A Cylindrical High-Temperature-Resistant Fiber-Optic Composite Sensor for Temperature and Pressure Measurement
Abstract
1. Introduction
- (1)
- Using a cylindrical structure as the elastic body, the total elongation of the tubular elastic body under pressure is concentrated into a change in the distance between the two reflective surfaces of a segmented EFPI (Extrinsic Fabry–Pérot Interferometer). Compared with traditional hollow-core fiber-based Fabry–Perot cavities, this design achieves a significant enhancement in pressure sensitivity.
- (2)
- By integrating an EFPI cavity for pressure sensing and an FBG with a floating end dedicated to temperature measurement, this design achieves clear functional separation. A decoupling matrix is established, enabling accurate dual-parameter measurement, which enhances measurement reliability in complex thermal-mechanical environments.
- (3)
- Compact and robust sensor packaging for practical applications: The sensor employs a cylindrical metal-ceramic composite structure fixed with high-temperature ceramic adhesive, providing mechanical stability, ease of installation, and resistance to thermal mismatch.
2. Materials and Methods
2.1. Structure Design of the Composite Sensors
2.2. Principle of Sensing
2.3. Sensor Fabrication and Packing
3. Experiments, Results, and Discussion
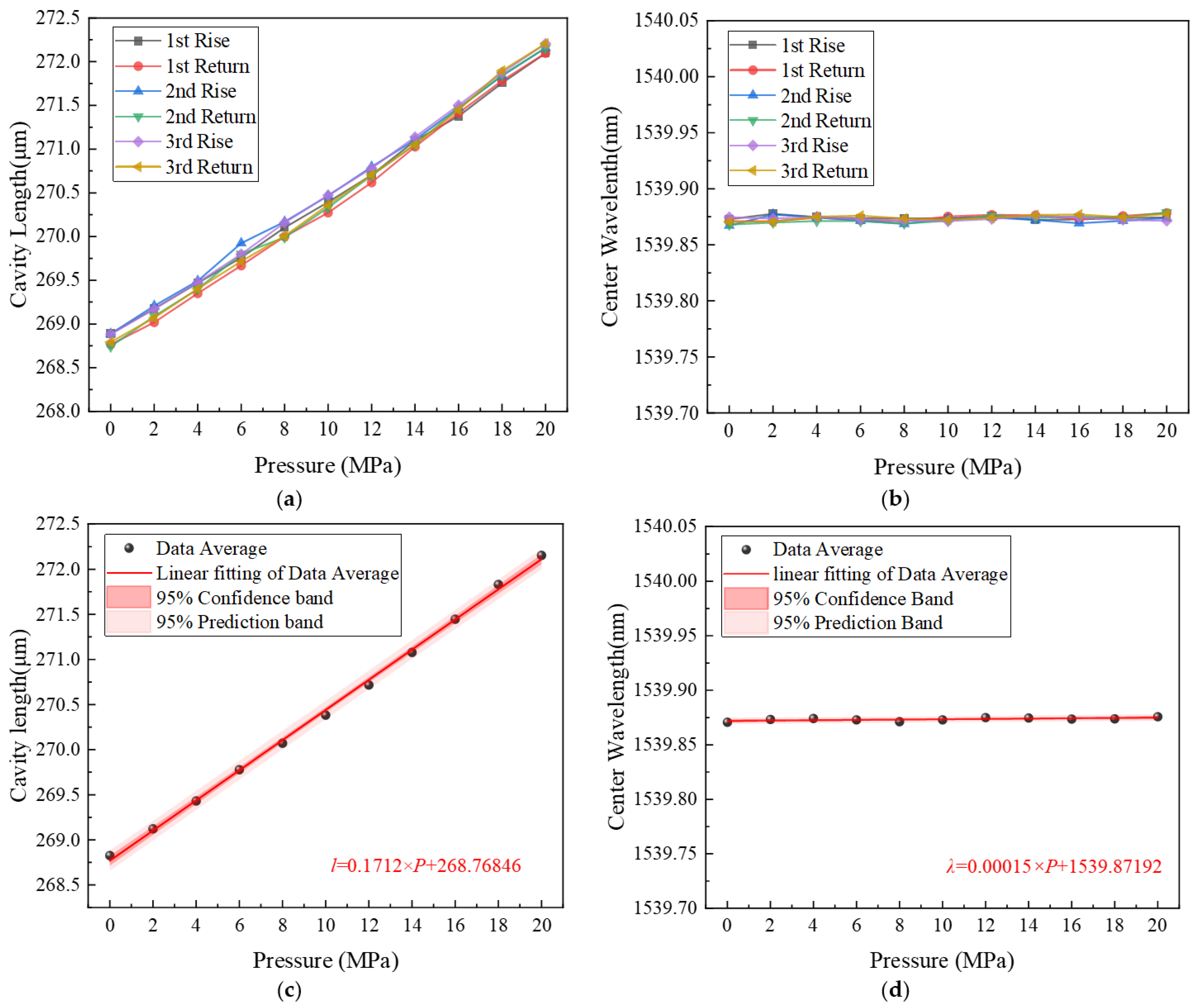
3.1. Pressure Experiment
- (1)
- Experimental Setup
- (2)
- Results and discussion
3.2. Temperature Experiment
- (1)
- Experimental setup
- (2)
- Results and discussion
4. Conclusions
Author Contributions
Funding
Institutional Review Board Statement
Informed Consent Statement
Data Availability Statement
Conflicts of Interest
References
- Jang, D.J.; Jeon, M.J.; Lee, M.C. Dynamic Pressure Characteristics of Multi-Mode Combustion Instability in a Model Gas Turbine Combustor Under Simulated Hydrogen–Methane Co-Firing Conditions. Case Stud. Therm. Eng. 2025, 75, 107280. [Google Scholar] [CrossRef]
- Mao, Y.; Cai, L.; Chertovskih, R.; Zhang, N.; Guo, W. Advanced Design and Simulation Study of a Centripetal Turbine for Efficient Recovery of Residual Gas Pressure. Appl. Energy 2025, 377, 124229. [Google Scholar] [CrossRef]
- Hong, L.; Zang, C.P.; Ji, H.J.; Yu, Q.X.; Jiang, Y.F.; Shen, L. Research on Suppression of Vibration Caused by Combustion Pressure Pulsation in Aircraft Engines. Shock Vib. 2024, 2024, 5104958. [Google Scholar] [CrossRef]
- Khan, M.S.; Song, Y.; Xu, C. Analysis of Turbine Pressure, Feed Water Temperature and Condenser Back Pressure on Performance of Power Generation System for Lead-Based Reactor. Case Stud. Therm. Eng. 2022, 40, 102494. [Google Scholar] [CrossRef]
- Liu, D.; Sun, B.; Song, J.W.; Wang, T.P.; Ma, X.Y. Effects of Thermal and Pressure Loads on Structural Deformation of Liquid Oxygen/Methane Engine Combustion Chamber. J. Therm. Sci. Technol. 2020, 15, 19–590. [Google Scholar] [CrossRef]
- Hadidi, A. A Novel Energy Recovery and Storage Approach Based on Turbo-Pump for a Natural Gas Pressure Reduction Station. J. Clean. Prod. 2024, 449, 141625. [Google Scholar] [CrossRef]
- Popiela, B.; Günzel, S.; Schukar, M.; Mair, G.W.; Krebber, K.; Seidlitz, H. Impact of Internal Pressure Control During Manufacturing on Residual Stresses and Safety Performance of Type 4 Pressure Vessels. Compos. Part C Open Access 2025, 17, 100581. [Google Scholar] [CrossRef]
- Ru, Y.; Basem, A.; Hussein, R.A.; Singh, N.S.S.; Al-Bahrani, M.; Salahshour, S.; Mokhtarian, A.; Hekmatifar, M.; Wang, M. Modeling the Mechanical Behavior of Platinum-Graphene Nanocomposites Prepared via Powder Metallurgy at Various Initial Temperatures and Pressures. Int. Commun. Heat Mass Transf. 2025, 163, 108727. [Google Scholar] [CrossRef]
- Chen, K.; Yang, B.L.; Deng, H.; Guo, M.; Zhang, B.; Yang, Y.; Liu, S.; Zhao, Y.M.; Peng, W.; Yu, Q.X. Simultaneous Measurement of Acoustic Pressure and Temperature Using a Fabry-Perot Interferometric Fiber-Optic Cantilever Sensor. Opt. Express 2020, 28, 15050–15061. [Google Scholar] [CrossRef]
- Wang, J.; Ye, W.; Li, Y.H.; Hou, K.Y.; Liu, J.; Wang, H.Y.; Jun, J.; Jia, P.G. MEMS-Based All-Quartz Fiber-Optic Sensor for Simultaneously Acoustic Pressure and Temperature Measurement Under 800 °C Harsh Environment. Opt. Express 2025, 33, 33290–33301. [Google Scholar] [CrossRef]
- Li, J.; Zhang, C.T.; Zhang, X.K.; He, H.L.; Liu, W.G.; Chen, C.S. Temperature Compensation of Piezo-Resistive Pressure Sensor Utilizing Ensemble AMPSO-SVR Based on Improved Adaboost.RT. IEEE Access 2020, 8, 12413–12425. [Google Scholar] [CrossRef]
- Fang, X.; Wu, C.; Tian, B.; Zhao, L.; Wei, X.; Jiang, Z. Pressure Sensors Based on the Third-Generation Semiconductor Silicon Carbide: A Comprehensive Review. Engineering 2025, 52, 183–203. [Google Scholar] [CrossRef]
- Zhang, W.; Xu, Y.; Zhang, Z.; Jing, J.; Yao, B.; Gao, L.; Xue, C.; Tian, Z. Dual-Mode AT-Cut Quartz Resonant Pressure Sensor for Wide Pressure and Temperature Measurement Ranges. Sens. Actuators A Phys. 2025, 382, 116103. [Google Scholar] [CrossRef]
- Li, N.; Cao, Y.; Zhao, R.; Xu, Y.; An, L. Polymer-Derived SiAlOC Ceramic Pressure Sensor with Potential for High-Temperature Application. Sens. Actuators A Phys. 2017, 263, 174–178. [Google Scholar] [CrossRef]
- Guo, Z.; Song, Z.; Guo, Z.; Zhou, F. Design and Implementation of a Kind of High Precision Temperature Compensating System for Silicon-on-Sapphire Pressure Sensor. Measurement 2024, 226, 114119. [Google Scholar] [CrossRef]
- Wu, C.; Fang, X.; Fang, Z.; Sun, H.; Li, S.; Zhao, L.; Tian, B.; Zhong, M.; Maeda, R.; Jiang, Z. Fabrication of 4H-SiC Piezoresistive Pressure Sensor for High Temperature Using an Integrated Femtosecond Laser-Assisted Plasma Etching Method. Ceram. Int. 2023, 49, 29467–29476. [Google Scholar] [CrossRef]
- Xin, Y.; Tong, J.; Hou, T.; Liu, H.; Cui, M.; Song, X.; Wang, Y.; Lin, T.; Wang, L.; Wang, G. BiScO3-PbTiO3 Nanofibers Piezoelectric Sensor for High-Temperature Pressure and Vibration Measurements. Measurement 2023, 212, 112694. [Google Scholar] [CrossRef]
- Ma, C.; Xiong, C.; Zhao, R.; Wang, K.; Yang, M.; Liang, Y.; Li, M.; Han, D.; Wang, H.; Zhang, R.; et al. Capacitive Pressure Sensors Based on Microstructured Polymer-Derived SiCN Ceramics for High-Temperature Applications. J. Colloid Interface Sci. 2025, 678, 503–510. [Google Scholar] [CrossRef]
- Zheng, H.; Wu, H.; Wang, Y.; Shen, X.; Fang, Z.; Huang, D.; Dash, J.N.; Htein, L.; Cheng, X.; Tam, H.-Y.; et al. High-Sensitivity Distributed Optical Fiber Sensor for Simultaneous Hydrostatic Pressure and Temperature Measurement Based on Birefringent Frequency-Scanning φ-OTDR. Opt. Laser Technol. 2024, 175, 110756. [Google Scholar] [CrossRef]
- Vorathin, E.; Hafizi, Z.M.; Ismail, N.; Loman, M. Review of High Sensitivity Fibre-Optic Pressure Sensors for Low Pressure Sensing. Opt. Laser Technol. 2020, 121, 105841. [Google Scholar] [CrossRef]
- Cheng, D.; Wan, P.; Zou, X.; Kan, C. Multifunctional Applications of Meta-Fiber: A Review. Opt. Laser Technol. 2025, 189, 113176. [Google Scholar] [CrossRef]
- Liu, Z.; Cheng, J.; Li, J.; Li, J.; Zhao, L.; Zheng, Z.; Huang, P.; Li, H. Fiber Optic Fabry-Perot Interferometer Pressure Sensors for Oil Well. Sensors 2025, 25, 6297. [Google Scholar] [CrossRef]
- Zheng, Y.; Chen, Y.; Zhang, Q.; Tang, Q.; Zhu, Y.; Yu, Y.; Du, C.; Ruan, S. High-Sensitivity Temperature Sensor Based on Fiber Fabry-Pérot Interferometer with UV Glue-Filled Hollow Capillary Fiber. Sensors 2023, 23, 7687. [Google Scholar] [CrossRef]
- Marcon, L.; Castaldo, B.; Chiuchiolo, A.; Van Nugteren, J.; Bajas, H.; Kirby, G.; Galtarossa, A.; Bajko, M.; Palmieri, L. Monitoring of a High Temperature Superconducting Magnet by Means of Distributed Optical Fiber Sensing. Opt. Laser Technol. 2025, 192, 113767. [Google Scholar] [CrossRef]
- Li, J.S.; Jia, P.G.; Fang, G.C.; Wang, J.; Qian, J.; Ren, Q.Y.; Xiong, J.J. Batch-Producible All-Silica Fiber-Optic Fabry–Perot Pressure Sensor for High-Temperature Applications up to 800 °C. Sens. Actuators A Phys. 2022, 334, 113363. [Google Scholar] [CrossRef]
- Liao, Y.K.; Liu, J.; Dai, Y.T.; Wang, J.; Wan, S.; Zhang, L.; Wang, H.Y.; Jia, P.G. Temperature-Compensated Fiber-Optic Fabry-Perot Pressure Sensor Based on Sapphire MEMS Technology for High Temperature Environment up to 1500 °C. Opt. Express 2025, 33, 19453–19463. [Google Scholar] [CrossRef] [PubMed]
- Zhang, Y.T.; Jiang, Y.I.; Yang, S.W.; Zhang, D.Y. All-Sapphire Fiber-Optic Sensor for the Simultaneous Measurement of Ultra-High Temperature and High Pressure. Opt. Express 2024, 32, 14826–14836. [Google Scholar] [CrossRef]
- Cao, Y.; Li, G.C.; Li, Z.H.; Chen, J.M.; Zheng, Y.Q.; Zhao, D.Q.; Yang, Y.; Xue, C.Y. Extreme Dual-Parameter Measurement of High Static Pressure and High Acoustic Pressure Based on Fibre-Optic Fabry-Pérot Sensor at 500 °C. Opt. Laser Technol. 2025, 188, 112955. [Google Scholar] [CrossRef]
- Li, H.C.; Liu, J.H.; Sheng, T.Y.; Li, J.; Zhang, D.Y.; Jiang, Y.G. All-SiC Fiber-Optic Sensor for Pressure and Temperature Dual-Mode Sensing in Harsh Environments. Sens. Actuators A Phys. 2024, 373, 115388. [Google Scholar] [CrossRef]
- Feng, D.; Xu, D.; Chen, F.; Chen, Q.; Qiao, X. An FBG Temperature–Pressure Sensor Based on Diaphragm and Special-Shaped Bracket Structure. IEEE Sens. J. 2023, 23, 3589–3596. [Google Scholar] [CrossRef]












| Symbol | Parameter Identity of the Cylinder | Value | Unit |
|---|---|---|---|
| ri | inner radius | 2 | mm |
| ro | outer radius | 2.4 | mm |
| E | Young’s modulus | 200 | GPa |
| μ | Poisson’s ratio | 0.3 | / |
| αv | coefficient of thermal expansion | °C−1 | |
| L | initial effective length | 21 | mm |
| La | Two-point bonding distance of the EFPI-FBG | 11 | mm |
| Reference | Structure | Pressure Sensitivity | Pressure Range | Temperature Sensitivity | Temperature Range |
|---|---|---|---|---|---|
| [25] | Single EFPI | 3.54 μm/MPa | 0–1 MPa | / | 23–800 °C |
| [27] | Double FPI | 1.80 μm/MPa | 0–5 MPa | 3300 pm/°C | 20–1400 °C |
| [30] | Double FBG | 50.6 ×10−6 μm/MPa | 0–40 MPa | 31.4 pm/°C | 50–200 °C |
| This work | EFPI-FBG | 0.171 μm/MPa | 0–20 MPa | 13.5 pm/°C | 25–600 °C |
Disclaimer/Publisher’s Note: The statements, opinions and data contained in all publications are solely those of the individual author(s) and contributor(s) and not of MDPI and/or the editor(s). MDPI and/or the editor(s) disclaim responsibility for any injury to people or property resulting from any ideas, methods, instructions or products referred to in the content. |
© 2026 by the authors. Licensee MDPI, Basel, Switzerland. This article is an open access article distributed under the terms and conditions of the Creative Commons Attribution (CC BY) license.
Share and Cite
Zhang, S.; Liu, Q.; Liu, J.; Guo, J.; Li, R. A Cylindrical High-Temperature-Resistant Fiber-Optic Composite Sensor for Temperature and Pressure Measurement. Sensors 2026, 26, 417. https://doi.org/10.3390/s26020417
Zhang S, Liu Q, Liu J, Guo J, Li R. A Cylindrical High-Temperature-Resistant Fiber-Optic Composite Sensor for Temperature and Pressure Measurement. Sensors. 2026; 26(2):417. https://doi.org/10.3390/s26020417
Chicago/Turabian StyleZhang, Siwei, Quan Liu, Jiaqi Liu, Jiahao Guo, and Ruiya Li. 2026. "A Cylindrical High-Temperature-Resistant Fiber-Optic Composite Sensor for Temperature and Pressure Measurement" Sensors 26, no. 2: 417. https://doi.org/10.3390/s26020417
APA StyleZhang, S., Liu, Q., Liu, J., Guo, J., & Li, R. (2026). A Cylindrical High-Temperature-Resistant Fiber-Optic Composite Sensor for Temperature and Pressure Measurement. Sensors, 26(2), 417. https://doi.org/10.3390/s26020417

