Theoretical Analysis of Enhanced Microwave Measurement Using Structured Beams
Abstract
1. Introduction
2. Theoretical Model
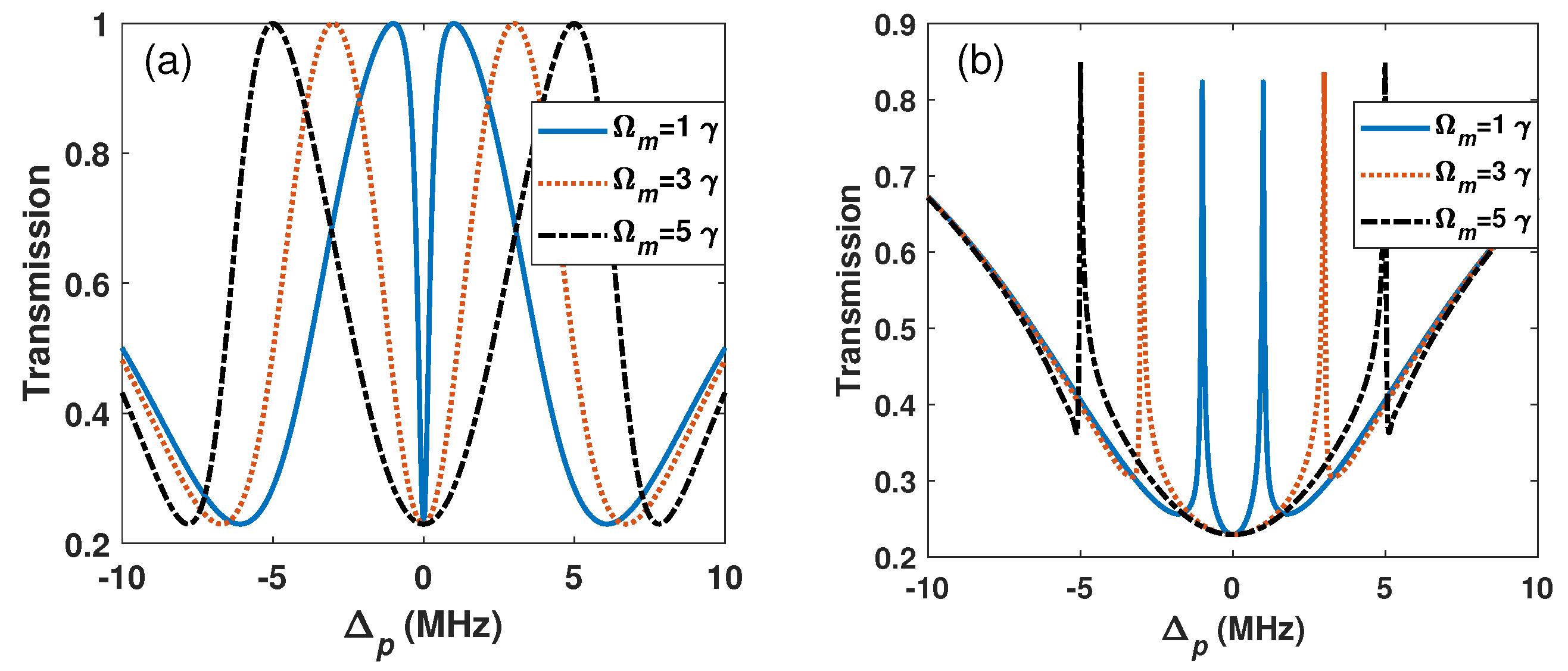
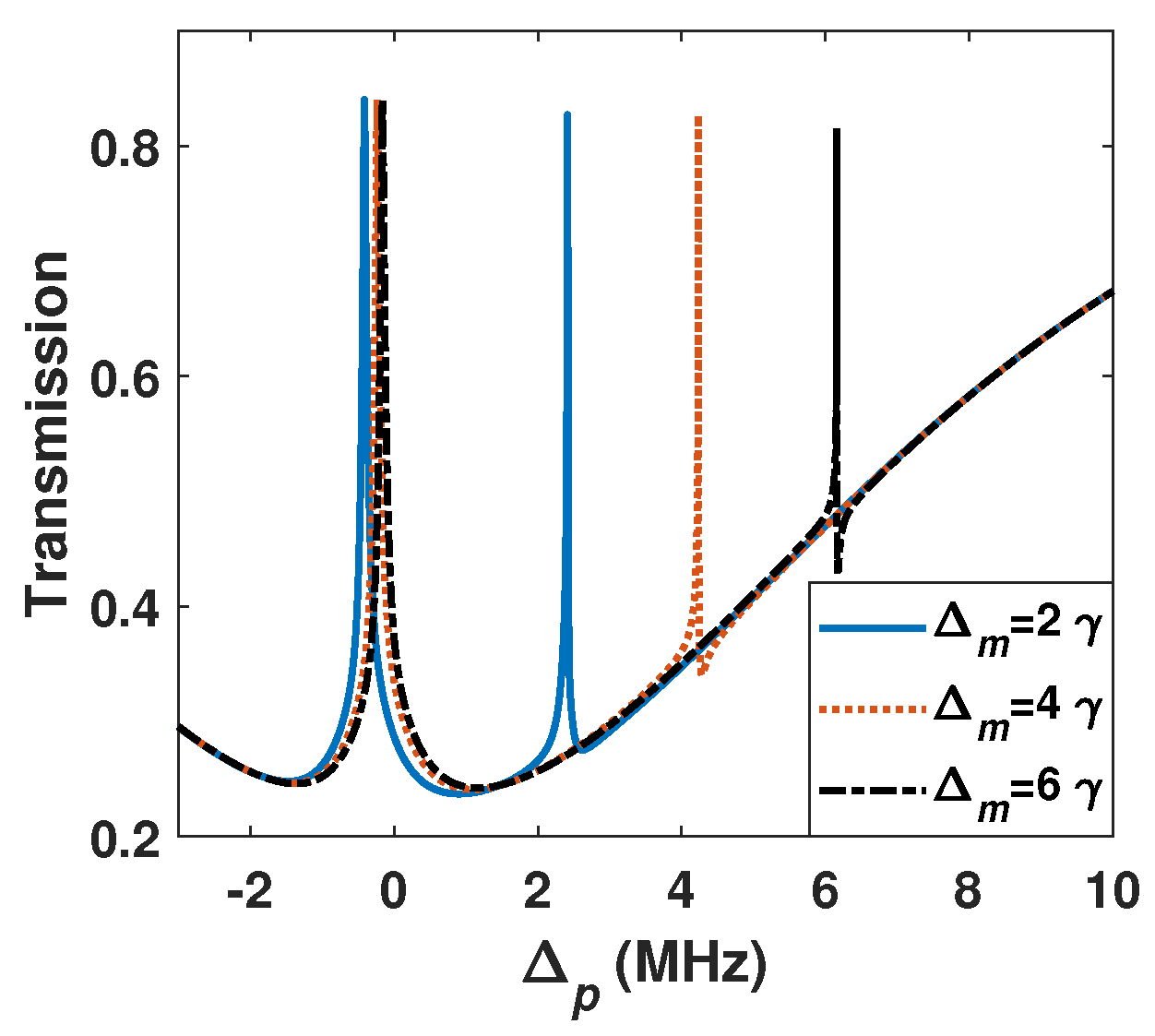
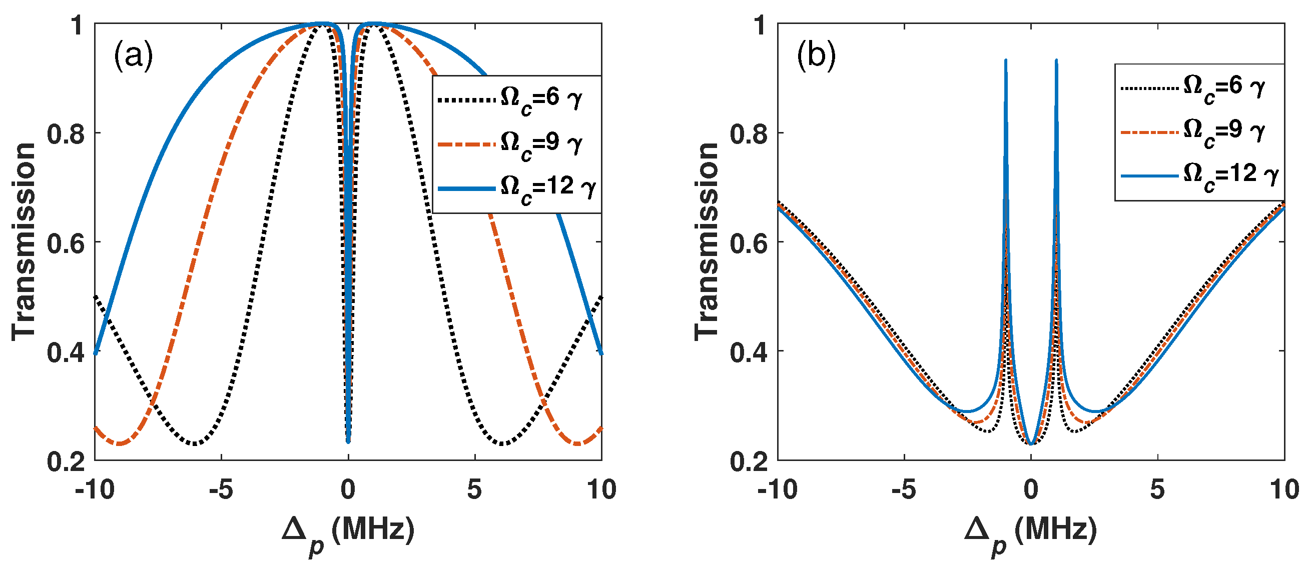
3. Results and Discussion
4. Conclusions
Author Contributions
Funding
Institutional Review Board Statement
Informed Consent Statement
Data Availability Statement
Conflicts of Interest
References
- Gallagher, T. Rydberg Atoms; Cambridge University: Cambridge, UK, 2005. [Google Scholar]
- Liu, B.; Zhang, L.; Liu, Z.; Deng, Z.; Ding, D.; Shi, B.; Guo, G. Electric Field Measurement and Application Based on Rydberg Atoms. Electromagn. Sci. 2023, 1, 0020151. [Google Scholar] [CrossRef]
- Simons, M.T.; Artusio-Glimpse, A.B.; Robinson, A.K.; Prajapati, N.; Holloway, C.L. Rydberg atom-based sensors for radio-frequency electric field metrology, sensing, and communications. Meas. Sens. 2021, 18, 100273. [Google Scholar] [CrossRef]
- Yuan, J.; Yang, W.; Jing, M.; Zhang, H.; Jiao, Y.; Li, W.; Zhang, L.; Xiao, L.; Jia, S. Quantum sensing of microwave electric fields based on Rydberg atoms. Rep. Prog. Phys. 2023, 86, 106001. [Google Scholar] [CrossRef] [PubMed]
- Backes, K.; Elgee, P.; LeBlanc, K.J.; Fancher, C.; Meyer, D.; Kunz, P.; Malvania, N.; Nicolich, K.; Hill, J.; Marlow, B.; et al. Performance of antenna-based and Rydberg quantum RF sensors in the electrically small regime. Appl. Phys. Lett. 2024, 125, 164001. [Google Scholar] [CrossRef]
- Schmidt, M.; Bohaichuk, S.; Venu, V.; Christaller, F.; Liu, C.; Ripka, F.; Kübler, H.; Shaffer, J.P. Rydberg-atom-based radio-frequency sensors: Amplitude-regime sensing. Opt. Express 2024, 32, 27768–27791. [Google Scholar] [CrossRef]
- Cui, M.; Zeng, Q.; Huang, K. Towards Atomic MIMO Receivers. IEEE J. Sel. Areas Commun. 2025, 43, 659–673. [Google Scholar] [CrossRef]
- Gong, T.; Chandra, A.; Yuen, C.; Guan, Y.L.; Dumke, R.; See, C.M.S.; Debbah, M.; Hanzo, L. Rydberg Atomic Quantum Receivers for Classical Wireless Communication and Sensing. IEEE Wireless Commun. 2025, 32, 90–100. [Google Scholar] [CrossRef]
- Degen, C.L.; Reinhard, F.; Cappellaro, P. Quantum sensing. Rev. Mod. Phys. 2017, 89, 035002. [Google Scholar] [CrossRef]
- Fleischhauer, M.; Imamoglu, A.; Marangos, J.P. Electromagnetically induced transparency: Optics in coherent media. Rev. Mod. Phys. 2005, 77, 633. [Google Scholar] [CrossRef]
- Sedlacek, J.A.; Schwettmann, A.; Kübler, H.; Löw, R.; Pfau, T.; Shaffer, J.P. Microwave electrometry with Rydberg atoms in a vapour cell using bright atomic resonances. Nat. Phys. 2012, 8, 819–824. [Google Scholar] [CrossRef]
- Holloway, C.L.; Gordon, J.A.; Jefferts, S.; Schwarzkopf, A.; Anderson, D.A.; Miller, S.A.; Thaicharoen, N.; Raithel, G. Broadband Rydberg atom-based electric-field probe for SI-traceable, self-calibrated measurements. IEEE Trans. Antennas Propag. 2014, 62, 6169–6182. [Google Scholar] [CrossRef]
- Jing, M.; Hu, Y.; Ma, J.; Zhang, H.; Zhang, L.; Xiao, L.; Jia, S. Atomic superheterodyne receiver based on microwave-dressed Rydberg spectroscopy. Nat. Phys. 2020, 16, 911–915. [Google Scholar] [CrossRef]
- Peng, Y.; Wang, J.; Yang, A.; Jia, Z.; Li, D.; Chen, B. Cavity-enhanced microwave electric field measurement using Rydberg atoms. J. Opt. Soc. Am. B 2018, 35, 2272–2277. [Google Scholar] [CrossRef]
- Liang, Y.; Wang, Q.; Wang, Z.; Guan, S.; Yang, P.; Zhang, Y.; He, J.; Zhang, P.; Li, G.; Zhang, T. Cavity-enhanced Rydberg atomic superheterodyne receiver. Opt. Express 2025, 33, 13034–13039. [Google Scholar] [CrossRef] [PubMed]
- Duarte Gomes, N.; da Fonseca Magnani, B.; Massayuki Kondo, J.D.; Marcassa, L.G. Polarization spectroscopy applied to electromagnetically induced transparency in hot Rydberg atoms using a Laguerre–Gaussian beam. Atoms 2022, 10, 58. [Google Scholar] [CrossRef]
- Bohaichuk, S.M.; Ripka, F.; Venu, V.; Christaller, F.; Liu, C.; Schmidt, M.; Kübler, H.; Shaffer, J.P. Three-photon Rydberg-atom-based radio-frequency sensing scheme with narrow linewidth. Phys. Rev. Appl. 2023, 20, L061004. [Google Scholar] [CrossRef]
- Wang, Y.; Jia, F.; Hao, J.; Cui, Y.; Zhou, F.; Liu, X.; Mei, J.; Yu, Y.; Liu, Y.; Zhang, J.; et al. Precise measurement of microwave polarization using a Rydberg atom-based mixer. Opt. Express 2023, 31, 10449–10457. [Google Scholar] [CrossRef]
- Yin, W.; Zhang, J.; Jia, F.; Wang, Y.; Wang, Y.; Hao, J.; Cui, Y.; Liu, Y.; Zhong, Z. Measurement of microwave polarization using two polarization orthogonal local microwave electric fields in a Rydberg atom-based mixer. Opt. Express 2024, 32, 38372–38383. [Google Scholar] [CrossRef]
- Elgee, P.K.; Cox, K.C.; Hill, J.C.; Kunz, P.D.; Meyer, D.H. Complete three-dimensional vector polarimetry with a Rydberg-atom rf electrometer. Phys. Rev. Appl. 2024, 22, 064012. [Google Scholar] [CrossRef]
- Jamieson, M.J.; Adams, C.S.; Weatherill, K.J.; Hanley, R.K.; Alves, N.; Keaveney, J. Continuous-time ultrahigh-frequency sensing using cold Rydberg atoms. Phys. Rev. Appl. 2025, 24, 034022. [Google Scholar] [CrossRef]
- Berweger, S.; Prajapati, N.; Artusio-Glimpse, A.B.; Rotunno, A.P.; Brown, R.; Holloway, C.L.; Simons, M.T.; Imhof, E.; Jefferts, S.R.; Kayim, B.N.; et al. Rydberg-State Engineering: Investigations of Tuning Schemes for Continuous Frequency Sensing. Phys. Rev. Appl. 2023, 19, 044049. [Google Scholar] [CrossRef]
- Song, D.; Jiao, Y.; Hu, J.; Yin, Y.; Li, Z.; He, Y.; Bai, J.; Zhao, J.; Jia, S. Continuous broadband Rydberg receiver using AC Stark shifts and Floquet states. Appl. Phys. Lett. 2024, 125, 244001. [Google Scholar] [CrossRef]
- Shi, Y.; Li, C.; Ouyang, K.; Ren, W.; Li, W.; Cao, M.; Xue, Z.; Shi, M. Tunable frequency of a microwave mixed receiver based on Rydberg atoms under the Zeeman effect. Opt. Express 2023, 31, 36255–36262. [Google Scholar] [CrossRef] [PubMed]
- Cheng, M.; Jiang, W.; Guo, L.; Li, J.; Forbes, A. Metrology with a twist: Probing and sensing with vortex light. Light Sci. Appl. 2025, 14, 4. [Google Scholar] [CrossRef]
- Forbes, A.; De Oliveira, M.; Dennis, M.R. Structured light. Nat. Photonics 2021, 15, 253–262. [Google Scholar] [CrossRef]
- Chanu, S.R.; Natarajan, V. Narrowing of resonances in electromagnetically induced transparency and absorption using a Laguerre–Gaussian control beam. Opt. Commun. 2013, 295, 150–154. [Google Scholar] [CrossRef]
- Chauhan, V.S.; Kumar, R.; Manchaiah, D.; Kumar, P.; Easwaran, R.K. Narrowing of electromagnetically induced transparency by using structured coupling light in 85Rb atomic vapor medium. Laser Phys. 2020, 30, 065203. [Google Scholar] [CrossRef]
- Kumar, R.; Manchaiah, D.; Easwaran, R.K. Theoretical study of a four-level EIT-type system in the presence of structured coupling light for microwave field detection. Appl. Opt. 2022, 61, 10681–10687. [Google Scholar] [CrossRef]
- Gori, F.; Guattari, G.; Padovani, C. Bessel-gauss beams. Opt. Commun. 1987, 64, 491–495. [Google Scholar] [CrossRef]
- Fu, S.; Wang, T.; Zhang, Z.; Zhai, Y.; Gao, C. Non-diffractive Bessel-Gauss beams for the detection of rotating object free of obstructions. Opt. Express 2017, 25, 20098–20108. [Google Scholar] [CrossRef]
- Wiley, J.P.; Robertson, E.; Cramer, T.; Miller, J.K.; Johnson, E.G. Optimized optical propagation through underwater turbulence using off-axis Bessel-Gauss beam probing. Opt. Express 2025, 33, 17869–17883. [Google Scholar] [CrossRef]
- Scully, M.O.; Zubairy, M.S. Quantum Optics; American Association of Physics Teachers: College Park, MD, USA, 1999. [Google Scholar]
- Berman, P.R.; Malinovsky, V.S. Principles of Laser Spectroscopy and Quantum Optics; Princeton University Press: Princeton, NJ, USA, 2011. [Google Scholar]
- Simons, M.T.; Gordon, J.A.; Holloway, C.L.; Anderson, D.A.; Miller, S.A.; Raithel, G. Using frequency detuning to improve the sensitivity of electric field measurements via electromagnetically induced transparency and Autler-Townes splitting in Rydberg atoms. Appl. Phys. Lett. 2016, 108, 174101. [Google Scholar] [CrossRef]







Disclaimer/Publisher’s Note: The statements, opinions and data contained in all publications are solely those of the individual author(s) and contributor(s) and not of MDPI and/or the editor(s). MDPI and/or the editor(s) disclaim responsibility for any injury to people or property resulting from any ideas, methods, instructions or products referred to in the content. |
© 2026 by the authors. Licensee MDPI, Basel, Switzerland. This article is an open access article distributed under the terms and conditions of the Creative Commons Attribution (CC BY) license.
Share and Cite
Yin, Z.; Gao, F.; Chen, T.; Wang, C.; Lu, X.; Yang, A.; Peng, Y. Theoretical Analysis of Enhanced Microwave Measurement Using Structured Beams. Sensors 2026, 26, 1966. https://doi.org/10.3390/s26061966
Yin Z, Gao F, Chen T, Wang C, Lu X, Yang A, Peng Y. Theoretical Analysis of Enhanced Microwave Measurement Using Structured Beams. Sensors. 2026; 26(6):1966. https://doi.org/10.3390/s26061966
Chicago/Turabian StyleYin, Zheng, Feng Gao, Tianyu Chen, Chenxu Wang, Xiao Lu, Aihong Yang, and Yandong Peng. 2026. "Theoretical Analysis of Enhanced Microwave Measurement Using Structured Beams" Sensors 26, no. 6: 1966. https://doi.org/10.3390/s26061966
APA StyleYin, Z., Gao, F., Chen, T., Wang, C., Lu, X., Yang, A., & Peng, Y. (2026). Theoretical Analysis of Enhanced Microwave Measurement Using Structured Beams. Sensors, 26(6), 1966. https://doi.org/10.3390/s26061966

