Purification by column chromatography (silica gel, CH2Cl2/MeOH 79:1) yielded compound 7 as white solid (99 mg (13%)). IR = 3324, 2854, 1687, 1591, 1521, 1456, 1395, 1368, 1247, 1166, 1125, 1072, 911, 773, 695; 1H NMR (CDCl3, 400 MHz) δ = 1.50 (s, 3H, (CH3)3), 2.88 (t, J = 5.0 Hz, 4H, N(CH2)2), 3.61 (br, 4H, N(CH2)2), 7.14 (ddd, J = 8.0, 7.3, 1.5 Hz, 1H, 4″-H), 7.23 (ddd, J = 9.6, 7.3, 1.1 Hz, 1H, 3″-H), 7.25–7.28 (m, 1H, 5″-H), 7.68 (br t, J = 7.7 Hz, 1H, 5-H), 7.83 (br d, J = 7.8 Hz, 1H, 4-H), 8.10 (br d, J = 7.8 Hz, 1H, 6-H), 8.20 (br s, 1H, 2-H), 8.56 (dd, J = 8.1, 1.4 Hz, 1H, 6″-H), 9.58 (s, 1H, NH); 13C NMR (CDCl3, 100 MHz) δ = 28.39 ((CH3)3), 44.53 (N(CH2)2), 52.35 (N(CH2)2), 80.22 (CMe3), 119.45 (C-6″), 123.64 (q, J = 273 Hz, CF3), 120.92 (C-3″), 123.98 (q, J = 3.8 Hz, C-2), 124.33 (C-4″), 126.27 (C-5″), 128.38 (q, J = 3.6 Hz, C-4), 129.61 (C-5), 129.95 (C-6), 131.49 (q, J = 32.7 Hz, C-3), 133.33 (C-1″), 135.89 (C-1), 141.09 (C-2″), 154.61 (COO), 163.10 (C=O); HRMS (ESI +) calcd for C23H27F3N3O3 [M+H]+: 450.2005; found: 450.2008.
tert-Butyl-4-{2-[2-(4-acetamidophenoxy)-3-(trifluoromethyl)benzamido]phenyl}piperazine-1-carboxylate (8): Reaction of the carboxylic acid 11 (708 mg (2.09 mmol)) with the amine 3 (579 mg (2.09 mmol)), 2-chloro-N-methylpyridinium iodide (933 mg (3.65 mmol)) and DIPEA (1.35 g (10.44 mmol)) in dry CH2Cl2 (100 mL) gave the raw carboxamide. Purification by column chromatography (silica gel, CH2Cl2/MeOH 29:1) yielded compound 8 as white solid (1.04 g (83%)). IR = 3333, 1673, 1603, 1505, 1449, 1367, 1324, 1233, 1163, 760; 1H NMR (DMSO-d6, 400 MHz) δ = 1.43 (s, 9H, (CH3)3), 1.96 (s, 3H, CH3), 2.76 (t, J = 4.9 Hz, 4H, N(CH2)2), 3.50 (t, J = 4.9 Hz, 4H, N(CH2)2), 6.70 (d, J = 9.0 Hz, 2H, 2′-H, 6′-H), 7.01 (td, J = 7.7, 1.5 Hz, 1H, 5″-H), 7.06 (td, J = 7.6, 1.6 Hz, 1H, 4″-H), 7.19 (br d, J = 7.8 Hz, 1H, 3″-H), 7.41 (d, J = 9.0 Hz, 2H, 3′-H, 5′-H), 7.64 (t, J = 7.8 Hz, 1H, 5-H), 7.68 (br d, J = 8.0 Hz, 1H, 6″-H), 8.00–8.06 (m, 2H, 4-H, 6-H), 9.62 (s, 1H, NH), 9.81 (s, 1H, NH); 13C NMR (DMSO-d6, 100 MHz) δ = 23.74 (CH3), 28.03 ((CH3)3), 43.65 (N(CH2)2), 51.39 (N(CH2)2), 79.00 (CMe3), 115.46 (C-2′, C-6′), 120.31 (C-3′, C-5′), 120.67 (C-3″), 120.95 (C-6″), 123.02 (q, J = 273 Hz, CF3), 123.39 (q, J = 30.9 Hz, C-3), 124.38 (C-5″), 124.78 (C-4″), 126.17 (C-5), 129.61 (q, J = 4.2 Hz, C-4), 132.08 (C-1), 132.22 (C-1″), 134.41 (C-4′), 134.64 (C-6), 142.77 (C-2″), 149.42 (q, J = 1.7 Hz, C-2), 153.48 (C-1′), 153.89 (COO), 162.07 (ArC=O), 167.85 (CH3C=O); HRMS (ESI +) calcd for C31H34F3N4O5 [M+H]+: 599.2481; found: 599.2487.
2-(4-Fluorophenoxy)-N-phenyl-3-(trifluoromethyl)benzamide (12): Reaction of the carboxylic acid 2 (303 mg (1.01 mmol)) with aniline (93 mg (1.00 mmol)), 2-chloro-N-methylpyridinium iodide (464 mg (1.82 mmol)) and DIPEA (646 mg (5.00 mmol)) in dry CH2Cl2 (30 mL) gave the raw carboxamide. Purification by column chromatography (silica gel, CH/EtAc 3:1) yielded compound 12 as white solid (68 mg (18%)). IR = 3317, 1657, 1579, 1529, 1502, 1444, 1339, 1313, 1249, 1217, 1166, 1132, 821, 779, 755, 687; 1H NMR (CDCl3, 400 MHz) δ = 6.75–6.79 (m, 2H, 2′-H, 6′-H), 6.91–6.95 (m, 2H, 3′-H, 5′-H), 7.11 (t, J = 7.4 Hz, 1H, 4″-H), 7.29 (t, J = 7.9 Hz, 2H, 3″-H, 5″-H), 7.38 (d, J = 7.6 Hz, 2H, 2″-H, 6″-H), 7.54 (t, J = 7.8 Hz, 1H, 5-H), 7.90 (dd, J = 7.9, 1.7 Hz, 1H, 4-H), 8.30 (dd, J = 7.9, 1.7 Hz, 1H, 6-H), 8.49 (br s, 1H, NH); 13C NMR (CDCl3, 100 MHz) δ = 116.15 (d, J = 8.4 Hz, C-2′, C-6′), 116.57 (d, J = 23.8 Hz, C-3′, C- 5′), 120.22 (C-2″, C-6″), 122.66 (q, J = 273 Hz, CF3), 125.01 (C-4″), 125.24 (q, J = 32.2 Hz, C-3), 126.33 (C-5), 129.04 (C-3″, C-5″), 130.70 (q, J = 4.6 Hz, C-4), 135.95 (C-6), 137.12 (C-1″), 149.46 (q, J = 1.6 Hz, C-2), 154.00 (d, J = 2.1 Hz, C-1′), 158.51 (d, J = 242 Hz, C-4′), 161.61 (C=O); HRMS (ESI +) calcd for C20H13F4NO2 [M+]: 375.0882; found: 375.0894.
tert-Butyl-N-{2-[2-(4-fluorophenoxy)-3-(trifluoromethyl)benzamido]phenyl}carbamate (13): Reaction of the carboxylic acid 2 (311 mg (1.04 mmol)) with the amine 15 (217 mg (1.04 mmol)), 2-chloro-N-methylpyridinium iodide (490 mg (1.92 mmol)) and DIPEA (646 mg (5.00 mmol)) in dry CH2Cl2 (30 mL) gave the raw carboxamide. Purification by column chromatography (silica gel, CH/EtAc 3:1) yielded compound 13 as dark-red solid (46 mg (9%)). IR = 3276, 1730, 1639, 1604, 1503, 1455, 1314, 1223, 1164, 842, 754; 1H NMR (CDCl3, 400 MHz) δ = 1.50 (s, 9H, (CH3)3), 6.50 (br s, 1H, NH), 6.80–6.84 (m, 2H, 2′-H, 6′-H), 6.92–6.97 (m, 2H, 3′-H, 5′-H), 7.10 (td, J = 7.4, 1.6 Hz, 1H, 5″-H), 7.15 (td, J = 7.6, 1.7 Hz, 1H, 4″-H), 7.24–7.27 (m, 1H, 6″-H), 7.34 (dd, J = 7.8, 1.6 Hz, 1H, 3″-H), 7.51 (t, J = 7.8 Hz, 1H, 5-H), 7.89 (dd, J = 7.8, 1.7 Hz, 1H, 4-H), 8.23 (dd, J = 7.8, 1.7 Hz, 1H, 6-H), 9.02 (br s, 1H, NH); 13C NMR (CDCl3, 100 MHz) δ = 28.19 ((CH3)3), 81.41 (CMe3), 116.39 (d, J = 23.8 Hz, C-3′, C-5′), 116.47 (d, J = 8.1 Hz, C-2′, C-6′), 122.66 (q, J = 273 Hz, CF3), 124.54 (C-3″), 124.97 (C-6″), 125.27 (q, J = 31.8 Hz, C-3), 125.77 (C-5″), 126.02 (C-5), 126.49 (C-4″), 129.83 (C-1″), 130.27 (C-2″), 130.60 (q, J = 4.9 Hz, C-4), 130.89 (C-1), 135.66 (C-6), 149.83 (q, J = 1.9 Hz, C-2), 153.95 (N(C=O)O), 154.20 (d, J = 2.4 Hz, C-1′), 158.40 (d, J = 242 Hz, C-4′), 162.67 (C=O); HRMS (ESI -) calcd for C25H20F4N2O4 [M-H]: 489.1437; found: 489.1442
N-[2-(4-Acetylpiperazin-1-yl)phenyl]-2-(4-fluorophenoxy)-3-(trifluoromethyl)benzamide (17): Reaction of the carboxylic acid 2 (623 mg (2.08 mmol)) with the amine 23 (462 mg (2.11 mmol)), 2-chloro-N-methylpyridinium iodide (928 mg (3.63 mmol)) and DIPEA (1.29 g (10.00 mmol)) in dry CH2Cl2 (90 mL) gave the raw carboxamide. Purification by column chromatography (silica gel, CH2Cl2/MeOH 39:1) yielded compound 17 as colorless oil (31 mg (3%)). IR = 3419, 1653, 1591, 1520, 1501, 1448, 1324, 1219, 1137, 999, 834, 780; 1H NMR (CDCl3, 400 MHz) δ = 2.16 (s, 3H, CH3), 2.82–2.88 (m, 4H, 2 NCH2), 3.63–3.67 (m, 2H, NCH2), 3.82 (br, 2H, NCH2), 6.68–6.72 (m, 2H, 2′-H, 6′-H), 6.85–6.89 (m, 2H, 3′-H, 5′-H), 7.05–7.19 (m, 3H, 3″-H, 4″-H, 5″-H), 7.54 (t, J = 7.9 Hz, 1H, 5-H), 7.90 (dd, J = 7.9, 1.7 Hz, 1H, 4-H), 8.23 (dd, J = 7.9, 1.7 Hz, 1H, 6-H), 8.32 (dd, J = 8.0, 1.4 Hz, 1H, 6″-H), 9.70 (s, 1H, NH); 13C NMR (CDCl3, 100 MHz) δ = 21.36 (CH3), 41.94 (NCH2), 46.83 (NCH2), 52.18 (NCH2), 52.55 (NCH2), 116.37 (d, J = 23.7 Hz, C-3′, C-5′), 116.41 (d, J = 8.3 Hz, C-2′, C-6′), 119.81 (C-6″), 120.57 (C-3″), 122.66 (q, J = 273 Hz, CF3), 124.48 (C-4″), 125.33 (q, J = 31.8 Hz, C-3), 126.09 (C-5″), 126.28 (C-5), 130.50 (q, J = 4.8 Hz, C-4), 131.98 (C-1), 131.98 (C-1″), 135.35 (C-6), 140.59 (C-2″), 149.72 (q, J = 1.8 Hz, C-2), 154.10 (d, J = 2.3 Hz, C-1′), 158.40 (d, J = 242 Hz, C-4′), 161.73 ((C=O)NH), 169.07 (MeC=O); HRMS (ESI +) calcd for C26H24F4N3O3 [M+H]+: 502.1754; found: 502.1774.
2-(4-Fluorophenoxy)-N-[2-(4-formylpiperazin-1-yl)phenyl]-3-(trifluoromethyl)benzamide (18): Reaction of the carboxylic acid 2 (312 mg (1.04 mmol)) with the amine 24 (222 mg (1.08 mmol)), 2-chloro-N-methylpyridinium iodide (451 mg (1.77 mmol)) and DIPEA (646 mg (5.00 mmol)) in dry CH2Cl2 (40 mL) gave the raw carboxamide. Purification by column chromatography (silica gel, EtAc/CH 3:1) yielded compound 18 as white solid (314 mg (62%)). IR = 3441, 1668, 1521, 1500, 1447, 1322, 1218, 1010, 780; 1H NMR (CDCl3, 400 MHz) δ = 2.83–2.86 (m, 2H, NCH2), 2.87–2.90 (m, 2H, NCH2), 3.56–3.59 (m, 2H, NCH2), 3.76 (br, 2H, NCH2), 6.68–6.72 (m, 2H, 2′-H, 6′-H), 6.86–6.90 (m, 2H, 3′-H, 5′-H), 7.05–7.19 (m, 3H, 3″-H, 4″-H, 5″-H), 7.55 (t, J = 7.9 Hz, 1H, 5-H), 7.90 (dd, J = 7.9, 1.7 Hz, 1H, 4-H), 8.12 (s, 1H, HC=O), 8.24 (dd, J = 7.9, 1.7 Hz, 1H, 6-H), 8.33 (dd, J = 8.1, 1.3 Hz, 1H, 6″-H), 9.67 (s, 1H, NH); 13C NMR (CDCl3, 100 MHz) δ = 40.43 (NCH2), 46.07 (NCH2), 51.87 (NCH2), 52.98 (NCH2), 116.39 (d, J = 23.6 Hz, C-3′, C-5′), 116.41 (d, J = 8.1 Hz, C-2′, C-6′), 119.88 (C-6″), 120.60 (C-3″), 122.64 (q, J = 273 Hz, CF3), 124.52 (C-4″), 125.32 (q, J = 31.7 Hz, C-3), 126.21 (C-5″), 126.32 (C-5), 130.53 (q, J = 4.8 Hz, C-4), 131.99 (C-1), 133.05 (C-1″), 135.34 (C-6), 140.47 (C-2″), 149.69 (q, J = 1.8 Hz, C-2), 154.07 (d, J = 2.5 Hz, C-1′), 158.41 (d, J = 242 Hz, C-4′), 160.81 (H(C=O)NR2), 161.75 ((C=O)NH); HRMS (ESI +) calcd for C25H22F4N3O3 [M+H]+: 488.1597; found: 488.1587.
N-{2-[4-(2,2-Dimethylpropanoyl)piperazin-1-yl]phenyl}-2-(4-fluorophenoxy)-3-(trifluoromethyl)benzamide (19): Reaction of the carboxylic acid 2 (299 mg (0.99 mmol)) with the amine 25 (221 mg (0.85 mmol)), 2-chloro-N-methylpyridinium iodide (454 mg (1.78 mmol)) and DIPEA (646 mg (5.00 mmol)) in dry CH2Cl2 (40 mL) gave the raw carboxamide. Purification by column chromatography (silica gel, CH/EtAc 3:1) yielded compound 19 as white solid (194 mg (42%)). IR = 3441, 1631, 1520, 1501, 1449, 1325, 1219, 1139, 1016, 781; 1H NMR (CDCl3, 400 MHz) δ = 1.33 (s, 9H, (CH3)3), 2.83–2.86 (m, 4H, N(CH2)2), 3.85 (br, 4H, N(CH2)2), 6.68–6.74 (m, 2H, 2′-H, 6′-H), 6.84–6.90 (m, 2H, 3′-H, 5′-H), 7.07 (td, J = 7.5, 1.6 Hz, 1H, 4″-H), 7.11–7.16 (m, 2H, 3″-H, 5″-H), 7.54 (td, J = 7.9, 0.9 Hz, 1H, 5-H), 7.90 (dd, J = 7.9, 1.7 Hz, 1H, 4-H), 8.24 (dd, J = 7.9, 1.7 Hz, 1H, 6-H), 8.32 (dd, J = 8.3, 1.6 Hz, 1H, 6″-H), 9.74 (s, 1H, NH); 13C NMR (CDCl3, 100 MHz) δ = 28.40 ((CH3)3), 38.71 (CMe3), 45.61 (N(CH2)2), 52.50 (N(CH2)2), 116.35 (d, J = 23.7 Hz, C-3′, C-5′), 116.45 (d, J = 8.3 Hz, C-2′, C-6′), 119.77 (C-6″), 120.51 (C-3″), 122.67 (q, J = 273 Hz, CF3), 124.45 (C-4″), 125.34 (q, J = 31.7 Hz, C-3), 125.95 (C-5″), 126.25 (C-5), 130.47 (q, J = 4.9 Hz, C-4), 131.91 (C-1), 133.14 (C-1″), 135.37 (C-6), 140.63 (C-2″), 149.78 (q, J = 1.9 Hz, C-2), 154.13 (d, J = 2.5 Hz, C-1′), 158.38 (d, J = 242 Hz, C-4′), 161.67 ((C=O)NH), 176.52 (C=O); HRMS (ESI +) calcd for C29H30F4N3O3 [M+H]+: 544.2223; found: 544.2214.
2-(4-Fluorophenoxy)-N-[2-(4-tert-butylpiperazin-1-yl)phenyl]-3-(trifluoromethyl)benzamide (20): Reaction of the carboxylic acid 2 (304 mg (1.01 mmol)) with the amine 26 (220 mg (0.94 mmol)), 2-chloro-N-methylpyridinium iodide (453 mg (1.77 mmol)) and DIPEA (646 mg (5.00 mmol)) in dry CH2Cl2 (40 mL) gave the raw carboxamide. Purification by column chromatography (silica gel, EtAc) was followed by recrystallization from CH yielding compound 20 as white solid (99 mg (20%)). m.P. 142–145 °C; IR = 3447, 2974, 1672, 1588, 1501, 1447, 1323, 1214, 1165, 1129, 782; 1H NMR (CDCl3, 400 MHz) δ = 1.14 (s, 9H, (CH3)3), 2.82 (br, 4H, N(CH2)2), 2.90–2.93 (m, 4H, N(CH2)2), 6.69–6.73 (m, 2H, 2′-H, 6′-H), 6.83–6.87 (m, 2H, 3′-H, 5′-H), 7.03–7.12 (m, 2H, 4″-H, 5″-H), 7.18 (dd, J = 7.6, 1.8 Hz, 3″-H), 7.53 (t, J = 7.8 Hz, 1H, 5-H), 7.89 (dd, J = 7.8, 1.7 Hz, 1H, 4-H), 8.26 (dd, J = 7.9, 1.7 Hz, 1H, 6-H), 8.33 (dd, J = 7.8, 1.7 Hz, 1H, 6″-H), 9.96 (s, 1H, NH); 13C NMR (CDCl3, 100 MHz) δ = 25.80 ((CH3)3), 46.32 (N(CH2)2), 53.03 (N(CH2)2), 53.84 (CMe3), 116.25 (d, J = 23.7 Hz, C-3′, C-5′), 116.33 (d, J = 8.0 Hz, C-2′, C-6′), 119.24 (C-6″), 120.56 (C-3″), 122.76 (q, J = 273 Hz, CF3), 124.25 (C-4″), 125.34 (q, J = 31.7 Hz, C-3), 125.50 (C-5″), 126.11 (C-5), 130.28 (q, J = 4.9 Hz, C-4), 132.00 (C-1), 133.36 (C-1″), 135.57 (C-6), 141.39 (C-2″), 149.78 (q, J = 1.9 Hz, C-2), 154.30 (d, J = 2.5 Hz, C-1′), 158.30 (d, J = 242 Hz, C-4′), 161.48 ((C=O)NH); HRMS (EI+) calcd for C28H30F4N3O2 [M+H]+: 516.2274; found: 516.2266.
N-[2-(4-Carbamoylpiperazin-1-yl)phenyl]-2-(4-fluorophenoxy)-3-(trifluoromethyl)benzamide (21): Reaction of the carboxylic acid 2 (297 mg (0.99 mmol)) with the amine 27 (220 mg (1.00 mmol)), 2-chloro-N-methylpyridinium iodide (453 mg (1.77 mmol)) and DIPEA (646 mg (5.00 mmol)) in dry CH2Cl2 (40 mL) gave the raw carboxamide. Purification by column chromatography (silica gel, EtAc) yielded compound 21 as white solid (239 mg (48%)). IR = 3355, 1656, 1592, 1500, 1448, 1325, 1219, 1139, 988, 831, 780; 1H NMR (CDCl3, 400 MHz) δ = 2.85–2.88 (m, 4H, N(CH2)2), 3.59–3.61 (m, 4H, N(CH2)2), 4.60 (s, 2H, NH2), 6.68–6.72 (m, 2H, 2′-H, 6′-H), 6.84–6.89 (m, 2H, 3′-H, 5′-H), 7.05–7.16 (m, 3H, 3″-H, 4″-H, 5″-H), 7.54 (t, J = 7.8 Hz, 1H, 5-H), 7.89 (dd, J = 7.9, 1.6 Hz, 1H, 4-H), 8.22 (dd, J = 7.8, 1.6 Hz, 1H, 6-H), 8.30 (dd, J = 7.9, 2.0 Hz, 1H, 6″-H), 9.67 (s, 1H, NH); 13C NMR (CDCl3, 100 MHz) δ = 44.63 (N(CH2)2), 52.09 (N(CH2)2), 116.34 (d, J = 23.8 Hz, C-3′, C-5′), 116.45 (d, J = 8.3 Hz, C-2′, C-6′), 119.80 (C-6″), 120.55 (C-3″), 122.67 (q, J = 273 Hz, CF3), 124.49 (C-4″), 125.34 (q, J = 31.7 Hz, C-3), 126.01 (C-5″), 126.24 (C-5), 130.46 (q, J = 4.9 Hz, C-4), 131.99 (C-1), 133.12 (C-1″), 135.29 (C-6), 140.74 (C-2″), 149.75 (q, J = 2.2 Hz, C-2), 154.12 (d, J = 2.5 Hz, C-1′), 157.80 ((C=O)NH2), 158.39 (d, J = 242 Hz, C-4′), 161.75 ((C=O)NH); HRMS (ESI +) calcd for C25H23F4N4O3 [M+H]+: 503.1706; found: 503.1700.
N-{2-[4-(N,N-Dimethylcarbamoyl)piperazin-1-yl]phenyl}-2-(4-fluorophenoxy)-3-(trifluoromethyl)benzamide (22): Reaction of the carboxylic acid 2 (339 mg (1.13 mmol)) with the amine 28 (279 mg (1.12 mmol)), 2-chloro-N-methylpyridinium iodide (509 mg (1.99 mmol)) and DIPEA (724 mg (5.60 mmol)) in dry CH2Cl2 (50 mL) gave the raw carboxamide. Purification by column chromatography (silica gel, EtAc/CH 2:1) yielded compound 22 as yellow oil (244 mg (41%)). IR = 3333, 2848, 1649, 1591, 1500, 1448, 1394, 1328, 1218, 1138, 828, 781; 1H NMR (CDCl3, 400 MHz) δ = 2.84–2.87 (m, 4H, N(CH2)2), 2.87 (s, 6H, N(CH3)2), 3.42–3.46 (m, 4H, N(CH2)2), 4.60 (s, 2H, NH2), 6.69–6.73 (m, 2H, 2′-H, 6′-H), 6.83–6.88 (m, 2H, 3′-H, 5′-H), 7.04–7.18 (m, 3H, 3″-H, 4″-H, 5″-H), 7.53 (t, J = 7.8 Hz, 1H, 5-H), 7.89 (dd, J = 7.9, 1.7 Hz, 1H, 4-H), 8.20 (dd, J = 7.8, 1.7 Hz, 1H, 6-H), 8.28 (dd, J = 7.9, 1.6 Hz, 1H, 6″-H), 9.66 (s, 1H, NH); 13C NMR (CDCl3, 100 MHz) δ = 38.52 (N(CH3)2), 47.30 (N(CH2)2), 52.23 (N(CH2)2), 116.28 (d, J = 23.7 Hz, C-3′, C-5′), 116.53 (d, J = 8.2 Hz, C-2′, C-6′), 119.70 (C-6″), 120.65 (C-3″), 122.70 (q, J = 273 Hz, CF3), 124.44 (C-4″), 125.38 (q, J = 31.7 Hz, C-3), 125.80 (C-5″), 126.16 (C-5), 130.39 (q, J = 4.8 Hz, C-4), 132.01 (C-1), 133.16 (C-1″), 135.18 (C-6), 141.07 (C-2″), 149.87 (q, J = 1.9 Hz, C-2), 154.20 (d, J = 2.5 Hz, C-1′), 158.36 (d, J = 242 Hz, C-4′), 161.81 ((C=O)NH), 164.52 ((C=O)NR2); HRMS (ESI +) calcd for C27H27F4N4O3 [M+H]+: 531.2019; found: 531.2026
tert-Butyl-4-{3-[2-(4-fluorophenoxy)-3-(trifluoromethyl)benzamido]phenyl}piperazine-1-carboxylate (36): Reaction of the carboxylic acid 2 (329 mg (1.10 mmol)) with the amine 46 (302 mg (1.09 mmol)), 2-chloro-N-methylpyridinium iodide (486 mg (1.90 mmol)) and DIPEA (698 mg (5.40 mmol)) in dry CH2Cl2 (35 mL) gave the raw carboxamide. Purification by column chromatography (silica gel, CH/EtAc 2:1) yielded compound 36 as pale-yellow solid (177 mg (29%)). IR = 3422, 1691, 1609, 1501, 1450, 1332, 1248, 1221, 1166, 998, 777, 688; 1H NMR (CDCl3, 400 MHz) δ = 1.48 (s, 9H, (CH3)3), 3.09–3.12 (m, 4H, N(CH2)2), 3.54–3.57 (m, 4H, N(CH2)2), 6.65–6.70 (m, 2H, 4″-H, 6″-H), 6.75–6.79 (m, 2H, 2′-H, 6′-H), 6.91–6.96 (m, 2H, 3′-H, 5′-H), 7.16 (t, J = 8.1 Hz, 1H, 5″-H), 7.18 (d, J = 2.5 Hz, 1H, 2″-H), 7.54 (t, J = 7.8 Hz, 1H, 5-H), 7.90 (dd, J = 7.9, 1.7 Hz, 1H, 4-H), 8.29 (dd, J = 7.9, 1.7 Hz, 1H, 6-H), 8.44 (br s, 1H, NH); 13C NMR (CDCl3, 100 MHz) δ = 28.42 ((CH3)3), 43.46 ((NCH2)2), 49.04 ((NCH2)2), 79.92 (CMe3), 108.47 (C-2″), 111.75 (C-6″), 112.95 (C-4″), 116.17 (d, J = 7.3 Hz, C-2′, C-6′), 116.57 (d, J = 23.7 Hz, C-3′, C-5′), 122.66 (q, J = 274 Hz, CF3), 125.25 (q, J = 31.8 Hz, C-3), 126.35 (C-5), 129.54 (C-5″), 130.69 (q, J = 5.0 Hz, C-4), 130.87 (C-1), 135.90 (C-6), 138.09 (C-1″), 149.40 (q, J = 2.0 Hz, C-2), 151.86 (C-3″), 154.01 (d, J = 2.2 Hz, C-1′), 154.69 (COO), 158.50 (d, J = 242 Hz, C-4′), 161.59 (C=O); HRMS (ESI +) calcd for C29H30F4N3O4 [M+H]+: 560.2172; found: 560.2163.
tert-Butyl-4-{4-[2-(4-fluorophenoxy)-3-(trifluoromethyl)benzamido]phenyl}piperazine-1-carboxylate (37): Reaction of the carboxylic acid 2 (305 mg (1.02 mmol)) with the amine 48 (280 mg (1.01 mmol)), 2-chloro-N-methylpyridinium iodide (452 mg (1.77 mmol)) and DIPEA (646 mg (5.00 mmol)) in dry CH2Cl2 (30 mL) gave the raw carboxamide. Purification by column chromatography (silica gel, CH/EtAc 3:1) yielded compound 37 as pale-yellow solid (23 mg (4%)). IR = 3422, 1662, 1502, 1450, 1315, 1219, 1163, 824, 782; 1H NMR (CDCl3, 400 MHz) δ = 1.48 (s, 9H, (CH3)3), 3.06–3.19 (m, 4H, N(CH2)2), 3.54–3.57 (m, 4H, N(CH2)2), 6.75–6.79 (m, 2H, 2′-H, 6′-H), 6.84 (d, J = 8.8 Hz, 2H, 3″-H, 5″-H), 6.91–6.96 (m, 2H, 3′-H, 5′-H), 7,24 (d, J = 8.8 Hz, 2H, 2″-H, 6″-H), 7.53 (t, J = 7.8 Hz, 1H, 5-H), 7.88 (dd, J = 7.4, 1.5 Hz, 1H, 4-H), 8.28 (dd, J = 7.9, 1.8 Hz, 1H, 6-H), 8.37 (br s, 1H, NH); 13C NMR (CDCl3, 100 MHz) δ = 28.41 ((CH3)3), 43.51 ((NCH2)2), 49.55 ((NCH2)2), 79.92 (CMe3), 116.16 (d, J = 8.3 Hz, C-2′, C-6′), 116.53 (d, J = 23.7 Hz, C-3′, C-5′), 116.98 (C-3″, C-5″), 121.73 (C-2″, C-6″), 122.68 (q, J = 273 Hz, CF3), 125.17 (q, J = 31.8 Hz, C-3), 126.27 (C-5), 129.84 (C-1″), 130.50 (q, J = 4.9 Hz, C-4), 130.90 (C-1), 135.89 (C-6), 148.70 (C-4″), 149.39 (q, J = 2.8 Hz, C-2), 154.01 (d, J = 2.3 Hz, C-1′), 154.67 (COO), 158.48 (d, J = 242 Hz, C-4′), 161.42 (C=O); HRMS (ESI +) calcd for C29H30F4N3O4 [M+H]+: 560.2172; found: 560.2162.
N-{3-[4-(2,2-Dimethylpropanoyl)piperazin-1-yl]phenyl}-2-(4-fluorophenoxy)-3-(trifluoromethyl)benzamide (38): Reaction of the carboxylic acid 2 (221 mg (0.74 mmol)) with the amine 47 (183 mg (0.70 mmol)), 2-chloro-N-methylpyridinium iodide (337 mg (1.49 mmol)) and DIPEA (452 mg (3.50 mmol)) in dry CH2Cl2 (30 mL) gave the raw carboxamide. Purification by column chromatography (silica gel, CHCl3/EtAc 2:1) yielded compound 38 as white solid (91 mg (24%)). IR = 2978, 1608, 1543, 1501, 1449, 1332, 1220, 1188, 997, 837, 777, 688; 1H NMR (CDCl3, 400 MHz) δ = 1.31 (s, 9H, (CH3)3), 3.12–3.15 (m, 4H, N(CH2)2), 3.76–3.79 (m, 4H, N(CH2)2), 6.65–6.68 (m, 2H, 4″-H, 6″-H), 6.75–6.79 (m, 2H, 2′-H, 6′-H), 6.91–6.95 (m, 2H, 3′-H, 5′-H), 7.17 (t, J = 7.6 Hz, 1H, 5″-H), 7.21 (t, J = 2.1 Hz, 1H, 2″-H), 7.54 (t, J = 7.8 Hz, 1H, 5-H), 7.90 (dd, J = 7.9, 1.6 Hz, 1H, 4-H), 8.28 (dd, J = 7.8, 1.6 Hz, 1H, 6-H), 8.45 (br s, 1H, NH); 13C NMR (CDCl3, 100 MHz) δ = 28.40 ((CH3)3), 38.65 (CMe3), 44.88 (N(CH2)2), 49.17 (N(CH2)2), 108.26 (C-2″), 111.81 (C-6″), 112.75 (C-4″), 116.18 (d, J = 8.2 Hz, C-2′, C-6′), 116.56 (d, J = 23.7 Hz, C-3′, C-5′), 122.66 (q, J = 274 Hz, CF3), 125.26 (q, J = 31.6 Hz, C-3), 126.35 (C-5), 129.55 (C-5″), 130.69 (q, J = 4.9 Hz, C-4), 130.85 (C-1), 135.85 (C-6), 138.122 (C-1″), 149.41 (q, J = 1.8 Hz, C-2), 151.60 (C-3″), 154.02 (d, J = 2.5 Hz, C-1′), 158.49 (d, J = 242 Hz, C-4′), 161.65 ((C=O)NH), 176.38 (C=O); HRMS (ESI +) calcd for C29H30F4N3O3 [M+H]+: 544.2223; found: 544.2217.
N-{4-[4-(2,2-Dimethylpropanoyl)piperazin-1-yl]phenyl}-2-(4-fluorophenoxy)-3-(trifluoromethyl)benzamide (39): Reaction of the carboxylic acid 2 (307 mg (1.03 mmol)) with the amine 49 (256 mg (0.98 mmol)), 2-chloro-N-methylpyridinium iodide (440 mg (1.72 mmol)) and DIPEA (633 mg (4.90 mmol)) in dry CH2Cl2 (30 mL) gave the raw carboxamide. Purification by column chromatography (silica gel, CH2Cl2/EtOH 59:1) yielded compound 39 as white solid (96 mg (18%)). IR = 3275, 1660, 1609, 1514, 1503, 1449, 1316, 1223, 1186, 1156, 1098, 1016, 824, 781; 1H NMR (CDCl3, 400 MHz) δ = 1.31 (s, 9H, (CH3)3), 3.09–3.12 (m, 4H, N(CH2)2), 3.77–3.80 (m, 4H, N(CH2)2), 6.75–6.78 (m, 2H, 2′-H, 6′-H), 6.84 (d, J = 8.9 Hz, 2H, 3″-H, 5″-H), 6.91–6.96 (m, 2H, 3′-H, 5′-H), 7.25 (d, J = 8.9 Hz, 2H, 2″-H, 6″-H), 7.53 (t, J = 7.8 Hz, 1H, 5-H), 7.89 (dd, J = 7.8, 1.6 Hz, 1H, 4-H), 8.29 (dd, J = 7.9, 1.7 Hz, 1H, 6-H), 8.38 (br s, 1H, NH); 13C NMR (CDCl3, 100 MHz) δ = 28.41 ((CH3)3), 38.66 (CMe3), 44.93 ((NCH2)2), 49.70 ((NCH2)2), 116.16 (d, J = 8.2 Hz, C-2′, C-6′), 116.53 (d, J = 23.8 Hz, C-3′, C-5′), 116.78 (C-3″, C-5″), 121.72 (C-2″, C-6″), 122.68 (q, J = 273 Hz, CF3), 125.18 (q, J = 31.8 Hz, C-3), 126.76 (C-5), 129.97 (C-1″), 130.51 (q, J = 4.9 Hz, C-4), 130.88 (C-1), 135.89 (C-6), 148.40 (C-4″), 149.40 (q, J = 1.9 Hz, C-2), 154.01 (d, J = 2.5 Hz, C-1′), 158.48 (d, J = 242 Hz, C-4′), 161.43 (C=O), 176.37 ((C=O)NR2); HRMS (ESI +) calcd for C29H30F4N3O3 [M+H]+: 544.2223; found: 544.2214.
2-(4-Fluorophenoxy)-N-(3-nitrophenyl)-3-(trifluoromethyl)benzamide (52): Reaction of the carboxylic acid 2 (309 mg (1.03 mmol)) with 3-nitroaniline (145 mg (1.05 mmol)), 2-chloro-N-methylpyridinium iodide (454 mg (1.78 mmol)) and DIPEA (646 mg (5.00 mmol)) in dry CH2Cl2 (30 mL) gave the raw carboxamide. Purification by column chromatography (silica gel, CH2Cl2) yielded compound 52 as pale-yellow solid (156 mg (36%)). IR = 3368, 1695, 1601, 1548, 1503, 1450, 1351, 1287, 1266, 1222, 1182, 1167, 1127, 1098, 825, 782, 738; 1H NMR (CDCl3, 400 MHz) δ = 6.77–6.80 (m, 2H, 2′-H, 6′-H), 6.93–6.98 (m, 2H, 3′-H, 5′-H), 7.47 (t, J = 8.2 Hz, 1H, 5″-H), 7.58 (t, J = 7.8 Hz, 1H, 5-H), 7.76 (dd, J = 8.1, 2.1 Hz, 1H, 6″-H), 7.94–7.98 (m, 2H, 4-H, 4″-H), 8.31–8.34 (m, 2H, 2″-H, 6-H), 8.76 (br s, 1H, NH); 13C NMR (CDCl3, 100 MHz) δ = 114.89 (C-2″), 115.99 (d, J = 8.3 Hz, C-2′, C-6′), 116.80 (d, J = 23.8 Hz, C-3′, C-5′), 119.57 (C-4″), 122.53 (q, J = 273 Hz, CF3), 125.47 (q, J = 32.0 Hz, C-3), 125.62 (C-6″), 126.60 (C-5), 129.88 (C-1), 129.91 (C-5″), 131.35 (q, J = 5.0 Hz, C-4), 136.01 (C-6), 138.23 (C-1″), 148.56 (C-3″), 149.49 (q, J = 1.9 Hz, C-2), 153.89 (d, J = 2.7 Hz, C-1′), 158.62 (d, J = 243 Hz, C-4′), 161.94 (C=O); HRMS (EI+) calcd for C20H11F4N2O4 [M-H]: 419.0655; found: 419.0660.
2-(4-Fluorophenoxy)-N-(4-nitrophenyl)-3-(trifluoromethyl)benzamide (53): Reaction of the carboxylic acid 2 (301 mg (1.00 mmol)) with 4-nitroaniline (141 mg (1.03 mmol)), 2-chloro-N-methylpyridinium iodide (467 mg (1.83 mmol)) and DIPEA (646 mg (5.00 mmol)) in dry CH2Cl2 (30 mL) gave the raw carboxamide. Purification by column chromatography (silica gel, CH2Cl2/AcOH 100:1) yielded compound 53 as white solid (84 mg (20%)). IR = 3299, 1660, 1597, 1502, 1449, 1406, 1345, 1304, 1256, 1219, 1167, 1134, 834, 778, 751, 696; 1H NMR (CDCl3, 400 MHz) δ = 6.74–6.78 (m, 2H, 2′-H, 6′-H), 6.92–6.96 (m, 2H, 3′-H, 5′-H), 7.59 (t, J = 7.8 Hz, 1H, 5-H), 7.62 (d, J = 9.1 Hz, 2H, 2″-H, 6″-H), 7.96 (dd, J = 7.7, 1.6 Hz, 1H, 4-H), 8.19 (d, J = 9.1 Hz, 2H, 3″-H, 5″-H), 8.32 (dd, J = 7.7, 1.6 Hz, 1H, 6-H), 8.85 (br s, 1H, NH); 13C NMR (CDCl3, 100 MHz) δ = 115.98 (d, J = 8.3 Hz, C-2′, C-6′), 116.80 (d, J = 24.0 Hz, C-3′, C-5′), 119.39 (C-2″, C-6″), 122.50 (q, J = 274 Hz, CF3), 125.10 (C-3″, C-5″), 125.51 (q, J = 31.8 Hz, C-3), 126.64 (C-5), 129.83 (C-1), 131.49 (q, J = 4.8 Hz, C-4), 136.04 (C-6), 142.88 (C-1″), 144.02 (C-4″), 149.53 (q, J = 1.9 Hz, C-2), 153.85 (d, J = 2.5 Hz, C-1′), 158.62 (d, J = 243 Hz, C-4′), 161.91 (C=O); HRMS (ESI -) calcd for C20H11F4N2O4 [M-H]: 419.0655; found: 419.0660.
tert-Butyl-4-{4-[2-phenoxy-3-(trifluoromethyl)benzamido]phenyl}piperazine-1-carboxylate (54): Reaction of the carboxylic acid 9 (264 mg (0.94 mmol)) with the amine 48 (274 mg (0.99 mmol)), 2-chloro-N-methylpyridinium iodide (438 mg (1.71 mmol)) and DIPEA (607 mg (4.70 mmol)) in dry CH2Cl2 (30 mL) gave the raw carboxamide. Purification by column chromatography (silica gel, CH/EtAc 2:1) yielded compound 54 as pale-yellow solid (153 mg (30%)). IR = 3309, 1689, 1518, 1449, 1316, 1234, 1164, 750; 1H NMR (CDCl3, 400 MHz) δ = 1.48 (s, 9H, (CH3)3), 3.04–3.08 (m, 4H, N(CH2)2), 3.53–3.57 (m, 4H, N(CH2)2), 6.80–6.83 (m, 4H, 2′-H, 3″-H, 5″-H, 6′-H), 7.03 (t, J = 7.4 Hz, 1H, 4′-H), 7.21 (d, J = 8.8 Hz, 2H, 2″-H, 6″-H), 7.25 (t, J = 8.0 Hz, 2H, 3′-H, 5′-H), 7.53 (t, J = 7.8 Hz, 1H, 5-H), 7.89 (dd, J = 7.9, 1.7 Hz, 1H, 4-H), 8.33 (dd, J = 7.9, 1.7 Hz, 1H, 6-H), 8.48 (br s, 1H, NH); 13C NMR (CDCl3, 100 MHz) δ = 28.41 ((CH3)3), 43.50 (N(CH2)2), 49.58 (N(CH2)2), 79.90 (CMe3), 114.92 (C-2′, C-6′), 116.95 (C-3″, C-5″), 121.87 (C-2″, C-6″), 122.74 (q, J = 274 Hz, CF3), 123.32 (C-4′), 125.28 (q, J = 31.6 Hz, C-3), 125.13 (C-5), 126.33 (C-5), 129.97 (C-1″), 130.00 (C-3′, C- 5′), 130.52 (q, J = 5.0 Hz, C-4), 130.80 (C-1), 135.94 (C-6), 148.62 (C-4″), 154.67 (N(C=O)O), 158.03 (C-1″), 161.44 (C=O); HRMS (ESI +) calcd for C29H31F3N3O4 [M+H]+: 542.2267; found: 542.2255.
N-{4-[4-(2,2-Dimethylpropanoyl)piperazin-1-yl]phenyl}-2-phenoxy-3-(trifluoromethyl)benzamide (55): Reaction of the carboxylic acid 9 (260 mg (0.92 mmol)) with the amine 49 (252 mg (0.96 mmol)), 2-chloro-N-methylpyridinium iodide (445 mg (1.74 mmol)) and DIPEA (595 mg (4.60 mmol)) in dry CH2Cl2 (30 mL) gave the raw carboxamide. Purification by column chromatography (silica gel, CH/EtAc 1:1) yielded compound 55 as pale-yellow solid (97 mg (20%)). IR = 3423, 1625, 1516, 1448, 1316, 1234, 1162, 751, 688; 1H NMR (CDCl3, 400 MHz) δ = 1.30 (s, 9H, (CH3)3), 3.08–3.11 (m, 4H, N(CH2)2), 3.76–3.79 (m, 4H, N(CH2)2), 6.80–6.83 (m, 4H, 2′-H, 3″-H, 5″-H, 6′-H), 7.03 (t, J = 7.4 Hz, 1H, 4′-H), 7.20–7.28 (m, 4H, 2″-H, 3′-H, 5′-H, 6″-H) 7.53 (t, J = 7.8 Hz, 1H, 5-H), 7.89 (dd, J = 7.9, 1.7 Hz, 1H, 4-H), 8.33 (dd, J = 7.9, 1.7 Hz, 1H, 6-H), 8.49 (s, 1H, NH); 13C NMR (CDCl3, 100 MHz) δ = 28.41 ((CH3)3), 38.66 (CMe3), 44.94 (N(CH2)2), 49.74 (N(CH2)2), 114.92 (C-2′, C-6′), 116.75 (C-3″, C-5″), 121.87 (C-2″, C-6″), 122.73 (q, J = 274 Hz, CF3), 123.32 (C-4′), 125.29 (q, J = 31.7 Hz, C-3), 126.14 (C-5), 130.00 (C-3′, C-5′), 130.09 (C-1″), 130.53 (q, J = 4.9 Hz, C-4), 130.77 (C-1), 135.94 (C-6), 148.32 (C-4″), 149.30 (q, J = 1.8 Hz, C-2), 158.03 (C-1″), 161.46 (N(C=O)O), 176.36 (C=O); HRMS (ESI +) calcd for C29H31F3N3O3 [M+H]+: 526.2318; found: 526.2310.
N-{2-[4-(2,2-Dimethylpropanoyl)piperazin-1-yl]phenyl}-2-phenoxy-3-(trifluoromethyl)benzamide (56): Reaction of the carboxylic acid 9 (163 mg (0.58 mmol)) with the amine 25 (148 mg (0.57 mmol)), 2-chloro-N-methylpyridinium iodide (268 mg (1.05 mmol)) and DIPEA (368 mg (2.85 mmol)) in dry CH2Cl2 (30 mL) gave the raw carboxamide. Purification by column chromatography (silica gel, CH/EtAc 3:1) yielded compound 56 as white solid (141 mg (47%)). IR = 3442, 1685, 1636, 1588, 1521, 1448, 1326, 1160, 1122, 799, 752, 690; 1H NMR (CDCl3, 400 MHz) δ = 1.33 (s, 9H, (CH3)3), 2.84–2.87 (m, 4H, N(CH2)2), 3.87 (br s, 4H, N(CH2)2), 6.75 (d, J = 8.2 Hz, 2H, 2′-H, 6′-H), 6.97 (t, J = 7.4 Hz, 1H, 4′-H), 7.05 (t, J = 7.9 Hz, 1H; 4″-H), 7.09–7.14 (m, 2H, 3″-H, 5″-H), 7.19 (t, J = 7.9 Hz, 2H, 3′-H, 5′-H), 7.54 (t, J = 7.8 Hz, 1H, 5-H), 7.90 (dd, J = 7.8, 1.7 Hz, 1H, 4-H), 8.27 (br d, J = 7.8 Hz, 1H, 6-H), 8.31 (br d, J = 7.9 Hz, 1H, 6″-H), 9.82 (s, 1H, NH); 13C NMR (CDCl3, 100 MHz) δ = 28.42 ((CH3)3), 38.72 (CMe3), 45.62 (N(CH2)2), 52.49 (N(CH2)2), 115.22 (C-2′, C-6′), 119.87 (C-6″), 120.46 (C-3″), 122.72 (q, J = 274 Hz, CF3), 123.23 (C-4′), 124.32 (C-4″), 125.43 (q, J = 31.6 Hz, C-3), 125.84 (C-5″), 126.10 (C-5), 129.78 (C-3′, C-5′), 130.48 (q, J = 4.9 Hz, C-4), 131.93 (C-1), 133.26 (C-1″), 135.40 (C-6), 140.73 (C-2″), 149.68 (q, J = 1.9 Hz, C-2), 154.14 (C-1′), 161.73 (C=O), 176.50 ((C=O)NH); HRMS (ESI +) calcd for C29H31F3N3O3 [M+H]+: 525.2318; found: 526.2309.

3.3. Biological Tests

3.3.1. In Vitro Microplate Assay against P. falciparum NF54

In vitro activity against erythrocytic stages of P. falciparum was determined with a 3H-hypoxanthine incorporation assay [42,43], using the chloroquine sensitive NF54 strain [44]. Chloroquine (Sigma C6628) was used as standard. Test compounds were dissolved in DMSO at 10 mg/mL and added to parasite cultures incubated in RPMI 1640 medium without hypoxanthine, supplemented with HEPES (5.94 g/L, NaHCO3 (2.1 g/L), neomycin (100 U/mL), Albumax (5 g/L) and washed human red blood cells A+ at 2.5% hematocrit (0.3% parasitemia). Serial drug dilutions of 11 3-fold dilution steps (covering a range from 100–0.002 µg/mL) were prepared. The 96-well plates were incubated at a humidified atmosphere at 37 °C; 4% CO2, 3% O2, 93% N2. After 48 h, 0.05 mL of 3H-hypoxanthine (=0.5 µCi) was added to each well. The plates were incubated for another 24 h under the same conditions. Then, the plates were harvested with a Betaplate cell harvester (Wallac, Zurich, Switzerland). The red blood cells were transferred onto glass fiber filter and washed with distilled water. The dried filters were inserted into a plastic foil with 10 mL of scintillation fluid and counted in a Betaplate liquid scintillation counter. IC50 values were determined from sigmoidal inhibition curves by linear regression using Microsoft Excel [45]. Chloroquine was used as control.

3.3.2. In Vitro Cytotoxicity with L-6 Cells

In vitro cytotoxicity was determined using a primary cell line of rat skeletal myofibroblasts. The assay was performed in 96-well microtiter plates, each well containing 0.1 mL of RPMI 1640 medium, supplemented with 0.1% L-glutamine (200 mM) and 10% fetal bovine serum, as well as 4000 L-6 cells [46,47]. Serial drug dilutions of 11 3-fold dilution steps (covering a range from 100–0.002 µg/mL) were prepared. After 70 h of incubation time, the plates were inspected under an inverted microscope to ensure sterile conditions and growth of the controls. Then, 0.01 mL of Alamar Blue was added to each well and the plates were incubated for another 2 h. After that, the plates were read with a SpectraMax Gemini XS microplate fluorometer (Molecular Devices Corporation, Sunnyvale, CA, USA) using an excitation wavelength of 536 nm and an emission wavelength of 588 nm. IC50 values were determined by linear regression from the sigmoidal dose inhibition curves using SoftmaxPro software (Molecular Devices Corporation, Sunnyvale, CA, USA) [45]. Podophyllotoxin (Sigma P4405) was used as control.

3.3.3. Parallel Artificial Membrane Permeability Assay

The PAMPA was performed using a Corning Gentest Pre-coated PAMPA Plate System at a pH of 7.4. It consists of 96-well polystyrene plates, whereas the donor-plate (bottom plate) is a conventional 96-well microtiter plate. The base of the acceptor-plate (top plate) consists of a porous membrane. The pores are lined with a lipid-oil-lipid trilayer. Stock solutions (10 mM) of each test compound were prepared in DMSO or MeOH and then further diluted to a final concentration of 200 µM with phosphate-buffered saline (PBS) at a pH of 7.4. Compound solutions were then added to the wells of the donor plate and pure PBS was added to each well of the acceptor plate. Compounds and negative control (pure PBS) were tested in quadruplicates. Donor and acceptor plate were coupled and incubated at ambient temperature for 5 h. After that, the plates were separated and solutions from each well of both plates were transferred onto 96-well UV-Star Microplates (Greiner Bio-One). The UV-absorption was measured at different wavelengths (between 200 and 300 nm) by a SpectraMax M3 UV plate reader (Molecular Devices). The concentrations were received from a calibration curve for each substance. The plates were analyzed at a wavelength were the R2 value of the calibration curve was higher than 0.99 [48]. Hydrochlorothiazide (Pe = 0.90) and caffeine (Pe = 80.00) were used as standards. The effective permeability (Pe) was calculated as shown in the following Equations (1)–(3):
P e   n m / s = ln 1 c A t c e q u S * 1 V D + 1 V A * t
where:
  • Pe—effective permeability;
  • S—filter area (0.3 cm2);
  • VD—donor well volume;
  • VA—acceptor well volume;
  • t—incubation time (18,000 s);
  • cA(t)compound concentration in acceptor well at time t;
  • cequ—equilibrium concentration.
c e q u = c D t *   V D + c A t *   V A V D + V A
where:
  • cD(t)—compound concentration in donor well at time t.
Recovery of compounds from donor and acceptor wells (mass retention) was calculated as shown in the equation below. Data were only accepted when recovery exceeded 70%.
R = 1 c D t   V D + c A t   V A c 0   V D
where:
  • R—mass retention (%);
  • cA(t)—compound concentration in acceptor well at time t;
  • cD(t)—compound concentration in donor well at time t;
  • c0—initial compound concentration in donor well;
  • VD—donor well volume;
  • VA—acceptor well volume.

3.3.4. Cytochrom P450 3A4 Inhibition Assay

The CYP3A4 inhibition assay was performed using 96-well White Plates (Greiner Bio-One) at a pH of 7.4. Stock solutions (4 mM) of test compounds were prepared in DMSO, stock solution of the standard ketoconazole (5 mM) was prepared in acetonitrile. Stock solutions were further diluted to a final concentration of 20 µM using water (HPLC grade). The luciferin IPA stock solution (3 mM) was diluted to a final concentration of 0.3 mM using water (HPLC grade). The CYP3A4 reaction mixture was prepared by mixing water (HPLC grade) with potassium phosphate buffer (1 M), luciferin IPA (0.3 mM) and CYP3A4 membrane (1 pmol/µL). The control reaction mixture was prepared using water (HPLC grade), potassium phosphate buffer (1 M), luciferin IPA (0.3 mM) and membrane without CYP activity (1 pmol/µL). Solutions A and B of the NADPH regeneration system were mixed and HPLC grade water was added. The reconstituted luciferin detection reagent was prepared by mixing the reconstituted buffer with esterase with the luciferin detection reagent. Then, solutions of test compounds and standard were added to the wells of the 96-well White Plate, each was tested in triplicate. The CYP3A4 reaction mixture was added to each well and the plate was incubated for 10 min at room temperature. After that, the NADPH regeneration system was added, inducing the reaction followed by an incubation time of 10 min at ambient temperature. By adding the reconstituted luciferin detection reagent, the reaction was terminated, and a luminescent signal was formed. Luminescence was measured by a SpectraMax M3 UV plate reader (Molecular Devices). The relative light units (RLU) were received from a calibration curve with beetle luciferin. Ketoconazole (100% enzyme inhibition) was used as standard [49]. The CYP3A4 inhibition (%) was calculated from the RLU.

3.3.5. Ligand Efficiency (LE)

Ligand efficiency was calculated as shown in the following Equation (4) [31]:
LE = 1.37 HA pIC 50
where:
  • LE—ligand efficiency;
  • HA—number of heavy atoms;
  • pIC50—negative logarithm of IC50.

4. Conclusions

This paper deals with the synthesis, antiplasmodial activities and first insights into structure-activity relationships of a series of new 2-phenoxybenzamides. The lead compound MMV030666 from MMV’s Malaria Box Project is a 2-(4-fluorophenoxy)benzanilide with a 4-(N-Boc)piperazinyl substituent in ortho position of the anilide nitrogen. It is of particular interest as it exhibits multi-stage activity against different strains of P. falciparum. Moreover, development of resistant parasites could not be observed in long-term in vitro studies with sub-lethal doses. We aimed on synthesizing derivatives to gain first insights into structure-activity relationships. Our main focus was put on derivatization of the anilino moiety.
Modifications in Figure 8 showed the great importance of the phenoxy substituent as well as the beneficial effect of its 4-fluoro substitution. Replacement of the piperazinyl moiety by a hydrogen atom or an amino group led to inactive compounds. Substitution of the N-Boc group usually caused a considerable decrease in activity, but compounds with a N-pivaloyl group showed comparable activity. Their enhanced stability in acidic environment could be of advantage. Moreover, the ring position of the piperazinyl substituent was of particular importance. Meta substituted derivatives were only moderately active. The most active compounds had a 4-(N-Boc)piperazinyl or a 4-(N-pivaloyl)piperazinyl substituent in position 2 or 4 of the anilide nitrogen (Table 4).

Supplementary Materials

The following are available online at https://www.mdpi.com/article/10.3390/ph14111109/s1, Figures S1–S40.

Author Contributions

Conceptualization, T.H., P.H. and R.W.; investigation, T.H., P.H., J.D., W.S., R.S., E.-M.P.-W., M.K.; P.M. and R.W; methodology, T.H. and P.H.; data curation, T.H., P.H., J.D., W.S., R.S., E.-M.P.-W., M.K.; P.M. and R.W.; writing—original draft preparation, T.H. and R.W.; writing—review and editing, T.H. and R.W.; supervision, R.W.; project administration, T.H., P.H. and R.W. All authors have read and agreed to the published version of the manuscript.

Funding

This research received no external funding.

Institutional Review Board Statement

Not applicable.

Informed Consent Statement

Not applicable.

Data Availability Statement

The data presented in this study are available in this article.

Acknowledgments

The authors acknowledge Open Access Funding by the University of Graz. NAWI Graz is acknowledged for supporting Central Lab Plant, Environmental and Microbial Metabolomics.

Conflicts of Interest

The authors declare no conflict of interest.

References

  1. WHO. World Malaria Report 2020; World Health Organization: Geneva, Switzerland, 2021. [Google Scholar]
  2. Ashley, E.A.; Phyo, A.P.; Woodrow, C.J. Malaria. Lancet 2018, 391, 1608–1621. [Google Scholar] [CrossRef]
  3. Hanboonkunupakarn, B.; White, N.J. The threat of antimalarial drug resistance. Trop. Dis. Travel Med. Vaccines 2016, 2, 10. [Google Scholar] [CrossRef] [PubMed] [Green Version]
  4. WHO. Status Report on Artemisinin Resistance and ACT Efficacy; World Health Organization: Geneva, Switzerland, 2019. [Google Scholar]
  5. Uwimana, A.; Legrand, E.; Stokes, B.H.; Ndikumana, J.-L.M.; Warsame, M.; Umulisa, N.; Ngamije, D.; Munyaneza, T.; Mazarati, J.-B.; Munguti, K.; et al. Emergence and clonal expansion of in vitro artemisinin-resistant Plasmodium falciparum kelch13 R561H mutant parasites in Rwanda. Nat. Med. 2020, 26, 1602–1608. [Google Scholar] [CrossRef]
  6. Kayiba, N.K.; Yobi, D.M.; Tshibangu-Kabamba, E.; Tuan, V.P.; Yamaoka, Y.; Devleesschauwer, B.; Mvumbi, D.M.; Wemakoy, E.O.; De Mol, P.; Hayette, M.-P.; et al. Spatial and molecular mapping of Pfkelch13 gene polymorphism in Africa in the era of emerging Plasmodium falciparum resistance to artemisinin: A systematic review. Lancet Infect. Dis. 2021, 21, e82–e92. [Google Scholar] [CrossRef]
  7. Van der Plujim, R.W.; Amaratunga, C.; Dhorda, M.; Dondorp, A.M. Triple Artemisinin-Based Combination Therapies for Malaria-A New Paradigm? Trends Parasitol. 2021, 37, 15–24. [Google Scholar] [CrossRef]
  8. Van der Plujim, R.W.; Tripura, R.; Hoglund, R.M.; Phyo, A.P.; Lek, D.; ul Islam, A.; Anvikar, A.R.; Satpathi, P.; Behera, P.K.; Tripura, A.; et al. Triple artemisinin-based combinations therapies for uncomplicated Plasmodium falciparum malaria: A multicentre open-label, randomized clinical trial. Lancet 2020, 395, 1345–1360. [Google Scholar] [CrossRef]
  9. Beeson, J.G.; Kurtovic, L.; Dobaño, C.; Opi, D.H.; Chan, J.-A.; Feng, G.; Good, M.F.; Reiling, L.; Boyle, M.J. Challenges and strategies for developing efficacious and long-lasting malaria vaccines. Sci. Transl. Med. 2019, 11. [Google Scholar] [CrossRef]
  10. Duffy, P.E.; Gorres, J.P. Malaria vaccines since 2000: Progress, priorities, products. NPJ Vaccines 2020, 5, 48. [Google Scholar] [CrossRef] [PubMed]
  11. Laurens, M.B. RTS, s/AS01 vaccine (MosquirixTM): An overview. Hum. Vaccines Immunother. 2020, 16, 480–489. [Google Scholar] [CrossRef]
  12. Van Voorhis, W.C.; Adams, J.H.; Adelfio, R.; Ahyong, V.; Akabas, M.H.; Alano, P.; Alday, A.; Resto, Y.A.; Alsibaee, A.; Alzualde, A. Open Source Drug Discovery with the Malaria Box Compound Collection for Neglected Diseases and Beyond. PLoS Pathog. 2016, 12, e1005763. [Google Scholar] [CrossRef] [PubMed]
  13. Guiguemde, W.A.; Shelat, A.A.; Garcia-Bustos, J.F.; Diagana, T.T.; Garno, F.-J.; Guy, R.K. Global Phenotypic Screening for Antimalarials. Chem. Biol. 2012, 19, 116–129. [Google Scholar] [CrossRef] [PubMed] [Green Version]
  14. Wells, T.N.C.; van Huijsduijnen, R.H.; van Voorhis, W.C. Malaria medicines: A glass half full? Nat. Rev. Drug Dis. 2015, 14, 424–442. [Google Scholar] [CrossRef] [PubMed]
  15. Corey, V.C.; Lukens, A.K.; Istvan, E.S.; Lee, M.C.S.; Franco, V.; Magistrado, P.; Coburn-Flynn, O.; Sakata-Kato, T.; Fuchs, O.; Gnädig, N.F. A broad analysis of resistance development in the malaria parasite. Nat. Commun. 2016, 7, 11901. [Google Scholar] [CrossRef] [Green Version]
  16. Murithi, J.M.; Owen, E.S.; Istvan, E.S.; Lee, M.C.S.; Ottilie, S.; Chibale, K.; Goldberg, D.E.; Winzeler, E.A.; Llinás, M.; Fidock, D.A.; et al. Combining Stage Specific and Metabolomic Profiling to Advance Antimalarial Drug Discovery. Cell Chem. Biol. 2020, 27, 158–171. [Google Scholar] [CrossRef] [PubMed] [Green Version]
  17. Carolino, K.; Winzeler, E.A. The antimalarial resistome-finding new drug targets and their modes of action. Curr. Opin. Microbiol. 2020, 57, 49–55. [Google Scholar] [CrossRef] [PubMed]
  18. Goodman, C.D.; Buchanan, H.D.; McFadden, G.I. Is the Mitochondrion a Good Malaria Drug Target? Trends Parasitol. 2017, 33, 185–193. [Google Scholar] [CrossRef] [PubMed]
  19. Allman, E.L.; Painter, H.J.; Samra, J.; Carrasquilla, M.; Llinás, M. Metabolomic Profiling of the Malaria Box Reveals Antimalarial Target Pathways. Antimicrob. Agents Chemother. 2016, 60, 6635–6649. [Google Scholar] [CrossRef] [Green Version]
  20. Debets, M.F.; Prins, J.S.; Merkx, D.; van Berkel, S.S.; van Delft, F.L.; van Hest, J.C.M.; Rutjes, F.P.J.T. Synthesis of DIBAC abalogues with excellent SPAAC rate constants. Org. Biomol. Chem. 2014, 12, 5031–5037. [Google Scholar] [CrossRef]
  21. Hossian, A.; Jana, R. Carboxyl radical-assisted 1,5-aryl migration through Smiles rearrangement. Org. Biomol. Chem. 2016, 14, 9768–9779. [Google Scholar] [CrossRef]
  22. Neuville, L.; Zhu, J. Solution Phase Combinatorial Synthesis of Arylpiperazines. Tetrahedron Lett. 1997, 38, 4091–4094. [Google Scholar] [CrossRef]
  23. Zupancic, B. Synthesis of Vortioxetine via (2-(Piperazine-1-yl)Phenylaniline Intermediates. Patent WO/2015/107057, 23 July 2015. [Google Scholar]
  24. Ren, Q.; Dai, L.; Zhang, H.; Tan, W.; Xu, Z.; Ye, T. Total Synthesis of Largazole. Synlett 2008, 15, 2379–2383. [Google Scholar] [CrossRef] [Green Version]
  25. Richardson, T.I.; Ornstein, P.L.; Briner, K.; Fisher, M.J.; Backer, R.T.; Biggers, K.; Clay, M.P.; Emmerson, P.J.; Hertel, L.W.; Hsiung, H.M.; et al. Synthesis and Structure-Activity Relationships of Novel Arylpiperazines as Potent and Selective Agonists of the Melanocortin Subtype-4 Receptor. J. Med. Chem. 2004, 47, 744–755. [Google Scholar] [CrossRef]
  26. Zaragoza, F.; Stephensen, H.; Knudsen, S.M.; Prindal, L.; Wulff, B.S.; Rimvall, K. 1-Alkyl-4-acylpiperazines as a New Class of Imidazole-Free Histamine H3 Receptor Antagonists. J. Med. Chem. 2004, 47, 2833–2838. [Google Scholar] [CrossRef] [PubMed]
  27. Akbar, A.; McNeil, N.M.R.; Albert, M.R.; Ta, V.; Adhikary, G.; Bourgeois, K.; Eckert, R.L.; Keillor, J.W. Structure-Activity Relationships of Potent, Targeted Covalent Inhibitors That Abolish Both the Transamidation and GTP Binding Activities of Human Tissue Transglutaminase. J. Med. Chem. 2017, 60, 7910–7927. [Google Scholar] [CrossRef] [PubMed]
  28. Shastri, L.A.; Shastri, S.L.; Bathula, C.D.; Basanagouda, M.; Kulkarni, M.V. Mild, Simple, and Efficient Method for N-Formylation of Secondary Amines via Reimer-Tiemann Reaction. Synth. Commun. 2011, 41, 476–484. [Google Scholar] [CrossRef]
  29. Macielag, M.J.; Tennakoon, M.; Janssen Pharmaceutica Nv. 3-Hydrazone Piperazinyl Rifamycin Derivatives Useful as Antimicrobial Agents. Patent WO/2009/137380, 12 November 2009. [Google Scholar]
  30. Zhang, Y.; Sunshine Lake Pharma Co. Heteroaromatic Derivatives and Pharmaceutical Applications Thereof. Patent WO2016/34134 A1, 29 October 2015. [Google Scholar]
  31. Hopkins, A.L.; Keserü, G.M.; Leeson, P.D.; Rees, D.C.; Reynolds, C.H. The role of ligand efficiency metrics in drug discovery. Nat. Rev. Drug Discov. 2014, 13, 105–121. [Google Scholar] [CrossRef] [PubMed]
  32. Perez-Medrano, A.; Nelson, D.; Carroll, W.; Kort, M.; Gregg, R.; Voight, E.; Jarvis, M.; Kowaluk, E. Abbott Laboratories The Use of Selective P2x7 Receptor Antagonists; WO2006/86229; Abbott Laboratories: Abbott Park, IL, USA, 2006. [Google Scholar]
  33. 3-(Trifluoromethyl)Benzoic Acid|C8H5F3O2—PubChem. Available online: https://www.nih.gov/ (accessed on 13 September 2021).
  34. Wágner, G.; Mocking, T.A.M.; Kooistra, A.J.; Siynko, I.; Ábrányi-Balogh, P.; Keserü, G.M.; Wijtmans, M.; Vischer, H.F.; de Esch, I.J.P.; Leurs, R. Covalent Inhibition of the Histamine H3 Receptor. Molecules 2019, 24, 4541. [Google Scholar] [CrossRef] [PubMed] [Green Version]
  35. Wang, C.; Wang, X.; Li, Y.; Wang, T.; Huang, Z.; Qin, Z.; Yang, S.; Xiang, R.; Fan, Y. Design and optimization of orally spleen tyrosine kinase (SYK) inhibitors for treatment of solid tumor. Bioorg. Chem. 2020, 95, 103547. [Google Scholar] [CrossRef]
  36. Düsel, S.J.S.; König, B. Visible-Light-Mediated Nitration of Protected Anilines. J. Org. Chem. 2018, 83, 2802–2807. [Google Scholar] [CrossRef] [PubMed]
  37. Lagu, B.; Tian, D.; Nagarathnam, D.; Marzabadi, M.R.; Wong, W.C.; Miao, S.W.; Zhang, F.; Sun, W.; Chiu, G.; Fang, J.; et al. Design and Synthesis of Novel α1a Adrenoceptor-Selective Antagonists. 3. Approaches To Eliminate Opioid Agonist Metabolites by Using Substituted Phenylpiperazine Side Chains. J. Med. Chem. 1999, 42, 4794–4803. [Google Scholar] [CrossRef] [PubMed]
  38. Russel, C.; Lin, A.J.S.; Hains, P.; Simone, M.I.; Robinson, P.J.; McCluskey, A. An integrated flow and microwave approach to a broad spectrum protein kinase inhibitor. RSC Adv. 2015, 5, 93433–93437. [Google Scholar] [CrossRef]
  39. Takahashi, T.; Sakuraba, A.; Hirohashi, T.; Shibata, T.; Hirose, M.; Haga, Y.; Nonoshita, K.; Kanno, T.; Ito, J.; Iwaasa, H.; et al. Novel potent neuropeptide Y Y5 receptor antagonists: Synthesis and structure-activity relationships of phenylpiperazine derivatives. Bioorg. Med. Chem. 2006, 14, 7501–7511. [Google Scholar] [CrossRef]
  40. Mehndiratta, S.; Lin, M.-H.; Wu, Y.-W.; Chen, C.-H.; Wu, T.-Y.; Chuang, K.-H.; Chao, M.-W.; Chen, Y.-Y.; Pan, S.-L.; Chen, M.-C.; et al. N-alkyl-hydroxybenzyl anilide hydroxamates as dual inhibitors of HDAC and HSP90, downregulating IFN-γ induced PD-L1 expression. Eur. J. Med. Chem. 2020, 185, 111725. [Google Scholar] [CrossRef] [PubMed]
  41. Player, M.R.; Hunag, H.; Hutta, D.A.; Janssen Pharmaceutica Nv. 5-Oxo-5,8-Dihydro-Pyrido-Pyrimidines as Inhibitors of C-FMS Kinase. Patent WO/2008/055013, 8 May 2008. [Google Scholar]
  42. Desjardins, R.E.; Canfield, C.J.; Haynes, J.D.; Chulay, J.D. Quantitative assessment of antimalarial activity in vitro by a semiautomated microdilution technique. Antimicrob. Agents Chemother. 1979, 16, 710–718. [Google Scholar] [CrossRef] [Green Version]
  43. Matile, H.; Richard, J.; Pink, L. Plasmodium falciparum malaria parasite cultures and their use in immunology. In Immunological Methods; Academic Press: San Diego, CA, USA, 1990; Volume 4, pp. 221–234. [Google Scholar] [CrossRef]
  44. Ponnudurai, T.; Leeuwenberg, A.D.; Meuwissen, J.H. Chloroquine sensitivity of isolates of Plasmodium falciparum adapted to in vitro culture. Trop. Geogr. Med. 1981, 33, 50–54. [Google Scholar] [PubMed]
  45. Huber, W.; Koella, J.C. A comparison of three methods of estimating EC50 in studies of drug resistance of malaria parasites. Acta Trop. 1993, 55, 257–261. [Google Scholar] [CrossRef]
  46. Page, B.; Page, M.; Noel, C. A new fluorometric assay for cytotoxicity measurements in vitro. Int. J. Oncol. 1993, 3, 473–476. [Google Scholar] [CrossRef] [PubMed]
  47. Ahmed, S.A.; Gogal, R.M.; Walsh, J.E. A new rapid and simple non-radioactive assay to monitor and determine the proliferation of lymphocytes: An alternative to [3H]thymidine incorporation assay. J. Immunol. Methods 1994, 170, 211–224. [Google Scholar] [CrossRef]
  48. Chen, X.; Murawski, A.; Patel, K.; Crespi, C.L.; Balimane, P.V. A Novel Design of Artificial Membrane for Improving the PAMPA Model. Pharm. Res. 2008, 25, 1511–1520. [Google Scholar] [CrossRef] [PubMed]
  49. P450-Glo™ CYP3A4 Assay and Screening System. Available online: https://at.promega.com/products/cell-health-assays/adme-assays/p450-glo-cyp3a4-assay-and-screening-system/?catNum=V9001 (accessed on 10 September 2021).
Figure 1. Preparation of compound 1. Reagents and conditions: (a) (1) H2SO4 30%, DMSO, 0 °C, 5 min; (2) NaNO2, rt, 2 h; (3) KI, H2O, rt, 1 h; (4) KI, H2O, rt, 1 h; (b) 4-fluorophenol, 1,8-diazabicyclo[5.4.0]undec-7-ene, Cu, CuI, pyridine, DMF, 160 °C, 2 h; (c) N-Boc-piperazine, K2CO3, DMSO, 80 °C, 72 h; (d) 15% (m/m) palladium on activated carbon, H2, MeOH, rt, 24 h; (e) (1) CH2Cl2, 0 °C, 5 min; (2) 2-chloro-N-methylpyridinium iodide, diisopropylethylamine, rt, 24 h.
Figure 1. Preparation of compound 1. Reagents and conditions: (a) (1) H2SO4 30%, DMSO, 0 °C, 5 min; (2) NaNO2, rt, 2 h; (3) KI, H2O, rt, 1 h; (4) KI, H2O, rt, 1 h; (b) 4-fluorophenol, 1,8-diazabicyclo[5.4.0]undec-7-ene, Cu, CuI, pyridine, DMF, 160 °C, 2 h; (c) N-Boc-piperazine, K2CO3, DMSO, 80 °C, 72 h; (d) 15% (m/m) palladium on activated carbon, H2, MeOH, rt, 24 h; (e) (1) CH2Cl2, 0 °C, 5 min; (2) 2-chloro-N-methylpyridinium iodide, diisopropylethylamine, rt, 24 h.
Pharmaceuticals 14 01109 g001
Figure 2. Preparation of compounds 6, 7 and 8. Reagents and conditions: (a) corresp. phenol, 1,8-diazabicyclo[5.4.0]undec-7-ene, Cu, CuI, pyridine, DMF, 160 °C, 2–48 h; (b) (1) anilino derivative 3, CH2Cl2, 0 °C, 5 min; (2) 2-chloro-N-methylpyridinium iodide, DIPEA, rt, 24–48 h.
Figure 2. Preparation of compounds 6, 7 and 8. Reagents and conditions: (a) corresp. phenol, 1,8-diazabicyclo[5.4.0]undec-7-ene, Cu, CuI, pyridine, DMF, 160 °C, 2–48 h; (b) (1) anilino derivative 3, CH2Cl2, 0 °C, 5 min; (2) 2-chloro-N-methylpyridinium iodide, DIPEA, rt, 24–48 h.
Pharmaceuticals 14 01109 g002
Figure 3. Preparation of compounds 12, 13 and 14. Reagents and conditions: (a) triethylamine, di-tert-butyldicarbonate, CH2Cl2, rt, 24 h; (b) 15% (m/m) palladium on activated carbon, H2, MeOH, rt, 24 h; (c) (1) aniline or compound 15, CH2Cl2, 0 °C, 5 min; (2) 2-chloro-N-methylpyridinium iodide, DIPEA, rt, 24 h; (d) trifluoroacetic acid, CH2Cl2, rt, 24 h.
Figure 3. Preparation of compounds 12, 13 and 14. Reagents and conditions: (a) triethylamine, di-tert-butyldicarbonate, CH2Cl2, rt, 24 h; (b) 15% (m/m) palladium on activated carbon, H2, MeOH, rt, 24 h; (c) (1) aniline or compound 15, CH2Cl2, 0 °C, 5 min; (2) 2-chloro-N-methylpyridinium iodide, DIPEA, rt, 24 h; (d) trifluoroacetic acid, CH2Cl2, rt, 24 h.
Pharmaceuticals 14 01109 g003
Figure 4. Preparation of compounds 1722. Reagents and conditions: (a) tert-butyl-piperazine, K2CO3, DMSO, 80 °C, 72 h; (b) trifluoroacetic acid, CH2Cl2, rt, 24 h; (c) triethylamine, acetyl chloride, acetonitrile, rt, 24 h (compound 30) or (1) triethylamine, CH2Cl2, 0 °C, 5 min; (2) pivaloyl chloride, rt, 24 h (compound 31) or (1) Na, EtOH, rt; (2) EtOH, 50 °C, 15 min; (3) CHCl3, 50 °C, 30 min (compound 32) or 1N HCl, 2N KOH, potassium cyanate, rt, 2 h (compound 33) or (1) triethylamine, 1,1′-carbonyldiimidazole, rt, 30 min; (2) dimethylamine hydrochloride 80 °C, 6 h (compound 34); (d) 15% (m/m) palladium on activated carbon, H2, MeOH, rt, 24 h; (e) (1) carboxylic acid 2, CH2Cl2, 0 °C, 5 min; (2) 2-chloro-N-methylpyridinium iodide, DIPEA, rt, 24 h.
Figure 4. Preparation of compounds 1722. Reagents and conditions: (a) tert-butyl-piperazine, K2CO3, DMSO, 80 °C, 72 h; (b) trifluoroacetic acid, CH2Cl2, rt, 24 h; (c) triethylamine, acetyl chloride, acetonitrile, rt, 24 h (compound 30) or (1) triethylamine, CH2Cl2, 0 °C, 5 min; (2) pivaloyl chloride, rt, 24 h (compound 31) or (1) Na, EtOH, rt; (2) EtOH, 50 °C, 15 min; (3) CHCl3, 50 °C, 30 min (compound 32) or 1N HCl, 2N KOH, potassium cyanate, rt, 2 h (compound 33) or (1) triethylamine, 1,1′-carbonyldiimidazole, rt, 30 min; (2) dimethylamine hydrochloride 80 °C, 6 h (compound 34); (d) 15% (m/m) palladium on activated carbon, H2, MeOH, rt, 24 h; (e) (1) carboxylic acid 2, CH2Cl2, 0 °C, 5 min; (2) 2-chloro-N-methylpyridinium iodide, DIPEA, rt, 24 h.
Pharmaceuticals 14 01109 g004
Figure 5. Preparation of compounds 3639. Reagents and conditions: (a) (1) N-Boc-piperazine, K2CO3, DMSO, 120 °C, 120 h (compound 40) or N-Boc-piperazine, K2CO3, DMSO, 80 °C, 72 h (compound 41); (2) trifluoroacetic acid, CH2Cl2, rt, 24 h (compounds 44 and 45); (3) pivaloyl chloride, triethylamine, CH2Cl2, rt, 24 h (compounds 42 and 43); (b) 15% (m/m) palladium on activated carbon, H2, MeOH, rt, 24 h; (c) (1) carboxylic acid 2, CH2Cl2, 0 °C, 5 min; (2) 2-chloro-N-methylpyridinium iodide, DIPEA, rt, 24 h.
Figure 5. Preparation of compounds 3639. Reagents and conditions: (a) (1) N-Boc-piperazine, K2CO3, DMSO, 120 °C, 120 h (compound 40) or N-Boc-piperazine, K2CO3, DMSO, 80 °C, 72 h (compound 41); (2) trifluoroacetic acid, CH2Cl2, rt, 24 h (compounds 44 and 45); (3) pivaloyl chloride, triethylamine, CH2Cl2, rt, 24 h (compounds 42 and 43); (b) 15% (m/m) palladium on activated carbon, H2, MeOH, rt, 24 h; (c) (1) carboxylic acid 2, CH2Cl2, 0 °C, 5 min; (2) 2-chloro-N-methylpyridinium iodide, DIPEA, rt, 24 h.
Pharmaceuticals 14 01109 g005
Figure 6. Preparation of compounds 50 and 51. Reagents and conditions: (a) (1) 3-nitroaniline, CH2Cl2, 0 °C, 5 min; (2) 2-chloro-N-methylpyridinium iodide, DIPEA, rt, 48 h (compound 52) or (1) 4-nitroaniline, CH2Cl2, 0 °C, 5 min; (2) 2-chloro-N-methylpyridinium iodide, DIPEA, rt, 24 h (compound 53); (b) 15% (m/m) palladium on activated carbon, H2, MeOH, rt, 24 h.
Figure 6. Preparation of compounds 50 and 51. Reagents and conditions: (a) (1) 3-nitroaniline, CH2Cl2, 0 °C, 5 min; (2) 2-chloro-N-methylpyridinium iodide, DIPEA, rt, 48 h (compound 52) or (1) 4-nitroaniline, CH2Cl2, 0 °C, 5 min; (2) 2-chloro-N-methylpyridinium iodide, DIPEA, rt, 24 h (compound 53); (b) 15% (m/m) palladium on activated carbon, H2, MeOH, rt, 24 h.
Pharmaceuticals 14 01109 g006
Figure 7. Preparation of compounds 5456. Reagents and conditions: (a) (1) 48 or 49, CH2Cl2, 0 °C, 5 min; (2) 2-chloro-N-methylpyridinium iodide, DIPEA, rt, 24 h; (b) (1) 25, CH2Cl2, 0 °C, 5 min; (2) 2-chloro-N-methylpyridinium iodide, DIPEA, rt, 24 h.
Figure 7. Preparation of compounds 5456. Reagents and conditions: (a) (1) 48 or 49, CH2Cl2, 0 °C, 5 min; (2) 2-chloro-N-methylpyridinium iodide, DIPEA, rt, 24 h; (b) (1) 25, CH2Cl2, 0 °C, 5 min; (2) 2-chloro-N-methylpyridinium iodide, DIPEA, rt, 24 h.
Pharmaceuticals 14 01109 g007
Figure 8. Positions of structural modifications.
Figure 8. Positions of structural modifications.
Pharmaceuticals 14 01109 g008
Table 1. Activities of compounds 1, 68, 1214, 1722, 3639, 50, 51 and 5456 against P. falciparum NF54 and L-6 cells, expressed as IC50 (µM) a.
Table 1. Activities of compounds 1, 68, 1214, 1722, 3639, 50, 51 and 5456 against P. falciparum NF54 and L-6 cells, expressed as IC50 (µM) a.
CompoundP.f. NF54 b
IC50 (µM)
S.I. =
IC50 (Cyt.)/IC50
(P.f. NF54)
Cytotoxicity
L-6 Cells
IC50 (µM)
10.4134316.9131.0
61.012127.1128.3
73.73830.22113.0
81.14662.9373.00
129.32521.71202.5
131.9029.04317.20
1421.286.080129.4
172.53310.7227.12
186.5854.82931.80
190.6172299.7185.0
202.89012.0134.72
2115.642.26535.43
222.3008.77020.17
363.29737.58124.0
370.2690461.0124.0
383.17424.6178.00
390.5795171.999.62
5051.492.026104.3
5155.852.328130.0
541.222151.4184.7
554.66219.2789.81
560.6593288.6190.3
CQ0.009967290.92
POD 0.012
CQ = chloroquine; POD = podophyllotoxin. a Values represent the average of four determinations (two determinations of two independent experiments); b sensitive to chloroquine.
Table 2. Key physicochemical parameters of compounds 1, 68, 1214, 1722, 3639, 50, 51 and 5456.
Table 2. Key physicochemical parameters of compounds 1, 68, 1214, 1722, 3639, 50, 51 and 5456.
CompoundLog P aLog D7.4 aLE
(Kcal/Mol/HA)
16.446.440.219
66.306.300.211
74.804.800.232
85.545.540.198
125.595.590.255
136.506.500.224
144.764.760.229
174.774.770.213
184.724.720.203
196.576.570.218
206.605.480.205
214.434.430.183
224.884.880.203
366.446.440.188
376.446.440.225
386.576.570.193
395.565.560.236
504.764.760.210
514.764.760.208
546.306.300.208
556.426.420.187
566.426.420.217
a log P and log D were calculated using the ChemAxon software JChem for Excel 14.9.1500.912 (2014).
Table 3. Passive permeability and CYP3A4 inhibition values of compounds 1, 68, 1214, 1722, 3639, 50, 51 and 5456.
Table 3. Passive permeability and CYP3A4 inhibition values of compounds 1, 68, 1214, 1722, 3639, 50, 51 and 5456.
CompoundPe a (10−6 cm/s)CYP3A4
Inhibition b (%)
12.3787
63.0087
70.08
84.0699
1210.09
138.7290
1411.41
1710.12
181.0582
190.2394
202.48
217.44
22n.d.
366.1796
370.0993
381.17
390.2489
5018.38
5112.9488
541.2280
5511.1560
560.11
a determined by PAMPA, n.d.: could not be determined; b determined by Cytochrom P450 3A4 inhibition assay.
Table 4. Summary of SAR of compounds against P. falciparum NF54 expressed as IC50 (µM).
Table 4. Summary of SAR of compounds against P. falciparum NF54 expressed as IC50 (µM).
R1R2R3R4P.f. NF54
IC50 (µM)
4-fluorophenoxyHHN-pivaloylpiperazinyl0.2690
4-fluorophenoxyN-Boc-piperazinylHH0.4134
4-fluorophenoxyHHN-pivaloylpiperazinyl0.5795
4-fluorophenoxyN-pivaloylpiperazinylHH0.6172
phenoxyN-pivaloylpiperazinylHH0.6593
phenoxyN-Boc-piperazinylHH1.012
4-acetamidophenoxyN-Boc-piperazinylHH1.146
phenoxyHHN-Boc-piperazinyl1.222
4-fluorophenoxyN-carbamoyl-piperazinylHH1.902
4-fluorophenoxyN-(dimethylcarbamoyl)piperazinylHH2.300
4-fluorophenoxyN-acetylpiperazinylHH2.533
4-fluorophenoxyN-tert-ButylpiperazinylHH2.890
4-fluorophenoxyHN-pivaloylpiperazinylH3.174
4-fluorophenoxyHN-Boc-piperazinylH3.297
HN-Boc-piperazinylHH3.738
phenoxyHHN-pivaloylpiperazinyl4.662
4-fluorophenoxyN-formylpiperazinylHH6.585
4-fluorophenoxyHHH9.325
4-fluorophenoxyN-carbamoylpiperazinylHH15.64
4-fluorophenoxyNH2HH21.28
4-fluorophenoxyHNH2H51.49
4-fluorophenoxyHHNH255.85
Publisher’s Note: MDPI stays neutral with regard to jurisdictional claims in published maps and institutional affiliations.

Share and Cite

MDPI and ACS Style

Hermann, T.; Hochegger, P.; Dolensky, J.; Seebacher, W.; Pferschy-Wenzig, E.-M.; Saf, R.; Kaiser, M.; Mäser, P.; Weis, R. Synthesis and Structure-Activity Relationships of New 2-Phenoxybenzamides with Antiplasmodial Activity. Pharmaceuticals 2021, 14, 1109. https://doi.org/10.3390/ph14111109

AMA Style

Hermann T, Hochegger P, Dolensky J, Seebacher W, Pferschy-Wenzig E-M, Saf R, Kaiser M, Mäser P, Weis R. Synthesis and Structure-Activity Relationships of New 2-Phenoxybenzamides with Antiplasmodial Activity. Pharmaceuticals. 2021; 14(11):1109. https://doi.org/10.3390/ph14111109

Chicago/Turabian Style

Hermann, Theresa, Patrick Hochegger, Johanna Dolensky, Werner Seebacher, Eva-Maria Pferschy-Wenzig, Robert Saf, Marcel Kaiser, Pascal Mäser, and Robert Weis. 2021. "Synthesis and Structure-Activity Relationships of New 2-Phenoxybenzamides with Antiplasmodial Activity" Pharmaceuticals 14, no. 11: 1109. https://doi.org/10.3390/ph14111109

APA Style

Hermann, T., Hochegger, P., Dolensky, J., Seebacher, W., Pferschy-Wenzig, E.-M., Saf, R., Kaiser, M., Mäser, P., & Weis, R. (2021). Synthesis and Structure-Activity Relationships of New 2-Phenoxybenzamides with Antiplasmodial Activity. Pharmaceuticals, 14(11), 1109. https://doi.org/10.3390/ph14111109

Note that from the first issue of 2016, this journal uses article numbers instead of page numbers. See further details here.

Article Metrics

Back to TopTop