Atrial Fibrillation Detection from At-Rest PPG Signals Using an SDOF-TF Method
Abstract
1. Introduction
2. Materials and Methods
2.1. An SDOF-TF Method for Time-Frequency Analysis
2.1.1. An SDOF Model of MA in a PPG Signal
2.1.2. An SDOF-TF Method
2.2. PPG Signals of AF and Non-AF Subjects and Their Analysis
3. Results
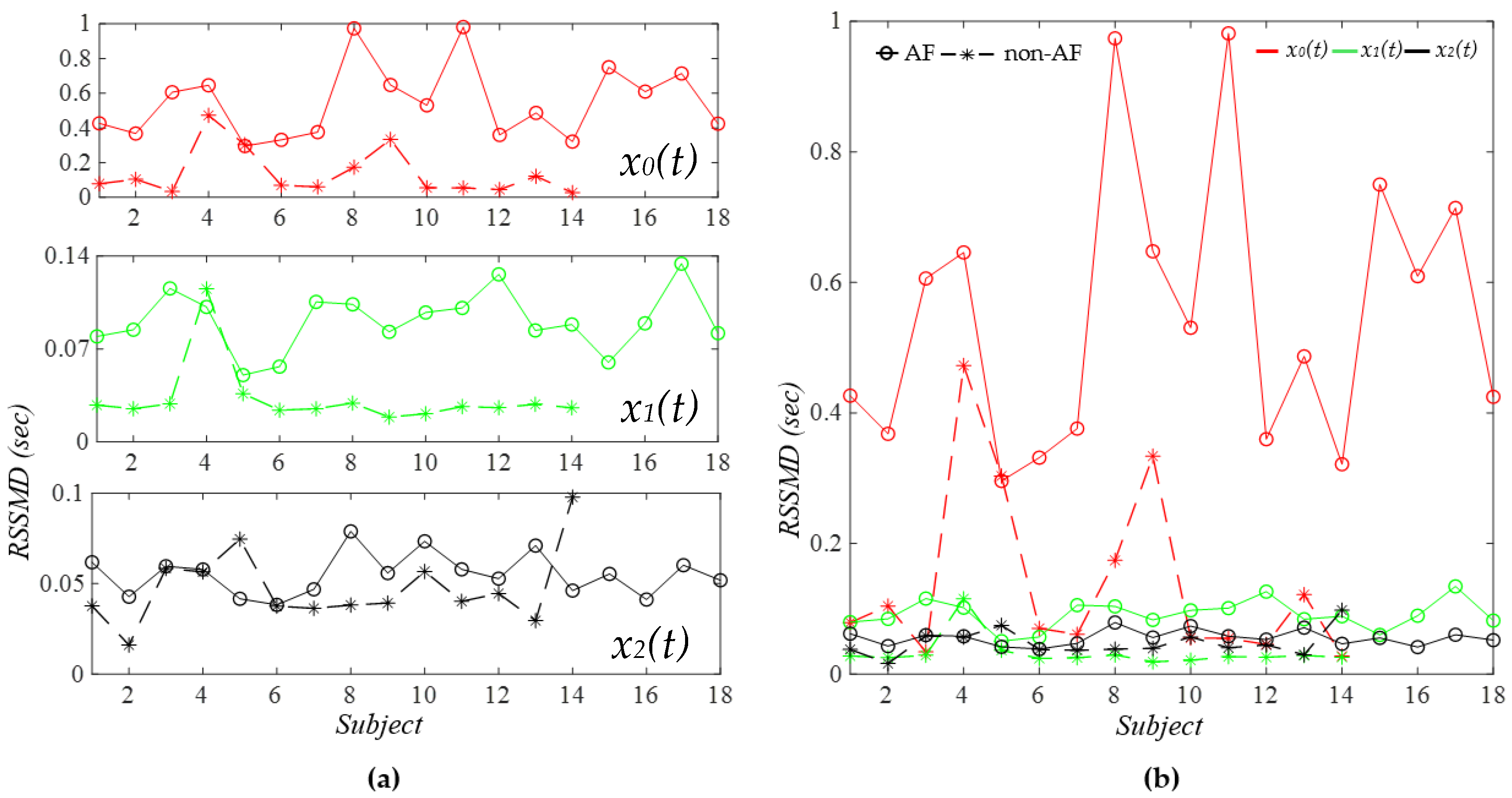
3.1. Examination of MA, Noise, APW, HR, and Respiration Parameters
3.2. Comparison of AF Versus Non−AF Groups’ Extracted Parameters
4. Discussion
4.1. Implications of the Analyzed Results
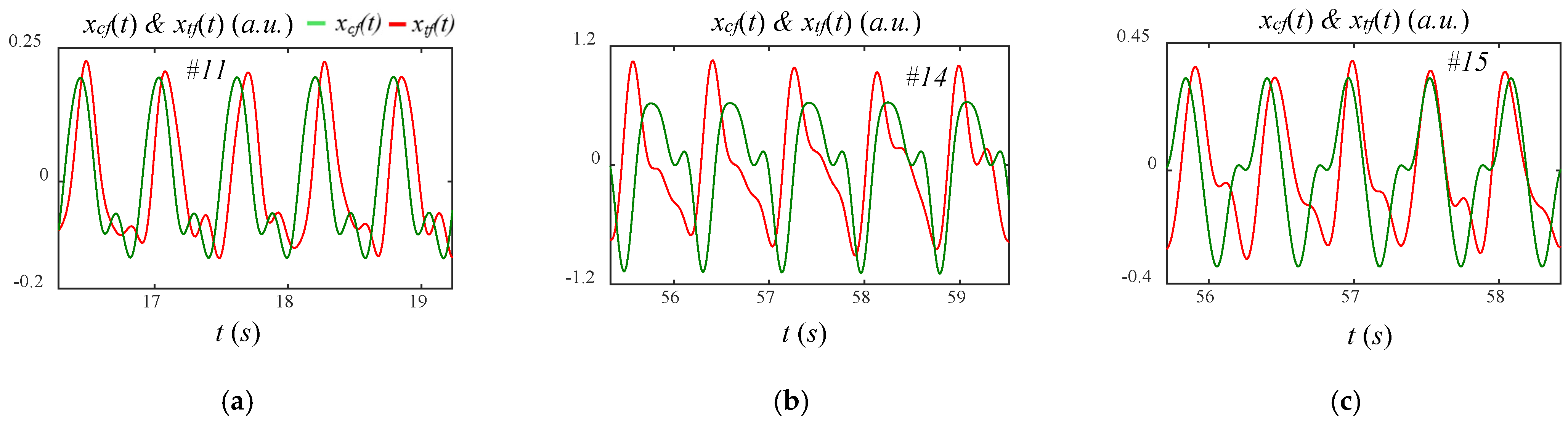
4.1.1. Entangled MA, Noise, and HRV
4.1.2. APW with Time-Varying HR Versus APW with Constant HR
4.1.3. HR and HRV Derived from Instant Frequency and Instant Initial Phase
4.1.4. Identified Indices for AF Detection and Observed Physiological Implications
- (1)
- SD (HR) and SD (HRϕ);
- (2)
- RMSE (HRi) and RMSE (HRϕi) of each harmonic;
- (3)
- mean (Bϕi(t)) of each harmonic.
- (1)
- AF increases RM for each harmonic;
- (2)
- AF disrupts the increasing trend of RM with harmonic order;
- (3)
- Elevated HRV contributes to maintaining the pulse waveform near its normal shape, when AF causes the initial phase of the third harmonic to significantly exceed that of the second harmonic.
4.2. Study Limitations
5. Conclusions
Author Contributions
Funding
Institutional Review Board Statement
Informed Consent Statement
Data Availability Statement
Conflicts of Interest
Abbreviations
| AF | Atrial fibrillation |
| APW | Arterial pulse waveform |
| BD | Baseline drift |
| SDOF | Single-degree-of-freedom |
| TVSPs | Time-varying system parameters |
| MA | Motion artifacts |
| SDOF-TF | Single-degree-of-freedom time–frequency |
| HVD | Hilbert vibration transform |
| PFs | Other physiological factors |
| FFT | Fast Fourier transform |
Appendix A
| (a) AF Subjects | |||||||||||||||||||
|---|---|---|---|---|---|---|---|---|---|---|---|---|---|---|---|---|---|---|---|
| Subject | 1 | 2 | 3 | 4 | 5 | 6 | 7 | 8 | 9 | 10 | 11 | 12 | 13 | 14 | 15 | 16 | 17 | 18 | 19 |
| tstart (s) | 70 | 955 | 5 | 940 | 37 | - | 180 | 198 | 100 | 30 | 185 | 20 | 16 | 5 | 1007 | 510 | 320 | 470 | 180 |
| tend (s) | 150 | 1035 | 85 | 1020 | 117 | - | 260 | 278 | 180 | 110 | 265 | 100 | 96 | 85 | 1087 | 590 | 400 | 550 | 260 |
| (b) Non-AF subjects | |||||||||||||||||||
| Subject | 1 | 2 | 3 | 4 | 5 | 6 | 7 | 8 | 9 | 10 | 11 | 12 | 13 | 14 | 15 | 16 | |||
| tstart (s) | 450 | 945 | 395 | 730 | 180 | 1105 | 132 | 64 | 990 | 595 | 1070 | - | 780 | - | 790 | 740 | |||
| tend (s) | 530 | 1025 | 475 | 810 | 260 | 1185 | 212 | 144 | 1080 | 675 | 1150 | - | 860 | - | 870 | 820 | |||

| Subject | 1 | 2 | 3 | 4 | 5 | 6 | 7 | 8 | 9 | 10 | 11 | 12 | 13 | 14 |
|---|---|---|---|---|---|---|---|---|---|---|---|---|---|---|
| Acf2/Acf1 (a.u.) | 0.3928 | 0.5285 | 0.3820 | 0.4501 | 0.4075 | 0.3591 | 0.6803 | 0.6078 | 0.4994 | 0.4484 | 0.5643 | 0.5284 | 0.5501 | 0.4040 |
| Acf3/Acf1 (a.u.) | 0.2415 | 0.2779 | 0.0861 | 0.1357 | 0.1094 | 0.0645 | 0.3936 | 0.2553 | 0.2606 | 0.1328 | 0.1843 | 0.1572 | 0.1722 | 0.0955 |
| 02 − 01 (rad) | 4.972 | 4.929 | 4.862 | 4.896 | 5.347 | 4.572 | 5.098 | 5.078 | 4.880 | 4.853 | 4.851 | 4.848 | 4.811 | 4.777 |
| 03 − 01 (rad) | 4.156 | 3.325 | 4.405 | 4.215 | 4.175 | 3.135 | 3.511 | 4.072 | 3.454 | 3.980 | 3.871 | 3.599 | 3.566 | 3.346 |
| HR (bpm) | 59.11 | 50.42 | 95.12 | 124.00 | 108.66 | 85.97 | 69.44 | 88.34 | 59.17 | 76.73 | 89.89 | 96.75 | 68.27 | 86.11 |
| SD (HR) | 0.0146 | 0.0033 | 0.0040 | 0.0029 | 0.0038 | 0.0088 | 0.0235 | 0.0082 | 0.0020 | 0.0048 | 0.0061 | 0.0054 | 0.0010 | 0.0011 |
| HRϕ (bpm) | 58.90 | 49.27 | 95.15 | 122.75 | 108.90 | 86.44 | 68.33 | 88.64 | 59.02 | 76.59 | 89.71 | 96.47 | 68.02 | 86.23 |
| SD (HRϕ) | 0.0082 | 0.0045 | 0.0025 | 0.0032 | 0.0035 | 0.0107 | 0.0063 | 0.0066 | 0.0081 | 0.0038 | 0.0078 | 0.0014 | 0.0267 | 0.0049 |
| RMSE (HR1) | 1.519 | 1.435 | 0.471 | 0.992 | 0.912 | 0.944 | 1.851 | 1.951 | 0.333 | 0.770 | 1.240 | 0.621 | 0.714 | 0.716 |
| RMSE (HR2) | 1.405 | 1.421 | 0.473 | 0.986 | 0.916 | 0.964 | 1.827 | 1.934 | 0.333 | 0.775 | 1.246 | 0.594 | 0.584 | 0.724 |
| RMSE (HR3) | 1.349 | 1.413 | 0.480 | 1.002 | 0.927 | 0.974 | 1.823 | 1.927 | 0.336 | 0.773 | 1.254 | 0.627 | 0.600 | 0.719 |
| RMSE (HRf1) | 1.384 | 1.062 | 0.050 | 0.447 | 0.206 | 1.055 | 0.645 | 0.567 | 0.296 | 0.242 | 0.471 | 0.373 | 0.597 | 0.140 |
| RMSE (HRf2) | 1.157 | 0.923 | 0.071 | 0.446 | 0.167 | 1.024 | 0.584 | 0.562 | 0.313 | 0.161 | 0.496 | 0.364 | 0.224 | 0.155 |
| RMSE (HRf3) | 1.075 | 0.875 | 0.099 | 0.473 | 0.317 | 0.875 | 0.656 | 0.556 | 0.337 | 0.247 | 0.539 | 0.554 | 0.266 | 0.121 |
| RMSSD (x0(t)) (sec) | 0.0788 | 0.1041 | 0.0340 | 0.4728 | 0.3034 | 0.0699 | 0.0607 | 0.1741 | 0.3338 | 0.0553 | 0.0546 | 0.0453 | 0.1216 | 0.0274 |
| RMSSD (x1(t)) (sec) | 0.0276 | 0.0250 | 0.0287 | 0.1152 | 0.0363 | 0.0238 | 0.0249 | 0.0292 | 0.0186 | 0.0212 | 0.0265 | 0.0257 | 0.0283 | 0.0257 |
| RMSSD (x2(t)) (sec) | 0.0376 | 0.0160 | 0.0584 | 0.0564 | 0.0746 | 0.0375 | 0.0363 | 0.0381 | 0.0392 | 0.0567 | 0.0402 | 0.0445 | 0.0295 | 0.0978 |
| RR(f1(t)) (bpm) | 12.564 | 14.936 | 6.963 | 10.818 | 11.229 | 12.876 | 11.447 | 9.731 | 14.130 | 7.591 | 9.621 | 11.505 | 12.325 | 8.485 |
| RR(f2(t)) (bpm) | 12.586 | 14.875 | 9.737 | 12.062 | 9.711 | 11.578 | 11.393 | 9.659 | 12.322 | 8.809 | 7.909 | 11.705 | 9.385 | 10.279 |
| RR(f3(t)) (bpm) | 12.580 | 14.983 | 9.778 | 12.044 | 9.784 | 11.652 | 11.377 | 9.739 | 12.259 | 8.502 | 7.910 | 12.940 | 10.619 | 6.664 |
| RR(ϕ01(t)) (bpm) | 12.579 | 14.791 | 12.154 | 13.063 | 12.748 | 12.662 | 13.623 | 13.386 | 14.221 | 12.503 | 13.019 | 13.130 | 12.451 | 13.229 |
| RR(ϕ02(t)) (bpm) | 12.542 | 14.792 | 12.523 | 12.861 | 11.242 | 12.614 | 13.543 | 13.495 | 14.077 | 12.588 | 13.005 | 12.770 | 12.630 | 11.920 |
| RR(ϕ03(t)) (bpm) | 12.470 | 14.797 | 12.272 | 12.654 | 11.395 | 12.687 | 11.812 | 13.450 | 14.162 | 12.488 | 13.041 | 13.352 | 12.558 | 13.369 |
| Bϕ1 (a.u.) | 0.0317 | 0.0247 | 0.0011 | 0.0099 | 0.0045 | 0.0239 | 0.0144 | 0.0120 | 0.0068 | 0.0053 | 0.0106 | 0.0087 | 0.0138 | 0.0032 |
| Bϕ2 (a.u.) | 0.0518 | 0.0427 | 0.0031 | 0.0180 | 0.0068 | 0.0466 | 0.0252 | 0.0221 | 0.0142 | 0.0074 | 0.0219 | 0.0170 | 0.0088 | 0.0070 |
| Bϕ3 (a.u.) | 0.0712 | 0.0610 | 0.0064 | 0.0301 | 0.0215 | 0.0608 | 0.0444 | 0.0348 | 0.0226 | 0.0155 | 0.0356 | 0.0379 | 0.0168 | 0.0081 |
| Subject | 1 | 2 | 3 | 4 | 5 | 6 | 7 | 8 | 9 | 10 | 11 | 12 | 13 | 14 | 15 | 16 | 17 | 18 |
|---|---|---|---|---|---|---|---|---|---|---|---|---|---|---|---|---|---|---|
| Acf2/Acf1 (a.u.) | 0.3447 | 0.3903 | 0.4647 | 0.7498 | 0.3704 | 0.4152 | 0.2976 | 0.2935 | 0.3408 | 0.3374 | 0.5247 | 0.6052 | 0.4193 | 0.5742 | 0.4380 | 0.5186 | 0.3448 | 0.5004 |
| Acf3/Acf1 (a.u.) | 0.1225 | 0.2027 | 0.1635 | 0.3104 | 0.1212 | 0.1425 | 0.1062 | 0.0841 | 0.1382 | 0.0969 | 0.1395 | 0.2956 | 0.1616 | 0.2378 | 0.1108 | 0.1595 | 0.1144 | 0.3475 |
| 02 − 01 (rad) | 4.940 | 2.245 | 4.934 | 0.462 | 4.550 | 4.810 | 5.114 | 5.031 | 4.132 | 6.032 | 4.300 | 4.888 | 5.308 | 5.575 | 1.138 | 4.711 | 4.675 | 3.929 |
| 03 − 01 (rad) | 1.508 | 5.788 | 4.311 | 2.688 | 3.074 | 3.908 | 3.450 | 5.283 | 0.518 | 3.653 | 5.570 | 5.045 | 3.803 | 6.114 | 5.566 | 3.147 | 2.292 | 0.805 |
| HR (bpm) | 94.34 | 66.51 | 91.15 | 85.70 | 64.51 | 75.14 | 82.65 | 118.35 | 92.18 | 91.84 | 101.28 | 72.75 | 87.99 | 73.77 | 105.53 | 90.45 | 106.65 | 77.93 |
| SD (HR) | 3.513 | 1.725 | 4.728 | 7.706 | 0.528 | 1.527 | 0.231 | 6.017 | 2.506 | 2.023 | 2.122 | 2.566 | 2.000 | 2.534 | 3.530 | 4.158 | 7.090 | 2.307 |
| HRϕ (bpm) | 95.08 | 65.43 | 90.92 | 84.11 | 63.94 | 74.60 | 81.79 | 120.17 | 93.13 | 92.65 | 102.09 | 69.00 | 89.13 | 72.50 | 107.11 | 91.82 | 104.31 | 76.44 |
| SD (HRϕ) | 0.0373 | 0.1053 | 1.0546 | 0.3826 | 0.0861 | 0.1494 | 0.1642 | 0.1600 | 0.1016 | 0.0528 | 0.3774 | 0.0933 | 0.1506 | 0.1035 | 0.1085 | 0.4708 | 0.2989 | 0.1301 |
| RMSE (HR1) | 9.702 | 7.735 | 10.256 | 13.616 | 4.631 | 5.585 | 4.245 | 11.233 | 11.148 | 10.107 | 6.948 | 10.666 | 6.864 | 11.092 | 7.165 | 10.912 | 12.010 | 6.824 |
| RMSE (HR2) | 5.242 | 7.105 | 7.258 | 5.982 | 4.529 | 4.344 | 4.203 | 10.162 | 9.710 | 8.122 | 6.840 | 4.602 | 5.813 | 4.714 | 6.463 | 5.780 | 7.274 | 6.122 |
| RMSE (HR3) | 3.470 | 5.052 | 5.161 | 5.339 | 3.345 | 4.051 | 3.885 | 6.607 | 6.227 | 4.438 | 5.935 | 4.185 | 4.472 | 3.670 | 5.110 | 4.380 | 4.926 | 4.922 |
| RMSE (HRf1) | 7.131 | 3.552 | 16.365 | 13.729 | 2.487 | 2.541 | 2.145 | 9.596 | 6.549 | 6.400 | 4.770 | 7.355 | 8.446 | 6.745 | 3.306 | 7.271 | 10.156 | 3.964 |
| RMSE (HRf2) | 7.723 | 2.602 | 5.926 | 7.354 | 1.708 | 4.446 | 4.663 | 9.511 | 8.290 | 4.954 | 5.758 | 3.722 | 7.774 | 1.781 | 3.557 | 2.288 | 9.309 | 2.965 |
| RMSE (HRf3) | 3.835 | 1.598 | 4.969 | 4.609 | 1.686 | 2.408 | 5.504 | 5.781 | 2.914 | 8.413 | 3.461 | 3.224 | 4.484 | 3.597 | 2.870 | 4.640 | 4.654 | 2.038 |
| RMSSD (x0(t)) (sec) | 0.4265 | 0.3680 | 0.6061 | 0.6460 | 0.2958 | 0.3315 | 0.3761 | 0.9740 | 0.6476 | 0.5305 | 0.9817 | 0.3598 | 0.4867 | 0.3214 | 0.7500 | 0.6096 | 0.7140 | 0.4247 |
| RMSSD (x1(t)) (sec) | 0.0794 | 0.0845 | 0.1156 | 0.1017 | 0.0503 | 0.0567 | 0.1055 | 0.1036 | 0.0829 | 0.0975 | 0.1009 | 0.1262 | 0.0839 | 0.0884 | 0.0599 | 0.0893 | 0.1343 | 0.0819 |
| RMSSD (x2(t)) (sec) | 0.0618 | 0.0427 | 0.0596 | 0.0578 | 0.0416 | 0.0383 | 0.0468 | 0.0789 | 0.0558 | 0.0734 | 0.0579 | 0.0527 | 0.0710 | 0.0461 | 0.0553 | 0.0412 | 0.0602 | 0.0518 |
| RR(f1(t)) (bpm) | 9.381 | 11.893 | 11.725 | 11.084 | 10.466 | 9.278 | 8.809 | 10.074 | 10.593 | 10.034 | 9.796 | 9.629 | 12.378 | 8.347 | 7.122 | 9.294 | 10.428 | 9.563 |
| RR(f2(t)) (bpm) | 10.529 | 7.975 | 12.044 | 8.612 | 9.051 | 9.494 | 10.166 | 9.893 | 8.314 | 7.812 | 8.147 | 10.950 | 11.095 | 10.381 | 10.400 | 8.021 | 11.919 | 9.472 |
| RR(f3(t)) (bpm) | 10.377 | 8.762 | 11.065 | 8.105 | 11.381 | 9.829 | 10.534 | 10.788 | 9.316 | 9.829 | 9.499 | 10.934 | 10.737 | 10.657 | 10.127 | 9.010 | 9.335 | 10.516 |
| RR(ϕ01(t)) (bpm) | 12.365 | 11.647 | 8.791 | 9.762 | 14.032 | 12.963 | 13.909 | 8.806 | 13.459 | 11.748 | 11.538 | 13.460 | 14.516 | 12.389 | 10.486 | 10.704 | 13.186 | 12.870 |
| RR(ϕ02(t)) (bpm) | 12.451 | 12.739 | 11.758 | 9.493 | 13.714 | 12.568 | 11.714 | 8.276 | 10.055 | 12.178 | 11.119 | 13.351 | 9.617 | 14.296 | 11.741 | 12.675 | 10.706 | 12.154 |
| RR(ϕ03(t)) (bpm) | 11.180 | 11.160 | 12.944 | 11.176 | 12.577 | 13.171 | 11.060 | 12.079 | 9.919 | 11.731 | 13.020 | 12.143 | 12.456 | 13.229 | 9.974 | 10.805 | 12.245 | 11.447 |
| Bϕ1 (a.u.) | 0.1409 | 0.0830 | 0.3503 | 0.3040 | 0.0496 | 0.0575 | 0.0462 | 0.1792 | 0.1487 | 0.1337 | 0.1018 | 0.1594 | 0.1713 | 0.1471 | 0.0726 | 0.1678 | 0.2290 | 0.0704 |
| Bϕ2 (a.u.) | 0.3191 | 0.1161 | 0.2529 | 0.3098 | 0.0741 | 0.1750 | 0.2036 | 0.3699 | 0.3689 | 0.2100 | 0.2401 | 0.1604 | 0.3339 | 0.0800 | 0.1350 | 0.1011 | 0.4138 | 0.1358 |
| Bϕ3 (a.u.) | 0.2443 | 0.1002 | 0.3375 | 0.2894 | 0.0941 | 0.1603 | 0.3487 | 0.3563 | 0.2057 | 0.5015 | 0.2369 | 0.2126 | 0.2702 | 0.2141 | 0.1975 | 0.2676 | 0.3029 | 0.1263 |
| AF Group | Non-AF Group | |||||||
|---|---|---|---|---|---|---|---|---|
| Extracted Parameters | Mean | Median | SD | Range | Mean | Median | SD | Range |
| Acf2/Acf1 (a.u.) | 0.441 | 0.417 | 0.121 | 0.293–0.750 | 0.486 | 0.475 | 0.095 | 0.359–0.680 |
| Acf3/Acf1 (a.u.) | 0.170 | 0.141 | 0.078 | 0.084–0.348 | 0.183 | 0.165 | 0.092 | 0.064–0.394 |
| 02 − 01 (rad) | 4.265 | 4.761 | 1.490 | 0.462–6.032 | 4.912 | 4.871 | 0.179 | 4.572–5.347 |
| 03 − 01 (rad) | 3.696 | 3.728 | 1.698 | 0.518–6.114 | 3.772 | 3.735 | 0.400 | 3.135–4.405 |
| HR (bpm) | 87.707 | 89.217 | 14.529 | 64.51–118.35 | 82.713 | 86.040 | 20.398 | 50.42–124.00 |
| SD(HR) | 3.156 | 2.520 | 2.084 | 0.231–7.706 | 0.006 | 0.004 | 0.006 | 0.001–0.024 |
| HRϕ (bpm) | 87.456 | 90.026 | 15.412 | 63.94–120.17 | 82.458 | 86.330 | 20.473 | 49.27–122.75 |
| SD(HRϕ) | 0.224 | 0.140 | 0.241 | 0.037–1.055 | 0.007 | 0.006 | 0.006 | 0.001–0.027 |
| RMSE (HR1) | 8.930 | 9.905 | 2.720 | 4.245–13.616 | 1.033 | 0.928 | 0.498 | 0.333–1.951 |
| RMSE (HR2) | 6.348 | 6.052 | 1.735 | 4.203–10.162 | 1.013 | 0.940 | 0.492 | 0.333–1.934 |
| RMSE (HR3) | 4.732 | 4.697 | 0.923 | 3.345–6.607 | 1.015 | 0.951 | 0.483 | 0.336–1.927 |
| RMSE (HRf1) | 6.806 | 6.647 | 3.877 | 2.145–16.365 | 0.538 | 0.459 | 0.389 | 0.050–1.384 |
| RMSE (HRf2) | 5.241 | 4.809 | 2.582 | 1.708–9.511 | 0.475 | 0.405 | 0.345 | 0.071–1.157 |
| RMSE (HRf3) | 3.927 | 3.716 | 1.685 | 1.598–8.413 | 0.499 | 0.506 | 0.295 | 0.099–1.075 |
| RMSSD (x0(t)) (sec) | 0.547 | 0.509 | 0.211 | 0.296–0.982 | 0.138 | 0.074 | 0.136 | 0.027–0.473 |
| RMSSD (x1(t)) (sec) | 0.091 | 0.089 | 0.022 | 0.050–0.134 | 0.033 | 0.026 | 0.024 | 0.019–0.115 |
| RMSSD (x2(t)) (sec) | 0.055 | 0.056 | 0.011 | 0.038–0.079 | 0.047 | 0.040 | 0.020 | 0.016–0.098 |
| RR(f1(t)) (bpm) | 9.994 | 9.915 | 1.291 | 7.122–12.378 | 11.016 | 11.338 | 2.342 | 6.963–14.936 |
| RR(f2(t)) (bpm) | 9.682 | 9.694 | 1.355 | 7.812–12.044 | 10.858 | 10.836 | 1.832 | 7.909–14.875 |
| RR(f3(t)) (bpm) | 10.045 | 10.252 | 0.891 | 8.105–11.381 | 10.774 | 10.998 | 2.218 | 6.664–14.983 |
| RR(ϕ01(t)) (bpm) | 12.035 | 12.377 | 1.742 | 8.791–14.516 | 13.111 | 13.041 | 0.721 | 12.154–14.791 |
| RR(ϕ02(t)) (bpm) | 11.700 | 11.956 | 1.577 | 8.276–14.296 | 12.900 | 12.700 | 0.877 | 11.242–14.792 |
| RR(ϕ03(t)) (bpm) | 11.795 | 11.905 | 1.025 | 9.919–13.229 | 12.893 | 12.670 | 0.893 | 11.395–14.797 |
| Bϕ1 (a.u.) | 0.145 | 0.144 | 0.084 | 0.046–0.350 | 0.012 | 0.010 | 0.009 | 0.001–0.032 |
| Bϕ2 (a.u.) | 0.222 | 0.207 | 0.109 | 0.074–0.414 | 0.021 | 0.018 | 0.016 | 0.003–0.052 |
| Bϕ3 (a.u.) | 0.248 | 0.241 | 0.101 | 0.094–0.502 | 0.033 | 0.032 | 0.020 | 0.006–0.071 |

References
- Aschbacher, K.; Yilmaz, D.; Kerem, Y.; Crawford, S.; Benaron, D.; Liu, J.; Eaton, M.; Tison, G.H.; Olgin, J.E.; Li, Y.; et al. Atrial fibrillation detection from raw photoplethysmography waveforms: A deep learning application. Heart Rhythm O2 2020, 1, 3–9. [Google Scholar] [CrossRef] [PubMed]
- Bashar, S.K.; Han, D.; Hajeb-Mohammadalipour, S.; Ding, E.; Whitcomb, C.; McManus, D.D.; Chon, K.H. Atrial Fibrillation Detection from Wrist Photoplethysmography Signals Using Smartwatches. Sci. Rep. 2019, 9, 15054. [Google Scholar] [CrossRef] [PubMed]
- Yin, Z.; Liu, C.; Xie, C.; Nie, Z.; Wei, J.; Zhang, W.; Liang, H. Identification of Atrial Fibrillation Using Heart Rate Variability: A Meta-Analysis. Front. Cardiovasc. Med. 2025, 12, 1581683. [Google Scholar] [CrossRef] [PubMed]
- Park, J.; Seok, H.S.; Kim, S.S.; Shin, H. Photoplethysmogram Analysis and Applications: An Integrative Review. Front. Physiol. 2022, 12, 808451. [Google Scholar] [CrossRef]
- Pereira, T.; Tran, N.; Gadhoumi, K.; Pelter, M.M.; Do, D.H.; Lee, R.J.; Colorado, R.; Meisel, K.; Hu, X. Photoplethysmography-Based Atrial Fibrillation Detection: A Review. npj Digit. Med. 2020, 3, 3. [Google Scholar] [CrossRef]
- Lee, Y.; Lee, S.; Kim, S.K.; Yon, D.K.; Nam, Y.; Lee, J. Cooperative PPG/ECG Wearable System for Atrial Fibrillation Diagnosis. IEEE Sen. J. 2025, 25, 7331–7344. [Google Scholar] [CrossRef]
- Charlton, P.H.; Kotzen, K.; Mejía-Mejía, E.; Aston, P.J.; Budidha, K.; Mant, J.; Pettit, C.; Behar, J.A.; Kyriacou, P.A. Detecting Beats in the Photoplethysmogram: Benchmarking Open-Source Algorithms. Physiol. Meas. 2022, 43, 085007. [Google Scholar] [CrossRef]
- Pedrosa-Rodriguez, A.; Camara, C.; Peris-Lopez, P. Leveraging IoT Devices for Atrial Fibrillation Detection: A Comprehensive Study of AI Techniques (99%). Appl. Sci. 2024, 14, 8945. [Google Scholar] [CrossRef]
- Pachori, D.; Tripathy, R.K.; Jain, T.K. Detection of Atrial Fibrillation from PPG Sensor Data Using Variational Mode Decomposition. IEEE Sens. Lett. 2024, 8, 1–4. [Google Scholar] [CrossRef]
- Bashar, S.K.; Ding, E.; Albuquerque, D.; Winter, M.; Binici, S.; Walkey, A.J.; McManus, D.D.; Chon, K.H. Atrial Fibrillation Detection in ICU Patients: A Pilot Study on MIMIC III Data. In Proceedings of the 2019 41st Annual International Conference of the IEEE Engineering in Medicine and Biology Society (EMBC), Berlin, Germany, 23–27 July 2019; pp. 298–301. [Google Scholar] [CrossRef]
- Mathivani, H.; Niranjana, V.; Vaishali, B.; Jayanthi, T. AI-Based Atrial Fibrillation Detection Using Pulse Rate Variability from PPG: A Comparative Study with HRV. In Proceedings of the 2025 International Conference on Artificial Intelligence and Data Engineering (AIDE), Nitte, India, 6–7 February 2025; pp. 262–266. [Google Scholar]
- Davies, H.J.; Monsen, J.; Mandic, D.P. Interpretable Pre-Trained Transformers for Heart Time-Series Data. In Proceedings of the International Conference on Learning Representations (ICLR), Vienna, Austria, 7–11 May 2024. [Google Scholar]
- Aldughayfiq, B.; Ashfaq, F.; Jhanjhi, N.Z.; Humayun, M. A Deep Learning Approach for Atrial Fibrillation Classification Using Multi-Feature Time Series Data from ECG and PPG. Diagnostics 2023, 13, 2442. [Google Scholar] [CrossRef]
- Zhang, Z.; Pi, Z.; Liu, B. TROIKA: A General Framework for Heart Rate Monitoring Using Wrist-Type Photoplethysmographic Signals During Intensive Physical Exercise. IEEE Trans. Biomed. Eng. 2015, 62, 522–531. [Google Scholar] [CrossRef]
- Obi, A.I. An Overview of Wearable Photoplethysmographic Sensors and Various Algorithms for Tracking of Heart Rates. Eng. Proc. 2021, 10, 77. [Google Scholar] [CrossRef]
- Pollreisz, D.; Taherinejad, N. Detection and Removal of Motion Artifacts in PPG Signals. Mob. Netw. Appl. 2022, 27, 728–738. [Google Scholar] [CrossRef]
- Ismail, S.; Akram, U.; Siddiqi, I. Heart rate tracking in photoplethysmography signals affected by motion artifacts: A review. EURASIP J. Adv. Signal Process. 2021, 2021, 5. [Google Scholar] [CrossRef]
- Seok, D.; Lee, S.; Kim, M.; Cho, J.; Kim, C. Motion Artifact Removal Techniques for Wearable EEG and PPG Sensor Systems. Front. Electron. 2021, 2, 685513. [Google Scholar] [CrossRef]
- Blok, S.; Piek, M.A.; Tulevski, I.I.; Somsen, G.A.; Winter, M.M. The accuracy of heartbeat detection using photoplethysmography technology in cardiac patients. J. Electrocardiol. 2021, 67, 148–157. [Google Scholar] [CrossRef]
- Gruwez, H.; Ezzat, D.; Van Puyvelde, T.; Dhont, S.; Meekers, E.; Bruckers, L.; Wouters, F.; Kellens, M.; Van Herendael, H.; Rivero-Ayerza, M.; et al. Real-world validation of smartphone-based photoplethysmography for rate and rhythm monitoring in atrial fibrillation. EP Eur. 2024, 26, euae065. [Google Scholar] [CrossRef] [PubMed]
- Charlton, P.H. MIMIC PERform Datasets (1.01) [Data Set]. Zenodo. 2022. Available online: https://zenodo.org/records/6807403 (accessed on 22 September 2025).
- Kraft, D.; Rumm, P. Atrial Fibrillation and Atrial Flutter Detection Using Deep Learning. Sensors 2025, 25, 4109. [Google Scholar] [CrossRef]
- Neha; Sardana, H.K.; Kanawade, R.; Dogra, N. Photoplethysmograph-Based Arrhythmia Detection Using Morphological Features. Biomed. Signal Process. Control 2023, 81, 104422. [Google Scholar] [CrossRef]
- Chen, W.; Yi, Z.; Lim, L.J.R.; Lim, R.Q.R.; Zhang, A.; Qian, Z.; Huang, J.; He, J.; Liu, B. Deep Learning and Remote Photoplethysmography Powered Advancements in Contactless Physiological Measurement. Front. Bioeng. Biotechnol. 2024, 12, 1420100. [Google Scholar] [CrossRef]
- Hao, Z. Motion Artifacts Removal from Measured Arterial Pulse Signals at Rest: A Generalized SDOF-Model-Based Time–Frequency Method. Sensors 2025, 25, 6808. [Google Scholar] [CrossRef]
- Hao, Z. A 2-DOF Model of the Artery-Sensor System for Interpreting Variability in Measured Arterial Pulse Waveform. IEEE Sens. J. 2023, 23, 22668–22678. [Google Scholar] [CrossRef]
- Rahman, M.M.; Toraskar, S.; Hasan, M.; Hao, Z. An Analytical Model of Motion Artifacts in a Measured Arterial Pulse Signal—Part I: Accelerometers and PPG Sensors. Sensors 2025, 25, 5710. [Google Scholar] [CrossRef]
- Rahman, M.M.; Hasan, M.; Hao, Z. Motion Artifacts (MA) At-Rest in Measured Arterial Pulse Signals: Time-Varying Amplitude in Each Harmonic and Non-Flat Harmonic-MA-Coupled Baseline. Biosensors 2025, 15, 578. [Google Scholar] [CrossRef] [PubMed]
- Hao, Z. Harmonics of Pulsatile Pressure at Different Ages and Its Effect on Other Pulsatile Parameters and Waveform-Based Clinical Indices. J. Eng. Sci. Med. Diagn. Ther. 2024, 7, 011001. [Google Scholar] [CrossRef]
- Chen, Z.; Brown, E.N.; Barbieri, R. Assessment of autonomic control and respiratory sinus arrhythmia using point process models of human heart beat dynamics. IEEE Trans. Biomed. Eng. 2009, 56, 1791–1802. [Google Scholar] [CrossRef]
- Toraskar, S.; Rahman, M.M.; Hao, Z. Pulse measurement alters the true pulse signal in an artery: A coupled string-SDOF model. ASME J. Med. Diagn. 2026, 9, 011207. [Google Scholar] [CrossRef]















Disclaimer/Publisher’s Note: The statements, opinions and data contained in all publications are solely those of the individual author(s) and contributor(s) and not of MDPI and/or the editor(s). MDPI and/or the editor(s) disclaim responsibility for any injury to people or property resulting from any ideas, methods, instructions or products referred to in the content. |
© 2026 by the authors. Licensee MDPI, Basel, Switzerland. This article is an open access article distributed under the terms and conditions of the Creative Commons Attribution (CC BY) license.
Share and Cite
Hasan, M.; Hao, Z. Atrial Fibrillation Detection from At-Rest PPG Signals Using an SDOF-TF Method. Sensors 2026, 26, 416. https://doi.org/10.3390/s26020416
Hasan M, Hao Z. Atrial Fibrillation Detection from At-Rest PPG Signals Using an SDOF-TF Method. Sensors. 2026; 26(2):416. https://doi.org/10.3390/s26020416
Chicago/Turabian StyleHasan, Mamun, and Zhili Hao. 2026. "Atrial Fibrillation Detection from At-Rest PPG Signals Using an SDOF-TF Method" Sensors 26, no. 2: 416. https://doi.org/10.3390/s26020416
APA StyleHasan, M., & Hao, Z. (2026). Atrial Fibrillation Detection from At-Rest PPG Signals Using an SDOF-TF Method. Sensors, 26(2), 416. https://doi.org/10.3390/s26020416

