Condition Monitoring System for Planetary Journal Bearings in Wind Turbines Based on Surface Acoustic Wave Measurements—Validation on a System Level
Abstract
1. Introduction
2. Design of the Tested Gearbox and Test Setup
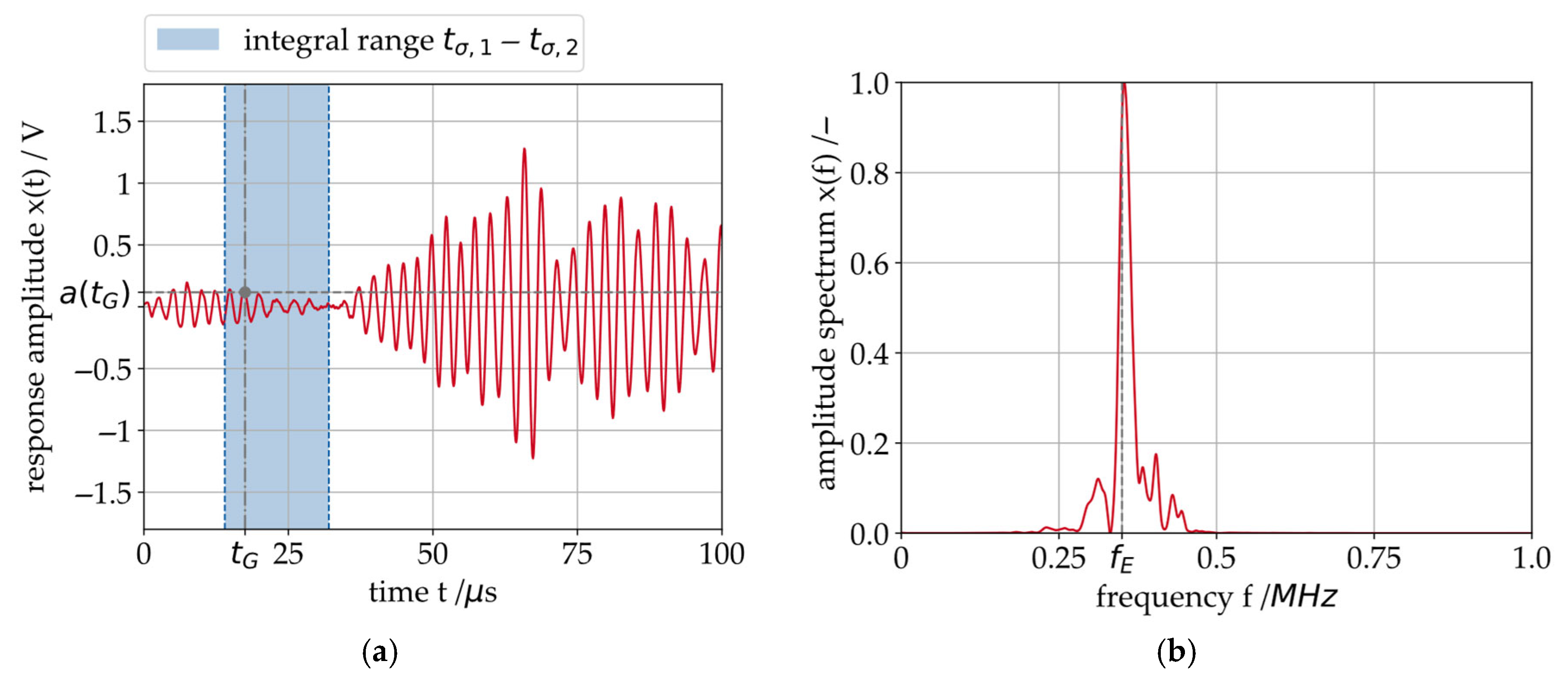
3. Surface Acoustic Wave Measurement Method
4. Results
4.1. Running-In and Identification of Sensitive Signal Features
4.2. SAW Signal Behavior During Oil Supply Outage
4.3. Machine Learning-Based Friction State Prediction and Mixed Friction Detection
5. Conclusions and Outlook
Author Contributions
Funding
Institutional Review Board Statement
Informed Consent Statement
Data Availability Statement
Conflicts of Interest
Abbreviations
| AE | Acoustic emission |
| CMS | Condition monitoring system |
| EHD | Elasto-hydrodynamics |
| DE | Drive end |
| DUT | Device under tests |
| ML | Machine learning |
| MLP | Multi-layer perceptron |
| NDE | Non-drive end |
| PJB | Planetary journal bearings |
| SAW | Surface acoustic waves |
| TFM | Temperature field measurement |
| WT | Wind turbine |
References
- Chen, Q.; Zhang, K.; Zhang, Y.; Ding, Q.; Zhu, Y.; Feng, K. Full-Size Experimental Investigations on Planetary Gear Journal Bearings in High-Power Wind Turbines. J. Tribol. 2025, 147, 3. [Google Scholar] [CrossRef]
- Thys, T.; Smet, W. Selective assembly of planetary gear stages to improve load sharing. Forsch. Ingenieurwes. 2023, 87, 275–283. [Google Scholar] [CrossRef]
- Meyer, T. Validation of journal bearings for use in wind turbine gearboxes. inFOCUS: WINDPOWER, 13 May 2015. Available online: https://www.windsystemsmag.com/validation-of-journal-bearings-for-use-in-wind-turbine-gearboxes/ (accessed on 29 August 2025).
- Guthrie, D. Journal Bearings in Wind-view from a turbine OEM. In Proceedings of the NREL DRC Conference, Golden, Colorado, 12 March 2024. [Google Scholar]
- Marheineke, J.; Kiefel, A.; Jacobs, G.; Broeckmann, C. Betriebspunktabhängige Qualifizierung und Auswahl von Gleitlagerwerkstoffen (Werkstoffqualifizierung). Abschlussbericht FVA 880 I. 2025. Available online: https://fva-net.de/aktuelles/detail/werkstoffqualifizierung-gleitlager-836 (accessed on 29 August 2025).
- Boucherit, H.; Bou-Saïd, B.; Lahmar, M. The effect solid particle lubricant contamination on the dynamic behavior of compliant journal bearings. Lubr. Sci. 2017, 29, 425–439. [Google Scholar] [CrossRef]
- Peeters, C.; Guillaume, P.; Helsen, J. Vibration-based bearing fault detection on experimental wind turbine gearbox data. In Proceedings of the European Conference of the Prognostics and Health Management Society 2016, Bilbao, Spain, 5–8 July 2016. [Google Scholar]
- Tchakoua, P.; Wamkeue, R.; Ouhrouche, M.; Slaoui-Hasnaoui, F.; Tameghe, T.; Ekemb, G. Wind Turbine Condition Monitoring: State-of-the-Art Review, New Trends, and Future Challenges. Energies 2014, 7, 2595–2630. [Google Scholar] [CrossRef]
- Feng, Y.; Qiu, Y.; Crabtree, C.J.; Long, H.; Tavner, P.J. Monitoring wind turbine gearboxes. Wind Energy 2013, 16, 728–740. [Google Scholar] [CrossRef]
- Mokhtari, N.; Gühmann, C. Classification of journal bearing friction states based on acoustic emission signals. tm Tech. Mess. 2018, 85, 434–442. [Google Scholar] [CrossRef]
- Hase, A. Acoustic Emissions during Tribological Processes. In Proceedings of the International Tribology Conference, Tokyo, Japan, 16–20 September 2015. [Google Scholar]
- Sadegh, H.; Mehdi, A.N.; Mehdi, A. Classification of acoustic emission signals generated from journal bearing at different lubrication conditions based on wavelet analysis in combination with artificial neural network and genetic algorithm. Tribol. Int. 2016, 95, 426–434. [Google Scholar] [CrossRef]
- Decker, T.; Jacobs, G.; Paridon, C.; Röder, J. Condition monitoring for planetary journal bearings in wind turbine gearboxes by means of acoustic measurements and machine learning. Tribol. und Schmier 2024, 71, 2. [Google Scholar] [CrossRef]
- Baszenski, T.; Kauth, K.; Kratz, K.-H.; Gutiérrez Guzmán, F.; Jacobs, G.; Gemmeke, T. Sensor integrating plain bearings: Design of an energy-autonomous, temperature-based condition monitoring system. Forsch. Ingenieurwes. 2023, 87, 441–452. [Google Scholar] [CrossRef]
- Lindner, G.; Brückner, C.; Schmitt, M. Online Bearing Lubricant Sensing by Mode Conversion of Surface Acoustic Waves. In Proceedings of the SENSOR+TEST Conferences 2011, Nürnberg, Germany, 7–9 June 2011. [Google Scholar]
- Chmelar, J.; Petr, K.; Mossoczy, P.; Dynybyl, V. Experimental study of lubrication film monitoring in a roller bearing by utilization of surface acoustic waves. Tribol. Int. 2020, 141, 105908. [Google Scholar] [CrossRef]
- Decker, T.; Jacobs, G.; Arneth, P.; Röder, J.; Raddatz, M. Approach towards the condition monitoring of journal bearings using surface acoustic wave technology. Bear. World J. 2025, 8, 15–24. [Google Scholar]
- Decker, T.; Jacobs, G.; Röder, J.; Scholz, T.; Paridon, C.; Schröder, T. Experimental study on the condition monitoring of planetary journal bearings in wind turbine gearboxes using the surface acoustic wave method. Forsch. Ingenieurwesen 2025, 89, 112. [Google Scholar] [CrossRef]
- Hagemann, T.; Ding, H.; Radtke, E.; Schwarze, H. Operating Behavior of Sliding Planet Gear Bearings for Wind Turbine Gearbox Applications—Part II: Impact of Structure Deformation. Lubricants 2021, 9, 98. [Google Scholar] [CrossRef]
- Hagemann, T.; Ding, H.; Radtke, E.; Schwarze, H. Operating Behavior of Sliding Planet Gear Bearings for Wind Turbine Gearbox Applications—Part I: Basic Relations. Lubricants 2021, 9, 97. [Google Scholar] [CrossRef]
- Lindner, G.; Schmitt, M.; Schlemmer, J.; Krempel, S.; Faustmann, H.; Brückner, C.; Diller, W.; Meisenbach, L.; Stich, S. Arrangement and Method for Determining Properties of a Bearing. EP2616791A1 25 February 2015. [Google Scholar]
- Richard, W. Surface elastic waves. Proc. IEEE 1970, 58, 1238–1276. [Google Scholar] [PubMed]
- Huber, A. Dispersion Calculator; Deutsches Zentrum für Luft- und Raumfahrt: Cologne, Germany, 2023. [Google Scholar]
- Brecher, C.; Fey, M.; Brückner, C.; Falker, J. Überwachung des Betriebszustandes von Wälzlagern mittels akustischer Oberflächenwellen. In Sensoren und Messsysteme 2014, Proceedings of the 17th GMA/ITG Conference, Nuremberg, Germany, 3–4 June 2014; VDE Verlag: Berlin, Germany, 2014. [Google Scholar]
- Illner, B.; Bartel, D. Übergangsdrehzahl von Radialgleitlagern-Analytische Bestimmung unter Berücksichtigung der Lagerdeformation. Antriebstechnik 2016, 11, 129–132. [Google Scholar]
- Decker, T.; Jacobs, G.; Raddatz, M.; Röder, J.; Betscher, J.; Arneth, P. Detection of particle contamination and lubrication outage in journal bearings in wind turbine gearboxes using surface acoustic wave measurements and machine learning. Forsch. Ingenieurwes 2025, 89, 1. [Google Scholar] [CrossRef]


















| Parameter | Symbol | Value/Unit |
|---|---|---|
| Bearing diameter | ||
| Bearing width | ||
| Width–diameter ratio | ||
| Nominal radial clearance at the bearing’s center | ||
| Young’s modulus bearing | ||
| Young’s modulus planet gear | ||
| Bearing sleeve thickness | ||
| SAW probe distance (acoustic path length) | ||
| Surface roughness bearing | ||
| Surface roughness planet gear |
| Parameter | Symbol | Value/Unit |
|---|---|---|
| Density | ||
| Kinematic viscosity at 40 °C | ||
| Kinematic viscosity at 100 °C |
| Parameter | Symbol | Value/Unit |
|---|---|---|
| Excitation frequency (M) | ||
| Excitation cycle duration (M) | ||
| Number of cycles (M) | ||
| Gate position (E) | ||
| Integral gate 1 (E) | ||
| Integral gate 2 (E) |
| Parameter | Symbol | Value/Unit |
|---|---|---|
| Hyperparameters | ||
| Number of layers | 10/- | |
| Number of neurons per layer | 400/- | |
| Model accuracy on the test dataset | ||
| Coefficient of determination | 0.965/- | |
| Max error | 0.45/- | |
| Mean relative error | 1.56/% | |
| Mean squared error | 0.0061/- | |
| Root mean squared error | 0.00781/- | |
Disclaimer/Publisher’s Note: The statements, opinions and data contained in all publications are solely those of the individual author(s) and contributor(s) and not of MDPI and/or the editor(s). MDPI and/or the editor(s) disclaim responsibility for any injury to people or property resulting from any ideas, methods, instructions or products referred to in the content. |
© 2025 by the authors. Licensee MDPI, Basel, Switzerland. This article is an open access article distributed under the terms and conditions of the Creative Commons Attribution (CC BY) license.
Share and Cite
Decker, T.M.; Jacobs, G.; Scholz, T.; Röder, J.; Knops, M.; Blumenthal, J.; Bauer, T. Condition Monitoring System for Planetary Journal Bearings in Wind Turbines Based on Surface Acoustic Wave Measurements—Validation on a System Level. Sensors 2026, 26, 58. https://doi.org/10.3390/s26010058
Decker TM, Jacobs G, Scholz T, Röder J, Knops M, Blumenthal J, Bauer T. Condition Monitoring System for Planetary Journal Bearings in Wind Turbines Based on Surface Acoustic Wave Measurements—Validation on a System Level. Sensors. 2026; 26(1):58. https://doi.org/10.3390/s26010058
Chicago/Turabian StyleDecker, Thomas Matthias, Georg Jacobs, Tim Scholz, Julian Röder, Martin Knops, Julian Blumenthal, and Tobias Bauer. 2026. "Condition Monitoring System for Planetary Journal Bearings in Wind Turbines Based on Surface Acoustic Wave Measurements—Validation on a System Level" Sensors 26, no. 1: 58. https://doi.org/10.3390/s26010058
APA StyleDecker, T. M., Jacobs, G., Scholz, T., Röder, J., Knops, M., Blumenthal, J., & Bauer, T. (2026). Condition Monitoring System for Planetary Journal Bearings in Wind Turbines Based on Surface Acoustic Wave Measurements—Validation on a System Level. Sensors, 26(1), 58. https://doi.org/10.3390/s26010058

