Modeling and Performance Analysis of Uplink Laser Transmission Across Sea Surfaces: A Channel Characterization Study
Abstract
1. Introduction
2. Sea Surface Model
2.1. Statistical Model
2.2. Spatial Model
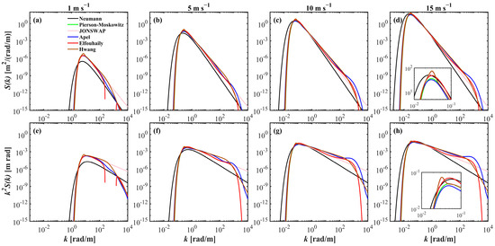
2.2.1. Sea Spectra
2.2.2. Refinement of the Elfouhaily Spectrum
2.2.3. Sea Surface Simulations and Statistical Properties
3. Underwater–Air Channel Model
3.1. Seawater and Air Channel
3.2. Sea Surface Channel
4. Results and Discussion
5. Conclusions
Author Contributions
Funding
Institutional Review Board Statement
Data Availability Statement
Acknowledgments
Conflicts of Interest
References
- Luo, H.; Wang, J.; Bu, F.; Ruby, R.; Wu, K.; Guo, Z. Recent Progress of Air/Water Cross-Boundary Communications for Underwater Sensor Networks: A Review. IEEE Sens. J. 2022, 22, 8360–8382. [Google Scholar] [CrossRef]
- Zhang, F.; Luo, J.; Li, J.; Lin, T.; Gong, C.; Xu, Z. Effects of underwater swing nodes on water-to-air visible light communication. Appl. Opt. 2023, 62, 4245–4254. [Google Scholar] [CrossRef] [PubMed]
- Dong, L.; Li, N.; Xie, X.; Bao, C.; Li, X.; Li, D. A Fast Analysis Method for Blue-Green Laser Transmission through the Sea Surface. Sensors 2020, 20, 1758. [Google Scholar] [CrossRef]
- Zhou, T.; He, Y.; Zhu, X.; Chen, W.B. Influence of sea-air interface on upward laser beam propagation. In Proceedings of the International Symposium on Photoelectronic Detection and Imaging 2013: Laser Communication Technologies and Systems, Proc. SPIE 8906, Beijing, China, 25–27 June 2013. [Google Scholar]
- Di, Y.; Shao, Y.; Chen, L. Real-Time Wave Mitigation for Water-Air OWC Systems Via Beam Tracking. IEEE Photonic Tech. Lett. 2021, 34, 47–50. [Google Scholar] [CrossRef]
- Xu, A.; Di, Y.; Yue, X.; Chen, L.-K. Beam Tracking aided by Complexity-reduced MobileNetV2 for Water-air OWC with Waves. IEEE Photonic Tech. Lett. 2024, 36, 1469–1472. [Google Scholar] [CrossRef]
- Zhou, Y.; Chen, W.; Cui, X.; Malinka, A.; Liu, Q.; Han, B.; Wang, X.; Zhuo, W.; Che, H.; Song, Q.; et al. Validation of the Analytical Model of Oceanic Lidar Returns: Comparisons with Monte Carlo Simulations and Experimental Results. Remote Sens. 2019, 11, 1870. [Google Scholar] [CrossRef]
- Huang, N.E.; Long, S.R.; Bliven, L.F.; Tung, C.-C. The Non-Gaussian joint probability density function of slope and elevation for a nonlinear gravity wave field. J. Geophys. Res. Oceans. 1984, 89, 1961–1972. [Google Scholar] [CrossRef]
- Chowdhary, J.; Zhai, P.; Boss, E.; Dierssen, H.; Frouin, R.; Ibrahim, A.; Lee, Z.; Remer, L.A.; Twardowski, M.; Xu, F.; et al. Modeling atmosphere-ocean radiative transfer: A PACE mission perspective. Front. Earth Sci. 2019, 7, 100. [Google Scholar] [CrossRef]
- Chen, L.; Shao, Y.; Di, Y. Underwater and Water-Air Optical Wireless Communication. IEEE J. Light. Technol. 2020, 40, 1440–1452. [Google Scholar] [CrossRef]
- Angara, B.R.; Shanmugam, P.; Ramachandran, H. Influence of sea surface waves and bubbles on the performance of underwater-to-air optical wireless communication system. Opt. Laser Technol. 2024, 174, 110652. [Google Scholar] [CrossRef]
- Karp, S. Optical Communications Between Underwater and Above Surface (Satellite) Terminals. IEEE Trans. Commun. 1976, 24, 66–81. [Google Scholar] [CrossRef]
- Sun, X.; Kong, M.; Alkhazragi, O.; Telegenov, K.; Ouhssain, M.; Sait, M.; Guo, Y.; Jones, B.H.; Shamma, J.S.; Ng, T.K.; et al. Field Demonstrations of Wide-Beam Optical Communications Through Water–Air Interface. IEEE Access 2020, 8, 160480–160489. [Google Scholar] [CrossRef]
- Alharbi, O.; Kane, T.; Henderson, D. Impact of a Turbulent Ocean Surface on Laser Beam Propagation. Sensors 2022, 22, 7676. [Google Scholar] [CrossRef]
- Hu, Q.; Gong, C.; Lin, T.; Luo, J.; Xu, Z. Secrecy Performance Analysis for Water-to-Air Visible Light Communication. IEEE J. Light. Technol. 2022, 40, 4607–4620. [Google Scholar] [CrossRef]
- Cox, C.; Munk, W. Measurement of the roughness of the sea surface from photographs of the Sun’s glitter. J. Opt. Soc. Am. 1954, 44, 838–850. [Google Scholar] [CrossRef]
- Leathers, R.A.; Downes, T.V.; Davis, C.O.; Mobley, C.D. Monte Carlo Radiative Transfer Simulations for Ocean Optics: A Practical Guide; Defense Technical Information Center: Fort Belvoir, VA, USA, 2004; pp. 1–50. [Google Scholar]
- Dong, Y.; Tang, S.; Zhang, X. Effect of Random Sea Surface on Downlink Underwater Wireless Optical Communications. IEEE Commun. Lett. 2013, 17, 2164–2167. [Google Scholar] [CrossRef]
- Zhang, H.; Dong, Y.; Hui, L. On Capacity of Downlink Underwater Wireless Optical MIMO Systems With Random Sea Surface. IEEE Commun. Lett. 2015, 19, 2166–2169. [Google Scholar] [CrossRef]
- Sahoo, R.; Sahu, S.K.; Shanmugam, P. Estimation of the channel characteristics of a vertically downward optical wireless communication link in realistic oceanic waters. Opt. Laser Technol. 2019, 116, 114–154. [Google Scholar] [CrossRef]
- Ata, Y.; Kiasaleh, K. Performance of optical seawater-to-air wireless links in the presence of seawater pitching angle effect. IEEE Trans. Commun. 2024, 72, 7856–7865. [Google Scholar] [CrossRef]
- Li, C.; Yuan, R.; Gao, H.; Zhang, T.; Sun, B.; Chen, T.; Cao, G. Characteristics of Blue-green Laser Downlink Cross-media Transmission under Different Weather Conditions. Acta Photonica Sinica 2021, 50, 1201003. [Google Scholar]
- Jiao, C.; He, Y.; Hu, S.; Liu, H.; Chen, W.; Zhang, W. Effects of Solar Radiation on the Performance of Long-distance Atmosphere-ocean Laser Communication Links. Opt. Commun. 2024, 574, 131051. [Google Scholar] [CrossRef]
- Mobley, C.D. Polarized reflectance and transmittance properties of windblown sea surfaces. Appl. Opt. 2015, 54, 4828–4849. [Google Scholar] [CrossRef]
- Zhou, T.; Chen, W.; He, Y.; Zhu, X. Beam Spatial Distribution of Upward Laser Through Sea-Air Interface. Chin. J. Lasers. 2010, 37, 1978–1982. [Google Scholar] [CrossRef]
- Preisendorfer, R.W. Hydrologic Optics: Volume VI Surfaces; U.S. Department of Commerce, Pacific 779 Marine Environmental Laboratory: Honlulu, HI, USA, 1976; pp. 1–369. [Google Scholar]
- He, M.; Hu, Y.; Huang, J.; Stamnes, K. Aerosol optical depth under “clear” sky conditions derived from sea surface reflection of lidar signals. Opt. Express 2016, 24, A1622. [Google Scholar] [CrossRef] [PubMed][Green Version]
- Tang, Q.; Hu, Y.; Li, W.; Huang, J.; Stamnes, K. Optimizing cirrus optical depth retrievals over the ocean from collocated CALIPSO and AMSR-E observations. Appl. Opt. 2018, 57, 7472–7481. [Google Scholar] [CrossRef]
- Hu, Y.; Stamnes, K.; Vaughan, M.; Pelon, J.; Weimer, C.; Wu, D.; Cisewski, M.; Sun, W.; Yang, P.; Lin, B.; et al. Sea surface wind speed estimation from space-based LIDAR measurements. Atmo. Chem. Phys. 2008, 8, 2771–2793. [Google Scholar] [CrossRef]
- McAllister, M.L.; Draycott, S.; Calvert, R.; Davey, T.; Dias, F.; Bremer, T.S.v.D. Three-dimensional wave breaking. Nature 2024, 633, 601–607. [Google Scholar] [CrossRef] [PubMed]
- Jhunjhunwala, A.; Rao, M.M.; Rajendran, V.; Rama, S.K.; Jeoti, V. Effect of Ocean Surface on Laser Communication Link from Ground to Submarine. IETE J. Res. 1986, 32, 331–340. [Google Scholar] [CrossRef]
- Lynch, D.K.; Dearborn DS, P.; Lock, J.A. Glitter and glints on water. Appl. Opt. 2011, 50, F39–F49. [Google Scholar] [CrossRef]
- Neumann, G. On Wind Generated Ocean Waves with Special Reference to the Problem of Wave Forecasting; Office of Naval Research: Washington, DC, USA, 1952; pp. 3–35. [Google Scholar]
- Pierson, W.J.; Moskowitz, L. A proposed spectral form for fully developed wind seas based on the similarity theory of SA Kitaigorodskii. J. Geophys. Res. 1964, 69, 5181–5190. [Google Scholar] [CrossRef]
- Hasselmann, K.; Barnett, T.P.; Bouws, E.; Carlson, H.; Cartwright, D.E.; Enke, K.; Ewing, J.A.; Gienapp, A.; Hasselmann, D.E.; Kruseman, P.; et al. Measurements of Wind-Wave Growth and Swell Decay during the Joint North Sea Wave Project (JONSWAP); Deutsches Hydrographiches Institut: Hamburg, Germany, 1973; pp. 1–94. [Google Scholar]
- Apel, J.R. An improved model of the ocean surface wave vector spectrum and its effects on radar backscatter. J. Geophys. Res. 1994, 99, 16269–16291. [Google Scholar] [CrossRef]
- Elfouhaily, T.; Chapron, B.; Katsaros, K.; Vandemark, D. A unified directional spectrum for long and short wind-driven waves. J. Geophys. Res. 1997, 102, 15781–15796. [Google Scholar] [CrossRef]
- Hwang, P.A.; Fan, Y.; Ocampo-Torres, F.J.; García-Nava, H. Ocean Surface Wave Spectra inside Tropical Cyclones. J. Phys. Oceanogr. 2017, 47, 2393–2417. [Google Scholar] [CrossRef]
- Alves, J.-H.; Banner, M.L.; Young, I.R. Revisiting the Pierson–Moskowitz Asymptotic Limits for Fully Developed Wind Waves. J. Phys. Oceanogr. 2003, 33, 1301–1323. [Google Scholar] [CrossRef]
- Mitsuyasu, H. A Historical Note on the Study of Ocean Surface Waves. J. Oceanogr. 2002, 58, 109–120. [Google Scholar] [CrossRef]
- Hara, T.; Bock, E.J.; Lyzenga, D. In situ measurements of capillary-gravity wave spectra using a scanning laser slope gauge and microwave radars. J. Geophys. Res. 1994, 99, 12593–12602. [Google Scholar] [CrossRef]
- Jähne, B.; Riemer, K.S. Two-Dimensional Wave Number Spectra of Small-Scale Water Surface Waves. J. Geophys. Res. 1990, 95, 11531–11546. [Google Scholar] [CrossRef]
- Tessendorf, J. Simulating Ocean Water; ACM Special Interest Group on Computer Graphics and Interactive Techniques: Boulder, CO, USA, 2004; pp. 3–26. [Google Scholar]
- Kay, S.; Hedley, J.D.; Lavender, S.; Nimmo-Smith, A. Light transfer at the ocean surface modeled using high resolution sea surface realizations. Opt. Express 2011, 19, 6493–6504. [Google Scholar] [CrossRef] [PubMed]
- Cox, W.; Muth, J. Simulating channel losses in an underwater optical communication system. J. Opt. Soc. Am. 2014, 31, 920–934. [Google Scholar] [CrossRef] [PubMed]
- Morel, A.; Maritorena, S. Bio-optical properties of oceanic waters: A reappraisal. J. Geophys. Res. 2001, 106, 7163–7180. [Google Scholar] [CrossRef]
- Mobley, C.D. The Oceanic Optics Book; International Ocean Colour Coordinating Group (IOCCG): Dartmouth, NS, Canada, 2022; pp. 247–321. [Google Scholar]
- World Climate Research Programme (WCRP). A Preliminary Cloudless Standard Atmosphere for Radiation Computation; WMO/TD-NO. 24; International Association for Meteorology and Atmospheric Physics, Radiation Commission: Thessaloniki, Greece, 1986; pp. 1–45. [Google Scholar]
- Guo, K.; Li, Q.; Mao, Q.; Wang, C.; Zhu, J.; Liu, Y.; Xu, W.; Zhang, D.; Wu, A. Errors of Airborne Bathymetry LiDAR Detection Caused by Ocean Waves and Dimension-Based Laser Incidence Correction. Remote Sens. 2021, 13, 1750. [Google Scholar] [CrossRef]
- Guo, Q.; Zhang, Y.; Lin, X.; Yu, T. Centroid locating method of spaceborne laser altimeter ground-based spot. Chin. J. Electron. 2018, 35, 338–343. [Google Scholar]
- Gao, H.; Li, N.; Zhang, T.; Romanic, D.; Wright, J.S.; Guan, L. A Generalized Model of Sea Surface Slopes and Its Application to Sun Glint Correction on HY-1C/COCTS Imagery. IEEE Trans. Geosci. Remote Sens. 2024, 62, 5651816. [Google Scholar] [CrossRef]
- Zhang, H.; Wang, M. Evaluation of sun glint models using MODIS measurements. J. Quant. Spectrosc. Radiat. Transf. 2010, 111, 492–506. [Google Scholar] [CrossRef]










| Spectrum | Input Parameter | Description |
|---|---|---|
| Neumann [33] | wind speed | Growth of wind-generated ocean waves |
| Pierson-Moskowitz [34] | wind speed | Steady wind & fully developed sea state model |
| JONSWAP [35] | parameters of fetch | Enhanced peakness & rapid energy growth under wind |
| Apel [36] | wind speed & wave age | Model for Radar applications |
| Elfouhaily [37] | wind speed & wave age | Unifies low and high wavenumbers for optical data |
| Hwang [38] | wind speed, wave age & influence parameters | Model from tropical cyclones |
| Parameters | U [m s−1] | |||
| 1 | 5 | 10 | 15 | |
| L [m] | 6 | 50 | 300 | 480 |
| N | 240 | 2000 | 3000 | 2400 |
| Layer [km] | Aerosol Type | |
|---|---|---|
| 0~2 | maritime | 0.26 |
| 2~12 | continental | 0.05 |
| 12~50 | sulfate | 0.005 |
| Model | 10−3] at Wind Speed [m s−1] | ||||
|---|---|---|---|---|---|
| 1 | 5 | 10 | 15 | ||
| Cox & Munk [16] | 8.12 | 28.6 | 54.2 | 79.8 | |
| Hu et al. [29] | 14.6 | 32.6 | 54.2 | 78.3 | |
| Elfouhaily Spectrum | origin | 6.89 | 31.5 | 53.9 | 78.1 |
| Refined | 16.6 | ||||
| Setting | Parameter | Value | |
|---|---|---|---|
| Initial laser | Shape | Gaussian | |
| Wavelength [nm] | 532 | ||
| Beam waist [mm] | 2 | ||
| Divergence angle [mrad] | 2 | ||
| Receiver plane | Telescope diameter | Optimal | |
| Field of view [rad] | π | ||
| Height [km] | 500 | ||
| Channel | Seawater | Type | & homogeneous |
| Depth [m] | 20, 60 & 100 | ||
| Sea surface | Model | Statistical model (Hu model) | |
| Spatial model (Elfouhaily spectrum) | |||
| Wind speed [m s−1] | 1, 5, 10, 15 | ||
| Air | Preliminary cloudless standard atmosphere (see in Table 3) | ||
Disclaimer/Publisher’s Note: The statements, opinions and data contained in all publications are solely those of the individual author(s) and contributor(s) and not of MDPI and/or the editor(s). MDPI and/or the editor(s) disclaim responsibility for any injury to people or property resulting from any ideas, methods, instructions or products referred to in the content. |
© 2025 by the authors. Licensee MDPI, Basel, Switzerland. This article is an open access article distributed under the terms and conditions of the Creative Commons Attribution (CC BY) license (https://creativecommons.org/licenses/by/4.0/).
Share and Cite
Gao, H.; Zhang, T.; Yuan, R.; Hu, L.; Chen, S. Modeling and Performance Analysis of Uplink Laser Transmission Across Sea Surfaces: A Channel Characterization Study. Sensors 2025, 25, 1239. https://doi.org/10.3390/s25041239
Gao H, Zhang T, Yuan R, Hu L, Chen S. Modeling and Performance Analysis of Uplink Laser Transmission Across Sea Surfaces: A Channel Characterization Study. Sensors. 2025; 25(4):1239. https://doi.org/10.3390/s25041239
Chicago/Turabian StyleGao, Hong, Tinglu Zhang, Ruiman Yuan, Lianbo Hu, and Shuguo Chen. 2025. "Modeling and Performance Analysis of Uplink Laser Transmission Across Sea Surfaces: A Channel Characterization Study" Sensors 25, no. 4: 1239. https://doi.org/10.3390/s25041239
APA StyleGao, H., Zhang, T., Yuan, R., Hu, L., & Chen, S. (2025). Modeling and Performance Analysis of Uplink Laser Transmission Across Sea Surfaces: A Channel Characterization Study. Sensors, 25(4), 1239. https://doi.org/10.3390/s25041239

