SASBLS: An Advanced Model for Sleep Apnea Detection Based on Single-Channel SpO2
Abstract
1. Introduction
- The proposed model realizes two tasks: single-channel SpO2-based SAS event detection and AHI prediction. By fusing the overnight SpO2 features with the sample features, it achieves a mutual promotion between the two tasks.
- The model uses a single-channel SpO2 signal as input, and its performance exceeds that of existing multi-channel-signal-based models, reaching the state-of-the-art level.
- The model can effectively identify SAS-positive samples, and its recognition accuracy for SAS-positive samples is much higher than that of other models, matching the application scenarios that require accurate SAS event results.
- Based on the model, the impact of different sample lengths on the two tasks is explored. To some extent, it solves the problem of non-uniform SAS detection standards.
2. Materials and Methods
2.1. Datasets
2.2. Pre-Processing
2.3. Feature Extraction
2.4. Model Structure
2.4.1. SAS Detection Branch
2.4.2. SDFFU
2.4.3. AHI Prediction Branch
3. Experiment Setup
4. Results
4.1. The Overall Result of the SASBLS
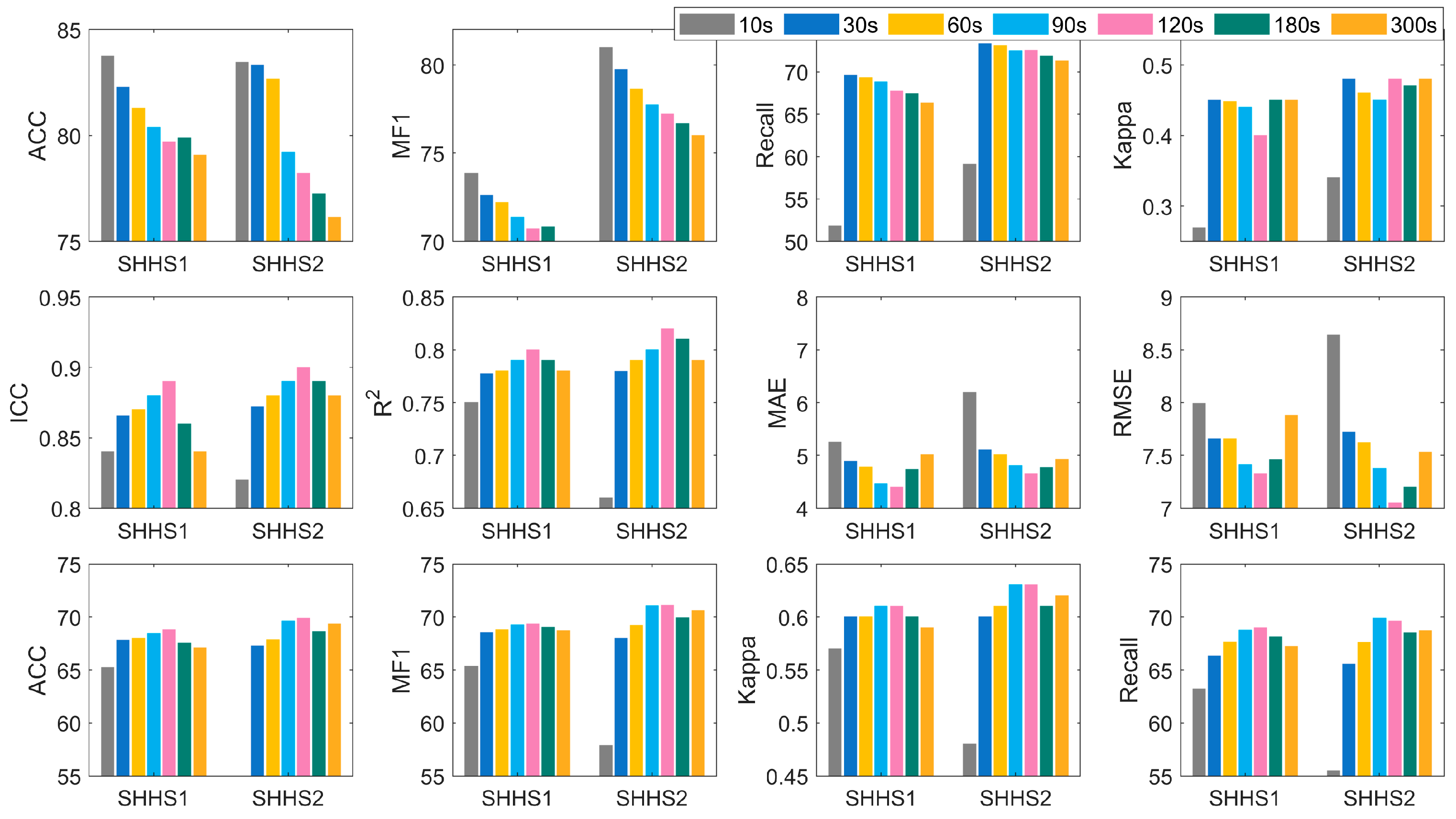
4.2. Validation of the SAS Detection Performance of the Samples of Different Lengths
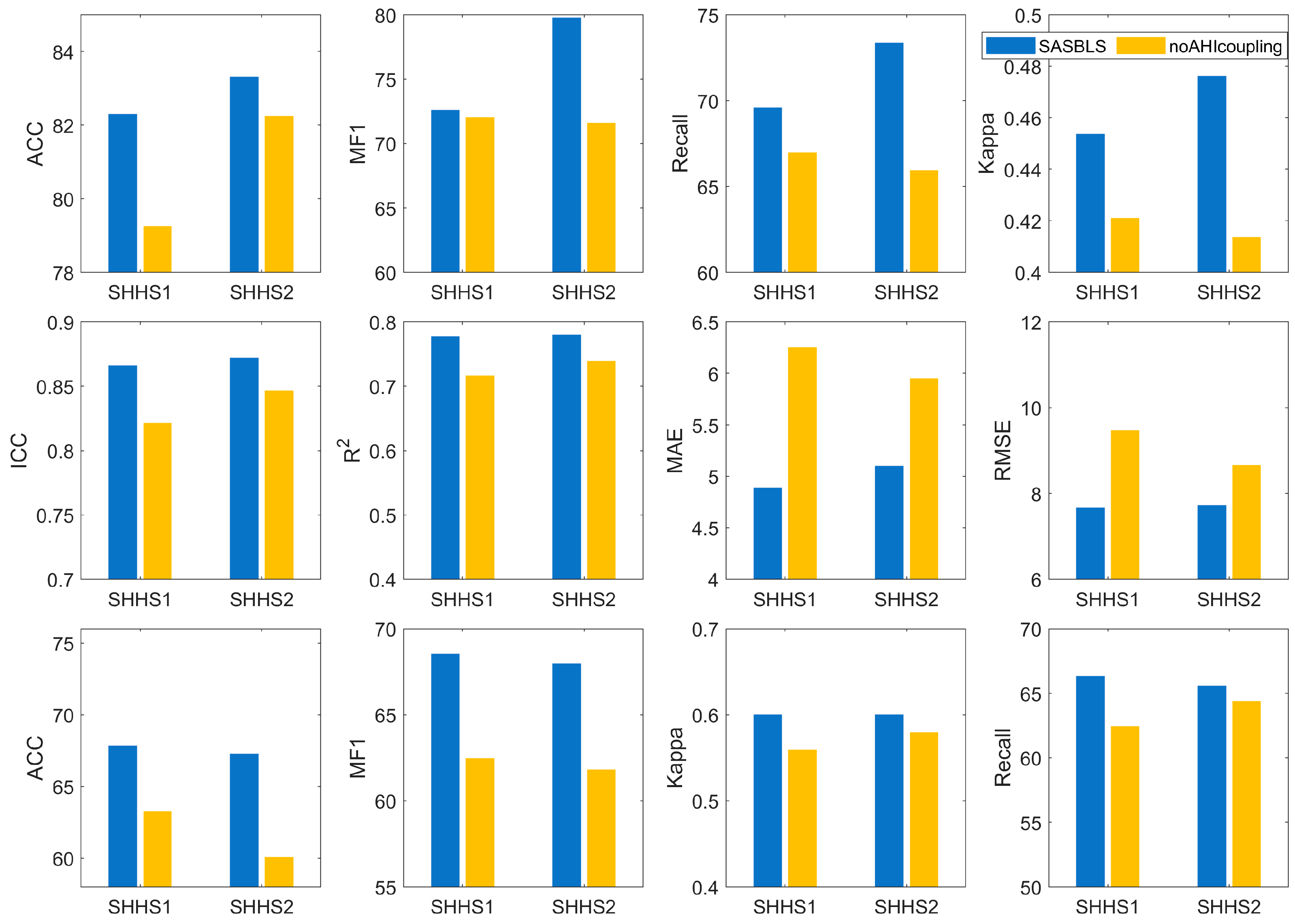
4.3. Ablation Experiment
5. Discussion
5.1. The Difference Between the Calculation AHI and the Regression AHI
5.2. The Analysis of the Sample Size of 10 s and 30 s
5.3. Comparison with Other Studies
5.4. The Clinical Application Prospects of the Proposed Model
6. Conclusions
Author Contributions
Funding
Institutional Review Board Statement
Informed Consent Statement
Data Availability Statement
Acknowledgments
Conflicts of Interest
References
- Phillips, B. Sleep-disordered breathing and cardiovascular disease. Sleep Med. Rev. 2005, 9, 131–140. [Google Scholar] [CrossRef] [PubMed]
- Arzt, M.; Floras, J.S. Sleep-disordered breathing and cardiovascular disease: An update. Chest 2003, 123, 2060–2076. [Google Scholar]
- Ramezani, A.; Azarian, M.; Sharafkhaneh, A.; Maghsoudi, A.; Jones, M.B.; Penzel, T.; Razjouyan, J. Age modifies the association between severe sleep apnea and all-cause mortality. Sleep Med. 2024, 121, 18–24. [Google Scholar] [CrossRef] [PubMed]
- Mitra, A.K.; Bhuiyan, A.R.; Jones, E.A. Association and Risk Factors for Obstructive Sleep Apnea and Cardiovascular Diseases: A Systematic Review. Diseases 2021, 9, 88. [Google Scholar] [CrossRef] [PubMed]
- Mohsenin, V. Gender differences in the expression of sleep-disordered breathing: Role of upper airway dimensions. Chest 2001, 120, 1442–1447. [Google Scholar] [CrossRef] [PubMed]
- Leech, J.A.; Onal, E.; Dulberg, C.; Lopata, M.A. A comparison of men and women with occlusive sleep apnea syndrome. Chest 1988, 94, 983–988. [Google Scholar] [CrossRef]
- The AASM Manual for the Scoring of Sleep and Associated Events: Rules, Terminology and Technical Specifications, version 2.6.; American Academy of Sleep Medicine: Darien, IL, USA, 2020; Available online: https://aasm.org/aasm-updated-version-sleep-scoring-manual/ (accessed on 26 January 2025).
- Johansson, P.; Svensson, E.; Alehagen, U.; Dahlstrom, U.; Jaarsma, T.; Brostrom, A. Sleep disordered breathing, hypoxia and inflammation: Associations with sickness behaviour in community dwelling elderly with and without cardiovascular disease. Sleep Breath. 2015, 19, 263–271. [Google Scholar] [CrossRef]
- Ford, D.E.; Kamerow, D.B. Epidemiologic study of sleep disturbances and psychiatric disorders. An opportunity for prevention? JAMA 1989, 262, 1479–1484. [Google Scholar] [CrossRef]
- Reimer, M.A.; Flemons, W.W. Quality of life in sleep disorders. Sleep Med. Rev. 2003, 7, 335–349. [Google Scholar] [CrossRef]
- Peppard, P.E.; Young, T.; Palta, M.; Skatrud, J. Prospective study of the association between sleep-disordered breathing and hypertension. N. Engl. J. Med. 2000, 342, 1378–1384. [Google Scholar] [CrossRef]
- Ventura, H.O.; Potluri, S.; Mehra, M.R. The conundrum of sleep breathing disorders in heart failure. Chest 2003, 123, 1332–1334. [Google Scholar] [CrossRef]
- Thalhofer, S.; Dorow, P. Sleep-Breathing Disorders and Heart Failure. Sleep Breath. 2000, 4, 103–112. [Google Scholar] [CrossRef] [PubMed]
- Morrell, M.J.; Meadows, G.E.; Hastings, P.; Vazir, A.; Kostikas, K.; Simonds, A.K.; Corfield, D.R. The effects of adaptive servo ventilation on cerebral vascular reactivity in patients with congestive heart failure and sleep-disordered breathing. Sleep 2007, 30, 648–653. [Google Scholar] [CrossRef] [PubMed][Green Version]
- Duce, B.; Kulkas, A.; Langton, C.; Toyras, J.; Hukins, C. The AASM 2012 recommended hypopnea criteria increase the incidence of obstructive sleep apnea but not the proportion of positional obstructive sleep apnea. Sleep Med. 2016, 26, 23–29. [Google Scholar] [CrossRef]
- Lu, M.; Fang, F.; Wei, Y.X. Validation of a Portable Monitoring for the Diagnosis of Obstructive Sleep Apnea: Electrocardiogram-Based Cardiopulmonary Coupling. Sleep 2019, 42, A229–A230. [Google Scholar] [CrossRef]
- Levy, J.; Alvarez, D.; del Campo, F.; Behar, J.A. Machine learning for nocturnal diagnosis of chronic obstructive pulmonary disease using digital oximetry biomarkers. Physiol. Meas. 2021, 42, 054001. [Google Scholar] [CrossRef] [PubMed]
- Li, F.; Xu, Y.; Chen, J.; Lu, P.; Zhang, B.; Cong, F. A deep learning model developed for sleep apnea detection: A multi-center study. Biomed. Signal Process. Control 2023, 85, 104689. [Google Scholar] [CrossRef]
- Sharma, M.; Kumbhani, D.; Tiwari, J.; Kumar, T.S.; Acharya, U.R. Automated detection of obstructive sleep apnea in more than 8000 subjects using frequency optimized orthogonal wavelet filter bank with respiratory and oximetry signals. Comput. Biol. Med. 2022, 144, 105364. [Google Scholar] [CrossRef] [PubMed]
- Bahr-Hamm, K.; Abriani, A.; Anwar, A.R.; Ding, H.; Muthuraman, M.; Gouveris, H. Using entropy of snoring, respiratory effort and electrocardiography signals during sleep for OSA detection and severity classification. Sleep Med. 2023, 111, 21–27. [Google Scholar] [CrossRef]
- Peng, D.; Yue, H.; Tan, W.; Lei, W.; Chen, G.; Shi, W.; Zhang, Y. A bimodal feature fusion convolutional neural network for detecting obstructive sleep apnea/hypopnea from nasal airflow and oximetry signals. Artif. Intell. Med. 2024, 150, 102808. [Google Scholar] [CrossRef]
- Luo, J.; Wu, H. An Time-Frequency Graph Attention Network for Obstructive Sleep Apnea Detection. In Proceedings of the 2024 IEEE International Conference on Systems, Man, and Cybernetics (SMC), Kuching, Malaysia, 6–10 October 2014; pp. 705–710. [Google Scholar]
- Alvarez, D.; Hornero, R.; Marcos, J.V.; del Campo, F. Multivariate Analysis of Blood Oxygen Saturation Recordings in Obstructive Sleep Apnea Diagnosis. IEEE Trans. Biomed. Eng. 2010, 57, 2816–2824. [Google Scholar] [CrossRef]
- Massie, F.; Van Pee, B.; Bergmann, J. Correlations between home sleep apnea tests and polysomnography outcomes do not fully reflect the diagnostic accuracy of these tests. J. Clin. Sleep Med. 2022, 18, 871–876. [Google Scholar] [CrossRef] [PubMed]
- Mostafa, S.S.; Mendonca, F.; Ravelo-Garcia, A.G.; Juliá-Serdá, G.G.; Morgado-Dias, F. Multi-Objective Hyperparameter Optimization of Convolutional Neural Network for Obstructive Sleep Apnea Detection. IEEE Access 2020, 8, 99. [Google Scholar] [CrossRef]
- Paul, T.; Hassan, O.; Islam, S.K.; Mosa, A.S.M. Real-Time Obstructive Sleep Apnea Detection from Raw ECG and SpO(2) Signal Using Convolutional Neural Network. AMIA Jt. Summits Transl. Sci. Proc. 2024, 2024, 662–669. [Google Scholar]
- Yue, H.; Lin, Y.; Wu, Y.; Wang, Y.; Li, Y.; Guo, X.; Huang, Y.; Wen, W.; Zhao, G.; Pang, X.; et al. Deep Learning for Diagnosis and Classification of Obstructive Sleep Apnea: A Nasal Airflow-Based Multi-Resolution Residual Network. Nat. Sci. Sleep 2021, 13, 361–373. [Google Scholar] [CrossRef]
- Jung, D.W.; Hwang, S.H.; Cho, J.G.; Choi, B.H.; Baek, H.J.; Lee, Y.J.; Jeong, D.U.; Park, K.S. Real-Time Automatic Apneic Event Detection Using Nocturnal Pulse Oximetry. IEEE Trans. Biomed. Eng. 2018, 65, 706–712. [Google Scholar] [CrossRef]
- Quan, S.F.; Howard, B.V.; Iber, C.; Kiley, J.P.; Nieto, F.J.; O’Connor, G.T.; Rapoport, D.M.; Redline, S.; Robbins, J.; Samet, J.M.; et al. The sleep heart health study: Design, rationale, and methods. Sleep 1997, 20, 1077–1085. [Google Scholar]
- She, Y.C.; Zhang, D.; Sun, J.B.; Yang, X.J.; Zeng, X.; Qin, W. CBLSNet: A concise feature context fusion network for sleep staging. Biomed. Signal Proces. 2024, 91, 106010. [Google Scholar] [CrossRef]
- Biswal, S.; Sun, H.; Goparaju, B.; Westover, M.B.; Sun, J.; Bianchi, M.T. Expert-level sleep scoring with deep neural networks. J. Am. Med. Inform. Assoc. 2018, 25, 1643–1650. [Google Scholar] [CrossRef] [PubMed]




| Datasets | Subjects | Epochs | Age | Male Ratio | BMI | AHI | Avg. Length of SAS Events (s) |
|---|---|---|---|---|---|---|---|
| SHHS1 | 5268 | 5,257,566 | 62.54 ± 11.45 | 48% | 27.92 ± 5.92 | 17.14 ± 18.47 | 21.6 ± 11.81 |
| SHHS2 | 2638 | 2,979,845 | 62.42 ± 10.49 | 46% | 28.32 ± 5.05 | 18.44 ± 16.37 | 22.83 ± 11.86 |
| Perspectives | Types of Features | Features |
|---|---|---|
| Signal features | Time domain | Mean, Median, MIN, STD, SpO2range, Px, Mx, ZC, ΔIx |
| Frequency domain | PSDtotal, PSDband, PSDratio, PSDpeak | |
| Non-linear | ApEn, SampEn, PeEn, LZ complexity, DFA, CTMρ | |
| Morphological features | - | PRSAc, PRSAad, PRSAs, PRSAsb, PRSAsa |
| Desaturation features | Desaturation | ODIx, DLμ, DLσ, Ddμ, Ddσ, DSμ, DSσ, DAμ, DAσ, TDμ, TDσ |
| Hypoxic burden | POD, AOD, CT90, CA90 |
| SAS detection | Datasets | ACC (%) | MF1 (%) | Kappa | Recall (%) | Precision (%) |
| SHHS1 | 82.28 | 72.59 | 0.45 | 69.58 | 70.68 | |
| SHHS2 | 83.31 | 79.74 | 0.48 | 73.34 | 75.57 | |
| AHI | ICC | R2 | MAE | RMSE | ||
| SHHS1 | 0.87 | 0.78 | 4.89 | 7.66 | ||
| SHHS2 | 0.87 | 0.78 | 5.10 | 7.72 | ||
| SAS severity | ACC (%) | MF1 (%) | Kappa | Recall (%) | Specificity (%) | |
| SHHS1 | 67.82 | 68.54 | 0.60 | 66.31 | 88.19 | |
| SHHS2 | 67.25 | 67.96 | 0.60 | 65.55 | 88.18 | |
| Health/SAS | ACC (%) | MF1 (%) | Kappa | Recall (%) | Specificity (%) | |
| SHHS1 | 87.51 | 76.83 | 0.59 | 55.53 | 94.21 | |
| SHHS2 | 88.34 | 78.57 | 0.64 | 58.66 | 94.61 | |
| Health + mild/moderate and severe | ACC (%) | MF1 (%) | Kappa | Recall (%) | Specificity (%) | |
| SHHS1 | 86.22 | 86.10 | 0.76 | 92.70 | 78.08 | |
| SHHS2 | 86.30 | 86.18 | 0.75 | 90.32 | 81.46 | |
| Other/severe | ACC (%) | MF1 (%) | Kappa | Recall (%) | Specificity (%) | |
| SHHS1 | 93.51 | 87.85 | 0.90 | 98.21 | 70.59 | |
| SHHS2 | 91.77 | 85.46 | 0.88 | 97.96 | 64.56 |
| Tasks | AHI Regression | SAS Severity Classification | ||||||||||
|---|---|---|---|---|---|---|---|---|---|---|---|---|
| Metrics | ICC | R2 | RMSE | ACC | MF1 | Recall | ||||||
| Methods | RE | CLA | RE | CLA | RE | CLA | RE | CLA | RE | CLA | RE | CLA |
| SHHS1 | 0.87 | 0.67 | 0.78 | 0.5 | 7.66 | 16.61 | 67.82 | 63.22 | 68.54 | 62.45 | 66.31 | 62.43 |
| SHHS2 | 0.87 | 0.75 | 0.78 | 0.44 | 7.72 | 12.31 | 67.25 | 60.05 | 67.96 | 61.8 | 65.55 | 64.37 |
| Methods | Dataset | Used Signals | ACC (%) | MF1 (%) | Kappa | Recall (%) | Precision (%) |
|---|---|---|---|---|---|---|---|
| SASBLS | SHHS1 | SpO2 | 82.28 * | 72.59 | 0.45 | 69.58 | 70.68 |
| Ref. [19] | SpO2 + Thor + Abdo + AF | 80.73 | 58.17 | 0.39 | 66.12 | 51.19 | |
| Ref. [19] | SpO2 + Thor + Abdo + AF + ECG | 76.53 | 53.58 | 0.35 | 65.02 | 45.26 | |
| Ref. [19] | SpO2 | 78.05 | 55.73 | 0.38 | 59.12 | 52.71 | |
| Ref. [31] | SpO2 | 80.2 | 57.84 | 0.40 | 60.12 | 55.71 | |
| SASBLS | SHHS2 | SpO2 | 83.31 | 79.74 | 0.48 | 73.34 | 75.57 |
| Ref. [19] | SpO2 + Thor + Abdo + AF | 83.82 | 58.56 | 0.40 | 64.09 | 53.91 | |
| Ref. [19] | SpO2 + Thor+Abdo + AF + ECG | 79.11 | 55.73 | 0.34 | 63.25 | 49.81 | |
| Ref. [19] | SpO2 | 80.13 | 56.88 | 0.36 | 60.31 | 53.82 | |
| Ref. [26] | Apnea-ECG + SVUH * | SpO2 | 96.00 | 96.00 | - | 97.00 | 96.00 |
| Ref. [22] | MESA | PPG + SpO2 | 87.03 | 74.31 | - | 74.40 | 91.29 |
Disclaimer/Publisher’s Note: The statements, opinions and data contained in all publications are solely those of the individual author(s) and contributor(s) and not of MDPI and/or the editor(s). MDPI and/or the editor(s) disclaim responsibility for any injury to people or property resulting from any ideas, methods, instructions or products referred to in the content. |
© 2025 by the authors. Licensee MDPI, Basel, Switzerland. This article is an open access article distributed under the terms and conditions of the Creative Commons Attribution (CC BY) license (https://creativecommons.org/licenses/by/4.0/).
Share and Cite
She, Y.; Zhang, D.; Sun, J.; Yang, X.; Zeng, X.; Qin, W. SASBLS: An Advanced Model for Sleep Apnea Detection Based on Single-Channel SpO2. Sensors 2025, 25, 1523. https://doi.org/10.3390/s25051523
She Y, Zhang D, Sun J, Yang X, Zeng X, Qin W. SASBLS: An Advanced Model for Sleep Apnea Detection Based on Single-Channel SpO2. Sensors. 2025; 25(5):1523. https://doi.org/10.3390/s25051523
Chicago/Turabian StyleShe, Yichong, Di Zhang, Jinbo Sun, Xuejuan Yang, Xiao Zeng, and Wei Qin. 2025. "SASBLS: An Advanced Model for Sleep Apnea Detection Based on Single-Channel SpO2" Sensors 25, no. 5: 1523. https://doi.org/10.3390/s25051523
APA StyleShe, Y., Zhang, D., Sun, J., Yang, X., Zeng, X., & Qin, W. (2025). SASBLS: An Advanced Model for Sleep Apnea Detection Based on Single-Channel SpO2. Sensors, 25(5), 1523. https://doi.org/10.3390/s25051523

