An Improved UWB Indoor Positioning Approach for UAVs Based on the Dual-Anchor Model
Abstract
1. Introduction
- A dual-anchor positioning model designed for the indoor environment of UAVs is proposed, which not only reduces the number of anchors but also achieves high positioning accuracy. To comprehensively study the performance of the dual-anchor positioning model, the positioning formula, the maximum positioning error formula, and the positioning standard deviation formula are derived, and the positioning simulation is carried out.
- A fusion method for measuring the flight altitude of a UAV was designed, which integrates the data of a laser rangefinder and barometer to solve the problem of obstacles under the UAV affecting the altitude measurement when using the dual-anchor positioning model.
- A position-filtering algorithm was designed to be applied in the dual-anchor model. Based on the UKF algorithm, the data of the UWB, laser rangefinder, barometer, and accelerometer were fused to further improve the positioning accuracy of the dual-anchor positioning model.
- A quadcopter was used as a test platform, and a series of simulations and experiments, including static positioning experimentation, dynamic positioning experimentation, and comprehensive experimentation, were conducted to assess the performance of the dual-anchor positioning model.
2. UWB Positioning Model
2.1. Traditional Three-Anchor Positioning Model
2.2. Dual-Anchor Positioning Model
- (1)
- The coordinates of the UAV, named P, are projected onto the xy-plane, designated as P’(px, py, 0). The projections of the lines, named AP and BP, onto the xy-plane are represented by AP’ and BP’, respectively. In the right-angled triangle PAP’, AP’ denotes a right-angled edge, the length of which is designated as la’. Similarly, in the right-angled triangle PBP’, BP’ denotes a right-angled edge, the length of which is defined as lb’. la’ and lb’ can be determined through the following equation:
- (2)
- The projections of the projected point P’ on the x- and y-axes are px’ and py’, respectively. In the right-angled triangle AP’Px’, AP’ denotes a right-angled edge, the length of which is designated as la’. Similarly, in the right-angled triangle P’Px’B, BP’ denotes a right-angled edge, the length of which is defined as lb’, and can be determined through the following equation:
- (3)
- Equations (3) to (5) should be combined to derive the formula for the horizontal direction coordinates px, py, and pz, which can be expressed as follows:
2.3. Positioning Error Estimation
2.4. Multi-Area Positioning of Dual-Anchor Model
2.5. A Non-Negligible Problem of the Dual-Anchor Positioning Model
3. Work Related to Positioning
3.1. Altitude Fusion Method
- (1)
- The discrepancy between the laser rangefinder and barometer, designated as Δh1, is less than the threshold value h1. This condition is employed for the rapid identification of elevated objects, such as boxes or tables, as follows:
- (2)
- Smoothing is applied to Δh1 to improve measurement resolution, and the average value of Δh1 over n sampling periods, denoted as Δh2, is smaller than the threshold value h2. This condition is employed for the purpose of detecting obstacles with lower heights or those exhibiting slow changes, such as books or slopes, as follows:
- (1)
- Δh2 must be less than the threshold value h3, which must be less than h2, which ensures that there are no obstacles beneath the UAV:
- (2)
- The variance Dh of the barometer within a unit of time must be less than the threshold h4, which ensures that the UAV maintains a constant altitude during a period, thereby enhancing the accuracy of the barometer measurements:
- (3)
- To circumvent the potential issue of rapid calibration, which leads to the failure to detect smaller objects, the calibration period is set to several sampling periods. Calibration is only permitted when the calibration moment is reached. Denoting the current moment as t, the last calibration moment as t1, and the calibration period as Δt, the following conditions need to be satisfied for altitude calibration:
3.2. Positioning-Filtering Algorithm Based on UKF
4. Methods
4.1. Simulations Methods
4.1.1. Simulation of Positioning Errors
4.1.2. Simulation of the Altitude Fusion Method
4.1.3. Simulation of the Positioning-Filtering Algorithms
4.2. Experiments Methods
4.2.1. UAV Experimental Platform
4.2.2. Static Positioning Experiment and Analysis
4.2.3. Dynamic Positioning Experiment
4.2.4. Comprehensive Experiment
5. Results and Discussion
5.1. Simulation Results
5.1.1. Results of Positioning Errors Simulation
5.1.2. Results of the Altitude Fusion Method Simulation
5.1.3. Results of the Positioning-Filtering Algorithm Simulation
5.2. Experiments Results
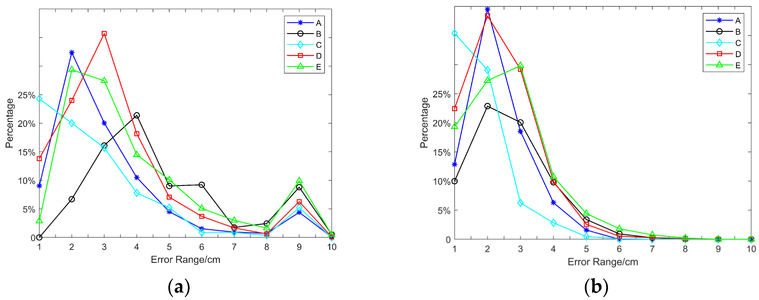
5.2.1. Results of Static Positioning Experiment
5.2.2. Results of Dynamic Positioning Experiment
5.2.3. Result of Comprehensive Experiment
5.3. Comparison of Positioning Performance
6. Conclusions
- In the comprehensive experiment, the UAV successfully completed the flight of the complex route in the simulated indoor environment, thereby indicating the feasibility of the dual-anchor model in principle. The UAV demonstrated the capacity to accurately measure flight altitude when flying over the designated box, thereby validating the efficacy of the employed altitude fusion algorithm.
- In the comparison of positioning accuracy, the maximum positioning RMSE of the dual-anchor model is 14.2 cm, which is at the same level as that of other multi-anchor models, indicating that it has decimeter-level positioning accuracy. In the dynamic experiment, the positioning RMSE decreased from 8.14 cm to 4.93 cm after applying the positioning-filtering algorithm, indicating that the UKF achieved a good filtering effect on the dual-anchor model.
- Although the dual-anchor model is only a basic positioning unit, it can also be applied in multi-area positioning. In comparison with the multi-anchor model, the number of UWB anchors of the dual-anchor model can be reduced by approximately 33%. This reduction in anchors has two main benefits. Firstly, it results in a reduction in equipment cost. Secondly, it results in a reduction in deployment workload. The dual anchor model has a favorable cost-to-performance ratio, which is advantageous in practical applications.
Author Contributions
Funding
Institutional Review Board Statement
Informed Consent Statement
Data Availability Statement
Conflicts of Interest
References
- Mohsan, S.A.H.; Khan, M.A.; Noor, F.; Ullah, I.; Alsharif, M.H. Towards the Unmanned Aerial Vehicles (UAVs): A Comprehensive Review. Drones 2022, 6, 147. [Google Scholar] [CrossRef]
- Yang, H.; Lee, Y.; Jeon, S.-Y.; Lee, D. Multi-Rotor Drone Tutorial: Systems, Mechanics, Control and State Estimation. Intel. Serv. Robot. 2017, 10, 79–93. [Google Scholar] [CrossRef]
- Boon, M.A.; Drijfhout, A.P.; Tesfamichael, S. Comparison of a fixed-wing and multi-rotor uav for environmental mapping applications: A case study. Int. Arch. Photogramm. Remote Sens. Spat. Inf. Sci. 2017, XLII-2-W6, 47–54. [Google Scholar] [CrossRef]
- Zou, J.-T.; Wang, C.-Y.; Wang, Y.M. The Development of Indoor Positioning Aerial Robot Based on Motion Capture System. In Proceedings of the 2016 International Conference on Advanced Materials for Science and Engineering (ICAMSE), Tainan, Taiwan, 12–13 November 2016; pp. 380–383. [Google Scholar]
- Bernard, J.; Wilhelm, N.; Krüger, B.; May, T.; Schreck, T.; Kohlhammer, J. MotionExplorer: Exploratory Search in Human Motion Capture Data Based on Hierarchical Aggregation. IEEE Trans. Vis. Comput. Graph. 2013, 19, 2257–2266. [Google Scholar] [CrossRef]
- Ding, C.; Dai, Y.; Feng, X.; Zhou, Y.; Li, Q. Stereo Vision SLAM-Based 3D Reconstruction on UAV Development Platforms. J. Electron. Imag. 2023, 32, 013041. [Google Scholar] [CrossRef]
- Mur-Artal, R.; Tardos, J.D. ORB-SLAM2: An Open-Source SLAM System for Monocular, Stereo, and RGB-D Cameras. IEEE Trans. Robot. 2017, 33, 1255–1262. [Google Scholar] [CrossRef]
- Grisetti, G.; Stachniss, C.; Burgard, W. Improved Techniques for Grid Mapping With Rao-Blackwellized Particle Filters. IEEE Trans. Robot. 2007, 23, 34–46. [Google Scholar] [CrossRef]
- Lei, Q.; Wang, X.; Liu, Y.; Guo, J.; Cai, T.; Xia, X. Monitoring Change and Recovery of an Embayed Beach in Response to Typhoon Storms Using UAV LiDAR. Drones 2024, 8, 172. [Google Scholar] [CrossRef]
- Shen, H.; Zong, Q.; Lu, H.; Zhang, X.; Tian, B.; He, L. A Distributed Approach for Lidar-Based Relative State Estimation of Multi-UAV in GPS-Denied Environments. Chin. J. Aeronaut. 2022, 35, 59–69. [Google Scholar] [CrossRef]
- Ren, R.; Fu, H.; Wu, M. Large-Scale Outdoor SLAM Based on 2D Lidar. Electronics 2019, 8, 613. [Google Scholar] [CrossRef]
- DW1000 3.5–6.5 GHz Ultra-Wideband (UWB) Transceiver IC with 1 Antenna Port. Available online: https://www.qorvo.com/products/p/DW1000 (accessed on 27 October 2024).
- Van Herbruggen, B.; Luchie, S.; Wilssens, R.; De Poorter, E. Single Anchor Localization by Combining UWB Angle-of-Arrival and Two-Way-Ranging: An Experimental Evaluation of the DW3000. In Proceedings of the 2024 International Conference on Localization and GNSS (ICL-GNSS), Antwerp, Belgium, 25–27 June 2024; pp. 1–7. [Google Scholar]
- Yang, B.; Yang, E. A Survey on Radio Frequency Based Precise Localisation Technology for UAV in GPS-Denied Environment. J. Intell Robot. Syst. 2021, 103, 38. [Google Scholar] [CrossRef]
- Che, F.; Ahmed, Q.Z.; Fontaine, J.; Van Herbruggen, B.; Shahid, A.; De Poorter, E.; Lazaridis, P.I. Feature-Based Generalized Gaussian Distribution Method for NLoS Detection in Ultra-Wideband (UWB) Indoor Positioning System. IEEE Sens. J. 2022, 22, 18726–18739. [Google Scholar] [CrossRef]
- Queralta, J.P.; Martinez Almansa, C.; Schiano, F.; Floreano, D.; Westerlund, T. UWB-Based System for UAV Localization in GNSS-Denied Environments: Characterization and Dataset. In Proceedings of the 2020 IEEE/RSJ International Conference on Intelligent Robots and Systems (IROS), Las Vegas, NV, USA, 24 October 2020; pp. 4521–4528. [Google Scholar]
- Zhou, N.; Si, M.; Li, D.; Seow, C.K.; Mi, J. An Indoor UWB 3D Positioning Method for Coplanar Base Stations. Sensors 2022, 22, 9634. [Google Scholar] [CrossRef] [PubMed]
- Kim, E.; Choi, D. A UWB Positioning Network Enabling Unmanned Aircraft Systems Auto Land. Aerosp. Sci. Technol. 2016, 58, 418–426. [Google Scholar] [CrossRef]
- Zeng, Q.; Jin, Y.; Yu, H.; You, X. A UAV Localization System Based on Double UWB Tags and IMU for Landing Platform. IEEE Sens. J. 2023, 23, 10100–10108. [Google Scholar] [CrossRef]
- Li, J.; Bi, Y.; Li, K.; Wang, K.; Lin, F.; Chen, B.M. Accurate 3D Localization for MAV Swarms by UWB and IMU Fusion. In Proceedings of the 2018 IEEE 14th International Conference on Control and Automation (ICCA), Anchorage, AK, USA, 12–15 June 2018; pp. 100–105. [Google Scholar]
- Guo, K.; Qiu, Z.; Miao, C.; Zaini, A.; Chen, C.-L.; Meng, W.; Xie, L. Ultra-Wideband-Based Localization for Quadcopter Navigation. Unmanned Syst. 2016, 4, 23–34. [Google Scholar] [CrossRef]
- Wang, G.; Qin, S.; Lv, Q.; Wei, H.; Lin, H.; Liang, B. UWB and IMU System Fusion for Indoor Navigation. In Proceedings of the 2018 37th Chinese Control Conference (CCC), Antwerp, Belgium, 25–27 July 2018; pp. 4946–4950. [Google Scholar]
- You, W.; Li, F.; Liao, L.; Huang, M. Data Fusion of UWB and IMU Based on Unscented Kalman Filter for Indoor Localization of Quadrotor UAV. IEEE Access 2020, 8, 64971–64981. [Google Scholar] [CrossRef]
- Yin, H.; Xia, W.; Zhang, Y.; Shen, L. UWB-Based Indoor High Precision Localization System with Robust Unscented Kalman Filter. In Proceedings of the 2016 IEEE International Conference on Communication Systems (ICCS), Shenzhen, China, 14–16 December 2016; pp. 1–6. [Google Scholar]
- Improved Adaptive Iterated Extended Kalman Filter for GNSS/INS/UWB-Integrated Fixed-Point Positioning. CMES—Comput. Model. Eng. Sci. 2022, 134, 1761–1772.
- Mu, H.; Yu, C.; Jiang, S.; Luo, Y.; Zhao, K.; Chen, W. Indoor Pedestrian Positioning Method Based on Ultra-Wideband with a Graph Convolutional Network and Visual Fusion. Sensors 2024, 24, 6732. [Google Scholar] [CrossRef]
- Xiong, C.; Lu, W.; Xiong, H.; Ding, H.; He, Q.; Zhao, D.; Wan, J.; Xing, F.; You, Z. Onboard Cooperative Relative Positioning System for Micro-UAV Swarm Based on UWB/Vision/INS Fusion through Distributed Graph Optimization. Measurement 2024, 234, 114897. [Google Scholar] [CrossRef]
- Cao, Y.; Yang, C.; Li, R.; Knoll, A.; Beltrame, G. Accurate Position Tracking with a Single UWB Anchor. In Proceedings of the 2020 IEEE International Conference on Robotics and Automation (ICRA), Paris, France, 31 May 2020–31 August 2020; pp. 2344–2350. [Google Scholar]
- Zhang, Y.; Zhu, Y.; Xia, W.; Shen, L. A Single-Anchor Calibration Indoor Positioning System Using Heterogeneous Sensors. In Proceedings of the 2015 International Conference on Wireless Communications & Signal Processing (WCSP), Nanjing, China, 15–17 October 2015; pp. 1–5. [Google Scholar]
- Zhou, X.; Zhong, H.; Zhang, H.; Jiang, Y.; Wang, Y. Optimization-Based Single Anchor UWB Positioning System for Mobile Robots. IEEE Trans. Instrum. Meas. 2024, 73, 7510111. [Google Scholar] [CrossRef]
- Dobrev, Y.; Dobrev, Y.; Gulden, P.; Lipka, M.; Pavlenko, T.; Moormann, D.; Vossiek, M. Radar-Based High-Accuracy 3D Localization of UAVs for Landing in GNSS-Denied Environments. In Proceedings of the 2018 IEEE MTT-S International Conference on Microwaves for Intelligent Mobility (ICMIM), Munich, Germany, 15–17 April 2018; pp. 1–4. [Google Scholar]
- Helton, J.C. Uncertainty and Sensitivity Analysis Techniques for Use in Performance Assessment for Radioactive Waste Disposal. Reliab. Eng. Syst. Saf. 1993, 42, 327–367. [Google Scholar] [CrossRef]
- Taylor, J.R. An Introduction to Error Analysis: The Study of Uncertainties in Physical Measurements, 2nd ed.; University Science Books: Sausalito, CA, USA, 1997; pp. 209–215. [Google Scholar]
- ICP-10101 High-Accuracy, Low-Power, Barometric Pressure & Temperature Sensor IC. Available online: https://invensense.tdk.com/products/smartpressure/icp-10101/ (accessed on 27 October 2024).
- Brown, R.G.; Hwang, P.Y.C. Introduction to Random Signals and Applied Kalman Filtering, 4th ed; Wiley: New York, NY, USA, 2012; pp. 257–268. [Google Scholar]
- Julier, S.J.; Uhlmann, J.K. Unscented Filtering and Nonlinear Estimation. Proc. IEEE 2004, 92, 401–422. [Google Scholar] [CrossRef]
- Konatowski, S.; Pieni, A.T. A Comparison of Estimation Accuracy by the Use of KF, EKF & UKF Filters. In WIT Transactions on Modelling and Simulation; WIT Press: Southampton, UK, 2007; Volume 46. [Google Scholar]
- TFmini Plus12m IP65 Protected LiDAR. Available online: https://en.benewake.com/TFminiPlus/index.html (accessed on 27 October 2024).

















| Altitude | (Dual Anchor/Three Anchor) | |||
|---|---|---|---|---|
| Δpx (cm) | Δpy (cm) | Δpz (cm) | Δpd (cm) | |
| 1 m | 24.2/24.2 | 28.4/33.5 | 2.0/39.5 | 30.5/48.4 |
| 2 m | 24.5/24.5 | 30.7/55.6 | 2.0/41.5 | 32.6/70.6 |
| 3 m | 24.9/24.9 | 33.8/94.3 | 2.0/50.1 | 36.0/108.0 |
| Position | A | B | C | D | E |
|---|---|---|---|---|---|
| Original | 6.01 | 7.48 | 5.81 | 6.21 | 6.95 |
| Filtered | 3.96 | 4.46 | 3.77 | 3.96 | 5.48 |
| Δpx | Δpy | Δpd | |
|---|---|---|---|
| Original | 8.14 | 4.93 | 8.14 |
| Filtered | 4.85 | 3.60 | 4.93 |
| Δpx | Δpy | Δpd | |
|---|---|---|---|
| AB | 3.9 | 7.8 | 8.6 |
| BC | 5.2 | 6.5 | 7.3 |
| CD | 7.8 | 4.0 | 8.1 |
| DA | 12.8 | 7.5 | 14.2 |
| Number of Anchors | Additional Sensors | Fusion Algorithm | Dimensions | Accuracy (cm) |
|---|---|---|---|---|
| 1 | Odometry | KF | 2D | 21 |
| 2 | Rangefinder, Barometer, Accelerometer | UKF | 3D | 14.2 (RMSE) |
| 4 | Camera | PF | 2D | 24 in 80% |
| 10 | / | / | 3D | 20 in 95% |
Disclaimer/Publisher’s Note: The statements, opinions and data contained in all publications are solely those of the individual author(s) and contributor(s) and not of MDPI and/or the editor(s). MDPI and/or the editor(s) disclaim responsibility for any injury to people or property resulting from any ideas, methods, instructions or products referred to in the content. |
© 2025 by the authors. Licensee MDPI, Basel, Switzerland. This article is an open access article distributed under the terms and conditions of the Creative Commons Attribution (CC BY) license (https://creativecommons.org/licenses/by/4.0/).
Share and Cite
Xiang, Z.; Chen, L.; Wu, Q.; Yang, J.; Dai, X.; Xie, X. An Improved UWB Indoor Positioning Approach for UAVs Based on the Dual-Anchor Model. Sensors 2025, 25, 1052. https://doi.org/10.3390/s25041052
Xiang Z, Chen L, Wu Q, Yang J, Dai X, Xie X. An Improved UWB Indoor Positioning Approach for UAVs Based on the Dual-Anchor Model. Sensors. 2025; 25(4):1052. https://doi.org/10.3390/s25041052
Chicago/Turabian StyleXiang, Zhengrong, Lei Chen, Qiqi Wu, Jianfeng Yang, Xisheng Dai, and Xianming Xie. 2025. "An Improved UWB Indoor Positioning Approach for UAVs Based on the Dual-Anchor Model" Sensors 25, no. 4: 1052. https://doi.org/10.3390/s25041052
APA StyleXiang, Z., Chen, L., Wu, Q., Yang, J., Dai, X., & Xie, X. (2025). An Improved UWB Indoor Positioning Approach for UAVs Based on the Dual-Anchor Model. Sensors, 25(4), 1052. https://doi.org/10.3390/s25041052

