Development and Validation of a Digitizer-Based TCSPC System for Scintillation Decay Time Analysis via an Extended Convolution Model
Abstract
1. Introduction
2. Materials and Methods
2.1. Overview of the Methodology
2.2. Digitizer-Based TCSPC System
2.2.1. Picosecond-Level Synchronization via Positron Annihilation Source
2.2.2. IRF Characterization with an Optimized Reference Detector
- Reference (START) detector optimization
- IRF calibration procedure
2.2.3. Optimization of Single-Photon Detection Probability
- Photon flux attenuation
- Background suppression and collimation
2.2.4. Data Preprocessing and Histogram Construction
2.3. Extended Convolution Model and Parameter Extraction
2.3.1. Extended Convolution Model
2.3.2. Parameter Extraction and Fitting Procedure
3. Results
3.1. Instrument Response Function Characterization
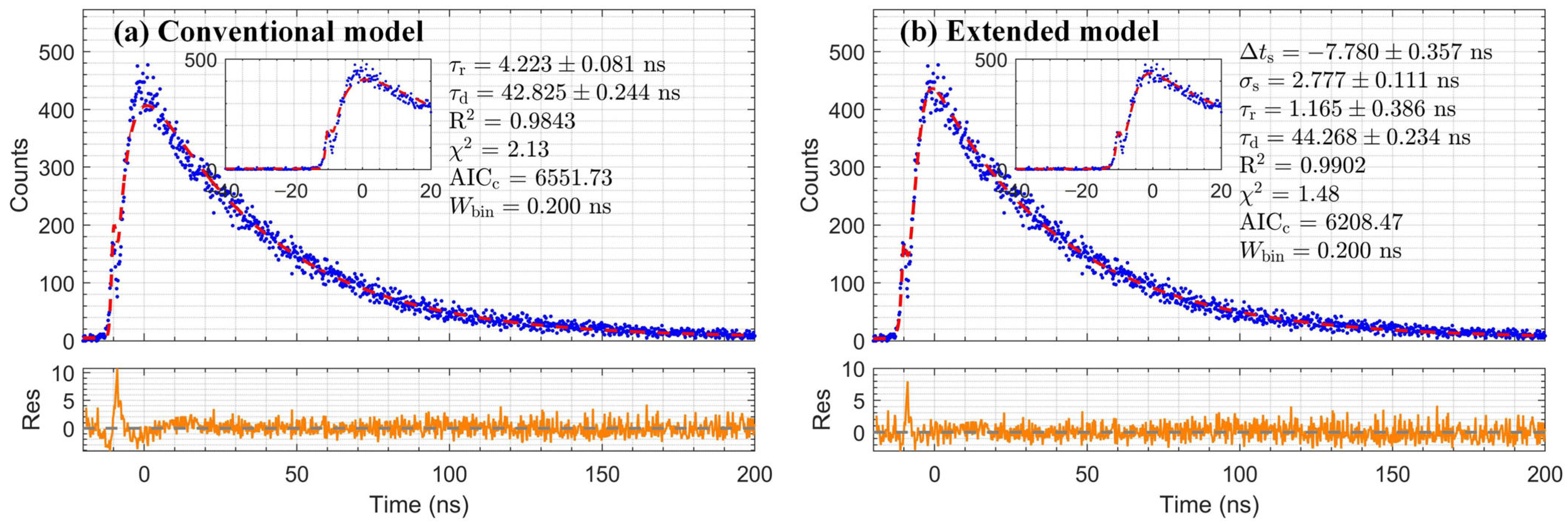
3.2. The Extended Convolution Model Validation
3.3. Application of Slow Scintillators and Verification of Extracted Decay Time
4. Discussion
4.1. Physics-Driven Calibration Principle for TCSPC Systems
4.2. Performance and Applicability of the Extended Convolution Model
4.3. Limitations and Future Work
5. Conclusions
Author Contributions
Funding
Institutional Review Board Statement
Informed Consent Statement
Data Availability Statement
Acknowledgments
Conflicts of Interest
Abbreviations
| CFD | constant fraction discriminators |
| FWHM | full width at half maximum |
| GEC | Gaussian double-exponential convolution |
| IRF | instrument response function |
| ND | neutral density |
| PMT | photomultiplier tube |
| PTS | transport time spread |
| SiPM | silicon photomultiplier |
| SNR | signal-to-noise ratio |
| TCSPC | time-correlated single-photon counting |
| TTS | transit time spread |
References
- Gundacker, S.; Turtos, R.M.; Auffray, E.; Lecoq, P. Precise Rise and Decay Time Measurements of Inorganic Scintillators by Means of X-Ray and 511 keV Excitation. Nucl. Instrum. Methods Phys. Res. Sect. Accel. Spectrometers Detect. Assoc. Equip. 2018, 891, 42–52. [Google Scholar] [CrossRef]
- Gundacker, S.; Auffray, E.; Pauwels, K.; Lecoq, P. Measurement of Intrinsic Rise Times for Various L(Y)SO and LuAG Scintillators with a General Study of Prompt Photons to Achieve 10 Ps in TOF-PET. Phys. Med. Biol. 2016, 61, 2802–2837. [Google Scholar] [CrossRef]
- Gundacker, S.; Auffray, E.; Jarron, P.; Meyer, T.; Lecoq, P. On the Comparison of Analog and Digital SiPM Readout in Terms of Expected Timing Performance. Nucl. Instrum. Methods Phys. Res. Sect. Accel. Spectrometers Detect. Assoc. Equip. 2015, 787, 6–11. [Google Scholar] [CrossRef]
- Herweg, K.; Rutstrom, D.; Nadig, V.; Stand, L.; Melcher, C.L.; Zhuravleva, M.; Schulz, V.; Gundacker, S. Timing Limits of Ultrafast Cross-Luminescence Emission in CsZnCl-Based Crystals for TOF-CT and TOF-PET. EJNMMI Phys. 2024, 11, 59. [Google Scholar] [CrossRef] [PubMed]
- Xiao, W.; Farsoni, A.T.; Yang, H.; Hamby, D.H. A New Pulse Model for NaI(Tl) Detection Systems. Nucl. Instrum. Methods Phys. Res. Sect. Accel. Spectrometers Detect. Assoc. Equip. 2014, 763, 170–173. [Google Scholar] [CrossRef]
- Bollinger, L.M.; Thomas, G.E. Measurement of the Time Dependence of Scintillation Intensity by a Delayed-Coincidence Method. Rev. Sci. Instrum. 1961, 32, 1044–1050. [Google Scholar] [CrossRef]
- Nadig, V.; Herweg, K.; Chou, M.M.C.; Lin, J.W.C.; Chin, E.; Li, C.-A.; Schulz, V.; Gundacker, S. Timing Advances of Commercial Divalent-Ion Co-Doped LYSO:Ce and SiPMs in Sub-100 Ps Time-of-Flight Positron Emission Tomography. Phys. Med. Biol. 2023, 68, 075002. [Google Scholar] [CrossRef]
- Wahl, M.; Roehlicke, T.; Kulisch, S.; Rohilla, S.; Kraeamer, B.; Hocke, A.C. Photon Arrival Time Tagging with Many Channels, Sub-Nanosecond Deadtime, Very High Throughput, and Fiber Optic Remote Synchronization. Rev. Sci. Instrum. 2020, 91, 013108. [Google Scholar] [CrossRef] [PubMed]
- Gundacker, S.; Turtos, R.M.; Auffray, E.; Paganoni, M.; Lecoq, P. High-Frequency SiPM Readout Advances Measured Coincidence Time Resolution Limits in TOF-PET. Phys. Med. Biol. 2019, 64, 055012. [Google Scholar] [CrossRef]
- Acerbi, F.; Gundacker, S. Understanding and Simulating SiPMs. Nucl. Instrum. Methods Phys. Res. Sect. Accel. Spectrometers Detect. Assoc. Equip. 2019, 926, 16–35. [Google Scholar] [CrossRef]
- Rosado, J.; Aranda, V.M.; Blanco, F.; Arqueros, F. Modeling Crosstalk and Afterpulsing in Silicon Photomultipliers. Nucl. Instrum. Methods Phys. Res. Sect. Accel. Spectrometers Detect. Assoc. Equip. 2015, 787, 153–156. [Google Scholar] [CrossRef]
- Yanagida, T. Inorganic Scintillating Materials and Scintillation Detectors. Proc. Jpn. Acad. Ser. B Phys. Biol. Sci. 2018, 94, 75–97. [Google Scholar] [CrossRef]
- Moszyński, M.; Gresset, C.; Vacher, J.; Odru, R. Timing Properties of BGO Scintillator. Nucl. Instrum. Methods Phys. Res. 1981, 188, 403–409. [Google Scholar] [CrossRef]
- Seifert, S.; Steenbergen, J.H.L.; van Dam, H.T.; Schaart, D.R. Accurate Measurement of the Rise and Decay Times of Fast Scintillators with Solid State Photon Counters. J. Instrum. 2012, 7, P09004. [Google Scholar] [CrossRef]
- Moszyński, M.; Gierlik, M.; Kapusta, M.; Nassalski, A.; Szczęśniak, T.; Fontaine, C.; Lavoute, P. New Photonis XP20D0 Photomultiplier for Fast Timing in Nuclear Medicine. Nucl. Instrum. Methods Phys. Res. Sect. Accel. Spectrometers Detect. Assoc. Equip. 2006, 567, 31–35. [Google Scholar] [CrossRef]
- Lecoq, P. Scintillation Detectors for Charged Particles and Photons. In Particle Physics Reference Library: Volume 2: Detectors for Particles and Radiation; Fabjan, C.W., Schopper, H., Eds.; Springer International Publishing: Cham, Switzerland, 2020; pp. 45–89. ISBN 978-3-030-35318-6. [Google Scholar]
- Brunner, S.E.; Gruber, L.; Marton, J.; Suzuki, K.; Hirtl, A. Studies on the Cherenkov Effect for Improved Time Resolution of TOF-PET. IEEE Trans. Nucl. Sci. 2014, 61, 443–447. [Google Scholar] [CrossRef]
- Moses, W.W. A Method to Increase Optical Timing Spectra Measurement Rates Using a Multi-Hit TDC. Nucl. Instrum. Methods Phys. Res. Sect. Accel. Spectrometers Detect. Assoc. Equip. 1993, 336, 253–261. [Google Scholar] [CrossRef]
- Gundacker, S.; Knapitsch, A.; Auffray, E.; Jarron, P.; Meyer, T.; Lecoq, P. Time Resolution Deterioration with Increasing Crystal Length in a TOF-PET System. Nucl. Instrum. Methods Phys. Res. Sect. Accel. Spectrometers Detect. Assoc. Equip. 2014, 737, 92–100. [Google Scholar] [CrossRef]
- Banks, H.T.; Joyner, M.L. AIC under the Framework of Least Squares Estimation. Appl. Math. Lett. 2017, 74, 33–45. [Google Scholar] [CrossRef]
- Caccia, M.; Nardo, L.; Santoro, R.; Schaffhauser, D. Silicon Photomultipliers and SPAD Imagers in Biophotonics: Advances and Perspectives. Nucl. Instrum. Methods Phys. Res. Sect. Accel. Spectrometers Detect. Assoc. Equip. 2019, 926, 101–117. [Google Scholar] [CrossRef]
- Jiang, W.; Chalich, Y.; Deen, M.J. Sensors for Positron Emission Tomography Applications. Sensors 2019, 19, 5019. [Google Scholar] [CrossRef] [PubMed]
- Ogawara, R.; Ishikawa, M. Signal Pulse Emulation for Scintillation Detectors Using Geant4 Monte Carlo with Light Tracking Simulation. Rev. Sci. Instrum. 2016, 87, 075114. [Google Scholar] [CrossRef] [PubMed]







| Scintillator | Conventional Model | Extended Model | Typical Range | |||||||
|---|---|---|---|---|---|---|---|---|---|---|
| (ns) | R2 | χ2 | AICc | (ns) | R2 | χ2 | AICc | (ns) | ||
| LYSO:Ce | 42.83 ± 0.24 | 0.9843 | 2.13 | 6552 | 44.27 ± 0.23 | 0.9902 | 1.48 | 6208 | 344 | 40–45 |
| LaBr3:Ce | 17.27 ± 0.14 | 0.9652 | 5.35 | 8951 | 18.91 ± 0.12 | 0.9804 | 1.88 | 7161 | 1790 | 15–20 |
| Scintillator | Conventional Model | Extended Model | Typical Value | |||||||
|---|---|---|---|---|---|---|---|---|---|---|
| (ns) | R2 | χ2 | AICc | (ns) | R2 | χ2 | AICc | (ns) | ||
| BGO | 293.13 ± 2.11 | 0.9130 | 1.73 | 49,021 | 307.63 ± 2.15 | 0.9224 | 1.59 | 47,981 | 1040 | 300 |
| NaI:Tl | 224.92 ± 0.98 | 0.9560 | 1.63 | 59,147 | 226.24 ± 0.94 | 0.9589 | 1.57 | 58,403 | 744 | 230 |
Disclaimer/Publisher’s Note: The statements, opinions and data contained in all publications are solely those of the individual author(s) and contributor(s) and not of MDPI and/or the editor(s). MDPI and/or the editor(s) disclaim responsibility for any injury to people or property resulting from any ideas, methods, instructions or products referred to in the content. |
© 2026 by the authors. Licensee MDPI, Basel, Switzerland. This article is an open access article distributed under the terms and conditions of the Creative Commons Attribution (CC BY) license.
Share and Cite
Zhou, Q.; Yang, Z.; Li, W.; Liang, J.; Xiao, W. Development and Validation of a Digitizer-Based TCSPC System for Scintillation Decay Time Analysis via an Extended Convolution Model. Sensors 2026, 26, 1488. https://doi.org/10.3390/s26051488
Zhou Q, Yang Z, Li W, Liang J, Xiao W. Development and Validation of a Digitizer-Based TCSPC System for Scintillation Decay Time Analysis via an Extended Convolution Model. Sensors. 2026; 26(5):1488. https://doi.org/10.3390/s26051488
Chicago/Turabian StyleZhou, Qianqian, Zhijie Yang, Wenhui Li, Juncheng Liang, and Wuyun Xiao. 2026. "Development and Validation of a Digitizer-Based TCSPC System for Scintillation Decay Time Analysis via an Extended Convolution Model" Sensors 26, no. 5: 1488. https://doi.org/10.3390/s26051488
APA StyleZhou, Q., Yang, Z., Li, W., Liang, J., & Xiao, W. (2026). Development and Validation of a Digitizer-Based TCSPC System for Scintillation Decay Time Analysis via an Extended Convolution Model. Sensors, 26(5), 1488. https://doi.org/10.3390/s26051488

