A MEMS Variable Reluctance Sensor for Contactless Detection of a Ferrous Rotating Target
Abstract
1. Introduction
2. Working Principle
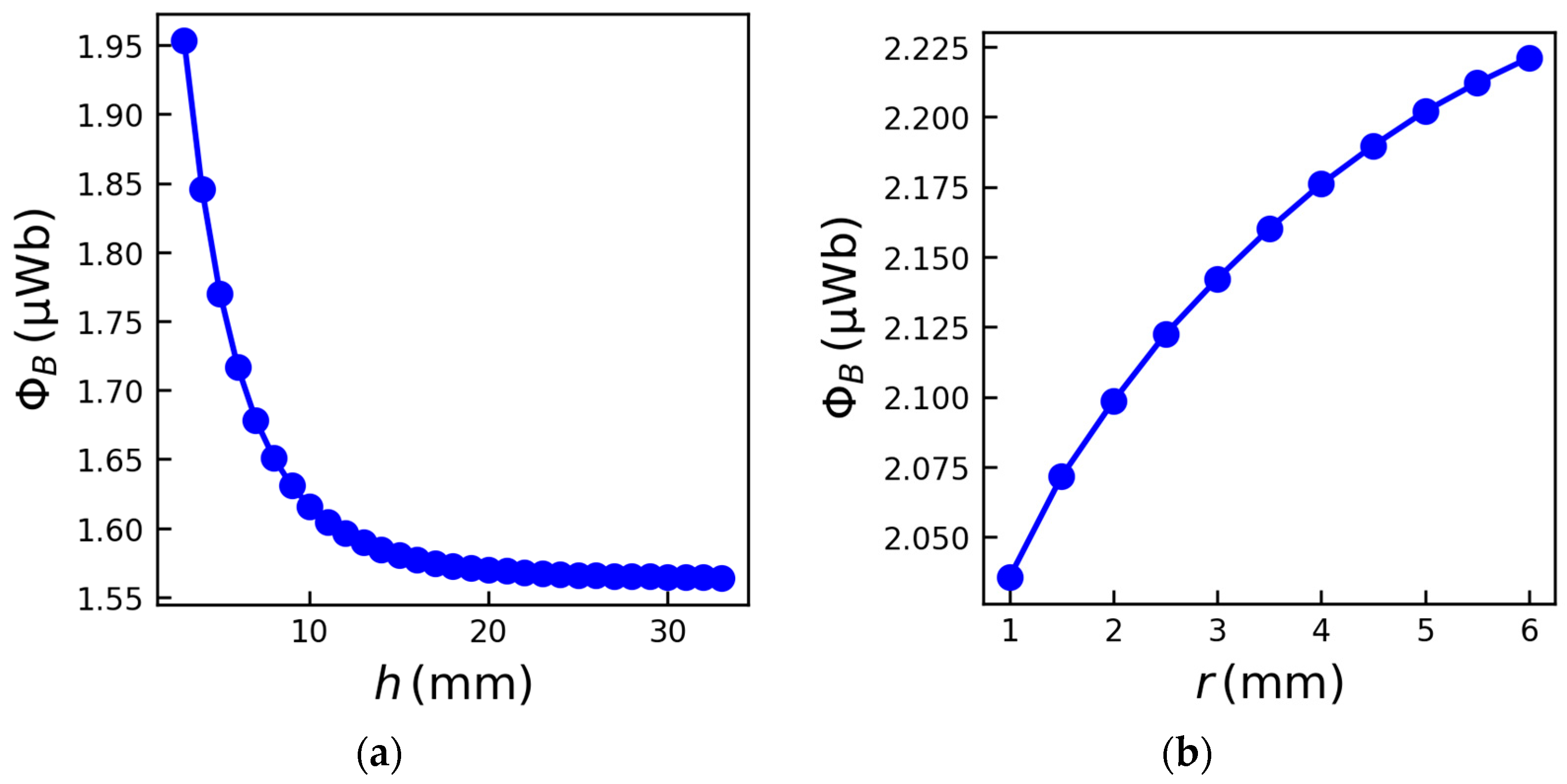
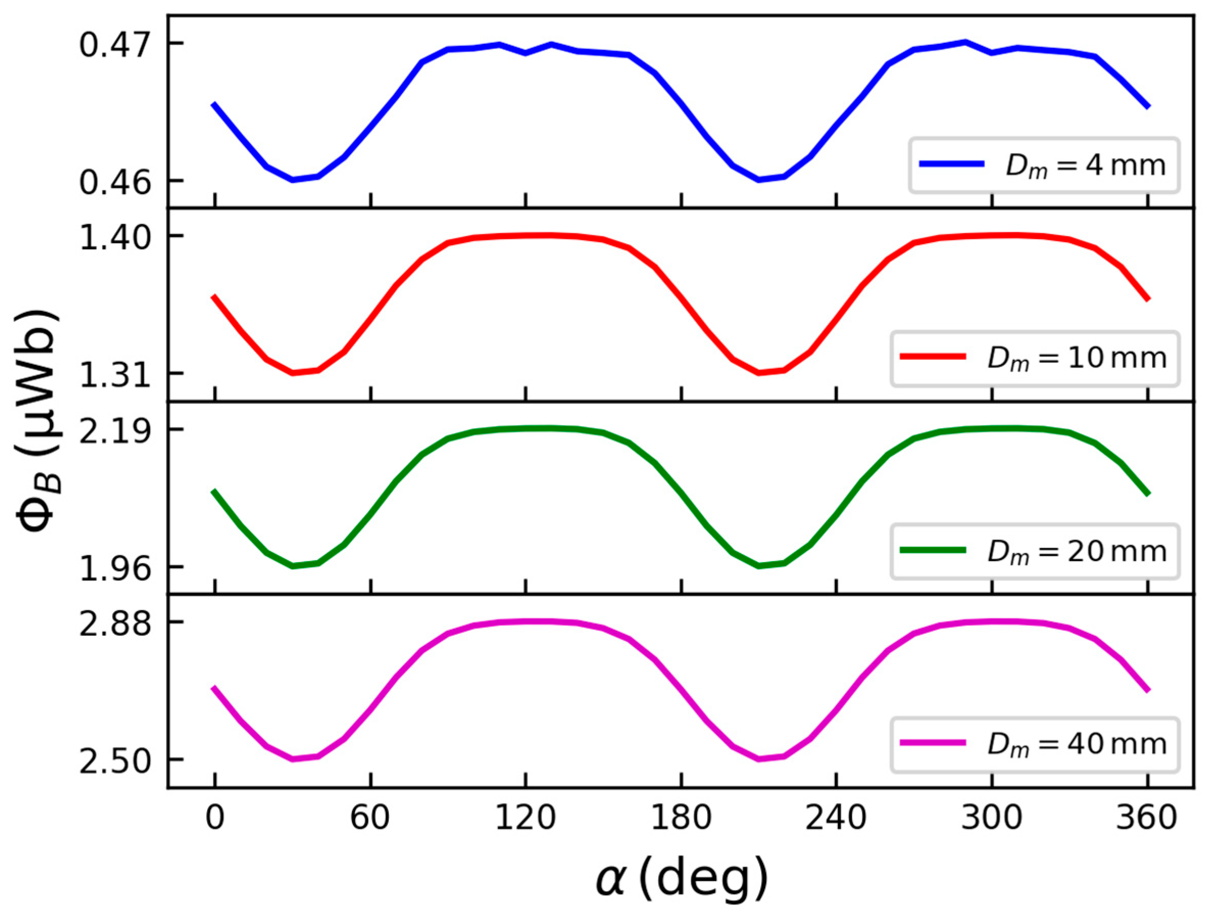
3. Results of FEM Analysis
4. Experimental Activities and Results
4.1. Design, Fabrication and Experimental Setup
4.2. Front-End Electronics
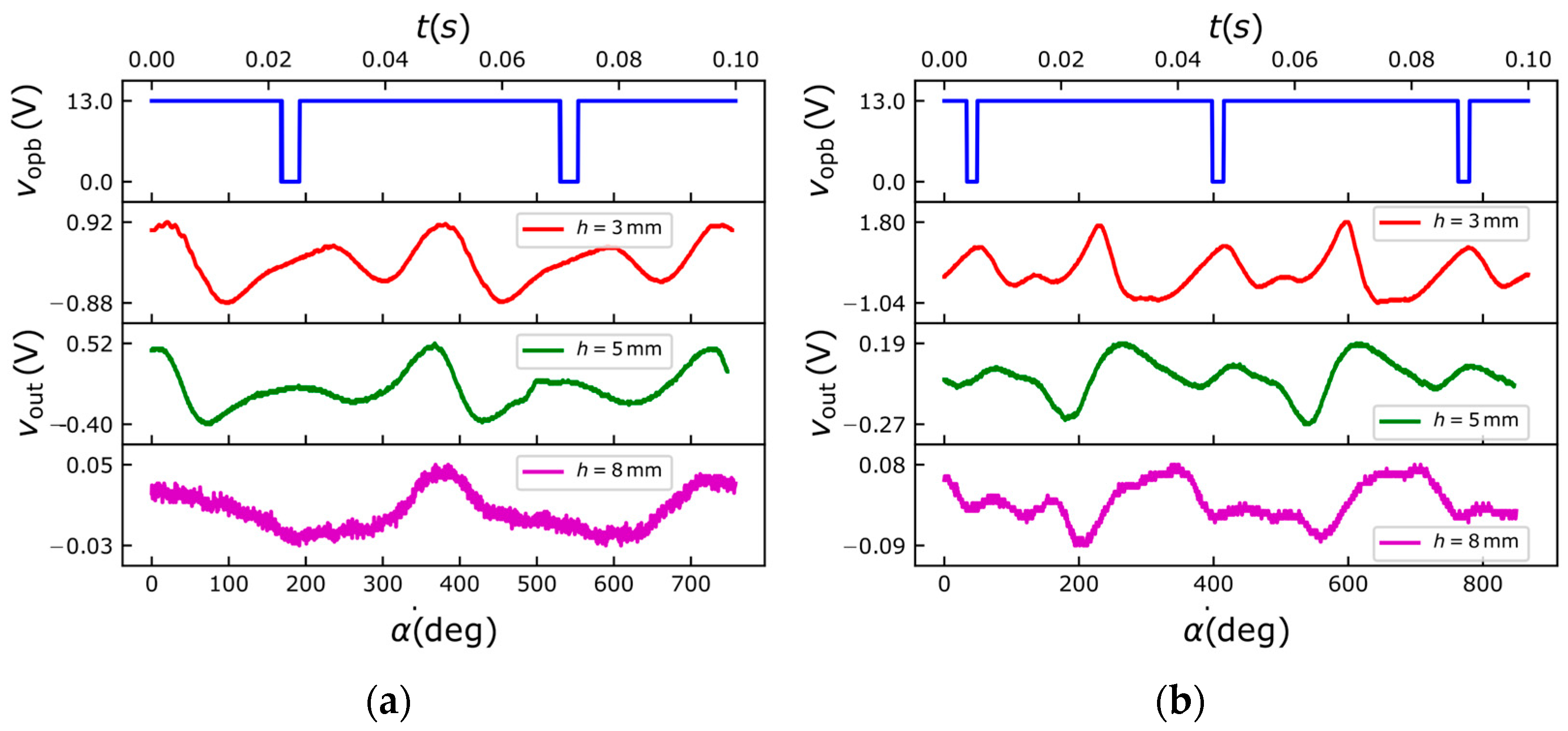
4.3. Results and Discussion
5. Conclusions
Author Contributions
Funding
Data Availability Statement
Conflicts of Interest
References
- Gamazo-Real, J.C.; Vázquez-Sánchez, E.; Gómez-Gil, J. Position and Speed Control of Brushless DC Motors Using Sensorless Techniques and Application Trends. Sensors 2010, 10, 6901–6947. [Google Scholar] [CrossRef] [PubMed]
- Gietler, H.; Stetco, C.; Zangl, H. Scalable Retrofit Angular Position Sensor System. In Proceedings of the 2020 IEEE International Instrumentation and Measurement Technology Conference (I2MTC), Dubrovnik, Croatia, 25–28 May 2020. [Google Scholar] [CrossRef]
- Das, S.; Sarkar, T.S.; Chakraborty, B. Simple approach to design a capacitive rotary encoder. IET Sci. Meas. Technol. 2018, 12, 500–506. [Google Scholar] [CrossRef]
- He, J.; Feng, Q.; Chen, Y.; Yang, T.; Li, X.; Zhou, W. High-Resolution Rotation-Measuring System for MEMS Ultrasonic Motors Using Tunneling Magnetoresistance Sensors. Micromachines 2024, 15, 1028. [Google Scholar] [CrossRef]
- Ciminelli, C.; Dell’Olio, F.; Campanella, C.E.; Armenise, M.N. Photonic technologies for angular velocity sensing. Adv. Opt. Photon. 2010, 2, 370–404. [Google Scholar] [CrossRef]
- Fulmek, P.L.; Wandling, F.; Zdiarsky, W.; Brasseur, G.; Cermak, S.P. Capacitive sensor for relative angle measurement. IEEE Trans. Instrum. Meas. 2002, 51, 1145–1149. [Google Scholar] [CrossRef]
- Kumar, A.S.A.; George, B.; Mukhopadhyay, S.C. Technologies and Applications of Angle Sensors: A Review. IEEE Sens. J. 2020, 21, 7195–7206. [Google Scholar] [CrossRef]
- Wang, Y.; Li, J.; Viehland, D. Magnetoelectrics for magnetic sensor applications: Status, challenges and perspectives. Mater. Today 2014, 17, 269–275. [Google Scholar] [CrossRef]
- Arami, A.; Rechenmann, J.D.; Aminian, K. Reference-Free Automated Magnetic Sensor Calibration for Angle Estimation in Smart Knee Prostheses. IEEE Sens. J. 2014, 14, 1788–1796. [Google Scholar] [CrossRef][Green Version]
- Ausserlechner, U. The Optimum Layout for Giant Magneto-Resistive Angle Sensors. IEEE Sens. J. 2010, 10, 1571–1582. [Google Scholar] [CrossRef]
- Yamazaki, H.; Hirabayashi, H.; Oyama, N.; Sakai, M. B8.4—Characteristics of TMR Angle Sensors. In Proceedings SENSOR 2011, Nürnberg, Germany, 7–9 June 2011; AMA Service GmbH: Nürnberg, Germany, 2011; pp. 361–365. [Google Scholar]
- Wu, S.-T.; Chen, J.-Y.; Wu, S.-H. A Rotary Encoder With an Eccentrically Mounted Ring Magnet. IEEE Trans. Instrum. Meas. 2014, 63, 1907–1915. [Google Scholar] [CrossRef]
- Kumar, S.A.; George, B.; Mukhopadhyay, S.C. Design and Development of a Variable Reluctance-Based Thin Planar Angle Sensor. IEEE Trans. Ind. Electron. 2023, 70, 9653–9662. [Google Scholar] [CrossRef]
- Pattanayak, S.; Dash, S.K.; Sivakumar, S.; Shanmugam, G. Variable reluctance type speed sensor for acidic and radiation environment. In Proceedings of the IEEE 5th International Conference on Condition Assessment Techniques in Electrical Systems (CATCON), Kozhikode, India, 3–5 December 2021. [Google Scholar] [CrossRef]
- Bahari, M.; Davoodi, A.; Saneie, H.; Tootoonchian, F.; Nasiri-Gheidari, Z. A New Variable Reluctance PM-Resolver. IEEE Sens. J. 2020, 20, 135–142. [Google Scholar] [CrossRef]
- Guo, L.; Zhang, L.; Song, Y.; Zhao, L.; Zhao, Q. Design and Implementation of a Novel Tilt Sensor Based on the Principle of Variable Reluctance. Sensors 2019, 19, 5228. [Google Scholar] [CrossRef]
- Lemarquand, G. A variable reluctance sensor. IEEE Trans. Magn. 1989, 25, 3827–3829. [Google Scholar] [CrossRef]
- Addabbo, T.; Di Marco, M.; Fort, A.; Landi, E.; Mugnaini, M.; Vignoli, V.; Ferretti, G. Instantaneous Rotation Speed Measurement System Based on Variable Reluctance Sensors for Torsional Vibration Monitoring. IEEE Trans. Instr. Meas. 2019, 68, 2363–2373. [Google Scholar] [CrossRef]
- Ge, X.; Zhu, Z.Q.; Ren, R.; Chen, J.T. A Novel Variable Reluctance Resolver for HEV/EV Applications. IEEE Trans. Ind. Appl. 2016, 52, 2872–2880. [Google Scholar] [CrossRef]
- Takano, M.; Shimomura, S. Study of variable reluctance vernier motor for hybrid electric vehicle. In Proceedings of the 2013 IEEE ECCE Asia Downunder, Melbourne, VIC, Australia, 3–6 June 2013. [Google Scholar] [CrossRef]
- Zhang, Y.; Wang, W.; Xie, J.; Lei, Y.; Cao, J.; Xu, Y.; Bader, S.; Bowen, C.; Oelmann, B. Enhanced variable reluctance energy harvesting for self-powered monitoring. Appl. Energy 2022, 321, 119402. [Google Scholar] [CrossRef]
- Nastro, A.; Ferrari, M.; Ferrari, V.; Russo, A.; Ardito, R. MEMS Force Sensor with DDS-Based Position Feedback and Tunable Sensitivity. In Proceedings of the 2017 IEEE SENSORS, Glasgow, UK, 29 October –1 November 2017; IEEE: Piscataway, NJ, USA, 2017; pp. 1–3. [Google Scholar] [CrossRef]
- Ozturk, O.; Tounsi, F.; Francis, L.; Flandre, D.; Yapici, M.K. Multiphysics Modeling of a Novel MEMS Accelerometer Based on Electromagnetic Induction. In Proceedings of the 2025 26th International Conference on Thermal, Mechanical and Multi-Physics Simulation and Experiments in Microelectronics and Microsystems (EuroSimE), Utrecht, The Netherlands, 6–9 April 2025; IEEE: Piscataway, NJ, USA, 2025; pp. 1–5. [Google Scholar] [CrossRef]
- Tavakkoli, H.; Momen, H.G.; Sani, E.A.; Yazgi, M. An Inductive MEMS Accelerometer. In Proceedings of the 2017 10th International Conference on Electrical and Electronics Engineering (ELECO), Bursa, Turkey, 30 November –2 December 2017; IEEE: Piscataway, NJ, USA, 2017; pp. 459–463. [Google Scholar] [CrossRef]
- Baglio, S.; Castorina, S.; Savalli, N. Integrated Inductive Sensors for the Detection of Magnetic Microparticles. IEEE Sens. J. 2005, 5, 372–384. [Google Scholar] [CrossRef]
- Nastro, A.; Baù, M.; Ferrari, M.; Cerini, F.; Paci, D.; Adorno, S.; Foncellino, F.; Ferrari, V. Inductive Sensor Based on Micromachined Coil for Conductive Target Detection. IEEE Sens. Lett. 2024, 8, 1–4. [Google Scholar] [CrossRef]
- Liu, S.; Liang, H.; Xiong, B. An Out-of-Plane Electromagnetic Induction Based Resonant MEMS Magnetometer. Sens. Actuators A Phys. 2019, 285, 248–257. [Google Scholar] [CrossRef]
- Liu, S.; Xu, H.; Xu, D.; Xiong, B. Modelling of Resonant MEMS Magnetic Field Sensor with Electromagnetic Induction Sensing. Solid-State Electron. 2017, 132, 91–98. [Google Scholar] [CrossRef]
- Dinulovic, D.; Gatzen, H.H. Microfabricated Inductive Micropositioning Sensor for Measurement of a Linear Movement. IEEE Sens. J. 2006, 6, 1482–1487. [Google Scholar] [CrossRef]
- Tavakkoli, H.; Cabot, J.; Chen, W.; Lee, Y.-K. Design, Fabrication, and Characterization of Micro Variable Reluctance Sensors. IEEE Sens. Lett. 2024, 8, 1–4. [Google Scholar] [CrossRef]
- Nasr, D.; Baù, M.; Nastro, A.; Bertelli, S.; Ferrari, M.; Said, M.H.; Flandre, D.; Mansour, M.; Tounsi, F.; Ferrari, V. MEMS Variable Reluctance Sensor Based on a Micromachined Coil. In Sensors and Microsystems; Di Natale, C., Lorenzelli, L., Mulloni, V., Eds.; Springer Nature: Cham, Switzerland, 2025; pp. 164–169. [Google Scholar] [CrossRef]
- Furlani, E.P. Chapter 4—Permanent Magnet Applications. In Electromagnetism, Permanent Magnet and Electromechanical Devices; Academic Press: Cambridge, MA, USA, 2001; pp. 207–333. [Google Scholar] [CrossRef]
- Zeidi, N.; Tounsi, F.; Raskin, J.-P.; Flandre, D. Trap-rich high-resistivity silicon for improved on-chip monolithic transformers characteristics. Solid-State Electron. 2025, 230, 109261. [Google Scholar] [CrossRef]










Disclaimer/Publisher’s Note: The statements, opinions and data contained in all publications are solely those of the individual author(s) and contributor(s) and not of MDPI and/or the editor(s). MDPI and/or the editor(s) disclaim responsibility for any injury to people or property resulting from any ideas, methods, instructions or products referred to in the content. |
© 2026 by the authors. Licensee MDPI, Basel, Switzerland. This article is an open access article distributed under the terms and conditions of the Creative Commons Attribution (CC BY) license.
Share and Cite
Nasr, D.; Baù, M.; Nastro, A.; Bertelli, S.; Ferrari, M.; Said, M.H.; Flandre, D.; Mansour, M.; Tounsi, F.; Ferrari, V. A MEMS Variable Reluctance Sensor for Contactless Detection of a Ferrous Rotating Target. Sensors 2026, 26, 1280. https://doi.org/10.3390/s26041280
Nasr D, Baù M, Nastro A, Bertelli S, Ferrari M, Said MH, Flandre D, Mansour M, Tounsi F, Ferrari V. A MEMS Variable Reluctance Sensor for Contactless Detection of a Ferrous Rotating Target. Sensors. 2026; 26(4):1280. https://doi.org/10.3390/s26041280
Chicago/Turabian StyleNasr, Dorra, Marco Baù, Alessandro Nastro, Stefano Bertelli, Marco Ferrari, Mohamed Hadj Said, Denis Flandre, Mounir Mansour, Fares Tounsi, and Vittorio Ferrari. 2026. "A MEMS Variable Reluctance Sensor for Contactless Detection of a Ferrous Rotating Target" Sensors 26, no. 4: 1280. https://doi.org/10.3390/s26041280
APA StyleNasr, D., Baù, M., Nastro, A., Bertelli, S., Ferrari, M., Said, M. H., Flandre, D., Mansour, M., Tounsi, F., & Ferrari, V. (2026). A MEMS Variable Reluctance Sensor for Contactless Detection of a Ferrous Rotating Target. Sensors, 26(4), 1280. https://doi.org/10.3390/s26041280

