IMU-Based Wearable Insoles in Clinical Settings: Key Parameters Differentiating Clinical and Non-Clinical Populations
Abstract
1. Introduction
2. Methodology
2.1. Participants Recruitment
2.2. Instruments
2.3. Experimental Procedures
2.4. Data Analysis
3. Results
3.1. Results of Participant Recruitment
3.2. Overview of Parameters and Statistical Approaches
3.2.1. Significant Analysis Using Mann–Whitney, Unpaired t-Test
3.2.2. Significant Analysis Using Mixed Effects Model
3.2.3. Simple Effects Analysis
4. Discussion
4.1. Potential Biomechanical Mechanisms

4.2. Factors Influencing Results
4.3. Clinical Application and Significance
5. Conclusions
6. Limitations
Supplementary Materials
Author Contributions
Funding
Institutional Review Board Statement
Informed Consent Statement
Data Availability Statement
Acknowledgments
Conflicts of Interest
References
- Wallmann, H.W. Introduction to Observational Gait Analysis. Home Health Care Manag. Pract. 2009, 22, 66–68. [Google Scholar] [CrossRef]
- Xu, D.; Zhou, H.; Quan, W.; Jiang, X.; Liang, M.; Li, S.; Ugbolue, U.C.; Baker, J.S.; Gusztav, F.; Ma, X.; et al. A new method proposed for realizing human gait pattern recognition: Inspirations for the application of sports and clinical gait analysis. Gait Posture 2024, 107, 293–305. [Google Scholar] [CrossRef] [PubMed]
- Toro, B.; Nester, C.; Farren, P. A review of observational gait assessment in clinical practice. Physiother. Theory Pract. 2009, 19, 137–149. [Google Scholar] [CrossRef]
- Prajapati, N.; Kaur, A.; Sethi, D. A Review on Clinical Gait Analysis. In Proceedings of the 2021 5th International Conference on Trends in Electronics and Informatics (ICOEI), Tirunelveli, India, 3–5 June 2021; Indira Gandhi Delhi Technical University for Women: New Delhi, India, 2021; pp. 967–974. [Google Scholar]
- Smith, R.M.; Sheehan, F.T. Cross Platform Comparison of Imaging Technologies for Measuring Musculoskeletal Motion. In Handbook of Human Motion; Springer: Cham, Switzerland, 2017; pp. 1–22. [Google Scholar]
- Li, W.; Lu, W.; Sha, X.; Xing, H.; Lou, J.; Sun, H.; Zhao, Y. Wearable Gait Recognition Systems Based on MEMS Pressure and Inertial Sensors: A Review. IEEE Sens. J. 2022, 22, 1092–1104. [Google Scholar] [CrossRef]
- Lin, S.; Evans, K.; Hartley, D.; Morrison, S.; McDonald, S.; Veidt, M.; Wang, G. A Review of Gait Analysis Using Gyroscopes and Inertial Measurement Units. Sensors 2025, 25, 3481. [Google Scholar] [CrossRef]
- Benson, L.C.; Räisänen, A.M.; Clermont, C.A.; Ferber, R. Is This the Real Life, or Is This Just Laboratory? A Scoping Review of IMU-Based Running Gait Analysis. Sensors 2022, 22, 1722. [Google Scholar] [CrossRef]
- Wang, X.; Zhang, F.; Shi, C.; Jiang, W.; Wang, K.; Wu, C.; Chen, H.; Wu, J.; Chai, G.; Shen, Q.; et al. A Modified Method of Wearable Gait Analysis for Stroke Patients Based on the Peak Width Threshold and Phase Re-Segmentation. IEEE Sens. J. 2024, 24, 29258–29270. [Google Scholar] [CrossRef]
- Laidig, D.; Jocham, A.J.; Guggenberger, B.; Adamer, K.; Fischer, M.; Seel, T. Calibration-Free Gait Assessment by Foot-Worn Inertial Sensors. Front. Digit. Health 2021, 3, 736418. [Google Scholar] [CrossRef]
- Brognara, L.; Mazzotti, A.; Di Martino, A.; Faldini, C.; Cauli, O. Wearable Sensor for Assessing Gait and Postural Alterations in Patients with Diabetes: A Scoping Review. Medicina 2021, 57, 1145. [Google Scholar] [CrossRef]
- Caramia, C.; Torricelli, D.; Schmid, M.; Muñoz-Gonzalez, A.; Gonzalez-Vargas, J.; Grandas, F.; Pons, J.L. IMU-Based Classification of Parkinson’s Disease From Gait: A Sensitivity Analysis on Sensor Location and Feature Selection. IEEE J. Biomed. Health Inform. 2018, 22, 1765–1774. [Google Scholar] [CrossRef]
- Almuteb, I.; Hua, R.; Wang, Y. Smart insoles review (2008–2021): Applications, potentials, and future. Smart Health 2022, 25, 100301. [Google Scholar] [CrossRef]
- Subramaniam, S.; Majumder, S.; Faisal, A.I.; Deen, M.J. Insole-Based Systems for Health Monitoring: Current Solutions and Research Challenges. Sensors 2022, 22, 438. [Google Scholar] [CrossRef] [PubMed]
- Domínguez, A.G.; Sevilla, R.R.; Alemán, A.; Durán, C.; Hochsprung, A.; Navarro, G.; Páramo, C.; Venegas, A.; Lladonosa, A.; Ayuso, G.I. Study for the validation of the FeetMe® integrated sensor insole system compared to GAITRite® system to assess gait characteristics in patients with multiple sclerosis. PLoS ONE 2023, 18, e0272596. [Google Scholar]
- Farid, L.; Jacobs, D.; Do Santos, J.; Simon, O.; Gracies, J.M.; Hutin, E. FeetMe® Monitor-connected insoles are a valid and reliable alternative for the evaluation of gait speed after stroke. Top Stroke Rehabil. 2021, 28, 127–134. [Google Scholar] [CrossRef]
- Loukovitis, A.; Ziagkas, E.; Zekakos, D.X.; Petrelis, A.; Grouios, G. Test-Retest Reliability of PODOSmart® Gait Analysis Insoles. Sensors 2021, 21, 7532. [Google Scholar] [CrossRef]
- Ziagkas, E.; Loukovitis, A.; Zekakos, D.X.; Chau, T.D.-P.; Petrelis, A.; Grouios, G. A Novel Tool for Gait Analysis: Validation Study of the Smart Insole PODOSmart®. Sensors 2021, 21, 5972. [Google Scholar] [CrossRef]
- Riglet, L.; Nicol, F.; Leonard, A.; Eby, N.; Claquesin, L.; Orliac, B.; Ornetti, P.; Laroche, D.; Gueugnon, M. The Use of Embedded IMU Insoles to Assess Gait Parameters: A Validation and Test-Retest Reliability Study. Sensors 2023, 23, 8155. [Google Scholar] [CrossRef]
- Hulleck, A.A.; Mohan, D.M.; Abdallah, N.; El Rich, M.; Khalaf, K. Present and future of gait assessment in clinical practice: Towards the application of novel trends and technologies. Front. Med. Technol. 2022, 4, 901331. [Google Scholar] [CrossRef]
- Efthymiou, D.; Zekakos, D.X.; Papatriantafyllou, E.; Ziagkas, E.; Petrelis, A.N.; Vassilopoulou, E. Gait Alterations in the Prediction of Metabolic Syndrome in Patients With Schizophrenia: A Pilot Study With PODOSmart® Insoles. Front. Psychiatry 2022, 13, 756600. [Google Scholar] [CrossRef]
- Efthymiou, D.; Katsiki, N.; Zekakos, D.X.; Vassiliadis, P.; Petrelis, A.; Vassilopoulou, E. Gait Analysis, Metabolic Parameters and Adherence to the Mediterranean Diet in Patients with Type 2 Diabetes Mellitus Compared with Healthy Controls: A Pilot Study. Nutrients 2023, 15, 3421. [Google Scholar] [CrossRef]
- Barai, N.K.; Mittal, R.; Ansari, M.T.; Kumar, V.S.; Krishna, M.L.V.S.; Gupta, M.; Pandey, S. Gait Analysis and Functional Knee Scores in Primary Knee Osteoarthritis and Their Correlation with Progression of the Disease in the Indian Population. Indian J. Orthop. 2024, 58, 424–432. [Google Scholar] [CrossRef]
- Gonzalez, S.; Stegall, P.; Cain, S.M.; Siu, H.C.; Stirling, L. Assessment of a powered ankle exoskeleton on human stability and balance. Appl. Ergon. 2022, 103, 103768. [Google Scholar] [CrossRef]
- Dai, J.; Ma, J.-X.; Lu, B.; Bai, H.-H.; Zhang, H.; Ma, X.-L. Foot progression angle asymmetry as a potential biomechanical marker of radiographic severity in knee osteoarthritis. Front. Bioeng. Biotechnol. 2025, 13, 1667271. [Google Scholar] [CrossRef]
- Lee, S.-H.; Kim, J.; Lee, H.-J.; Kim, Y.-H. A wearable ankle-assisted robot for improving gait function and pattern in stroke patients. J. NeuroEng. Rehabil. 2025, 22, 89. [Google Scholar] [CrossRef]
- Whittle, M.W. Pathological and other abnormal gaits. In Gait Analysis; Elsevier: Amsterdam, The Netherlands, 2007; pp. 101–136. [Google Scholar]
- Webster, J.B.; Darter, B.J. 4—Principles of Normal and Pathologic Gait. In Atlas of Orthoses and Assistive Devices, 5th ed.; Webster, J.B., Murphy, D.P., Eds.; Elsevier: Philadelphia, PA, USA, 2019; pp. 49–62.e1. [Google Scholar]
- Hagoort, I.; Vuillerme, N.; Hortobágyi, T.; Lamoth, C.J.C. Age and walking conditions differently affect domains of gait. Hum. Mov. Sci. 2023, 89, 103075. [Google Scholar] [CrossRef] [PubMed]
- Yang, F.; King, G.A. Dynamic gait stability of treadmill versus overground walking in young adults. J. Electromyogr. Kinesiol. 2016, 31, 81–87. [Google Scholar] [CrossRef] [PubMed]
- Malatesta, D.; Canepa, M.; Fernandez, A.M. The effect of treadmill and overground walking on preferred walking speed and gait kinematics in healthy, physically active older adults. Eur. J. Appl. Physiol. 2017, 117, 1833–1843. [Google Scholar] [CrossRef]
- Riley, P.O.; Paolini, G.; Della Croce, U.; Paylo, K.W.; Kerrigan, D.C. A kinematic and kinetic comparison of overground and treadmill walking in healthy subjects. Gait Posture 2007, 26, 17–24. [Google Scholar] [CrossRef] [PubMed]
- Nagano, H.; Begg, R.K.; Sparrow, W.A.; Taylor, S. Ageing and limb dominance effects on foot-ground clearance during treadmill and overground walking. Clin. Biomech. 2011, 26, 962–968. [Google Scholar] [CrossRef]
- Semaan, M.B.; Wallard, L.; Ruiz, V.; Gillet, C.; Leteneur, S.; Simoneau-Buessinger, E. Is treadmill walking biomechanically comparable to overground walking? A systematic review. Gait Posture 2022, 92, 249–257. [Google Scholar] [CrossRef]
- Lau, L.K.; Wee, S.L.; Pang, W.J.B.; Chen, K.K.; Jabbar, K.A.; Yap, P.L.K.; Mallya, J.U.; Ng, D.H.M.; Tan, Q.L.L.; Seah, W.T.; et al. Reference Values of Gait Speed and Gait Spatiotemporal Parameters for a South East Asian Population: The Yishun Study. Clin. Interv. Aging 2020, 15, 1753–1765. [Google Scholar] [CrossRef]
- García-Gomariz, C.; Domínguez-Navarro, F.; Fernández-Benet, M.M.; Blasco, J.-M.; Hernández-Guillén, D.; Sanchis-Sales, E. Gait Pattern Differences Between Young Adults and Physically Active Older Adults. Medicina 2025, 61, 1752. [Google Scholar] [CrossRef]
- Matsumoto, H.; Tomosada, M.; Nishi, T.; Sasaki, Y.; Sakurai, R.; Yamaguchi, T. Comparing the Ground Reaction Forces, Toe Clearances, and Stride Lengths of Young and Older Adults Using a Novel Shoe Sensor System. Sensors 2024, 24, 6871. [Google Scholar] [CrossRef] [PubMed]
- Pol, F.; Baharlouei, H.; Taheri, A.; Menz, H.B.; Forghany, S. Foot and ankle biomechanics during walking in older adults: A systematic review and meta-analysis of observational studies. Gait Posture 2021, 89, 14–24. [Google Scholar] [CrossRef] [PubMed]
- Yoon, D.H.; Kim, J.H.; Lee, K.; Cho, J.S.; Jang, S.H.; Lee, S.U. Inertial measurement unit sensor-based gait analysis in adults and older adults: A cross-sectional study. Gait Posture 2024, 107, 212–217. [Google Scholar] [CrossRef] [PubMed]
- Munim, F.; Jor, A.; Pollen, T.N.; Opu, S.H.; Lam, W.-K.; Gao, F.; Kobayashi, T. Effects of rocker-bottom shoes on the gait biomechanics of running and walking: A systematic review. Gait Posture 2025, 121, 44–63. [Google Scholar] [CrossRef]



| Walking Profile | Speed (km/h) Cadence (step/min) Symmetry (percentage %) Double stance (percentage %) | Stride length (m) Stride duration (ms) Stance time/ratio (ms, percentage %) Swing time/ratio (ms, percentage %) |
| Foot Kinematics | Gait line (ms) Pronation and supination angles (degree) | Foot progression angle (degree) Circumduction (cm) |
| Advanced Parameters | Steppage and propulsion angle (degree) | Clearance (cm) |
| Spatiotemporal Parameters with Unit | C Group (Mean, SD) | H Group (Mean, SD) | Mann–Whitney Test/Unpaired t-Test (ρ-Value < 0.05) | Mixed-Effects Analysis (ρ-Value < 0.05) |
|---|---|---|---|---|
| Symmetry (%) | 94.18 ± 6.34 | 95.75 ± 2.90 | 0.6225 | |
| Double stance ratio (%) | 12.83 ± 2.01 | 11.92 ± 1.57 | 0.0428 * | |
| Cadence (steps per second) | 104.3 ± 11.07 | 105.0 ± 10.16 | 0.5250 | |
| Speed (km/h) | 3.76 ± 0.93 | 4.55 ± 0.60 | 0.0003 * | |
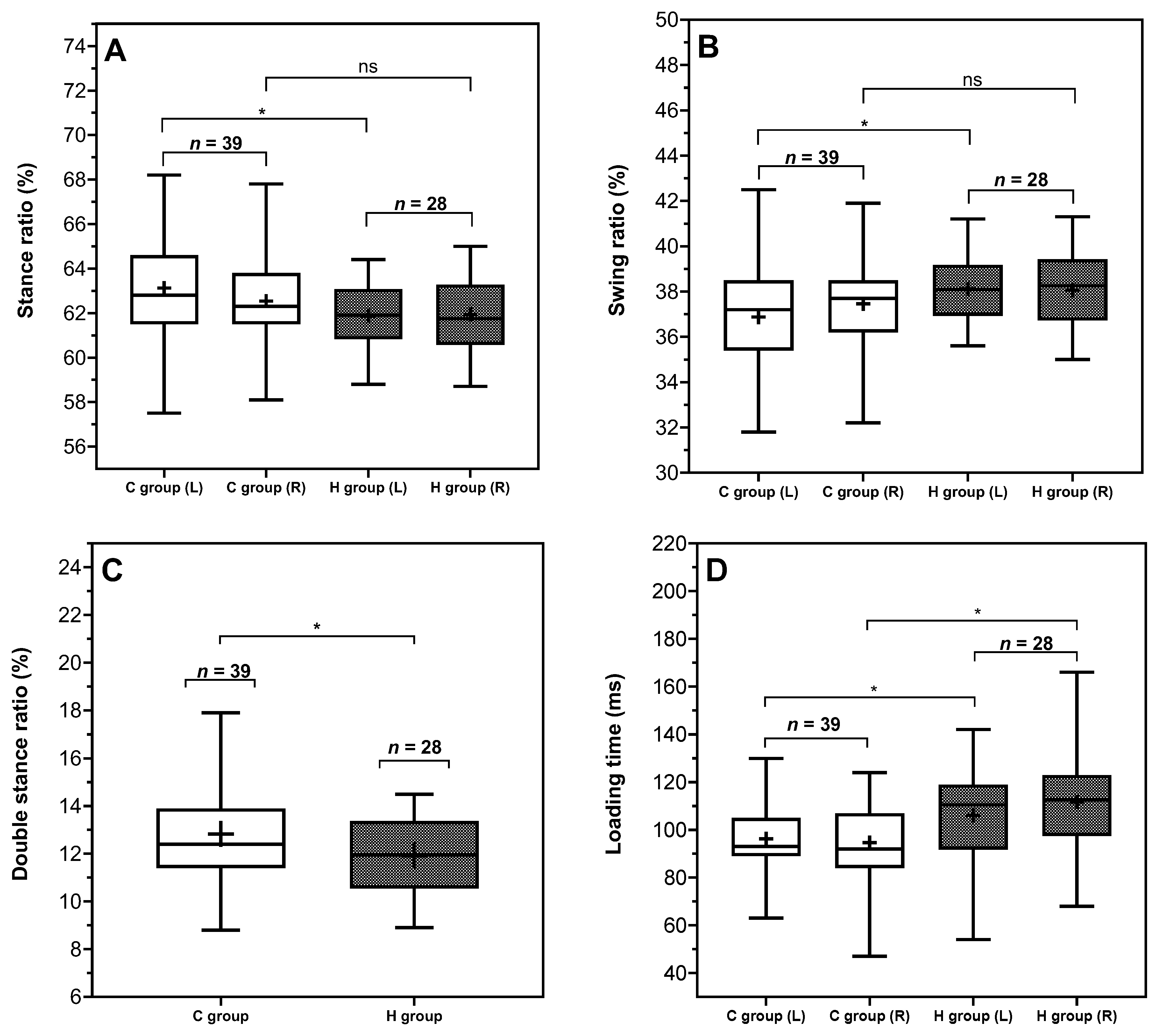
| Stance ratio (left/right) (%) | 63.13 ± 2.37/62.54 ± 2.14 | 61.88 ± 1.53/61.94 ± 1.76 | Foot-side effect: = 0.2570, F (1,65) = 1.308, Group effect: = 0.0459 *, F (1,65) = 4.141, Interaction effects: = 0.1637, F (1,65) = 1.984 | |
| Swing ratio (left/right) (%) | 36.87 ± 2.37/37.46 ± 2.14 | 38.12 ± 1.53/38.06 ± 1.76 | Foot-side effect: = 0.2570, F (1,65) = 1.308, Group effect: = 0.0459 *, F (1,65) = 4.141, Interaction effects: = 0.1637, F (1,65) = 1.984 | |
| Stance time (left/right) (ms) | 728.0 ± 112.52/716.6 ± 107.61 | 691.7 ± 50.04/694.2 ± 52.44 | Foot-side effect: = 0.1564, F (1,65) = 2.056, Group effect: = 0.1966, F (1,65) = 1.702, Interaction effects: = 0.0276 *, F (1,65) = 5.076 | |
| Swing time (left/right) (ms) | 422.2 ± 39.61/426.1 ± 41.19 | 425.2 ± 21.88/426.0 ± 25.80 | Foot-side effect: = 0.37, F (1,65) = 0.8148, Group effect: = 0.8584, F (1,65) = 0.03210, Interaction effects: = 0.5635, F (1,65) = 0.3372 | |
| Stride time (left/right) (ms) | 1149 ± 143.79/1142 ± 141.15 | 1117 ± 63.69/1120 ± 66.86 | Foot-side effect: = 0.4044, F (1,65) = 0.7043, Group effect: = 0.3549, F (1,65) = 0.8682, Interaction effects: = 0.0174 *, F (1,65) = 5.957 | |
| Propulsion time (left/right) (ms) | 227.8 ± 48.90/218.8 ± 40.45 | 218.7 ± 67.51/220.5 ± 69.60 | Foot-side effect: = 0.4637, F (1,65) = 0.5434, Group effect: = 0.7801, F (1,65) = 0.07858, Interaction effects: = 0.2751, F (1,65) = 1.212 | |
| Foot flat time (left/right) (ms) | 400.4 ± 101.31/402.5 ± 95.73 | 367.8 ± 89.74/364.7 ± 90.20 | Foot-side effect: = 0.9240, F (1,65) = 0.009173, Group effect: = 0.1353, F (1,65) = 2.287, Interaction effects: = 0.6322, F (1,65) = 0.2313 | |
| Loading time (left/right) (ms) | 96.31 ± 13.57/94.67 ± 15.19 | 106.1 ± 20.30/111.8 ± 20.00 | Foot-side effect: = 0.3073, F (1,65) = 1.059, Group effect: = 0.0008 *, F (1,65) = 12.41, Interaction effects: = 0.0666, F (1,65) = 3.480 | |
| Stride length (left/right) (m) | 1.19 ± 0.22/1.19 ± 0.21 | 1.44 ± 0.11/1.45 ± 0.16 | Foot-side effect: = 0.6005, F (1,65) = 0.2770, Group effect: < 0.0001 *, F (1,65) = 31.15, Interaction effects: = 0.2491, F (1,65) = 1.353 | |
| Circumduction (left/right) (cm) | 2.66 ± 1.28/2.49 ± 1.48 | 2 ± 1.59/2.18 ± 1.80 | Foot-side effect: = 0.9310, F (1,65) = 0.007547, Group effect: = 0.1847, F (1,65) = 1.797, Interaction effects: = 0.1644, F (1,65) = 1.977 | |
| Clearance (left/right) (cm) | 2.06 ± 0.72/1.90 ± 0.76 | 1.70 ± 0.70/1.20 ± 0.95 | Foot-side effect: = 0.0025 *, F (1,65) = 9.904, Group effect: = 0.0022 *, F (1,65) = 10.19, Interaction effects: = 0.1202, F (1,65) = 2.480 | |
| Pronation and supination angle at heel strike (left/right) (degree) | −14.56 ± 5.84/−15.41 ± 5.41 | −13.21 ± 6.06/−14.68 ± 6.04 | Foot-side effect: = 0.0408 *, F (1,65) = 4.357, Group effect: = 0.4442, F (1,65) = 0.5926, Interaction effects: = 0.5785, F (1,65) = 0.3118 | |
| Pronation and supination angle at foot flat (left/right) (degree) | −8.69 ± 4.17/−8.87 ± 3.85 | −8.14 ± 3.15/−7 ± 3.61 | Foot-side effect: = 0.1776, F (1,65) = 1.858, Group effect: = 0.1727, F (1,65) = 1.901, Interaction effects: = 0.0658, F (1,65) = 3.501 | |
| Pronation and supination angle at heel off (left/right) (degree) | −7.61 ± 3.77/−7.33 ± 3.42 | −7.25 ± 2.92/−5.71 ± 2.97 | Foot-side effect: = 0.0096 *, F (1,65) = 7.131, Group effect: = 0.2013, F (1,65) = 1.667, Interaction effects: = 0.0701, F (1,65) = 3.392 | |
| Pronation and supination angle at toe off (left/right) (degree) | −4.26 ± 4.46/−2.67 ± 4.49 | −4.5 ± 4.29/−0.23 ± 4.21 | Foot-side effect: < 0.0001 *, F (1,65) = 32.04, Group effect: = 0.2632, F (1,65) = 1.274, Interaction effects: = 0.0118 *, F (1,65) = 6.707 | |
| Foot progression angle (left/right) (degree) | 8.35 ± 7.92/12.2 ± 7.51 | 4.29 ± 6.42/8.61 ± 5.68 | Foot-side effect: < 0.0001 *, F (1,65) = 32.92, Group effect: = 0.0220 *, F (1,65) = 5.503, Interaction effects: = 0.7421, F (1,65) = 0.1093 | |
| Steppage angle (left/right) (degree) | 19.97 ± 6.58/18.72 ± 7.35 | 29.12 ± 5.03/24.85 ± 5.08 | Foot-side effect: < 0.0001 *, F (1,65) = 35.69, Group effect: < 0.0001 *, F (1,65) = 25.89, Interaction effects: = 0.0017 *, F (1,65) = 10.74 | |
| Propulsion angle (left/right) (degree) | 48.56 ± 10.25/47.06 ± 10.93 | 54.2 ± 7.10/56.99 ± 7.23 | Foot-side effect: = 0.3741, F (1,65) = 0.8011, Group effect: = 0.0009 *, F (1,65) = 12.20, Interaction effects: = 0.0040 *, F (1,65) = 8.924 |
| Spatiotemporal Parameters | Value (Group) | Mean Difference (Group) | 95% CI of Difference (Group) | Value (Foot Side) | Mean Difference (Foot Side) | 95% CI of Difference (Foot Side) |
|---|---|---|---|---|---|---|
| Stance time (ms) | 0.0116 */0.8345 | 11.41/−2.54 | 2.25 to 20.57/−13.35 to 8.275 | 0.2117/0.5461 | 36.32/22.38 | −15.06 to 87.7/−29 to 73.8 |
| Stride time (ms) | 0.0270 */0.5070 | 6.95/−3.40 | 0.68 to 13.22/−10.79 to 4.00 | 0.4684/0.7006 | 32.42/22.08 | −33.93 to 98.78/−44.27 to 88.44 |
| Pronation and supination angle at toe off (degree) | 0.0406 */<0.0001 * | −1.59/−4.27 | −3.12 to −0.06/−6.08 to −2.46 | 0.9695/0.0564 | 0.244/−2.44 | −2.25 to 2.74/−4.93 to 0.05 |
| Steppage angle (degree) | 0.0802/<0.0001 * | 1.25/4.28 | −0.12 to 2.61/2.66 to 5.89 | <0.0001 */0.0003 * | −9.15/−6.12 | −12.71 to −5.60/−9.68 to −2.57 |
| Propulsion angle (degree) | 0.2087/0.0265 * | 1.51/−2.79 | −0.62 to 3.63/−5.30 to −0.28 | 0.0347 */<0.0001 * | −5.64/−9.94 | −10.94 to −0.34/−15.24 to −4.64 |
| Spatiotemporal Parameters | Value (Group) | Mean Difference (Group) | 95% CI of Difference (Group) | Value (Foot Side) | Mean Difference (Foot Side) | 95% CI of Difference (Foot Side) |
|---|---|---|---|---|---|---|
| Stance ratio (%) | 0.1025/0.9811 | 0.58/−0.06 | −0.09 to 1.26/−0.86 to 0.74 | 0.0309 */0.4210 | 1.25/0.60 | 0.10 to 2.40/−0.55 to 1.75 |
| Swing ratio (%) | 0.1034/0.9812 | −0.58/0.06 | −1.26 to 0.09/−0.74 to 0.86 | 0.0309 */0.4210 | −1.25/−0.60 | −2.40 to −0.10/−1.75 to 0.55 |
| Loading time (ms) | 0.7695/0.1207 | 1.64/−5.68 | −4.17 to 7.45/−12.53 to 1.17 | 0.0481 */0.0002 * | −9.76/−17.08 | −19.46 to −0.07/−26.78 to −7.39 |
| Stride length (m) | 0.8587/0.4705 | 0.0053/−0.01 | −0.02 to 0.03/−0.04 to 0.02 | <0.0001 */< 0.0001 * | −0.25/−0.27 | −0.35 to −0.14/−0.37 to −0.16 |
| Clearance (cm) | 0.4046/0.0058 * | 0.16/0.49 | −0.14 to 0.47/0.13 to 0.86 | 0.1253/0.0011 * | 0.37/0.69 | −0.08 to 0.81/0.25 to 1.14 |
| Foot progression angle (degree) | 0.0002 */0.0004 * | −3.85/−4.33 | −5.96 to −1.74/−6.82 to −1.84 | 0.0477 */0.0894 | 4.06/3.59 | 0.03 to 8.09/−0.44 to 7.62 |
Disclaimer/Publisher’s Note: The statements, opinions and data contained in all publications are solely those of the individual author(s) and contributor(s) and not of MDPI and/or the editor(s). MDPI and/or the editor(s) disclaim responsibility for any injury to people or property resulting from any ideas, methods, instructions or products referred to in the content. |
© 2026 by the authors. Licensee MDPI, Basel, Switzerland. This article is an open access article distributed under the terms and conditions of the Creative Commons Attribution (CC BY) license.
Share and Cite
Lin, S.; Evans, K.; Hartley, D.; Morrison, S.; McDonald, S.; Veidt, M.; Wang, G. IMU-Based Wearable Insoles in Clinical Settings: Key Parameters Differentiating Clinical and Non-Clinical Populations. Sensors 2026, 26, 1802. https://doi.org/10.3390/s26061802
Lin S, Evans K, Hartley D, Morrison S, McDonald S, Veidt M, Wang G. IMU-Based Wearable Insoles in Clinical Settings: Key Parameters Differentiating Clinical and Non-Clinical Populations. Sensors. 2026; 26(6):1802. https://doi.org/10.3390/s26061802
Chicago/Turabian StyleLin, Sheng, Kerrie Evans, Dean Hartley, Scott Morrison, Stuart McDonald, Martin Veidt, and Gui Wang. 2026. "IMU-Based Wearable Insoles in Clinical Settings: Key Parameters Differentiating Clinical and Non-Clinical Populations" Sensors 26, no. 6: 1802. https://doi.org/10.3390/s26061802
APA StyleLin, S., Evans, K., Hartley, D., Morrison, S., McDonald, S., Veidt, M., & Wang, G. (2026). IMU-Based Wearable Insoles in Clinical Settings: Key Parameters Differentiating Clinical and Non-Clinical Populations. Sensors, 26(6), 1802. https://doi.org/10.3390/s26061802

