Influence of Surface Roughness Spatial Variability and Temporal Dynamics on the Retrieval of Soil Moisture from SAR Observations
Abstract
:1. Introduction
2. Materials and Methods
2.1. Test site
2.2. Ground measurements
2.3. Backscatter model
2.4. Synthetic analysis
3. Results
3.1. Influence of the spatial variability of roughness
3.1.1. Roughness measurements
3.1.2. Influence on σ0 estimations
3.1.3. Influence on the retrieved SM
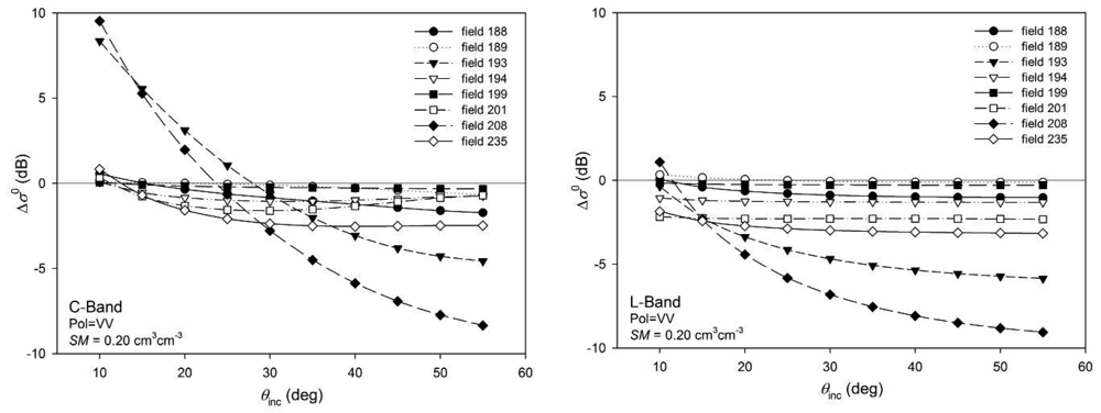
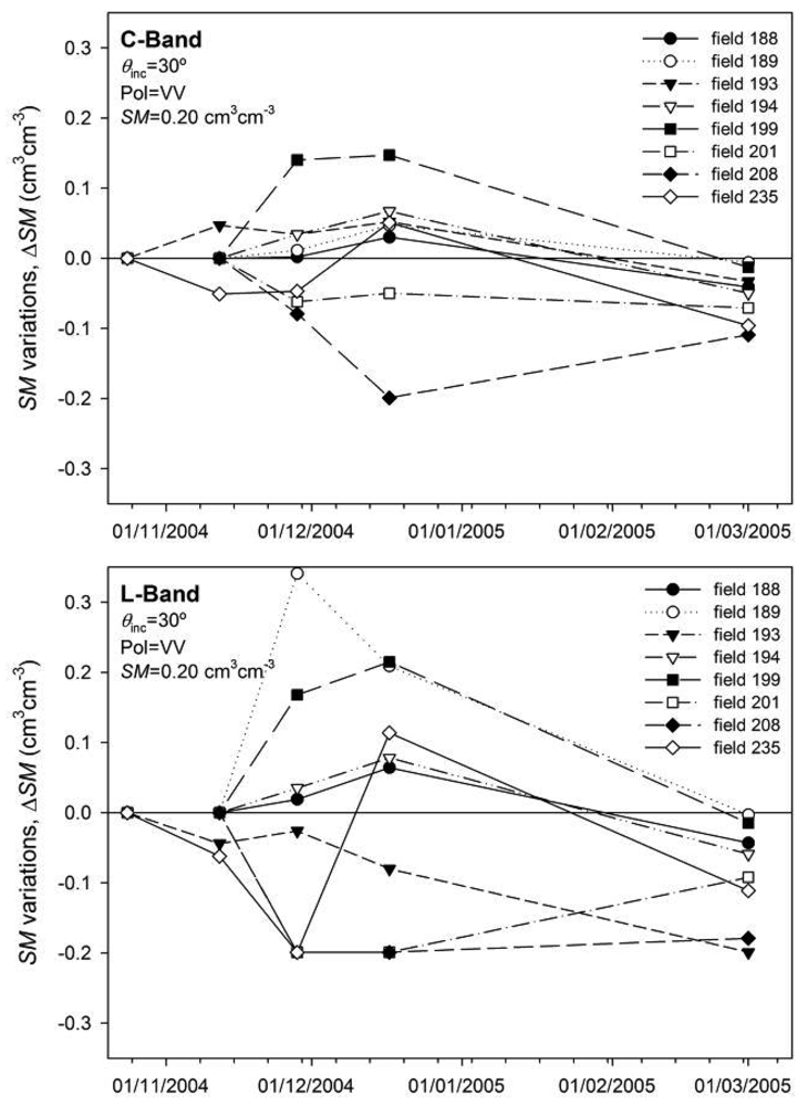
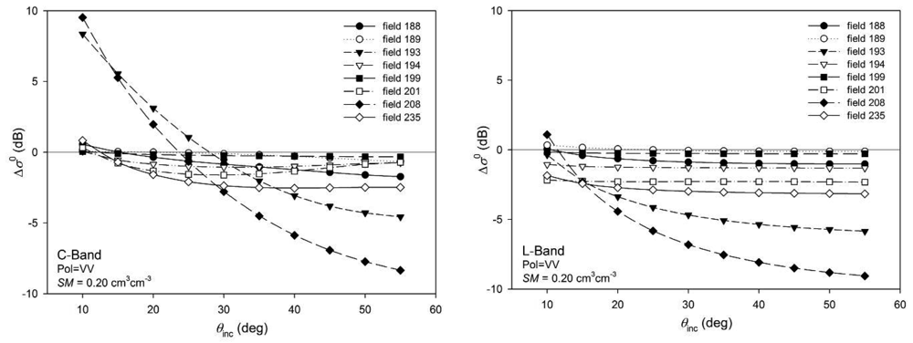
3.2. Influence of the temporal dynamics of roughness
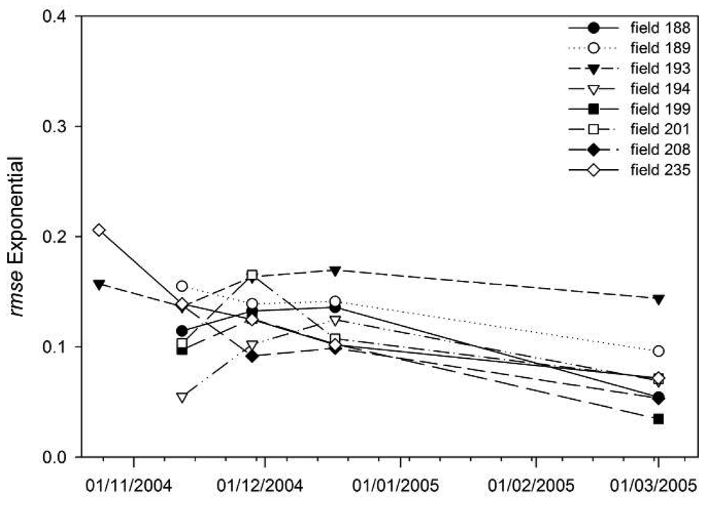
3.2.1. Roughness measurements
3.2.2. Influence on σ0 estimations
3.2.3. Influence on the retrieved SM
4. Conclusions
Acknowledgments
References and Notes
- Moran, M.S.; Peters-Lidard, C.D.; Watts, J.M.; McElroy, S. Estimating soil moisture at the watershed scale with satellite-based radar and land surface models. Can. J. Remote Sens. 2004, 30, 805–826. [Google Scholar]
- Schiermeier, Q. A long dry summer. Nature 2008, 452, 270–273. [Google Scholar]
- Ulaby, F.T.; Moore, R.K.; Fung, A.K. Microwave Remote Sensing: Active and Passive; Artech House: Boston, MA, 1982; Volume II. [Google Scholar]
- Thoma, D.P.; Moran, M.S.; Bryant, R.; Rahman, M.; Holifield Collins, C.D.; Keefer, T.O.; Noriega, R.; Osman, I.; Skirvin, S.; Tischler, M.; Bosch, D.; Starks, P.J.; Peters-Lidard, C. Appropriate scale of soil moisture retrieval from high-resolution radar imagery for bare and minimally vegetated soils. Remote Sens. Environ. 2008, 112, 403–414. [Google Scholar]
- Fung, A.K. Microwave scattering and emission models and their applications; Artech House: Boston, MA, 1994. [Google Scholar]
- Oh, Y.; Sarabandi, K.; Ulaby, F.T. Semi-empirical model of the ensemble-averaged differential Mueller matrix for microwave backscattering from bare soil surfaces. IEEE Trans. Geosci. Remote Sens. 2002, 40, 1348–1355. [Google Scholar]
- Shi, J.; Wang, J.; Hsu, A.Y.; O'Neill, P.E.; Engman, E.T. Estimation of bare surface soil moisture and surface roughness parameter using L-band SAR image data. IEEE Trans. Geosci. Remote Sens. 1997, 35, 1254–1266. [Google Scholar]
- Thoma, D.P.; Moran, M.S.; Bryant, R.; Rahman, M.; Holifield Collins, C.D.; Skirvin, S.; Sano, E.E.; Slocum, K. Comparison of four models to determine surface soil moisture from C-band radar imagery in a sparsely vegetated semiarid landscape. Water Resour. Res. 2006, 42, W01418–WR003905. [Google Scholar]
- Loew, A; Mauser, W. A semiempirical surface backscattering model for bare soil surfaces based on the generalized power law spectrum. IEEE Trans. Geosci. Remote Sens. 2006, 44, 1022–1035. [Google Scholar]
- Zribi, M.; Baghdadi, N.; Holah, N.; Fafin, O. New methodology for soil surface moisture estimation and its application to ENVISAT-ASAR multi-incidence data inversion. Remote Sens. Environ. 2005, 96, 485–496. [Google Scholar]
- Elfouhaily, T.M.; Johnson, J.T. A new model for rough surface scattering. IEEE Trans. Geosci. Rem. Sens. 2007, 45, 2300–2308. [Google Scholar]
- Satalino, G.; Mattia, F.; Davidson, M.; Le Toan, T.; Pasquariello, G.; Borgeaud, M. On current limits of soil moisture retrieval from ERS-SAR data. IEEE Trans. Geosci. Remote Sens. 2002, 40, 2438–2447. [Google Scholar]
- Su, Z.; Troch, P.A.; De Troch, F.P. Remote sensing of soil moisture using EMAC/ESAR data. Int. J. Remote Sens. 1997, 18, 2105–2124. [Google Scholar]
- Mattia, F.; Satalino, G.; Dente, L.; Pasquariello, G. Using a priori information to improve soil moisture retrieval from ENVISAT ASAR AP data in semiarid regions. IEEE Trans. Geosci. Remote Sens. 2006, 44, 900–912. [Google Scholar]
- Macelloni, G.; Nesti, G.; Pampaloni, P.; Sigismondi, S.; Tarchi, D.; Lolli, S. Experimental validation of surface scattering and emission models. IEEE Trans. Geosci. Remote Sens. 2000, 38, 459–469. [Google Scholar]
- Mancini, M.; Hoeben, R.; Troch, P.A. Multifrequency radar observations of bare surface soil moisture content: A laboratory experiment. Water Resour. Res. 1999, 35, 1827–1838. [Google Scholar]
- Altese, E.; Bolognani, O.; Mancini, M.; Troch, P.A. Retrieving soil moisture over bare soils from ERS-1 synthetic aperture radar data: Sensitivity analysis based on a theoretical surface scattering model and field data. Water Resour. Res. 1996, 32, 653–662. [Google Scholar]
- Baghdadi, N.; Zribi, M. Evaluation of radar backscatter models IEM, Oh and Dubois using experimental observations. Int. J. Remote Sens. 2006, 27, 3831–3852. [Google Scholar]
- Mattia, F.; Le Toan, T.; Souyris, J.C.; De Carolis, G.; Floury, N.; Posa, F.; Pasquariello, G. The effect of surface roughness on multifrequency polarimetric SAR data. IEEE Trans. Geosci. Remote Sens. 1997, 33, 915–926. [Google Scholar]
- Bindlish, R.; Barros, A.P. Multifrequency soil moisture inversion from SAR measurements with the use of IEM. Remote Sens. Environ. 2000, 71, 61–88. [Google Scholar]
- Baghdadi, N.; Gherboudj, I; Zribi, M; King, C; Bonn, F. Semi-empirical calibration of the IEM backscattering model using radar images and moisture and roughness field measurements. Int. J. Remote Sens. 2004, 25, 3593–3623. [Google Scholar]
- Baghdadi, N.; Holah, N; Zribi, M. Calibration of the Integral Equation Model for SAR data in C-band and HH and VV polarizations. Int. J. Remote Sens. 2006, 27, 805–816. [Google Scholar]
- Verhoest, N.E.C.; Lievens, H.; Wagner, W.; Alvarez-Mozos, J.; Moran, M.S.; Mattia, F. On the soil roughness parameterization problem in soil moisture retrieval of bare surfaces from Synthetic Aperture Radar. Sensors 2008, 8, 4213–4248. [Google Scholar]
- Callens, M.; Verhoest, N.E.C.; Davidson, M.W.J. Parameterization of tillage-induced single-scale soil roughness from 4-m profiles. IEEE Trans. Geosci. Remote Sens. 2006, 44, 878–888. [Google Scholar]
- Rahman, M.M.; Moran, M.S.; Thoma, D.P.; Bryant, R.; Sano, E.E.; Holifield Collins, C.D.; Skirvin, S.; Kershner, C.; Orr, B.J. A derivation of roughness correlation length for parameterizing radar backscatter models. Int. J. Remote Sens. 2007, 28, 3994–4012. [Google Scholar]
- Oh, Y.; Kay, Y.C. Condition for precise measurement of soil surface roughness. IEEE Trans. Geosci. Remote Sens. 1998, 36, 691–695. [Google Scholar]
- Baghdadi, N.; Paillou, P.; Grandjean, G.; Dubois, P.; Davidson, M. Relationship between profile length and roughness variables for natural surfaces. Int. J. Remote Sens. 2000, 21, 3375–3381. [Google Scholar]
- Notarnicola, C.; Angiulli, M.; Posa, F. Use of radar and optical remotely sensed data for soil moisture retrieval over vegetated areas. IEEE Trans. Geosci. Remote Sens. 2006, 44, 925–935. [Google Scholar]
- Notarnicola, C.; Posa, F. Inferring vegetation water content from C- and L-Band SAR images. IEEE Trans. Geosci. Remote Sens. 2007, 45, 3165–3171. [Google Scholar]
- Mattia, F.; Le Toan, T.; Picard, G.; Posa, F.I.; D'Alessio, A.; Notarnicola, C.; Gatti, A.M.; Rinaldi, M.; Satalino, G.; Pasquariello, G. Multitemporal C-band radar measurements on wheat fields. IEEE Trans. Geosci. Remote Sens. 2003, 41, 1551–1560. [Google Scholar]
- Zobeck, T.M.; Onstad, C.A. Tillage and rainfall effect on random roughness: A review. Soil Tillage Res. 1987, 9, 1–20. [Google Scholar]
- Morgan, R.P.C.; Quinton, J.N.; Smith, R.E.; Govers, G.; Poesen, J.W.A.; Auerswald, K.; Chisci, G.; Torri, D.; Styczen, M.E.F. The European Soil Erosion Model (EUROSEM): A dynamic approach for predicting sediment transport from fields and small catchments. Earth Surf. Process. Landf. 1998, 23, 527–544. [Google Scholar]
- Álvarez-Mozos, J.; Casalí, J.; Gonzalez-Audícana, M.; Verhoest, N.E.C. Assessment of the operational applicability of RADARSAT-1 data for surface soil moisture estimation. IEEE Trans. Geosci., Remote Sens. 2006, 44, 913–924. [Google Scholar]
- Bryant, R.; Moran, M.S.; Thoma, D.P.; Holifield Collins, C.D.; Skirvin, S.; Rahman, M.; Slocum, K.; Starks, P.; Bosch, D.; González Dugo, M.P. Measuring surface roughness height to parameterize radar backscatter models for retrieval of surface soil moisture. IEEE Geosci Remote Sens. Letters 2007, 4, 137–141. [Google Scholar]
- Zribi, M.; Baghdadi, N.; Guerin, C. Analysis of surface roughness heterogeneity and scattering behaviour for radar measurements. IEEE Trans. Geosci. Remote Sens. 2006, 44, 2438–2444. [Google Scholar]
- Casalí, J.; Gastesi, R.; Álvarez-Mozos, J.; De Santisteban, L.M.; Del Valle de Lersundi, J.; Giménez, R.; Larrañaga, A.; Goñi, M.; Agirre, U.; Campo, M.A.; López, J.J.; Donezar, M. Runoff, erosion and water quality of agricultural watersheds in central Navarre (Spain). Agr. Water Manage. 2008, 95, 1111–1128. [Google Scholar]
- Dobson, M.C.; Ulaby, F.T.; Hallikainen, M.T.; El-Rayes, M.S. Microwave dielectric behavior of wet soils: II. Dielectric mixing models. IEEE Trans. Geosci. Remote Sens. 1985, 23, 35–46. [Google Scholar]
- Chen, K.S.; Yen, S.K.; Huang, W.P. A simple model for retrieving bare soil moisture from radar scattering coefficients. Remote Sens. Environ. 1995, 54, 121–126. [Google Scholar]
- Baghdadi, N.; Gaulier, S.; King, C. Retrieving surface roughness and soil moisture from synthetic aperture radar (SAR) data using neural networks. Can. J. Remote Sens. 2002, 28, 701–711. [Google Scholar]
- Dawson, M.S.; Fung, A.K.; Manry, M.T. A robust statistical-based estimator for soil moisture retrieval from radar measurements. IEEE Trans. Geosci. Remote Sens. 1997, 35, 57–67. [Google Scholar]
- Sahebi, M.R.; Bonn, F.; Benie, G. Neural networks for the inversion of soil surface parameters from synthetic aperture radar satellite data. Can. J. Civ. Eng. 2004, 31, 95–108. [Google Scholar]
- Notarnicola, C.; Angiulli, M.; Posa, F. Soil moisture retrieval from remotely sensed data: Neural Network approach versus Bayesian method. IEEE Trans. Geosci. Remote Sens. 2008, 46, 547–557. [Google Scholar]
- Verhoest, N.E.C.; De Baets, B.; Mattia, F.; Satalino, G.; Lucau, C.; Defourny, P. A possibilistic approach to soil moisture retrieval from ERS synthetic aperture radar backscattering under soil roughness uncertainty. Water Resour. Res. 2007, 43, W07435–WR005295. [Google Scholar]
- Verhoest, N.E.C.; De Baets, B.; Vernieuwe, H. A Takagi-Sugeno fuzzy rule-based model for soil moisture retrieval from SAR under soil roughness uncertainty. IEEE Trans. Geosci. Remote Sens. 2007, 45, 1351–1360. [Google Scholar]
- Biftu, G.F.; Gan, T.Y. Retrieving soil moisture from Radarsat SAR data. Water Resour. Res. 1999, 35, 1569–1579. [Google Scholar]
- Narayan, U.; Lakshmi, V.; Jackson, T.J. High-Resolution change estimation of soil moisture using L-band radiometer and radar observations made during the SMEX02 experiments. IEEE Trans. Geosci. Remote Sens. 2006, 44, 1545–1554. [Google Scholar]
- Sano, E.E.; Moran, M.S.; Huete, A.R.; Miura, T. C- and multiangle Ku-band synthetic aperature radar data for bare soil moisture estimation in agricultural areas. Rem. Sens. Environ. 1998, 64, 77–90. [Google Scholar]
- Zribi, M.; Dechambre, M. A new empirical model to retrieve soil moisture and roughness from radar data. Remote Sens. Environ. 2002, 84, 42–52. [Google Scholar]
- Mattia, F.; Davidson, M.W.J.; Le Toan, T.; D'Haese, C.M.F.; Verhoest, N.E.C.; Gatti, A.M.; Borgeaud, M. A comparison between soil roughness statistics used in surface scattering models derived from mechanical and laser profilers. IEEE Trans. Geosci. Remote Sens. 2003, 41, 1659–1671. [Google Scholar]
- Oh, Y.; Hong, J-Y. Effect of surface profile length on the backscattering coefficients of bare surfaces. IEEE Trans. Geosci. Remote Sens. 2007, 45, 632–638. [Google Scholar]

















| Test field | 22/09/2004 | 08/10/2004 | 24/10/2004 | 12/11/2004 | 28/11/2004 | 17/12/2004 | 01/03/2005 |
| 188 | Rough Harrowed | Rough Harrowed | Roller Compacted | Seedbed | Seedbed | Seedbed | Seedbed |
| 189 | Rough Harrowed | Rough Harrowed | Smooth Harrowed | Seedbed | Seedbed | Seedbed | Seedbed |
| 193 | Rough Harrowed | Rough Harrowed | Seedbed | Seedbed | Seedbed | Seedbed | Seedbed |
| 194 | Harvested Crop | Rough Harrowed | Rough Harrowed | Seedbed | Seedbed | Seedbed | Seedbed |
| 199 | Mouldboard Plough | Mouldboard d Plough | Mouldboard d Plough | Seedbed | Seedbed | Seedbed | Seedbed |
| 201 | Smooth Harrowed | Smooth Harrowed | Roller Compacted | Seedbed | Seedbed | Seedbed | Seedbed |
| 208 | Mouldboard Plough | Mouldboard d Plough / Rough Harrowed | Mouldboard d Plough / Rough Harrowed | Roller Seedbed | Roller Seedbed | Roller Seedbed | Roller Seedbed |
| 235 | Smooth Harrowed | Smooth Harrowed | Seedbed | Seedbed | Seedbed | Seedbed | Seedbed |
| 255 | Smooth Harrowed | Smooth Harrowed | No Data | Seedbed | Seedbed | Seedbed | No Data |
| 258 | Rough Harrowed | No Data | No Data | Seedbed | Seedbed | Seedbed | No Data |
| s | l | ||||||
| Tillage class | N | s̄(cm) | σs ̄ (cm) | CVs ̅ (%) | l̄ cm) | σl ̄ (cm) | CVl ̅ (%) |
| Harvested crop | 1 | 1.62 | 0.41 | 25.4 | 20.57 | 11.56 | 56.2 |
| Mouldboard plough | 4 | 4.33 | 1.11 | 25.0 | 11.59 | 4.87 | 37.9 |
| Harrowed rough | 9 | 2.90 | 0.52 | 18.0 | 13.13 | 12.52 | 73.2 |
| Harrowed smooth | 7 | 2.33 | 0.39 | 16.5 | 17.59 | 14.71 | 77.7 |
| Rolled | 2 | 1.63 | 0.26 | 15.9 | 23.67 | 20.62 | 94.5 |
| Seedbed | 36 | 1.79 | 0.33 | 18.4 | 28.62 | 19.24 | 75.3 |
| Rolled seedbed | 4 | 1.47 | 0.27 | 18.3 | 31.10 | 11.16 | 41.9 |
| rmse | |||
|---|---|---|---|
| Tillage class | rmse ACF̅ | Exponential | Gaussian |
| Harvested crop | 0.087 | 0.113 | 0.217 |
| Mouldboard plough | 0.113 | 0.043 | 0.092 |
| Harrowed rough | 0.128 | 0.096 | 0.153 |
| Harrowed smooth | 0.124 | 0.127 | 0.193 |
| Rolled | 0.104 | 0.157 | 0.236 |
| Seedbed | 0.130 | 0.122 | 0.211 |
| Rolled seedbed | 0.085 | 0.095 | 0.177 |
| Incidence angle and polarization | ||||||
|---|---|---|---|---|---|---|
| 15° | 30° | 45° | ||||
| VV | HH | VV | HH | VV | HH | |
| C-band Δσ0 ̅ | 1.09 | 1.08 | -1.21 | -1.36 | -2.18 | -2.67 |
| Δσ0 min | -0.78 | -0.97 | -2.79 | -2.82 | -6.93 | -7.62 |
| Δσ0max | 5.55 | 5.52 | -0.11 | 0.06 | -0.31 | 0.16 |
| L-band Δσ0 ̅ | -1.36 | -1.31 | -2.41 | -2.34 | -2.77 | -2.77 |
| Δσ0 min | -2.43 | -2.41 | -6.82 | -6.32 | -8.50 | -7.95 |
| Δσ0max | 0.16 | 0.22 | -0.05 | 0.13 | -0.11 | 0.20 |
| Incidence angle and polarization | ||||||
|---|---|---|---|---|---|---|
| C-band | 15° | 30° | 45° | |||
| SM | VV | HH | VV | HH | VV | HH |
| 0.05 cm3cm-3 ΔSM̅ | 0.05 | 0.05 | -0.04 | -0.04 | -0.04 | -0.04 |
| ΔSMmin | -0.05 | -0.05 | -0.05 | -0.05 | -0.05 | -0.05 |
| ΔSMmax | 0.27 | 0.30 | -0.01 | -0.01 | -0.01 | 0.01 |
| 0.20 cm3cm-3 ΔSM̅ | -0.06 | -0.07 | -0.05 | -0.08 | -0.10 | -0.11 |
| ΔSMmin | -0.20 | -0.20 | -0.11 | -0.20 | -0.20 | -0.20 |
| ΔSMmax | 0.00 | 0.01 | -0.01 | 0.00 | -0.01 | 0.02 |
| 0.35 cm3cm-3 ΔSM̅ | -0.11 | -0.12 | -0.10 | -0.12 | -0.12 | -0.20 |
| ΔSMmin | -0.35 | -0.35 | -0.19 | -0.23 | -0.29 | -0.35 |
| ΔSMmax | 0.01 | 0.01 | -0.01 | 0.01 | -0.03 | 0.03 |
| Incidence angle and polarization | ||||||
|---|---|---|---|---|---|---|
| L-band | 15° | 30° | 45° | |||
| SM | VV | HH | VV | HH | VV | HH |
| 0.05 cm3cm-3 ΔSM̅ | -0.03 | -0.04 | -0.04 | -0.04 | -0.04 | -0.04 |
| ΔSMmin | -0.05 | -0.05 | -0.05 | -0.05 | -0.05 | -0.05 |
| ΔSMmax | 0.00 | 0.00 | 0.00 | -0.01 | 0.00 | 0.01 |
| 0.20 cm3cm-3 ΔSM̅ | -0.06 | -0.06 | -0.09 | -0.09 | -0.12 | -0.12 |
| ΔSMmin | -0.10 | -0.11 | -0.20 | -0.19 | -0.20 | -0.20 |
| ΔSMmax | 0.01 | 0.02 | 0.00 | 0.01 | -0.01 | 0.02 |
| 0.35 cm3cm-3 ΔSM̅ | -0.11 | -0.11 | -0.15 | -0.19 | -0.17 | -0.15 |
| ΔSMmin | -0.19 | -0.20 | -0.35 | -0.35 | -0.35 | -0.35 |
| ΔSMmax | 0.02 | 0.03 | -0.01 | 0.02 | -0.01 | 0.04 |
© 2009 by the authors; licensee Molecular Diversity Preservation International, Basel, Switzerland. This article is an open access article distributed under the terms and conditions of the Creative Commons Attribution license (http://creativecommons.org/licenses/by/3.0/).
Share and Cite
Álvarez-Mozos, J.; Verhoest, N.E.C.; Larrañaga, A.; Casalí, J.; González-Audícana, M. Influence of Surface Roughness Spatial Variability and Temporal Dynamics on the Retrieval of Soil Moisture from SAR Observations. Sensors 2009, 9, 463-489. https://doi.org/10.3390/s90100463
Álvarez-Mozos J, Verhoest NEC, Larrañaga A, Casalí J, González-Audícana M. Influence of Surface Roughness Spatial Variability and Temporal Dynamics on the Retrieval of Soil Moisture from SAR Observations. Sensors. 2009; 9(1):463-489. https://doi.org/10.3390/s90100463
Chicago/Turabian StyleÁlvarez-Mozos, Jesús, Niko E.C. Verhoest, Arantzazu Larrañaga, Javier Casalí, and María González-Audícana. 2009. "Influence of Surface Roughness Spatial Variability and Temporal Dynamics on the Retrieval of Soil Moisture from SAR Observations" Sensors 9, no. 1: 463-489. https://doi.org/10.3390/s90100463
APA StyleÁlvarez-Mozos, J., Verhoest, N. E. C., Larrañaga, A., Casalí, J., & González-Audícana, M. (2009). Influence of Surface Roughness Spatial Variability and Temporal Dynamics on the Retrieval of Soil Moisture from SAR Observations. Sensors, 9(1), 463-489. https://doi.org/10.3390/s90100463

