Next Article in Journal
Accuracy Evaluation Method for Blade Vibration Measurement in Blade Tip Timing Based on Direct Calibration Using Time of Arrival
Previous Article in Journal
Design, Build, and Initial Testing of a Portable Methane Measurement Platform
 
 
Font Type:
Arial Georgia Verdana
Font Size:
Aa Aa Aa
Line Spacing:
Column Width:
Background:
Article

Identification of Blade Vibration Parameters Based on Improved Composite Reference Blade Tip-Timing Method

1
Faculty of Mechanical Engineering and Automation, Liaoning University of Technology, Jinzhou 121001, China
2
Key Laboratory of Vibration and Control of Aero-Propulsion System, Ministry of Education, Northeastern University, Shenyang 110819, China
*
Author to whom correspondence should be addressed.
Sensors 2025, 25(7), 1955; https://doi.org/10.3390/s25071955
Submission received: 25 January 2025 / Revised: 8 March 2025 / Accepted: 18 March 2025 / Published: 21 March 2025
(This article belongs to the Section Physical Sensors)

Abstract

As the core component of an engine, the vibration characteristics of blades directly affect the stability and lifespan of the engine. Thus, monitoring the vibration status of the blades is essential. This paper presents an improvement on the blade tip timing (BTT) method based on Composite Reference. The conventional BTT method, when computing blade vibration displacement, typically presumes a constant rotor speed per revolution, which fails to account for the rotor’s instantaneous state conditions accurately. In this study, the state space equations for the rotor’s instantaneous angular velocity and position are derived and solved via a Kalman filter to rectify the rotor’s instantaneous speed. Furthermore, the composite reference method is improved by using the multi-sensor straight line fitting (SLF) method of all sensors, enhancing the precision of blade vibration displacement identification. The efficacy of this approach has been validated through simulation experiments.

1. Introduction

Blade condition monitoring is a key aspect in ensuring the healthy operation of aero-engines, especially when the engines face challenges such as higher rotational speeds, greater aerodynamic loads, and higher-temperature environments [1]. Through effective condition monitoring, the reliability of engine blades can be significantly improved, reducing the risk of potential failures. The application of this monitoring technology is crucial for maintaining and extending the service life of engines.
Currently, blade vibration monitoring methods are mainly divided into two categories: invasive and non-invasive. The invasive measurement method is primarily the strain gauge measurement method [2], which, although considered the most reliable experimental method, is not entirely suitable for modern advanced instrumentation needs due to its complex installation, potential to interfere with local fluid flow fields, and inability to function for long periods in extreme environments [3]. Non-invasive methods, such as BTT measurement methods, have become typical technologies for blade-disk vibration measurement in industrial equipment [4]. However, the type of sensors, the installation location of the sensors, and the data post-processing algorithms have not yet been standardized, requiring proof of reliability under different operating conditions [5].
In recent years, BTT data analysis methods have seen extensive development and application. Reinhardt et al. [6] analyzed timing errors in detail using OPR sensors and proposed a reference method to improve accuracy. Zhang et al. [7] proposed a new BTT method based on multiple reference phases, setting multiple reference phases on the shaft. Gallego-Garrido et al. [8] proposed a BTT method for multi-modal vibration. Liu et al. [9] proposed a BTT method based on reconstructed order analysis for blade vibration measurement under variable speed conditions. However, all these methods require key phase sensors as a reference to calculate blade vibration. The use of key phase sensors causes some problems in the practical application of BTT technology. First, in most cases, due to limited space for the engine, the installation of key phase sensors is very difficult. Second, if a key phase sensor fails or the signal is lost, then the entire BTT system will fail. Moreover, if a key phase sensor falls off, it can also damage the engine. Therefore, the ideal condition for the application of BTT technology is to eliminate the key phase sensor. To achieve this goal, researchers have made a lot of efforts.
In 2005, Michael Zielinski and Gerhard Ziller of MTU Germany were the first to propose the concept of keyless BTT measurement technology [10]. Russhard [11] proposed a method to generate a virtual reference signal through SLF. Later, Chen et al. [12] further developed the SLF method and proposed a new composite reference method. Guo et al. [13] used the installation position of the BTT sensor as a reference and calculated blade vibration and speed based on the Time of Arrival (TOA) signal. Fan et al. [14] used the difference in blade vibration displacement between two sensors to identify the vibration parameters of the blade. However, methods using blade or BTT sensors as a reference still face challenges in handling speed fluctuations and directly acquiring blade vibration displacement. Although the composite reference method can directly obtain the vibration displacement of the target blade, this method assumes that the rotor speed is constant within each revolution when calculating the speed, which is inaccurate for the instantaneous state of the rotor.
Therefore, this paper, based on the composite reference method, utilizes a multi-sensor SLF method [15] to more accurately determine the theoretical TOA of the reference blade, and employs a Kalman filter algorithm to determine the instantaneous rotational speed of the reference blade. By establishing the correlation between the vibration displacements of other blades and the reference blade, the vibration displacements of the remaining blades can be determined using the vibration displacement of the reference blade. This reduces the error in the measurement results of blade vibration displacement and improves the accuracy of blade vibration displacement identification.

2. SLF Method

When the blade rotates without vibration, the cumulative angle Φ swept by the blade at time t after sampling is described as follows:
Φ t = 2 π 1 2 a t 2 + f 0 t
where f0 is the rotational speed frequency of the blade at the start of sampling, in Hz, and a is the acceleration, in Hz/s.
Since the blade vibrates during rotation, the cumulative angle Φ of the blade tip at time t after sampling can be expressed as follows:
Φ t = 2 π 1 2 a t 2 + f 0 t + Δ Φ
In Formula (2), ΔΦ is the angle generated by blade vibration. As shown in Figure 1, when the blade b passes through sensor i without vibration, the sensor probe records the blade TOA, and the cumulative angle Φ ( n , b ) i of the blade at this time is described as follows:
Φ ( n , b ) i = n · 2 π + β ( i , b ) n = 1 , 2 , 3
where β(i,b) represents the angle through which blade b rotates from the starting position to below sensor i.
β(i,b) can be expressed as the following:
β ( i , b ) = β ( 1 , 1 ) + b 1 2 π n b + α ( 1 , j ) 360 ° 2 π
where β(1,1) represents the angle between blade 1 and sensor 1, nb is the number of blades, and α(1,i) is the angle between sensor i and sensor 1.
In the keyless measurement method, when the first sensor probe records the first TOA of blade 1, sampling officially begins, so β(1,1) = 0. If the blade does not vibrate during rotation, then the time the blade passes through the sensor is the theoretical TOA of the blade.
During the variable speed rotation of the blade (a ≠ 0 Hz/s), using the quadratic formula to solve for time t in Formula (1), the theoretical time t t ( n , b ) i for blade b to reach sensor i on the nth revolution can be obtained:
t t ( n , b ) i = 2 π f 0 ( n ) ± 4 π f 0 ( n ) 2 + 4 π a ( n ) Φ ( n , b ) i 2 π a ( n )
Since t t n , b i ≥ 0, the simplified Formula (5) is as follows:
t t ( n , b ) i = f 0 ( n ) a ( n ) + f 0 ( n ) a ( n ) 2 + Φ ( n , b ) i π a ( n )
During uniform speed rotation of the blade (a = 0), Formula (1) becomes the following:
2 π f 0 t t Φ = 0
Then the theoretical time t t ( n , b ) i for blade b to reach sensor i on the nth revolution is as follows:
t t ( n , b ) i = Φ ( n , b ) i 2 π f 0 ( n )
During the data acquisition process, since the vibration value ΔΦ of the blade is extremely small compared to its cumulative angle Φ, the data points ( Φ t ( n , b ) i , t t ( n , b ) i ) will inevitably fluctuate around the curve described by Formulas (6) or (8). Using the least squares method to fit the acquired data points ( Φ t ( n , b ) i , t t ( n , b ) i ), the theoretical t t ( n , b ) i TOA can be obtained. However, because Formula (6) is more complex than the linear Formula (8) due to its non-linear characteristics, the time required for the non-SLF process far exceeds that of SLF. Therefore, the linear Formula (8) can be used as the target function for fitting first. As this method only fits the data from a single rotation of the blade, it aims to predict the theoretical TOA of the blade within that rotation. Therefore, its effectiveness relies on conditions where the rotational speed is relatively high and fluctuates minimally, and the speed difference between blades within a single rotation is not significant. Under these circumstances, the average rotational speed of a single rotation can be approximated as the rotational speed of each blade as it passes the sensor. Conversely, if the rotational speed fluctuates significantly or the speed difference between blades is considerable, the SLF error will have a substantial impact on the measurement results.
Formula (8) can be rewritten as follows:
t f i t ( n , b ) i = k f i t ( n ) Φ ( n , b ) i + b f i t ( n )
k f i t ( n ) = 1 2 π f ( n )
where bfit(n) is the correction coefficient. By fitting this straight line with the least squares method, tfit(n) can be obtained, which can be considered the theoretical TOA. In the original SLF method, only the blade TOAs of sensor 1 were fitted to obtain the theoretical TOAs of sensor 1. On that basis, this method will fit the blade TOAs of all sensors to obtain the theoretical TOAs of all sensors. Formula (4) is used to calculate the angle β that each blade rotates from the initial position to different sensors.
β = β ( 1 , 1 ) β ( 1 , b )     β ( 2 , 1 ) β ( i , b )
Arranged according to the order in which the blades arrive at the sensors (i.e., the size of the angle β(i,b) when the blade rotates to the sensor), the distribution of the angle β between the blades in the fitting interval and the sensors is as follows:
β = β ( 1 , 1 ) β ( i , K ) β ( j , b )
In Formula (12), β(i,K) represents the angle through which blade K at the midpoint of the fitting interval rotates from the initial position to sensor i, and β(j,b) represents the angle through which the blade b at the farthest end of the fitting interval rotates from the initial position to the farthest sensor j. Then, perform independent fitting on the data in the fitting interval to obtain the theoretical TOA of each sensor’s blades.
The blade vibration value obtained according to the BTT principle is as follows:
x ( n , b ) i = t ( n , b ) i t t ( n , b ) i · v ( n ) t ( n , b ) i t f i t ( n , b ) i · v ( n )
where v ( n ) is the linear speed of blade n.
v ( n ) = 2 π f 0 ( n ) r = 2 π r T ( n ) = 2 π r t ( n + 1 , b ) t ( n , b ) r k f i t ( n )
Thus, the vibration signal of the SLF method is ultimately obtained.
From Formula (14), it can be seen that v(n) is calculated through kfit(n) or T(n), which gives the average linear speed of the nth revolution, not the instantaneous speed when the blade reaches the sensor probe. This will affect the measurement accuracy of blade vibration displacement. Therefore, it is necessary to correct the blade’s rotational speed.

3. The Improved Composite Reference Method

In the least squares SLF, the midpoint of the fitting interval usually has the smallest error [16]. This characteristic is extremely important for the accuracy of the keyless BTT method. Its impact will be explained in the following simulations.
This method first selects the blade at the midpoint of the SLF area as the reference blade, uses the SLF method to obtain the theoretical TOA of the reference blade K reaching the probe of sensor i, and then corrects the blade speed to obtain the vibration displacement of the reference blade K.
Diamond et al. [17] derived the state space equations for the instantaneous angular velocity and instantaneous angular position of the shaft, and used the Kalman filter to solve and correct the instantaneous speed of the rotor. This paper refers to its method and applies it to keyless measurement. The state equations for the speed of two consecutive revolutions of the rotor are as follows:
1 2 f ( n , K ) i T ( n , K ) i + 1 2 f ( n + 1 , K ) i T ( n , K ) i = Δ Ψ
where f ( n , K ) i is the speed frequency of the reference blade K when it reaches sensor i on the nth revolution, and f ( n + 1 , K ) i is the speed frequency on the (n + 1)th revolution. ΔΨ represents the number of revolutions passed as 1. T ( n , K ) i can be expressed as follows:
T ( n , K ) i = t f i t ( n + 1 , K ) i t f i t ( n , K ) i
When blade b passes through probe i on the nth revolution, the vibration displacement x K ( n , b ) i of blade b relative to the reference blade K is the following:
x K ( n , b ) i = x ( n , b ) i x ( n , K ) i
Based on Formula (13), Formula (17) can be expressed as follows:
x K ( n , b ) i = t ( n , b ) i t f i t ( n , b ) i v ( n , b ) i t ( n , K ) i t f i t ( n , K ) i v ( n , K ) i
The instantaneous speed of the reference blade K when it reaches the probe of sensor i can be obtained through the Kalman filter algorithm, and the instantaneous speed of the reference blade when it reaches the probe of sensor i of other blades can be obtained through the following method. As shown in Figure 2, taking a 10-blade example, taking blade 6 as the reference blade, since the rotor is performing uniform acceleration, the distance between adjacent speeds can be evenly divided into 10 parts, and through the instantaneous speed of the reference blade and the parts corresponding to each blade, the speed of each blade can be obtained, which can be considered as the instantaneous speed of other blades when they reach the probe of the sensor.
When b > K, the linear speed v ( n , b ) i of blade b when it reaches sensor i on the nth revolution is as follows:
v ( n , b ) i = v ( n , K ) i v ( n , K ) i v ( n + 1 , K ) i K b n b
Since the calculation process when b < K is basically the same as that when b > K, to avoid verbosity in the main text, this paper omits the derivation of the calculation process for b < K.
Similarly, the instantaneous speed of the reference blade K when it reaches other sensors can also be obtained.
When αi < αj, the linear speed v ( n , b ) j of the reference blade K when it reaches sensor j on the nth revolution is as follows:
v ( n , b ) j = v ( n , K ) i v ( n , K ) i v ( n + 1 , K ) i α i α j 360 °
Similar to the above, this paper also omits the derivation of the calculation process for the case when αi > αj.
When b > K, by substituting Formula (19) into Formula (18), we get the following:
x K ( n , b ) i = t ( n , b ) i t ( n , k ) i v ( n , K ) i t f i t ( n , b ) i t f i t ( n , K ) i v ( n , K ) i + t ( n , b ) i t f i t ( n , b ) i v ( n , K ) i v ( n + 1 , K ) i K b n b
The arc length L(K,b) between blade b and the reference blade is the following:
L ( K , b ) = 1 2 v ( n , b ) i t f i t ( n , b ) i t f i t ( n , K ) i + 1 2 v ( n , K ) i t f i t ( n , b ) i t f i t ( n , K ) i
By substituting Formula (19) into Formula (22) and arranging it, we get the following:
L ( K , b ) = t f i t ( n , b ) i t f i t ( n , K ) i v ( n , K ) i 1 2 t f i t ( n , b ) i t f i t ( n , K ) i v ( n , K ) i v ( n + 1 , K ) i K b n b
By substituting Formula (23) into Formula (21) and arranging it, we get the following:
x K ( n , b ) i = t ( n , b ) i t ( n , K ) i v ( n , K ) i L ( K , b ) l
l = t ( n , b ) i 1 2 t f i t ( n , b ) i 1 2 t f i t ( n , K ) i v ( n , K ) i v ( n + 1 , K ) i K b n b
From Formulas (17) and (24), we get the following:
x ( n , b ) i = x ( n , K ) i + t ( n , b ) i t ( n , K ) i v ( n , K ) i L ( K , b ) l
Thus, the vibration displacement of all blades under sensor i can be obtained.
In general, a BTT monitoring system consists of multiple sensors. Similarly, based on the vibration conditions of each blade under sensor i and the installation angle of the sensor, the vibration conditions of each blade under other sensors can be calculated. The vibration displacement x ( n , K ) j of the reference blade K when it passes through sensor j on the nth revolution is as follows:
x ( n , K ) j = x ( n , K ) i + t ( n , K ) j t ( n , K ) i v ( n , K ) i L ( i , j ) L
L ( i , j ) = 2 π r α i α j 360 °
When αi < αj:
L = t ( n , K ) j 1 2 t f i t ( n , K ) j 1 2 t f i t ( n , K ) i v ( n , K ) i v ( n + 1 , K ) i α i α j 360 °
From Formula (26), the vibration displacement x ( n , b ) j of blade b when it passes through sensor j on the nth revolution is as follows:
x ( n , b ) j = x ( n , K ) j + t ( n , b ) j t ( n , K ) j v ( n , K ) j L ( K , b ) l
In this way, the vibration displacement of blades under other sensors can be obtained.

4. Simulation

Blade vibration includes bending vibration, torsional vibration, and composite vibration, which are very complex and have an infinite number of degrees of freedom. This makes it difficult to accurately describe their motion with traditional mathematical formulas. Finite element analysis technology can solve this problem. It can not only deal with the complexity of the blades but also promote in-depth research on BTT analysis. The mathematical model of blade vibration is established using the finite element method.

4.1. Establishment of Simulation Model

The differential equation for the forced vibration of a multi-degree-of-freedom blade is the following:
m x ¨ + c x ˙ + k x = F t
where [m], [c], and [k] are the mass, damping, and stiffness matrices, respectively, {x} is the displacement during blade vibration, and {F(t)} is the external excitation force. The blade–disk system studied in this paper has ten blades, and each sector where a blade is located is simplified into a single-degree-of-freedom system model. [m], [c], and [k] are all 10 × 10 matrices, and {x} and {F(t)} are both 10-dimensional column vectors.
Under the condition of uniform acceleration of the blades and the presence of a single engine order, the excitation force acting on each blade is the following:
F t = F A c o s π N e f v + φ
where FA is the amplitude of the excitation force; Ne is the vibration engine order; fv is the rotation speed frequency; φ is the initial phase.
Figure 3 is the theoretical model of the ten-blade vibration system. In practical applications, coupled vibration components between blades may exhibit negligible magnitudes under certain operating conditions. To facilitate the analysis of blade vibration characteristics and signal identification methodologies, the blade vibration model can be further simplified to an uncoupled single-degree-of-freedom (SDOF) system [18], i.e., c 1 , 2 = c 2 , 3 = c 9 , 10 = c 10 , 1 = 0 , k 1 , 2 = k 2 , 3 = k 9 , 10 = k 10 , 1 = 0 . The natural frequency of the blades is fn = 122.22 Hz, the mass of the blades is m 1 = m 2 = m 9 = m 10 = 0.5   k g , and the elastic coefficient of the blade material can be calculated k 1 = k 2 = k 9 = k 10 = 294,860   N / m according to the formula: f n = k / m / ( 2 π ) . A damping coefficient of 0.005 is taken for the blade material, and the damping can be calculated as follows: c 1 = c 2 = c 9 = c 10 = 3.84   N · m / s , according to the formula: ξ = c / 2 m · k = 0.005 . For convenience in subsequent analysis, in the simulation system, the vibration amplitude is set to 1 mm when the blades resonate, so the amplitude of the excitation force is as follows: F A = k · 2 ξ · A = 2.95   N . The number of sensors is five, with installation angles of 0°, 16°, 29°, 53°, and 75°, respectively. According to Formula (12), the midpoint blade of the fitting area is the 6th blade measured by the probe of sensor 2 and the 5th blade measured by the probe of sensor 4. This paper selects the former as the reference blade.
This paper will simulate the variable speed operation of the blades in two cases:
Case 1: Engine order Ne = 1, rotation speed frequency Ω increases from 110 Hz to 140 Hz, with an acceleration of 0.6 Hz/s.
Case 2: Engine order Ne = 2, rotation speed frequency Ω increases from 50 Hz to 68 Hz, with an acceleration of 0.6 Hz/s.

4.2. Speed Correction Results

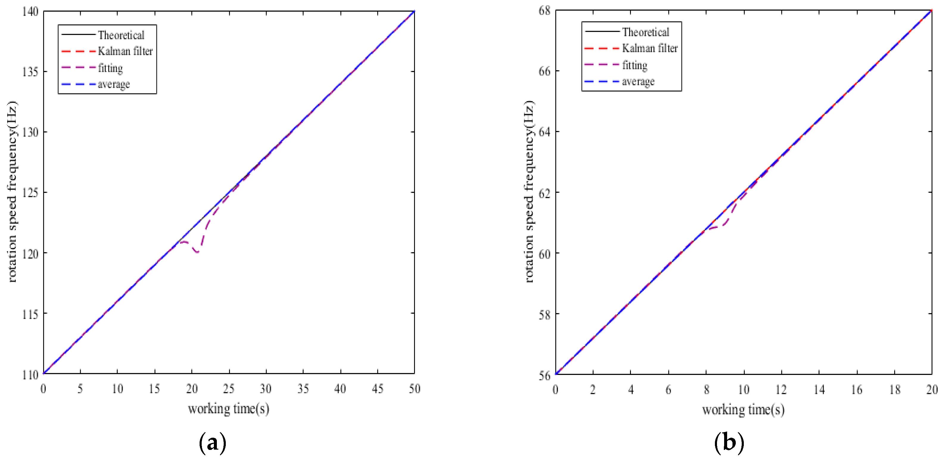
Figure 4 is a comparison chart of the rotation speed frequency obtained by the three methods of Kalman filter algorithm, fitting method, and average value method with the theoretical rotation speed frequency for both cases. Figure 5 is a comparison chart of the error of the rotation speed frequency obtained by the three methods.
From Figure 4 and Figure 5, it is clear that the rotation speed frequency obtained by the improved method is superior in accuracy to the rotation speed frequency obtained by the fitting method and the average value method. The rotation speed frequency obtained by the Kalman filter algorithm basically coincides with the theoretical rotation speed frequency, which is more accurate compared to the average value method. However, the rotation speed frequency obtained by the fitting method has obvious differences from the theoretical rotation speed frequency during resonance, and this difference will cause errors in the calculation of the blade’s vibration displacement.

4.3. SLF Results

Figure 6 and Figure 7 show the average error and standard deviation between the vibration displacement of the blades measured by each sensor within the fitting range in Case 1 and Case 2 and the actual vibration displacement calculated by the SLF method.
In Figure 6 and Figure 7, it is clear that the average error and standard deviation for the vibration displacement of each blade obtained by the SLF method are different. Overall, the average error and standard deviation decrease from the first blade in the fitting range, reaching a minimum at the middle position of the fitting range, and then increase as the number of elements in the fitting area increases, reaching a maximum at the last blade in the fitting range, showing a clear convergence. This indicates that the blade at the midpoint of the fitting range has the smallest error and the least fluctuation. Therefore, the blade corresponding to or close to the midpoint of the fitting range will be an ideal and reliable “static” reference.
In the above figure, the numbers on the abscissa are designed in such a way that the base number represents the blade number, and the superscript represents the sensor number. As shown in the figure, ‘105’ indicates information from blade number 10, as measured by sensor number 5. The same applies to the subsequent figures.

4.4. Improved CR-BTT Results

Figure 8 and Figure 9 show the average error and standard deviation of the calculation results for each blade using the original CR-BTT method under conditions 1 and 2, respectively.
Figure 10 and Figure 11 show the average error and standard deviation of the calculation results for each blade using the improved CR-BTT method under conditions 1 and 2, respectively.
From the results of Figure 8, Figure 9, Figure 10 and Figure 11, we can see that the improved CR-BTT method significantly reduces the average measurement error and standard deviation. To more intuitively compare the original CR-BTT method with the improved CR-BTT method, the vibration displacements of the blades at both ends of the fitting range obtained by the two methods are compared, as shown in Figure 12 and Figure 13. From Figure 12 and Figure 13, it is clear that the improved CR-BTT method can improve the accuracy of measuring blade vibration displacement. The original CR-BTT method has a certain error when measuring blade vibration displacement, and the error becomes more pronounced as the vibration value increases. The improved CR-BTT method measures blade vibration displacement, which basically coincides with the theoretical value.

5. Vibration Parameter Identification

To meet the practical measurement requirements that there are no more restrictions on the installation angle of the BTT sensors, a method of identifying synchronous vibration parameters of rotating blades with variable speed using multiple BTT sensors at arbitrary angles is adopted. At least five BTT sensors are required, and the specific parameter identification process is as follows.
The blade bending vibration displacement fitting curve equation [19] is the following:
x = A Q f v f z η c o s φ s + s i n φ s 1 + η 2 + C
where A is the displacement caused by the amplitude of the external force, Q is the quality factor, fz is the blade vibration frequency, and fv is the blade rotation speed frequency. Also:
η = 1 η = Q 1 f v f z 2 f v f z
φ s = N e α + φ 0
In Formula (35), Ne is the vibration multiple frequency, α is the installation angle of the sensor probe, and φ 0 is the initial phase.
The unknown parameters in Equation (33) can be written in vector form:
a ^ = A , f z , Q , φ s , C T
Using the nonlinear function x f v , a ^ of Equation (33) to represent the minimum square approximation fitting data, x j , f v j of x f v , a ^ is used to determine a ^ , through the Levenberg-Marquardt algorithm (L-M method) for nonlinear least squares data fitting [20]. From the L-M method fitting results, the resonance amplitude Amax, center rotation speed frequency fz, quality factor Q, initial phase φ s , and constant bias C can be obtained.
If the rotation speed frequency increases linearly from 56 Hz to 68 Hz, the vibration multiple is 2, the synchronous resonance amplitude is 1 mm, the constant bias is 0.2 mm, and other system parameters remain unchanged, the simulation time is 20 s, and a 10% random noise is introduced into the measurement results of each BTT sensor. After processing the simulation data, Figure 14 is the fitting curve of the synchronous vibration displacement of the reference blade K measured by sensor 1 under variable speed.
By using the L-M algorithm in the nonlinear least squares method to fit the data obtained from the simulation, five vibration parameters are calculated: Amax = 1.02 mm, fz = 61.271 Hz, Q = 95.387, φ s   = −8.648°, C = 0.211 mm, which basically remain consistent with the simulation parameters mentioned above.
To determine the vibration multiple of the twisted blade and accurately calculate the natural frequency of the blade, the relationship between the measured vibration phase difference and the installation angle of the sensor can be used to calculate the vibration multiple and the natural frequency of the blade by using multiple BTT sensors.
Taking sensor 1 as the reference standard, n BTT sensors are installed at angles α1, α2, …, αn on the casing at the top of the blade. The difference between the vibration phase values of reference blade K measured by each BTT sensor and the vibration phase value of reference blade K measured by sensor 1 is the following:
Δ φ i = N e α i
The phase difference value Δ φ i between each BTT sensor and sensor 1 can be calculated by curve fitting, and integrated into [0°, 360°), the phase difference value Δ φ i is represented by a vector as:
Δ Φ = Δ φ 1       Δ φ 2             Δ φ i
If the actual vibration multiple of the blade is N e * , substitute the values that N e k can take within a certain range into Equation (37) using an exhaustive algorithm, and integrate into [0°, 360°), the corresponding phase difference value Δ φ i k represented by a vector is as follows:
Δ Φ k = Δ φ 1 k       Δ φ 2 k             Δ φ i k
The error between the phase difference value obtained by the exhaustive calculation and the actual measured phase difference value is Ek, which can be represented as follows:
E k = Δ Φ k Δ Φ
where E k = e 1 k   e 2 k     e i k .
The magnitude of the phase difference value obtained by the exhaustive calculation deviates from the actual measured phase difference value, which is represented as follows:
S k = i = 1 n e i k 2 n
Since the error cannot be completely avoided, the smallest Sk corresponding to exhaustive multiple N e k is taken as the actual multiple.
Five BTT sensors are used for simulation analysis, with sensors 2–5 taking sensor 1 as the reference, and the installation angles are in sequence as follows: 0°, 16°, 29°, 53°, 75°, and a 10% random noise is introduced into the measurement results of each BTT sensor. After processing the simulation data, the fitting curves of the synchronous vibration displacement of reference blade K measured by each BTT sensor under variable speed can be obtained, as shown in Figure 15.
The numbers are shown in Table 1. After calculation of vibration multiples from 1 to 20 by exhaustive calculation, Figure 16 shows the traversal results. From Figure 16, it can be seen that Ne = 2, the minimum root mean square value Sk = 8.44°. From Table 1, it can be seen from the results of identifying the synchronous vibration parameters of the reference blade K under the variable speed sweep that the center rotational speed frequency fz = 61.271 Hz, the intrinsic frequency f n = 2 × 61.271 = 122.542 H z of the blade, and the identifying frequency of the reference blade K, 122.542 Hz, have an error of only 0.322 Hz with the assumed frequency of 122.22 Hz for the simulation. Therefore, Five BTT sensors are mounted at any angle on the blade tip magazine, allowing accurate identification of the synchronized vibration parameters of torsionally angled blades under variable speed sweeps. The feasibility of the keyless-phase tip timing vibration measurement technique for identifying the vibration parameters of the torsion angle blade under variable speed sweep is theoretically verified.

6. Conclusions

This paper conducts theoretical derivation and analysis based on the keyless CR-BTT measurement method, and makes improvements by adjusting the fitting interval and correcting the instantaneous rotation speed of the reference blade. The effectiveness of the improved CR-BTT method is verified through simulation, and the accuracy of blade vibration displacement measurement is improved compared with the CR-BTT method. The results measured by the improved CR-BTT method basically coincide with the actual vibration values, while the original CR-BTT method has significant differences with the actual values when measuring at resonance.
At the same time, the method of identifying synchronous vibration parameters of rotating twisted blades under variable speed using multiple BTT sensors at arbitrary angles is adopted through simulation, which verifies that this method can accurately identify the synchronous vibration parameters of twisted blades under variable speed sweep frequency. Theoretically, the feasibility of keyless BTT vibration measurement technology for identifying blade vibration parameters under variable speed is verified.

Author Contributions

Conceptualization, L.Z.; methodology L.Z.; software, X.H.; validation, L.Z.; formal analysis, X.H.; investigation, Y.Z.; data curation, X.H.; writing—original draft preparation, L.Z.; writing—review and editing, L.Z., X.H. and W.H.; visualization, W.Y.; supervision, L.Z.; project administration, L.Z. All authors have read and agreed to the published version of the manuscript.

Funding

The work is supported by National Natural Science Foundation of China (Grant No. 51505206), Key Laboratory of Vibration and Control of Aero-Propulsion System, Ministry of Education, Northeastern University (Grant No. VCAME202211), Liaoning Province Applied Basic Research Program Project (Grant No. 2023JH2/101300227), 2024 Fundamental Research Funding of the Educational Department of Liaoning Province (Grant No. LJZZ222410154005), Liaoning Provincial Natural Science Foundation Guidance Program Project (Grant No. 2019-ZD-0694), Liaoning Provincial Department of Education Scientific Research General Project (Grant No. L2014246) and Liaoning University of Technology Teacher Research Start Fund Project (Grant No. X201202).

Institutional Review Board Statement

Not applicable.

Informed Consent Statement

Not applicable.

Data Availability Statement

The data used to support the findings of this paper are available from the corresponding author upon request. The data are not publicly available due to privacy.

Conflicts of Interest

The authors declare no conflicts of interest.

References

  1. Hee, L.M.; Al-Obaidi, S.; Abdelrhman, A.M.; Leong, M.S. Condition Monitoring of Blade in Turbomachinery. Adv. Mech. Eng. 2014, 2014, 210717. [Google Scholar]
  2. Russhard, P. The rise and fall of the rotor blade strain gauge. In Vibration Engineering and Technology of Machinery: Proceedings of VETOMAC X 2014, Held at the University of Manchester, UK, September 9–11, 2014; Springer: Cham, Switzerland, 2015; Volume 23, pp. 27–37. [Google Scholar]
  3. Prochazka, P. Methods and Facilities for Calibration of Noncontact Blade Vibration Diagnostic Systems. IEEE Trans. Instrum. Meas. 2018, 67, 2345–2352. [Google Scholar] [CrossRef]
  4. Zhang, L.; Wang, Q.; Li, X. Vibration Parameters Identification of Rotating Blades Based on Blade Tip-Timing Sensor Waveforms. Appl. Sci. 2023, 13, 5920. [Google Scholar] [CrossRef]
  5. Chen, Z.; Sheng, H.; Xia, Y.; Wang, W.; He, J. A comprehensive review on blade tip timing-based health monitoring: Status and future. Mech. Syst. Signal Process 2021, 149, 107330. [Google Scholar] [CrossRef]
  6. Reinhardt, R.; Lancelle, D.; Hagendorf, O.; Schultalbers, M.; Magnor, O.; Duenow, P. Improved reference system for high precision blade tip timing on axial compressors. In Proceedings of the 2017 25th Optical Fiber Sensors Conference (OFS), Jeju, Republic of Korea, 24–28 April 2017; Volume 10323, p. 103231J. [Google Scholar]
  7. Zhang, J.W.; Zhang, L.B.; Ding, K.Q.; Duan, L.X. Blade Tip-timing Technology with Multiple Reference Phases for Online Monitoring of High-speed Blades under Variable-speed Operation. Meas. Sci. Rev. 2018, 18, 243–250. [Google Scholar]
  8. Gallego-Garrido, J.; Dimitriadis, G.; Wright, J.R. Development of a Multiple Modes Simulator of Rotating Bladed Assemblies for Blade Tip-Timing Data Analysis. In Proceedings of the International Conference of Noise and Vibration Engineering, Leuven, Belgium, 16–18 September 2002. [Google Scholar]
  9. Liu, J.; Zhan, C.; He, J.; Wang, W.; Chen, Z. Reconstructed Order Analysis-Based Vibration Monitoring under Variable Rotation Speed by Using Multiple Blade Tip-Timing Sensors. Sensors 2018, 18, 3235. [Google Scholar] [CrossRef] [PubMed]
  10. Michael, Z.; Gerhard, Z. Noncontact Blade Vibration and Tip Clearance Measurement System for Aero Engine Application. In Proceedings of the 18th International Symposium on Air Breathing Engines (ISABE), Beijing, China, 2–7 September 2007. [Google Scholar]
  11. Russhard, P. Derived once per rev signal generation for Blade Tip Timing systems. In Proceedings of the IET & ISA 60th International Instrumentation Symposium 2014, London, UK, 24–26 June 2014. [Google Scholar]
  12. Chen, K.; Wan, W.; Zhang, X.; Zhang, Y. New step to improve the accuracy of blade tip timing method without once per revolution. Mech. Syst. Signal Process 2019, 134, 106321. [Google Scholar]
  13. Guo, H.T.; Duan, F.J.; Zhang, J.L. Blade resonance parameter identification based on tip-timing method without the once-per revolution sensor. Mech. Syst. Signal Process 2016, 66–67, 625–639. [Google Scholar] [CrossRef]
  14. Fan, Z.; Li, H.; Dong, J.; Zhao, X.; Wei, D.; Zhou, Q. Blade Vibration Difference-Based Identification of Blade Vibration Parameters: A Novel Blade Tip Timing Method. J. Sound. Vib. 2021, 512, 116402. [Google Scholar] [CrossRef]
  15. Gao, C.; Wang, Z.; Yang, Z.; Cao, J.; Zuo, H.; Chen, X. An actual angle of arrival fitting method for correcting errors induced by speed fluctuation in blade tip timing system. Measurement 2024, 238, 115319. [Google Scholar]
  16. Cantrell, C.A. Technical Note: Review of methods for linear least-squares fitting of data and application to atmospheric chemistry problems. Atmos. Chem. Phys. 2008, 8, 477–5487. [Google Scholar]
  17. Diamond, D.H.; Heyns, P.S.; Oberholster, A.J. Improved Blade Tip Timing measurements during transient conditions using a State Space Model. Mech. Syst. Signal Process 2019, 122, 555–579. [Google Scholar]
  18. Ouyang, T. Rotating Blade Vibration Detection and Parameters Identification Technique Using Blade Tip-Timing. Ph.D. Thesis, Tianjin University, Tianjin, China, 2011. [Google Scholar]
  19. Fan, Z.; Li, H.; Dong, J.; Zhao, X. An improved multiple per revolution-based blade tip timing method and its applications on large-scale compressor blades. Mech. Syst. Signal Process 2022, 167, 108538. [Google Scholar]
  20. Ma, C.; Jiang, L. Some research on Levenberg-Marquardt method for the nonlinear equations. Appl. Math. Comput. 2007, 184, 1032–1040. [Google Scholar] [CrossRef]
Figure 1. Diagram of blade rotation angle β.
Figure 1. Diagram of blade rotation angle β.
Sensors 25 01955 g001
Figure 2. Diagram of blade speed solution.
Figure 2. Diagram of blade speed solution.
Sensors 25 01955 g002
Figure 3. Ten-blade vibration system theoretical model.
Figure 3. Ten-blade vibration system theoretical model.
Sensors 25 01955 g003
Figure 4. (a) Comparison of rotation speed frequencies in Case 1. (b) Comparison of rotation speed frequencies in Case 2.
Figure 4. (a) Comparison of rotation speed frequencies in Case 1. (b) Comparison of rotation speed frequencies in Case 2.
Sensors 25 01955 g004
Figure 5. (a) Comparison of rotation speed frequency errors in Case 1. (b) Comparison of rotation speed frequency errors in Case 2.
Figure 5. (a) Comparison of rotation speed frequency errors in Case 1. (b) Comparison of rotation speed frequency errors in Case 2.
Sensors 25 01955 g005
Figure 6. Average error and standard deviation of the vibration displacement calculation results of each blade within the fitting range in Case 1.
Figure 6. Average error and standard deviation of the vibration displacement calculation results of each blade within the fitting range in Case 1.
Sensors 25 01955 g006
Figure 7. Average error and standard deviation of the vibration displacement calculation results of each blade within the fitting range in Case 2.
Figure 7. Average error and standard deviation of the vibration displacement calculation results of each blade within the fitting range in Case 2.
Sensors 25 01955 g007
Figure 8. Average error and standard deviation of the calculation results for each blade using the original CR-BTT method in Case 1.
Figure 8. Average error and standard deviation of the calculation results for each blade using the original CR-BTT method in Case 1.
Sensors 25 01955 g008
Figure 9. Average error and standard deviation of the calculation results for each blade using the original CR-BTT method in Case 2.
Figure 9. Average error and standard deviation of the calculation results for each blade using the original CR-BTT method in Case 2.
Sensors 25 01955 g009
Figure 10. Average error and standard deviation of the calculation results for each blade using the improved CR-BTT method in Case 1.
Figure 10. Average error and standard deviation of the calculation results for each blade using the improved CR-BTT method in Case 1.
Sensors 25 01955 g010
Figure 11. Average error and standard deviation of the calculation results for each blade using the improved CR-BTT method in Case 2.
Figure 11. Average error and standard deviation of the calculation results for each blade using the improved CR-BTT method in Case 2.
Sensors 25 01955 g011
Figure 12. Blade vibration displacement diagram in Case 1. (a) Vibration displacement of blade 1 at sensor 1. (b) Vibration displacement of blade 10 at sensor 5.
Figure 12. Blade vibration displacement diagram in Case 1. (a) Vibration displacement of blade 1 at sensor 1. (b) Vibration displacement of blade 10 at sensor 5.
Sensors 25 01955 g012
Figure 13. Blade vibration displacement diagram in Case 2. (a) Vibration displacement of blade 1 at sensor 1. (b) Vibration displacement of blade 10 at sensor 5.
Figure 13. Blade vibration displacement diagram in Case 2. (a) Vibration displacement of blade 1 at sensor 1. (b) Vibration displacement of blade 10 at sensor 5.
Sensors 25 01955 g013
Figure 14. Fitting curve of synchronous vibration displacement of reference blade K measured by sensor 1 under variable speed.
Figure 14. Fitting curve of synchronous vibration displacement of reference blade K measured by sensor 1 under variable speed.
Sensors 25 01955 g014
Figure 15. Fitting curve of synchronous vibration displacement of reference blade K measured by other sensors under variable speed. (a) Fitting curve of sensor 2. (b) Fitting curve of sensor 3. (c) Fitting curve of sensor 4. (d) Fitting curve of sensor 5.
Figure 15. Fitting curve of synchronous vibration displacement of reference blade K measured by other sensors under variable speed. (a) Fitting curve of sensor 2. (b) Fitting curve of sensor 3. (c) Fitting curve of sensor 4. (d) Fitting curve of sensor 5.
Sensors 25 01955 g015
Figure 16. Calculation results of vibration multiple of reference blade K by exhaustive method.
Figure 16. Calculation results of vibration multiple of reference blade K by exhaustive method.
Sensors 25 01955 g016
Table 1. Identification results of synchronous vibration parameters of reference blade K under variable speeds.
Table 1. Identification results of synchronous vibration parameters of reference blade K under variable speeds.
Sensorfz (Hz)Amax (mm)QC (mm)ΔΦ (°)ΔΦk (°)
sensor 161.2711.0295.3870.21100
sensor 261.2691.0196.1330.20931.97132
sensor 361.2721.0196.2220.20758.19958
sensor 461.2761.0198.4880.199106.528106
sensor 561.2691.0295.8630.192150.363150
mean61.2711.01496.4190.204\\
Disclaimer/Publisher’s Note: The statements, opinions and data contained in all publications are solely those of the individual author(s) and contributor(s) and not of MDPI and/or the editor(s). MDPI and/or the editor(s) disclaim responsibility for any injury to people or property resulting from any ideas, methods, instructions or products referred to in the content.

Share and Cite

MDPI and ACS Style

Zhang, L.; Hu, X.; Zheng, Y.; Huang, W.; Yang, W. Identification of Blade Vibration Parameters Based on Improved Composite Reference Blade Tip-Timing Method. Sensors 2025, 25, 1955. https://doi.org/10.3390/s25071955

AMA Style

Zhang L, Hu X, Zheng Y, Huang W, Yang W. Identification of Blade Vibration Parameters Based on Improved Composite Reference Blade Tip-Timing Method. Sensors. 2025; 25(7):1955. https://doi.org/10.3390/s25071955

Chicago/Turabian Style

Zhang, Liang, Xue Hu, Yitong Zheng, Wei Huang, and Wenlong Yang. 2025. "Identification of Blade Vibration Parameters Based on Improved Composite Reference Blade Tip-Timing Method" Sensors 25, no. 7: 1955. https://doi.org/10.3390/s25071955

APA Style

Zhang, L., Hu, X., Zheng, Y., Huang, W., & Yang, W. (2025). Identification of Blade Vibration Parameters Based on Improved Composite Reference Blade Tip-Timing Method. Sensors, 25(7), 1955. https://doi.org/10.3390/s25071955

Note that from the first issue of 2016, this journal uses article numbers instead of page numbers. See further details here.

Article Metrics

Back to TopTop