Next Article in Journal
Recent Electrochemical and Optical Sensors in Flow-Based Analysis
Previous Article in Journal
Surface Science Studies of Gas Sensing Materials: SnO2
 
 
Font Type:
Arial Georgia Verdana
Font Size:
Aa Aa Aa
Line Spacing:
Column Width:
Background:
Article

Sensor for Injection Rate Measurements

Faculty of Mechanical Engineering, University of Maribor, Smetanova 17, 2000 Maribor, SloveniaFaculty of Mechanical Engineering, University of Maribor, Smetanova 17, 2000 Maribor, Slovenia
Sensors 2006, 6(10), 1367-1382; https://doi.org/10.3390/s6101367
Submission received: 17 June 2006 / Accepted: 10 October 2006 / Published: 23 October 2006

Abstract

:
A vast majority of the medium and high speed Diesel engines are equipped with multi-hole injection nozzles nowadays. Inaccuracies in workmanship and changing hydraulic conditions in the nozzles result in differences in injection rates between individual injection nozzle holes. The new deformational measuring method described in the paper allows injection rate measurement in each injection nozzle hole. The differences in injection rates lead to uneven thermal loads of Diesel engine combustion chambers. All today known measuring method, such as Bosch and Zeuch give accurate results of the injection rate in diesel single-hole nozzles. With multihole nozzles they tell us nothing about possible differences in injection rates between individual holes of the nozzle. At deformational measuring method, the criterion of the injected fuel is expressed by the deformation of membrane occurring due to the collision of the pressure wave against the membrane. The pressure wave is generated by the injection of the fuel into the measuring space. For each hole of the nozzle the measuring device must have a measuring space of its own into which fuel is injected as well as its measuring membrane and its own fuel outlet. During measurements procedure the measuring space must be filled with fuel to maintain an overpressure of 5 kPa. Fuel escaping from the measuring device is conducted into the graduated cylinders for measuring the volumetric flow through each hole of the nozzle.The membrane deformation is assessed by strain gauges. They are glued to the membrane and forming the full Wheatstone's bridge. We devoted special attention to the membrane shape and temperature compensation of the strain gauges.

1. Introduction

The Diesel engines have been used in light and heavy transport for many decades. Ever stricter requirements for lower fuel consumption and reduced emissions call for better solutions to be found by designers. Improvement of the combustion process is definitively a method to optimize consumption and reduce emissions. One of the key elements affecting this process in a Diesel engine is the injection nozzle that plays an important role in dispersion of the fuel in the droplet – fuel vapour – air mixture in the combustion chamber. The adequate optimization of the injection nozzle then results in lower emission and fuel consumption. The injection nozzle has the greatest influence on the injection rate that is crucial for fuel distribution in the combustion chamber. Knowing the injection rate, is thus crucial in understanding the combustion in the engine.
Nowadays various measuring devices for injection rate measuring are available. Measuring of the injection rate is accomplished on test benches for testing Diesel fuel injection systems. One of the oldest and the most frequently used method of measuring the injection rate is the Bosch measuring method [1]. With Zeuch's measuring method the criterion for the injection rate is the pressure rise in the chamber into which the fuel is injected. [2]. With the charge measuring method the criterion for the injection rate is the charge created by the friction of the fuel in the nozzle, friction of the jet against the surface of the sensor, and by the Seebeck effect [3]. Injection rate measurements have been also carried out by Laser Doppler Anemometer [4, 5]. The Laser Doppler Anemometer measures the axial velocity to deduce from this the actual volume flow rate signal.
All the measuring methods quoted above, give accurate results of the injection rate in single-hole nozzles. With multihole nozzles, however, they give us no informations about possible differences in injection rates between individual holes of the nozzle. In order to find out the differences in injection rates between individual holes of the injection nozzle, we have developed a deformational measuring method described in detail in this paper. With multihole nozzles the deformational measuring method enables measurement of the injection rate at each hole of the nozzle.
After the completed endurance test of the engine, we noticed different traces of temperature loads in the wall of the combustion chamber (w∼ combustion process) at the spots of the contact jet-piston chamber wall, which indicates differences in injection rates between individual holes of the nozzle.
In our case, the 1000, 2000 and 3000-hour engine durability tests were carried out on test stands. Engine loads were according to ECE-R 49 regulations. We also performed the 100 000, 200 000 and 500 000 km long vehicle durability tests.
Different traces of temperature loads in the wall of the combustion chamber were the main inspiration why we decided to develop a new measuring device. The measurements of the injection rates presented in the article confirm our suppositions.

2. Zeuch measuring method

With Zeuch's measuring method the fuel is injected into a chamber filled with Diesel fuel at a certain pressure. As the mass of the fuel in the chamber increases due to the injected fuel, the chamber pressure increases in proportion to the injected mass. Through the bulk modulus of elasticity of the fuel, the derivative of the chamber pressure with respect to volume provides the injection rate signal. The bulk modulus of elasticity of the fuel is
E = V d p d V ,
where E is the bulk modulus of elasticity of the fuel, V the volume of chamber and p the pressure in the chamber. The bulk modulus of elasticity of the fuel depends on its pressure and temperature. The bulk modulus of elasticity is, thus, defined as the change in pressure due to the injected volume of fuel multiplied by the initial chamber volume. This is an analogous to the modulus of elasticity for metals.
The equation for the Zeuch injection rate measuring method is derived based on the conservation of mass. By inserting the fuel bulk modulus, the governing equation becomes
d m d t = ρ V E d p d t ,
where m is mass of fuel and r fuel density. From equation 2 we conclude, that the rate of injected mass is proportional to the fuel density, chamber volume, and rate of chamber pressure rise and inversely proportional to the fuel bulk modulus. Hence, the chamber volume and fuel bulk modulus must be known to a high degree of accuracy in order to obtain an accurate estimate of the injection rate. However, concerning the chamber design, its volume must be sized so that the chamber pressure rise is within the appropriate limits (1-3 MPa) for the desired volumetric injection rate. Following each injection a relief valve (solenoid) first opens discharging the fuel through a check valve and bringing the chamber pressure to the original set pressure and then the relief valve closes before the next injection starts.

3. Deformational measuring method

Fig. 1 shows the deformational measuring method. The criterion of the injected fuel is expressed by the deformation of membrane occurring due to the collision of the pressure wave against the membrane. The pressure wave is generated by the injection of the fuel into the measuring space. For the duration of measurements the measuring space must be filled with fuel to maintain an overpressure of 5 kPa. The overpressure is maintained by relief valve. The overpressure can be adjusted up to 5 MPa. One of the objectives of the deformational measuring method is to inject the fuel into the instrument under conditions identical to those in an operating engine. Therefore, a back pressure must be selected which approximates the combustion chamber pressure.
For each hole of the nozzle the measuring device must have a measuring space of its own into which fuel is injected as well as its measuring membrane and its own fuel outlet. Fuel escaping from the measuring device is conducted into the graduated cylinders for measuring the volumetric flow through each hole of the nozzle.
The deformational measuring method for measuring the injection rate is based on the calculation of the fuel velocity by the pressure-velocity equation [6, 7, 8], which is valid for a single pressure wave in an instationary flow, i.e.
p = a ρ v ,
where a is velocity of sound in the fuel, ρ density of the fuel and v velocity of the fuel. The fuel injection nozzle discharges into the measuring space and the continuity equation indicates that the fuel quantity per unit time dQ/dt, injected from the nozzle into the measuring space produces an equivalent fuel velocity v, whose magnitude depends on the dimensions of the measuring space. This fuel flow gives rise to a pressure wave which is proportional to dQ/dt and is measured by strain gauge located on the membrane. The pressure signals obtained from strain gauges are amplified using bridge amplifier. The change in pressure is
d p = a ρ d v ,
which is derived from the hydraulic pulse theory.
Furthermore, it is known that changes in the pressure of the fuel propagate at the velocity of sound and produce a corresponding change in the fuel flow velocity. This permits the application of the theory to a single pressure wave moving within measuring space at the velocity of sound, as shown schematically for the case of pipe in Fig. 2. Figure 3 also shows the changes in the fuel pressure, density and velocity due to the propagating pressure wave.
Equations 3 and 4 can then define the quantity of fuel injected as
d Q = A a ρ pdt ,
where A is the membrane area, Q the injected fuel and t the time.
Therefore, the injected fuel quantity per unit time is a linear function of pressure [1], which allows quantitative characterisation of individual injections. For the fuel quantity per stroke to be calculated equation 5 has to be integrated over the injection period, i.e.:
Q = t 0 t d Q ( t ) = A a ρ . t 0 t pdt ,
where t0 stands for the starts of injection and t for the end of injection, respectively. Equation 6 gives the quantity of fuel injected per stroke as a linear function of pressure and time.
The measuring device is heated up due to the warm fuel, injected into the measuring space. The fuel is heated up due to compression in the pump and friction in the injection system. The fuel friction is most intense in injection nozzle holes. The fuel is compressed up to 1500 bar. The fuel heating up in the measuring space is due, though to a lesser extent, also to the conversion of kinetic energy of the fuel exiting the nozzle to the energy of pressure waves, acting on the membrane. The temperature of the measuring device during the measurements varied between 35 and 70 °C. As a result of the increased temperature, compressive stress occurs in the membrane, which may affect the accuracy of the measurement. The impact of this stress is diminished by using a membrane made of materials with low coefficient of thermal expansion.
Deformations of the measuring membrane are assessed by means of strain gauges glued to the membrane (Fig. 4). We used Hottinger Baldwin GmbH type 15/120 MY2 strain gauges, designed for membrane deformation and strain measurement. All four strain gauges were arranged in a full Wheatstone bridge configuration and glued to the membrane. The strain gauges are all exposed to identical temperature resulting in a temperature compensated Wheatstone bridge. Equally, the connections between individual strain gauges are at the same temperature to ensure the temperature compensation of the connections. The thermal expansion coefficient of the membrane material must be selected in accordance with the strain gauge properties.
Figure 4 depicts the tension exerted upon the membrane at the point of fuel injection as well as at the position of the strain gauges. Strain gauges R1 and R3 measure the compressive stresses at the edges of the membrane, whereas the tensile stresses in the middle of the membrane are measured by strain gauges R2 and R4.
Figs. 5a, 5b, 5c and 5d feature rates for a four-hole nozzle. The plane beneath the curve constitutes the injected quantity Q of fuel:
Q = t 0 t Q ( t ) d t
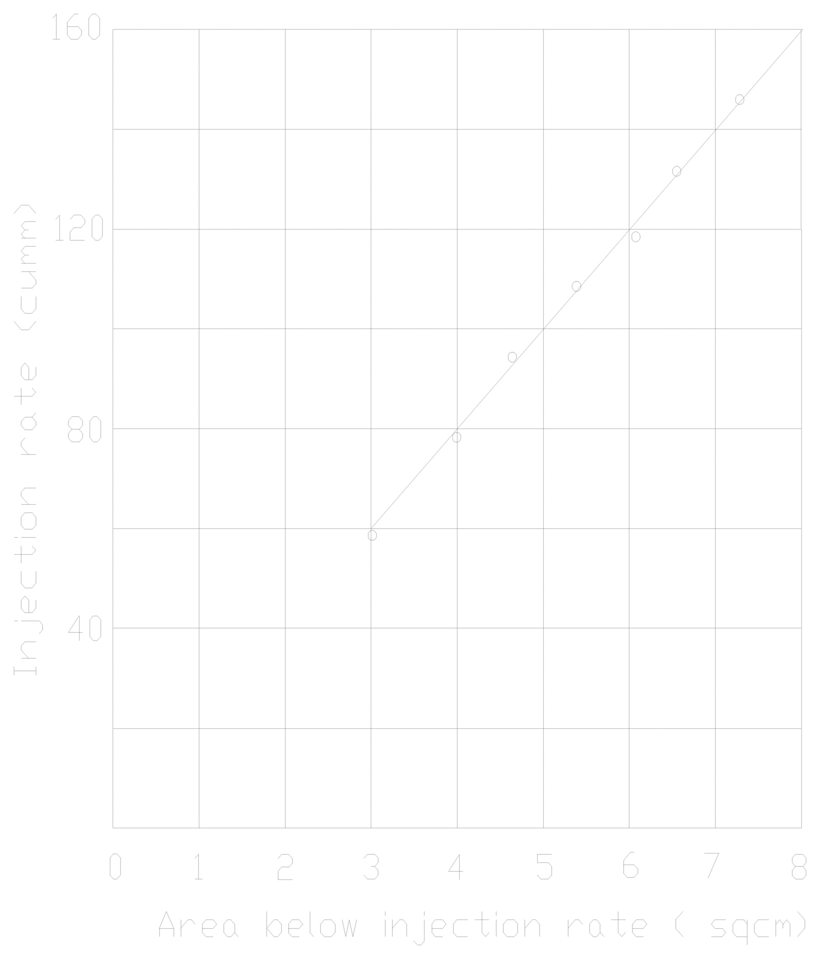
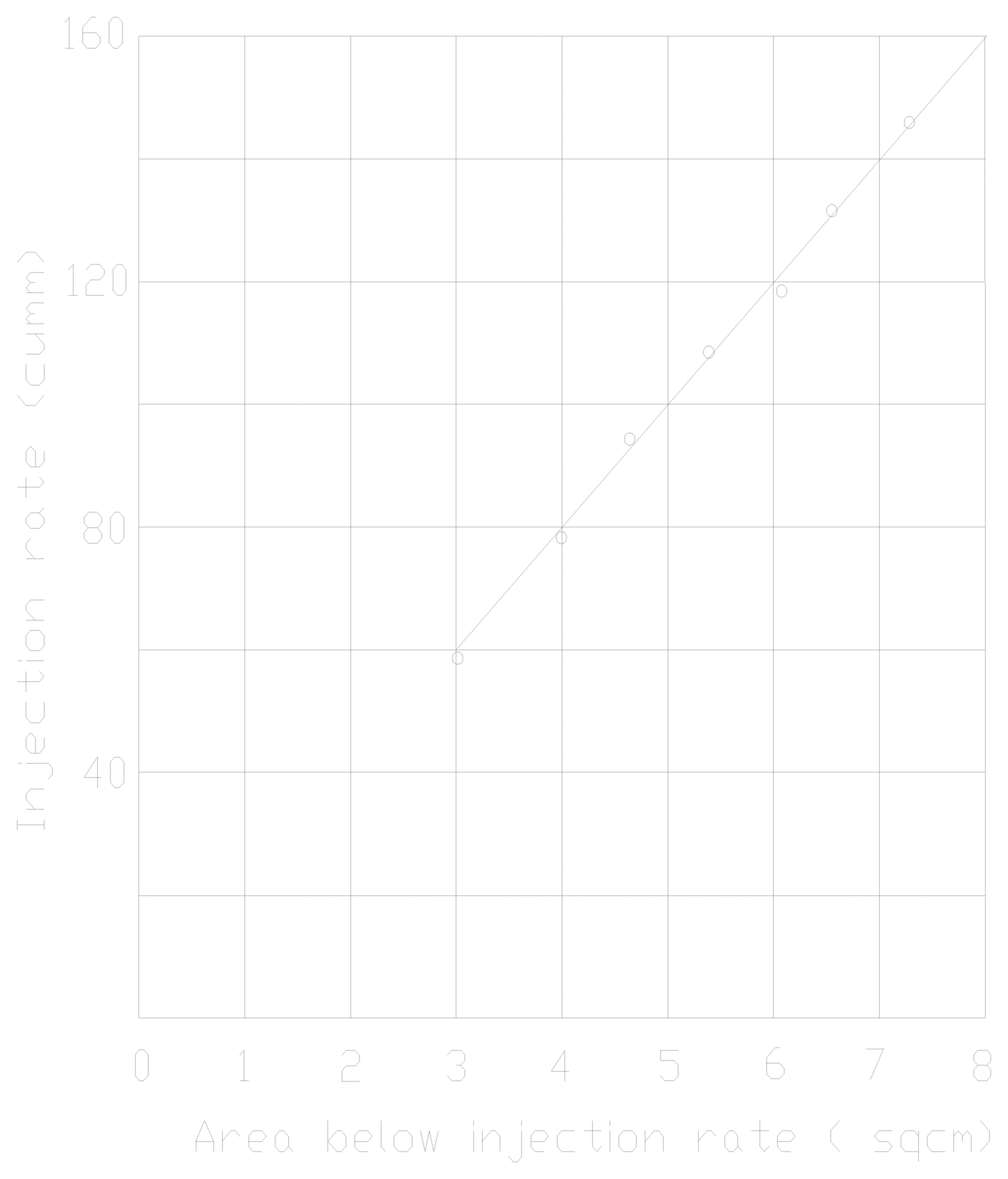
Very important for the applicability of the measuring method is its linearity, i.e., the dependence of the surface beneath the curve upon the quantity of the injected fuel. The diagrams in Fig. 6 and 7 depict the injected quantity of fuel on the ordinate, whereas the surface beneath the curve features on the abscissa. Figure 6 shows the total quantity of fuel injected through all four holes of the nozzle, whereas the figure 7 shows the quantity of fuel injected through each of the holes separately. Both figures evidence an adequate linearity, which has also been tested at different r.p.m. of the pump. Even when the measuring method was applied at different r.p.m. of the pump, the linearity proved satisfactory in all ranges.
Prior to commencing measurements, the membranes must be calibrated complete with the measuring instruments by means of compressed air, which is conducted to all measuring spaces through a fuel outlet under equal pressure. In this way both the membrane and the instruments can be calibrated at equal loads. Table 1 quotes the calibration results. Shown in column 1 are the data of the compressed air. Maximal relative error is
ε r = 0 , 05 V 6 V = 0 , 833 % .
The above results evidence a satisfactory linearity of membranes. Maximal relative error is less than one percentage.
The advantages of the deformational measuring method are as follows:
  • stability of the zero of the measuring signal;
  • possibility of measuring the injection rate at each nozzle hole; and
  • reliability.
A disadvantage of this measuring method: each nozzle type needs its measuring device.

4. Testing of the deformational measuring device

Injection rates were measured at four-hole nozzles (Fig. 8). Results are shown in Fig. 5 and 10. Figure 1 shows the measuring device designed for this type of the nozzle.
We used a conventional injection system of pump - high pressure pipe - injection nozzle. We measured the needle lift and the injection rate at each hole of the nozzle. The measurements of the injection rates were carried out by means of the Robert Bosch test stand for testing fuel injection systems. The needle lift of the nozzle was measured by an inductive and Hall displacement transducer. To amplify the signals obtained from displacement transducers we used Hottinger Baldwin Messtechnik Co. bridge amplifiers.
Maximal error of the needle lift measuring chain is
ε max = ε i + ε b + ε c = 1 + 0 , 05 + 1 = ± 2 , 05
where ei is needle lift displacement transducer error, eb bridge amplifier error and ec computer error. Uncertainty of needle lift measurement is
ε p = ε i 2 = 2 , 0025 = ± 1 , 41 % .
The injection rates at each hole of the injection nozzle were measured by means of the deformational measuring method. To boost the measuring signals bridge amplifiers from the Hottinger Baldwin Messtechnik Co. were applied in both instances.
Maximal error of the injection rate measuring chain is
ε max = ε w + ε b + ε c = 0 , 2 + 0 , 05 + 1 = ± 1 , 25 % ,
where ew is Wheatstone bridge error, eb bridge amplifier error and ec computer error. Uncertainty of the injection rate measurement is
ε p = ε i 2 = 2 , 0425 = ± 1 , 02 % .
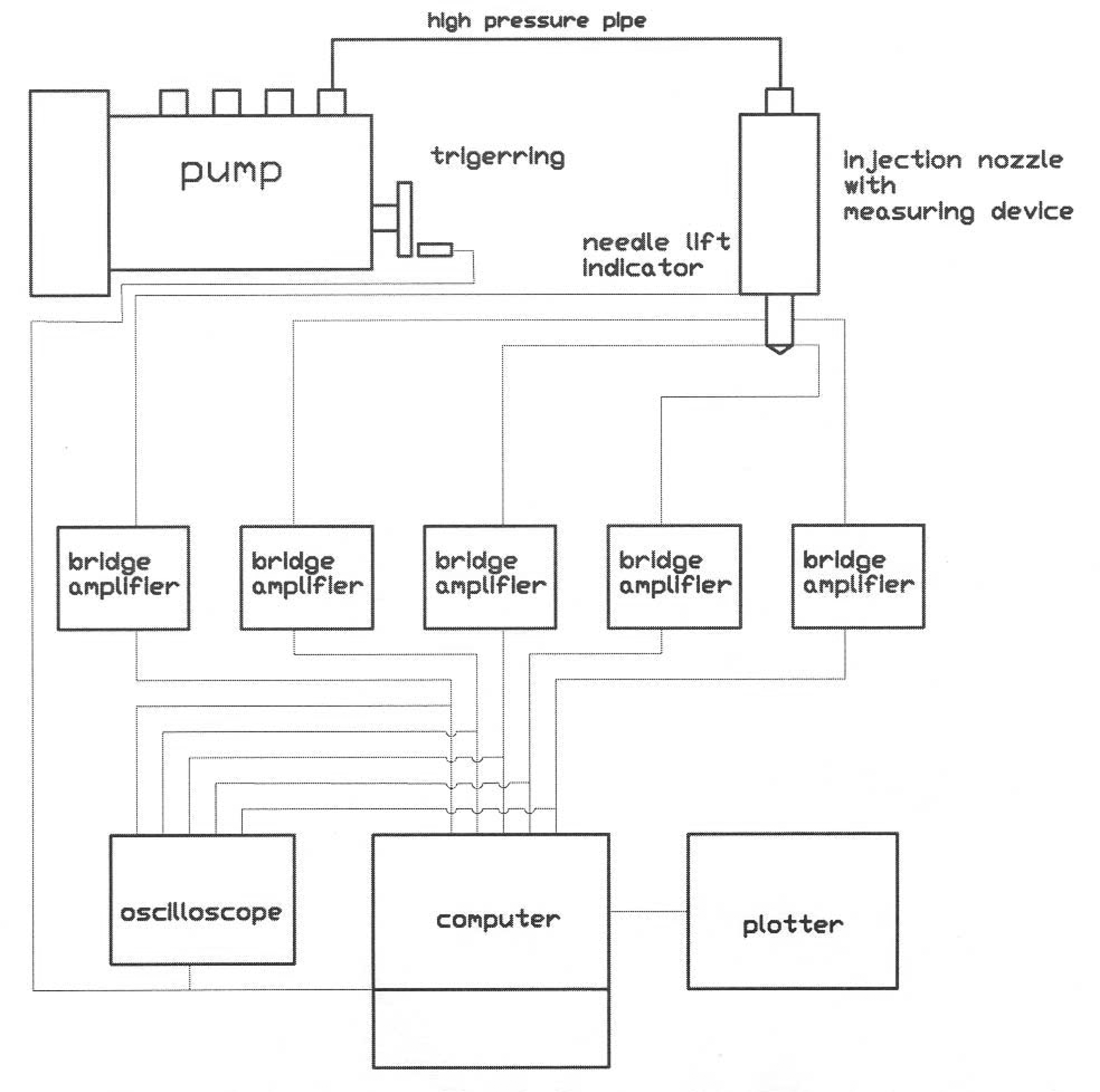
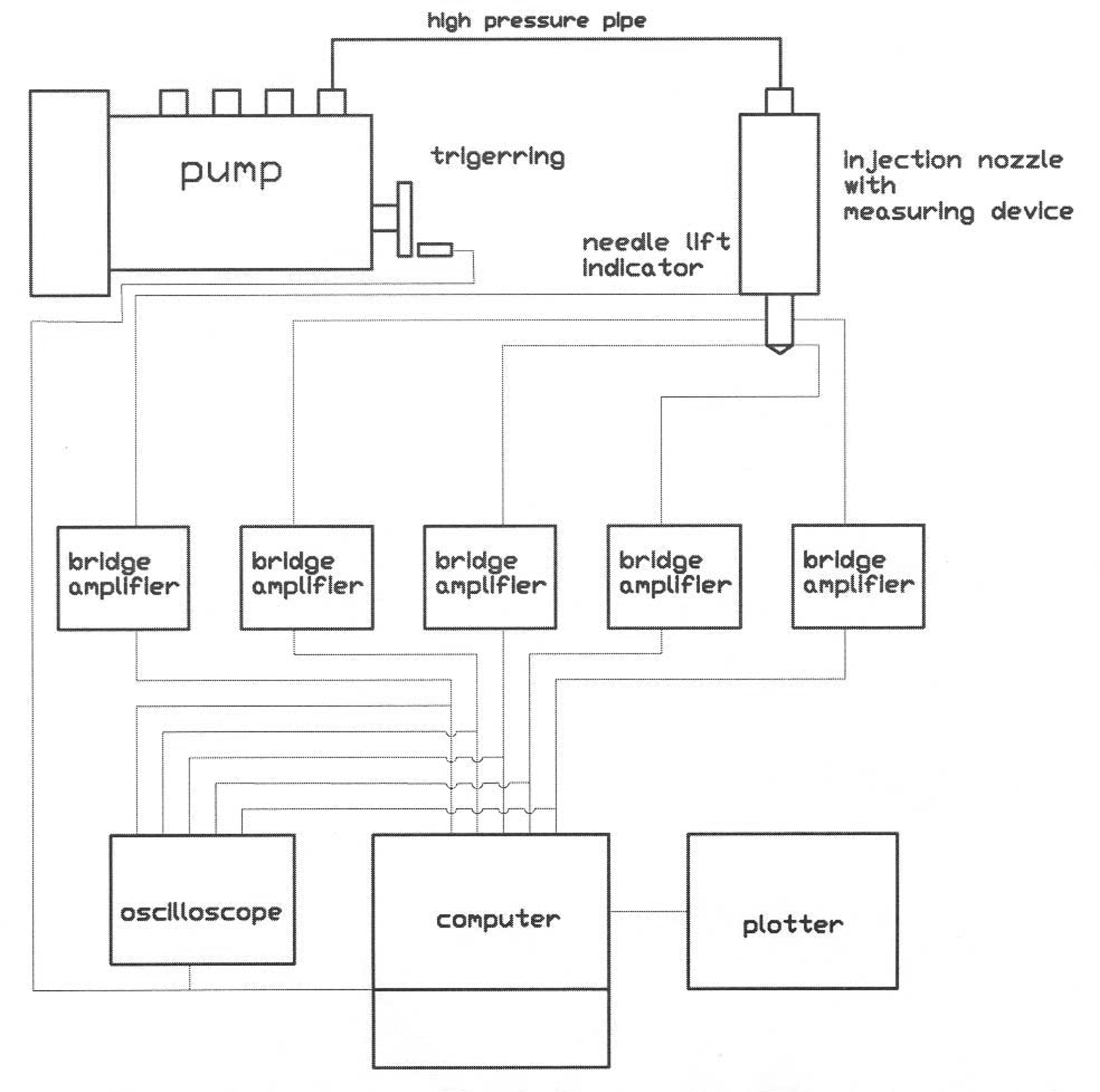
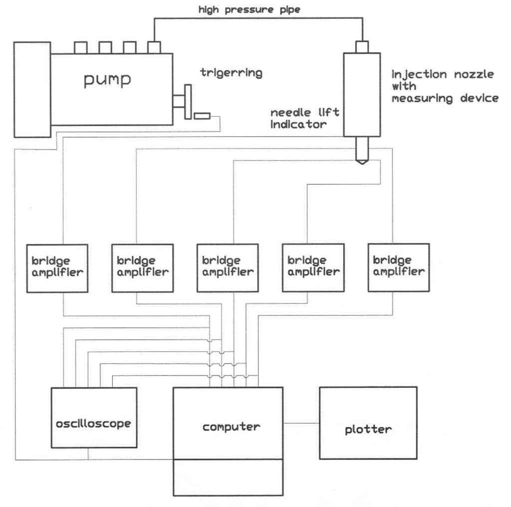
Fig. 9 illustrates the block wiring diagram of the data acquisition system. All measuring signals were conducted from bridge amplifiers to computer where they were transformed from analog to digital form and recorded for subsequent statistical analysis. During the measuring procedure measuring signals could be observed visually on the oscilloscope. Injection rates shown on Fig. 5 and 10 represent the average value of 100 or 1000 measured signals. The purpose of the statistical analysis was to identify any variances occurring during individual fuel injection cycles. The maximum relative variance between average and maximum or minimum values never exceed 2%. We simultaneously measured also the volumetric flows through each hole of the nozzle.
Fig. 5 and 10 feature the measured injection rates at full and/or partial load. Table 2 shows the measured volumetric flows through each hole of the nozzle. Measurements have also been carried out with a larger number of nozzles.
From the results shown in Figs. 5 and 10, Table 2, and numerous other results not featured in this article, it is evident that the injection rates differ from one another. The differences are not constant, however. They vary with the changing of the r.p.m. and the load, i.e., the changing of hydraulic conditions in the entire injection system.
The causes of the inequality in the injection rate are divided into two groups:

A. Structure

This group comprises differences due to the inaccurate workmanship of the individual components of the injection system. At manufacture, the permissible tolerance of the diameter of the injection nozzle holes (Fig. 8) is ± 0.01 mm, which means a difference of 10% in the cross section of the nozzle holes with a diameter of 0.41 mm. As the dimensions of the injection nozzle cannot be altered during the fuel injection procedure, the injection nozzle is optimized for the relatively narrow range of its operation, which is usually within 70 and 90% of the full power of the engine. Within this range the operation of the injection nozzle is optimal, whereas it is less effective elsewhere depending on its proximity to its optimum.

B. Hydraulic

The inequalities of the injection rates due to the hydraulic conditions within the high-pressure section of the injection system are a consequence of different operating conditions in the injection system.
The differences between injection rates are greater with lower r.p.m. of the pump; with higher r.p.m., however, these differences are minimal (Table 2). Similarly, the differences are also greater with small injection fuel quantities and low r.p.m. of the pump due to the injection pressure. With higher r.p.m. of the pump and greater quantity of the injected fuel the injection pressures are higher, and thus the local distribution of pressure to all the spaces in the injection nozzle is more uniform, especially to the sac volume of the nozzle where the local pressure distribution is crucial for the proportionality of the injected fuel quantities among the individual holes of the injection nozzle.
The differences between injection rates depend also on holes position of the nozzle. Injection rates at holes (Fig. 8, holes 1 and 2) that are approximately parallel to the nozzle axis are greater than injection rates that are approximately perpendicular to the nozzle axis (Fig. 8, holes 3 and 4).

5. Summary

The article deals with deformational measuring method that facilitates measurement of injection rates at each hole of the multihole injection nozzles. The criterion of the injected fuel is expressed by the deformation of membrane occurring due to the rapid rise of the fuel in the measuring space and the collision of the pressure wave against the membrane. The pressure wave is generated by the injection of the fuel into the measuring space. For each hole of the nozzle the measuring device must have a measuring space of its own into which fuel is injected as well as its measuring membrane and its own fuel outlet. Fuel escaping from the measuring device is conducted into the graduated cylinders for measuring the volumetric flow through each hole of the nozzle. The deformations of the membrane are measured with strain gauges glued to membrane. Strain gauges are connected to Wheatstone bridge that has to be temperature compensated, because measuring device warms up during measurements.
Featured in the second part of the article are the results of measurements obtained by means of the deformational measuring method whereby a three-hole injection nozzle was used. The article also quotes reasons for bilateral diversity in injection rates with multihole nozzle. The reasons are divided into structural and hydraulic group.

References

  1. Bosch, W. The Fuel Rate Indicator: A New Measuring Instrument for Display of the Characteristics of Individual Injection. SAE Paper 660749 1966. [Google Scholar]
  2. Zeuch, W. Neue Verfahren zur Messung des Einspritzgesetzes und Einspritz-Regelmässigkeit von Diesel-Einspritzpumpen; MTZ, 1961; Volume 22, 9, pp. 415–420. [Google Scholar]
  3. Marcic, M. New diesel injection nozzle flow measuring device. Review of Scientific Instruments. 2000, 71(4), 1876–1882. [Google Scholar]
  4. Durst, F.; Ismailov, M.; Trims, D. Measurement of Instantaneous Flow Rates in Periodically Operating Injection Systems. Experiments in Fluids. 1996, 20(5), 178–188. [Google Scholar]
  5. Brenn, G.; Durst, F.; Trimis, D.; Weclas, M. Methods and Tools for Advanced Fuel Spray Production and Investigations. Atomization and Sprays. 1997, 7(2), 43–75. [Google Scholar]
  6. Allevi, L. Allgemaine Theorie über die veranderliche Bewegung des Wassers in Leitungen; Springer: Berlin, 1908. [Google Scholar]
  7. Melcher, K. Ein Reibungsmodell zur Berechnung von instationären Strömungen in Rohrleitungen an Brennkraftmaschinen. Bosch Techn. Berichte. 1974, 4(7), 273–290. [Google Scholar]
  8. Rothrock, A. M. Hydraulics of Fuel Injection Pumps for Compression-Ignition Engines. NACA Report, 1932, No.396.
  9. Marcic, M. Calculation of the Diesel Fuel Injection Parameters. SAE Paper 952071 1995. [Google Scholar]
Figure 1. Deformational measuring device.
Figure 1. Deformational measuring device.
Sensors 06 01367f1
Figure 2. The flow velocity change due to the propagating pressure wave travelling at the speed of sound.
Figure 2. The flow velocity change due to the propagating pressure wave travelling at the speed of sound.
Sensors 06 01367f2
Figure 3. Fuel flow.
Figure 3. Fuel flow.
Sensors 06 01367f3
Figure 4. Tension strain exerted upon membrane and position of strain gauges.
Figure 4. Tension strain exerted upon membrane and position of strain gauges.
Sensors 06 01367f4
Figure 5. Injection rates at individual nozzle holes n=700 rpm, Qtot=153 mm3 per injection.
Figure 5. Injection rates at individual nozzle holes n=700 rpm, Qtot=153 mm3 per injection.
Sensors 06 01367f5
Figure 6. Linearity chart for total injection rate.
Figure 6. Linearity chart for total injection rate.
Sensors 06 01367f6
Figure 7. Linearity chart for individual injection rate.
Figure 7. Linearity chart for individual injection rate.
Sensors 06 01367f7
Figure 8. Injection nozzle.
Figure 8. Injection nozzle.
Sensors 06 01367f8
Figure 9. Measuring equipment.
Figure 9. Measuring equipment.
Sensors 06 01367f9
Figure 10. Injection rates at individual nozzle holes n=900 rpm, Qtot=123 mm3 per injection.
Figure 10. Injection rates at individual nozzle holes n=900 rpm, Qtot=123 mm3 per injection.
Sensors 06 01367f10
Table 1. Calibration results of deformational measuring method.
Table 1. Calibration results of deformational measuring method.
Pressure
[ mbar]
Channel 1
[V]
Channel 2
[V]
Channel 3
[V]
Channel 4
[V]
00000
20021,992,011,99
4004,013,984,054
6006,055,996,035,98
8008,037, 9887,99
Table 2. Results of measurement.
Table 2. Results of measurement.
Nq1q2q3q4Σqi
[min-1] mm 3 injection mm 3 injection mm 3 injection mm 3 injection mm 3 injection
50043502528146
60047442828147
70043462828145
80044472828146
90043503129153
100034423433140
110033393534141
5003739101298
60029392020108
70030372522114
80031352726119
90028392828123
100032402522119
110028292727111

Share and Cite

MDPI and ACS Style

Marcic, M. Sensor for Injection Rate Measurements. Sensors 2006, 6, 1367-1382. https://doi.org/10.3390/s6101367

AMA Style

Marcic M. Sensor for Injection Rate Measurements. Sensors. 2006; 6(10):1367-1382. https://doi.org/10.3390/s6101367

Chicago/Turabian Style

Marcic, Milan. 2006. "Sensor for Injection Rate Measurements" Sensors 6, no. 10: 1367-1382. https://doi.org/10.3390/s6101367

APA Style

Marcic, M. (2006). Sensor for Injection Rate Measurements. Sensors, 6(10), 1367-1382. https://doi.org/10.3390/s6101367

Article Metrics

Back to TopTop