Isolation and Structural Characterization of Bioactive Molecules on Prostate Cancer from Mayan Traditional Medicinal Plants
Abstract
1. Introduction
2. Results and Discussion
2.1. Plant Collection and Extract Preparation
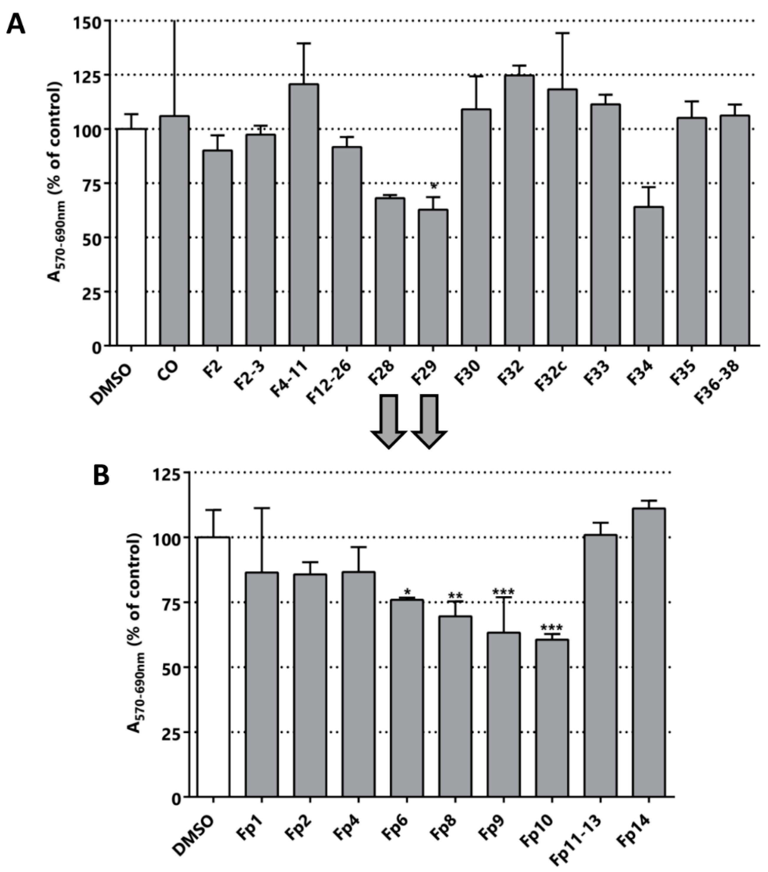
2.2. Bioguided Fractionation
2.3. Selectivity
3. Experimental Section
3.1. Plant Material Collection
3.2. Extract Preparation
3.3. Chromatographic Studies and Isolation of Active Constituents
3.4. Determination of the Chemical Structures
3.5. MTT Assay
4. Conclusions
Supplementary Materials
Author Contributions
Funding
Acknowledgments
Conflicts of Interest
References
- Bautista-Cruz, A.; Arnaud-Viñas, M.R.; Martínez-Gutiérrez, G.A.; Soledad Sánchez-Medina, P.; Pacheco, R.P. The traditional medicinal and food uses of four plants in Oaxaca, Mexico. J. Med. Plants Res. 2011, 5, 3404–3411. [Google Scholar]
- Kumar, S.; Jawaid, T.; Dubey, S. Therapeutic Plants of Ayurveda; A Review on Anticancer. Pharmacogn. J. 2011, 3, 1–11. [Google Scholar] [CrossRef]
- Déciga-Campos, M.; Rivero-Cruz, I.; Arriaga-Alba, M.; Castañeda-Corral, G.; Angeles-López, G.E.; Navarrete, A.; Mata, R. Acute toxicity and mutagenic activity of Mexican plants used in traditional medicine. J. Ethnopharmacol. 2007, 110, 334–342. [Google Scholar] [CrossRef] [PubMed]
- Wang, X.; Fang, G.; Pang, Y. Chinese medicines in the treatment of prostate cancer: From formulas to extracts and compounds. Nutrients 2018, 10, 283. [Google Scholar] [CrossRef] [PubMed]
- De Petrocellis, L.; Arroyo, F.J.; Orlando, P.; Schiano Moriello, A.; Vitale, R.M.; Amodeo, P.; Sánchez, A.; Roncero, C.; Bianchini, G.; Martín, M.A.; et al. Tetrahydroisoquinoline-Derived Urea and 2,5-Diketopiperazine Derivatives as Selective Antagonists of the Transient Receptor Potential Melastatin 8 (TRPM8) Channel Receptor and Antiprostate Cancer Agents. J. Med. Chem. 2016, 59, 5661–5683. [Google Scholar] [CrossRef] [PubMed]
- Hosseini, A.G. Cancer therapy with phytochemicals: Evidence from clinical studies. Avicenna J. Phytomedicine 2015, 5, 84–97. [Google Scholar]
- Henry, J.Y.; Lu, L.; Adams, M.; Meyer, B.; Bartlett, J.B.; Dalgleish, A.G.; Galustian, C. Lenalidomide enhances the anti-prostate cancer activity of docetaxel in vitro and in vivo. Prostate 2012, 72, 856–867. [Google Scholar] [CrossRef] [PubMed]
- Hu, Y.; Fu, L. Targeting cancer stem cells: A new therapy to cure cancer patients. Am. J. Cancer Res. 2012, 2, 340–356. [Google Scholar] [PubMed]
- Klarmann, G.J.; Hurt, E.M.; Mathews, L.A.; Zhang, X.; Maria, A.; Mistree, T.; Thomas, S.B.; Farrar, W.L. Invasive Prostate Cancer Cells Are Tumor Initiating Cells That Have A Stem Cell-Like Genomic Signature. Clin Exp Metastasis 2009, 26, 433–446. [Google Scholar] [CrossRef] [PubMed]
- Handratta, V.D.; Vasaitis, T.S.; Njar, V.C.O.; Gediya, L.K.; Kataria, R.; Chopra, P.; Newman, D.; Farquhar, R.; Guo, Z.; Qiu, Y.; et al. Novel C-17-heteroaryl steroidal CYP17 inhibitors/antiandrogens: Synthesis, in vitro biological activity, pharmacokinetics, and antitumor activity in the LAPC4 human prostate cancer xenograft model. J. Med. Chem. 2005, 48, 2972–2984. [Google Scholar] [CrossRef] [PubMed]
- Vicentini, C.; Festuccia, C.; Angelucci, A.; Gravina, G.L.; Muzi, P.; Eleuterio, E.; Miano, R.; Marronaro, A.; Tubaro, A.; Bologna, M. Bicalutamide dose-dependently inhibits proliferation in human prostatic carcinoma cell lines and primary cultures. Anticancer Res. 2002, 22, 2917–2922. [Google Scholar] [PubMed]
- Furr, B.J.A.; Tucker, H. The preclinical development of bicalutamide: Pharmacodynamics and mechanism of action. Urology 1995, 47, 13–25. [Google Scholar] [CrossRef]
- Bobach, C.; Tennstedt, S.; Palberg, K.; Denkert, A.; Brandt, W.; De Meijere, A.; Seliger, B.; Wessjohann, L.A. Screening of synthetic and natural product databases: Identification of novel androgens and antiandrogens. Eur. J. Med. Chem. 2015, 90, 267–279. [Google Scholar] [CrossRef] [PubMed]
- Liedtke, A.J.; Adeniji, A.O.; Chen, M.; Byrns, M.C.; Jin, Y.; Christianson, D.W.; Marnett, L.J.; Penning, T.M. Development of Potent and Selective Indomethacin Analogs for the Inhibition of AKR1C3 ( Type 5 17 β-Hydroxysteroid Dehydrogenase/Prostaglandin F Synthase ) in Castrate-Resistant Prostate Cancer. J. Med. Chem. 2013, 56, 2429–2446. [Google Scholar] [CrossRef] [PubMed]
- Hamid, R.; Rotshteyn, Y.; Rabadi, L.; Parikh, R.; Bullock, P. Comparison of alamar blue and MTT assays for high through-put screening. Toxicol. In Vitro 2004, 18, 703–710. [Google Scholar] [CrossRef] [PubMed]
- Loarca-Piña, G.; Mendoza, S.; Ramos-Gómez, M.; Reynoso, R. Antioxidant, antimutagenic, and antidiabetic activities of edible leaves from Cnidoscolus chayamansa Mc. Vaugh. J. Food Sci. 2010, 75, H68–H72. [Google Scholar] [CrossRef] [PubMed]
- García-Rodríguez, R.V.; Gutiérrez-Rebolledo, G.A.; Méndez-Bolaina, E.; Sánchez-Medina, A.; Maldonado-Saavedra, O.; Domínguez-Ortiz, M.Á.; Vázquez-Hernández, M.; Muñoz-Muñiz, O.D.; Cruz-Sánchez, J.S. Cnidoscolus chayamansa Mc Vaugh, an important antioxidant, anti-inflammatory and cardioprotective plant used in Mexico. J. Ethnopharmacol. 2014, 151, 937–943. [Google Scholar] [CrossRef] [PubMed]
- Pérez-González, M.Z.; Gutiérrez-Rebolledo, G.A.; Yépez-Mulia, L.; Rojas-Tomé, I.S.; Luna-Herrera, J.; Jiménez-Arellanes, M.A. Antiprotozoal, antimycobacterial, and anti-inflammatory evaluation of Cnidoscolus chayamansa (Mc Vaugh) extract and the isolated compounds. Biomed. Pharmacother. 2017, 89, 89–97. [Google Scholar] [CrossRef] [PubMed]
- Gorrini, C.; Harris, I.S.; Mak, T.W. Modulation of oxidative stress as an anticancer strategy. Nat. Rev. Drug Discov. 2013, 12, 931–947. [Google Scholar] [CrossRef] [PubMed]
- Chung, H.-H.; Chen, M.-K.; Chang, Y.-C.; Yang, S.-F.; Lin, C.-C.; Lin, C.-W. Inhibitory effects of Leucaena leucocephala on the metastasis and invasion of human oral cancer cells. Environ. Toxicol. 2017, 32, 1765–1774. [Google Scholar] [CrossRef] [PubMed]
- Abu Zarin, M.; Wan, H.Y.; Isha, A.; Armania, N. Antioxidant, antimicrobial and cytotoxic potential of condensed tannins from Leucaena leucocephala hybrid-Rendang. Food Sci. Hum. Wellness 2016, 5, 65–75. [Google Scholar] [CrossRef]
- Chu, S.C.; Yang, S.F.; Liu, S.J.; Kuo, W.H.; Chang, Y.Z.; Hsieh, Y.S. In vitro and in vivo antimetastatic effects of Terminalia catappa L. leaves on lung cancer cells. Food Chem. Toxicol. 2007, 45, 1194–1201. [Google Scholar] [CrossRef] [PubMed]
- Pino, J.; Sauri-Duch, E.; Marbot, R. Changes in volatile compounds of Habanero chile pepper (Capsicum chinense Jack. cv. Habanero) at two ripening stages. Food Chem. 2006, 94, 394–398. [Google Scholar] [CrossRef]
- Pérez Gutiérrez, R.M. Anti-inflammatory effect of birsonimadiol from seeds of Byrsonima crassifolia. Food Sci. Biotechnol. 2016, 25, 561–566. [Google Scholar] [CrossRef]
- Nguyen, D.P.; Li, J.; Tewari, A.K. Inflammation and prostate cancer: The role of interleukin 6 (IL-6). BJU Int. 2014, 113, 986–992. [Google Scholar] [CrossRef] [PubMed]
- Manigauha, A.; Kharya, M.D.; Ganesh, N. In vivo antitumor potential of Ipomoea pes-caprae on melanoma cancer. Pharmacogn. Mag. 2015, 11, 426–433. [Google Scholar] [CrossRef] [PubMed]
- She, L.; Liu, C.; Chen, C.; Li, H.; Li, W.; Chen, C. The anti-cancer and anti-metastasis effects of phytochemical constituents from Leucaena leucocephala. Biomed. Res. 2017, 28, 2893–2897. [Google Scholar]
- Gutierrez-Lugo, M.T.; Barrientos-Benítez, T.; Luna, B.; Ramirez-Gama, R.M.; Bye, R.; Linares, E.; Mata, R. Antimicrobial and cytotoxic activities of some crude drug extracts from Mexican medicinal plants. Phytomedicine 1996, 2, 341–347. [Google Scholar] [CrossRef]
- Yang, S.F.; Chen, M.K.; Hsieh, Y.S.; Yang, J.S.; Zavras, A.I.; Hsieh, Y.H.; Su, S.C.; Kao, T.Y.; Chen, P.N.; Chu, S.C. Antimetastatic effects of Terminalia catappa L. on oral cancer via a down-regulation of metastasis-associated proteases. Food Chem. Toxicol. 2010, 48, 1052–1058. [Google Scholar] [CrossRef] [PubMed]
- Tigari, P.; Dupadahalli, K.; Kamurthy, H.; Nadendla, R.; Pandya, N. Antitumor and antioxidant status of Terminalia catappa against Ehrlich ascites carcinoma in Swiss albino mice. Indian J. Pharmacol. 2013, 45, 464. [Google Scholar] [CrossRef] [PubMed]
- Silveira, J.E.P.S.; Pereda, M.d.C.V.; Eberlin, S.; Dieamant, G.C.; Di Stasi, L.C. Effects of Coccoloba uvifera L. on UV-stimulated melanocytes. Photodermatol. Photoimmunol. Photomed. 2008, 24, 308–313. [Google Scholar] [CrossRef] [PubMed]
- Aza-González, C.; Núñez-Palenius, H.G.; Ochoa-Alejo, N. Molecular biology of capsaicinoid biosynthesis in chili pepper (Capsicum spp.). Plant Cell Rep. 2011, 30, 695–706. [Google Scholar] [CrossRef] [PubMed]
- Amruthraj, N.J.; Raj, P.; Saravanan, S.; Lebel, L.A. In vitro studies on anticancer activity of capsaicinoids from Capsicum chinense against human hepatocellular carcinoma cells. Int. J. Pharm. Pharm. Sci. 2014, 6, 254–558. [Google Scholar]
- Mori, A.; Lehmann, S.; O’Kelly, J.; Kumagai, T.; Desmond, J.C.; Pervan, M.; McBride, W.H.; Kizaki, M.; Koeffler, H.P. Capsaicin, a component of red peppers, inhibits the growth of androgen-independent, p53 mutant prostate cancer cells. Cancer Res. 2006, 66, 3222–3229. [Google Scholar] [CrossRef] [PubMed]
- Ziglioli, F.; Frattini, A.; Maestroni, U.; Dinale, F.; Ciuffreda, M.; Cortellini, P. Vanilloid-mediated apoptosis in prostate cancer cells through a TRPV-1 dependent and a TRPV-1-independent mechanism. Acta Biomed. l’Ateneo Parm. 2009, 80, 13–20. [Google Scholar]
- Bode, A.M.; Dong, Z. The two faces of capsaicin. Cancer Res. 2011, 71, 2809–2814. [Google Scholar] [CrossRef] [PubMed]
- Ramos-Torres, Á.; Bort, A.; Morell, C.; Rodríguez-Henche, N.; Díaz-Laviada, I. The pepper’s natural ingredient capsaicin induces autophagy blockage in prostate cancer cells. Oncotarget 2016, 7, 1569–1583. [Google Scholar] [CrossRef] [PubMed]
- O’Neill, J.; Brock, C.; Olesen, A.E.; Andresen, T.; Nilsson, M.; Dickenson, A.H. Unravelling the mystery of capsaicin: A tool to understand and treat pain. Pharmacol. Rev. 2012, 64, 939–971. [Google Scholar] [CrossRef] [PubMed]
- Rollyson, W.D.; Stover, C.A.; Brown, K.C.; Perry, H.E.; Cathryn, D.; Stevenson, C.A.M.; Ball, J.G.; Valentovic, M.A.; Dasgupta, P. Bioavailability of capsaicin and its implications for drug delivery William. J. Control. Release 2010, 196, 96–105. [Google Scholar] [CrossRef] [PubMed]
- Balogun, S.O.; Da Silva, I.F.; Colodel, E.M.; De Oliveira, R.G.; Ascêncio, S.D.; De Oliveira Martins, D.T. Toxicological evaluation of hydroethanolic extract of Helicteres sacarolha A. St.- Hil. et al. J. Ethnopharmacol. 2014, 157, 285–291. [Google Scholar] [CrossRef] [PubMed]
- Mukul-Yerves, J.M.; Del Rosario Zapata-Escobedo, M.; Montes-Pérez, R.C.; Rodríguez-Vivas, R.I.; Torres-Acosta, J.F. Parásitos gastrointestinales y ectoparásitos de ungulados silvestres en condiciones de vida libre y cautiverio en el trópico mexicano. Rev. Mex. Ciencias Pecu. 2014, 5, 459–469. [Google Scholar] [CrossRef]
- Abel, S.D.A.; Baird, S.K. Honey is cytotoxic towards prostate cancer cells but interacts with the MTT reagent: Considerations for the choice of cell viability assay. Food Chem. 2018, 241, 70–78. [Google Scholar] [CrossRef] [PubMed]
- Kuhajda, F.P.; Jennert, K.; Wood, F.D.; Hennigart, R.A.; Jacobs, L.B.; Dick, J.D.; Pasternack, G.R. Fatty acid synthesis: A potential selective target for antineoplastic therapy. Proc. Nati. Acad. Sci. 1994, 91, 6379–6383. [Google Scholar] [CrossRef]
- Swinnen, J.V.; Roskams, T.; Joniau, S.; Van Poppel, H.; Oyen, R.; Baert, L.; Heyns, W.; Verhoeven, G. Overexpression of fatty acid synthase is an early and common event in the development of prostate cancer. Int. J. Cancer 2002, 98, 19–22. [Google Scholar] [CrossRef] [PubMed]
- Bégin, M.E.; Ells, G.; Das, U.N.; Horrobin, D.F. Differential killing of human carcinoma cells supplemented with n-3 and n-6 polyunsaturated fatty acids. J. Natl. Cancer Inst. 1986, 77, 1053–1062. [Google Scholar] [PubMed]
- De Schrijver, E.; Brusselmans, K.; Heyns, W.; Cells, C. RNA Interference-mediated Silencing of the Fatty Acid Synthase Gene Attenuates Growth and Induces Morphological Changes and Apoptosis of LNCaP Prostate Cancer Cells. Cancer Res. 2003, 63, 3799–3804. [Google Scholar] [PubMed]
- Yang, Z.; Liu, S.; Chen, X.; Chen, H.; Huang, M.; Zheng, J. Induction of Apoptotic Cell Death and in Vivo Growth Inhibition of Human Cancer Cells by a Saturated Branched-Chain Fatty Acid, 13-Methyltetradecanoic Acid. Cancer Res. 2000, 60, 505–509. [Google Scholar] [PubMed]
- Gahungu, A.; Ruganintwali, E.; Karangwa, E.; Zhang, X.; Mukunzi, D. Volatile compounds and capsaicinoid content of fresh hot peppers (Capsicum chinense) scotch bonnet variety at red stage. Adv. J. Food Sci. Technol. 2011, 3, 211–218. [Google Scholar]
- Musfiroh, I.D.A.; Mutakin, M.; Angelina, T.; Muchtaridi, M. Capsaicin level of various Capsicum fruits. Int. J. Pharm. Pharm. Sci. 2013, 5, 248–251. [Google Scholar]
- Laratta, B.; De Masi, L.; Sarli, G.; Pignone, D. Hot peppers for happiness and wellness: A rich source of healthy and biologically active compounds. XV EUCARPIA Meet. Genet. Breed. Capsicum Eggplant 2011, 1, 233–240. [Google Scholar]
- Anderson, T.M.D. Anticancer Potential of Curcumin Preclinical and Clinical Studies. Anticancer Res. 2003, 23, 363–398. [Google Scholar]
- Gafner, S.; Lee, S.K.; Cuendet, M.; Barthélémy, S.; Vergnes, L.; Labidalle, S.; Mehta, R.G.; Boone, C.W.; Pezzuto, J.M. Biologic evaluation of curcumin and structural derivatives in cancer chemoprevention model systems. Phytochemistry 2004, 65, 2849–2859. [Google Scholar] [CrossRef] [PubMed]
- Lin, L.; Shi, Q.; Nyarko, A.K.; Bastow, K.F.; Wu, C.-C.; Su, C.-Y.; Shih, C.C.-Y.; Lee, K.-H. Antitumor agents. 250. Design and synthesis of new curcumin analogues as potential anti-prostate cancer agents. J. Med. Chem. 2006, 49, 3963–3972. [Google Scholar] [CrossRef] [PubMed]
- Padmanaban, G. Curcumin as an Adjunct Drug for Infectious Diseases. Trends Pharmacol. Sci. 2016, 37, 3–5. [Google Scholar] [CrossRef] [PubMed]
- Wang, R.; Chen, C.; Zhang, X.; Zhang, C.; Zhong, Q.; Chen, G.; Zhang, Q.; Zheng, S.; Wang, G.; Chen, Q.H. Structure-Activity Relationship and Pharmacokinetic Studies of 1,5-Diheteroarylpenta-1,4-dien-3-ones: A Class of Promising Curcumin-Based Anticancer Agents. J. Med. Chem. 2015, 58, 4713–4726. [Google Scholar] [CrossRef] [PubMed]
- Adapala, N.; Chan, M.M. Long-term use of an antiinflammatory, curcumin, suppressed type 1 immunity and exacerbated visceral leishmaniasis in a chronic experimental model. Lab. Invest. 2008, 88, 1329–1339. [Google Scholar] [CrossRef] [PubMed]
- Kobata, K.; Kawaguchi, M.; Watanabe, T. Enzymatic Synthesis of a Capsinoid by the Acylation of Vanillyl Alcohol with Fatty Acid Derivatives Catalyzed by Lipases. Biosci. Biotechnol. Biochem. 2002, 66, 319–327. [Google Scholar] [CrossRef] [PubMed]
- Kobata, K.; Tate, H.; Iwasaki, Y.; Tanaka, Y.; Ohtsu, K.; Yazawa, S.; Watanabe, T. Isolation of coniferyl esters from Capsicum baccatum L., and their enzymatic preparation and agonist activity for TRPV1. Phytochemistry 2008, 69, 1179–1184. [Google Scholar] [CrossRef] [PubMed]
- Czifra, G.; Varga, A.; Nyeste, K.; Marincsák, R.; Tóth, B.I.; Kovács, I.; Kovács, L.; Bíró, T. Increased expressions of cannabinoid receptor-1 and transient receptor potential vanilloid-1 in human prostate carcinoma. J. Cancer Res. Clin. Oncol. 2009, 135, 507–514. [Google Scholar] [CrossRef] [PubMed]
- Finck, Y.; Aydin, N.; Pellaton, C.; Gorin, G.; Gülaçar, F. Combination of gas chromatography-mass spectrometry and mass spectral deconvolution for structural elucidation of an unusual C29-steroid detected in a complex sedimentary matrix. J. Chromatogr. A 2004, 1049, 227–231. [Google Scholar] [CrossRef]
- Kawasaki, B.T.; Hurt, E.M.; Kalathur, M.; Duhagon, M.A.; John, A.; Kim, Y.S.; Farrar, W.L. Effects of the sesquiterpene lactone parthenolide on prostate tumor-initiating cells: An integrated molecular profiling approach. Prostate 2009, 69, 827–837. [Google Scholar] [CrossRef] [PubMed]
- Fort, R.S.; Mathó, C.; Geraldo, M.V.; Ottati, M.C.; Yamashita, A.S.; Saito, K.C.; Leite, K.R.M.; Méndez, M.; Maedo, N.; Méndez, L.; et al. Nc886 is epigenetically repressed in prostate cancer and acts as a tumor suppressor through the inhibition of cell growth. BMC Cancer 2018, 18, 1–13. [Google Scholar] [CrossRef] [PubMed]







| Common Name | Scientific Name | Location | Collection Time | Part of the Plant Used | MeOH Extract (g) * | CH2Cl2 Extract (g) * | Initial Sample (g) | Extraction Yield % |
|---|---|---|---|---|---|---|---|---|
| Bejuco de playa | Ipomoea pes-caprae | Tulum Beach (20°11′52.00′′ N; 87°26′12.38′′ O) | may-14 | leaves and branches | 20.2 (T25) | 2.4 (T33) | 132 | 17 |
| Nance | Byrsonima crassifolia | Ecological Park Chetumal (18°30′21.25′′ N; 88°19′12.79′′ O) | sep-13 | tree bark | 35.5 (T27) | 12.6 (T28) | 200 | 24 |
| Uva de mar | Coccoloba uvifera | Chetumal bay (18°31′1.79′′ N; 88°16′14.46′′ O) | may-14 | leaves | 40.0 (T24) | 4 (T23) | 214 | 21 |
| Almendro | Terminalia catappa | Chetumal city (18°31′0.55′′ N; 88°18′50.27′′ O) | may-14 | leaves | 27.9 (T13) | 9 (T6) | 250 | 15 |
| Elemuy | Malmea depressa | Santa Rosa town (19°57′51.90′′ N; 88°16′17.00′′ O) | may-14 | leaves and branches | 25.6 (T19) | 4 | 164 | 18 |
| Elemuy | Malmea depressa | Santa Rosa town (19°57′51.90′′ N; 88°16′17.00′′ O) | may-14 | root | 9.5 (T20) | 2.6 (T21) | 187 | 6 |
| Huachi | Leucaena leucocephala | Chetumal city (18°31′17.48′′ N; 88°18′47.94′′ O) | may-14 | leaves and branches | 26.8 (T2) | 9 (T8) | 273 | 13 |
| Chaya | Cnidoscolus chayamansa | Chetumal city (18°31′0.55′′ N; 88°18′50.27′′ O) | may-14 | leaves | 16.7 (T3) | 2 (T4) | 100 | 19 |
| Guarumbo | Cecropia obstusifolia | Chetumal city (18°31′26.60′′ N; 88°18′49.84′′ O) | may-14 | leaves | 16.7 (T5) | 4.5 (T22) | 150 | 14 |
| Tsutsup | Helicteres baruensis Jacg | Tulum Beach (20°11′59.42′′ N; 87°26′53.68′′ O) | may-14 | leaves and branches | 10.6 (T11) | 6 (T14) | 113 | 15 |
| Chile habanero | Capsicum chinese | F. Carrillo Puerto town (19°34′50.49′′ N; 88° 2′39.57′′ O) | may-14 | fruit | 11.3 (T31) | 5 (T38) | 55 | 21 |
| BPH-1 | DU145 | PC3 | LNCaP | |
|---|---|---|---|---|
| Curcumin IC50 (µM) | 11 ± 2 | 12 ± 3 | 8 ± 1 | 2 ± 1 |
| (E)-Ethyl 8-methylnon-6-enoate at 100 µM (%) * | 0 | 76 | 62 | 41 |
© 2018 by the authors. Licensee MDPI, Basel, Switzerland. This article is an open access article distributed under the terms and conditions of the Creative Commons Attribution (CC BY) license (http://creativecommons.org/licenses/by/4.0/).
Share and Cite
Fort, R.S.; Trinidad Barnech, J.M.; Dourron, J.; Colazzo, M.; Aguirre-Crespo, F.J.; Duhagon, M.A.; Álvarez, G. Isolation and Structural Characterization of Bioactive Molecules on Prostate Cancer from Mayan Traditional Medicinal Plants. Pharmaceuticals 2018, 11, 78. https://doi.org/10.3390/ph11030078
Fort RS, Trinidad Barnech JM, Dourron J, Colazzo M, Aguirre-Crespo FJ, Duhagon MA, Álvarez G. Isolation and Structural Characterization of Bioactive Molecules on Prostate Cancer from Mayan Traditional Medicinal Plants. Pharmaceuticals. 2018; 11(3):78. https://doi.org/10.3390/ph11030078
Chicago/Turabian StyleFort, Rafael Sebastián, Juan M. Trinidad Barnech, Juliette Dourron, Marcos Colazzo, Francisco J. Aguirre-Crespo, María Ana Duhagon, and Guzmán Álvarez. 2018. "Isolation and Structural Characterization of Bioactive Molecules on Prostate Cancer from Mayan Traditional Medicinal Plants" Pharmaceuticals 11, no. 3: 78. https://doi.org/10.3390/ph11030078
APA StyleFort, R. S., Trinidad Barnech, J. M., Dourron, J., Colazzo, M., Aguirre-Crespo, F. J., Duhagon, M. A., & Álvarez, G. (2018). Isolation and Structural Characterization of Bioactive Molecules on Prostate Cancer from Mayan Traditional Medicinal Plants. Pharmaceuticals, 11(3), 78. https://doi.org/10.3390/ph11030078

