Next Article in Journal
Precision Soil Moisture Monitoring Through Drone-Based Hyperspectral Imaging and PCA-Driven Machine Learning
Previous Article in Journal
Node Selection and Path Optimization for Passive Target Localization via UAVs
 
 
Font Type:
Arial Georgia Verdana
Font Size:
Aa Aa Aa
Line Spacing:
Column Width:
Background:
Article

Electrode Setup for Electromyography-Based Silent Speech Interfaces: A Pilot Study

HiTZ Basque Center for Language Technology, University of the Basque Country, Ingeniero Torres Quevedo Plaza, 1, 48013 Bilbao, Spain
*
Authors to whom correspondence should be addressed.
Sensors 2025, 25(3), 781; https://doi.org/10.3390/s25030781
Submission received: 15 November 2024 / Revised: 15 January 2025 / Accepted: 25 January 2025 / Published: 28 January 2025
(This article belongs to the Section Biosensors)

Abstract

This paper describes a series of pilot experiments developed to define the electrode setup in order to record a novel parallel electromyography (EMG)–audio database. The main purpose of the database is to provide data useful for the development of an EMG-based silent speech interface for Spanish laryngectomized speakers. Motivated by the scarcity of information in related studies regarding this important decision-making process, we decided to carry out a set of experiments with multiple recording sessions and different setups. We included different electrode types (paired and concentric) and locations targeting different muscles in the face and neck involved in the speech production process. We then analyzed the results obtained in a phone classification task using frame-based phone accuracy. The final setup consists of eight channels with bipolar single-electrode pairs targeting eight specific muscles crucial for capturing speech-related information: the digastric, the depressor anguli oris, the risorius, the levator labii superioris, the masseter, the zygomaticus major, the depressor labii superioris, and the stylohyoid. This setup has been used for the final recordings in the database. By providing insight into the electrode setups that were used in related studies and the optimal setup that resulted from this pilot study, we hope that this research will help future researchers in the field in determining their experimental setup.

1. Introduction

Speech production is a significant part of human communication and is a complex process consisting of several components working together. It involves transforming a sound source generated by air from the lungs into phones (speech sounds) through articulation by facial, mouth, and tongue muscles. However, for people who have undergone a total laryngectomy, the production of laryngeal speech is no longer possible because they have had their vocal cords removed. The vocal cords are essential for speech production since they add vibration to voiced sounds and determine the pitch and volume of the resulting sound. To help laryngectomized speakers communicate, an alternative to laryngeal speech is required. Several alaryngeal speech methods exist, namely esophageal speech (when air is swallowed and released again making use of vibrating tissue in the esophagus), the use of an electrolarynx (which is an electric device held to the throat to create artificial vibration), or having a tracheoesophageal voice prosthesis following a medical procedure. However, these methods present large disadvantages compared to laryngeal speech, as they are harder to understand by others, and a large part of the speaker’s voice identity is lost [1,2,3,4].
This calls for the development of a silent speech interface (SSI), which is a technological application that outputs a synthetic voice, preferably adapted to the speaker’s original voice, and which is derived from biosignals taken from the brain, muscles, lips, or tongue [5,6,7].
To capture muscle activity, a technique called electromyography (EMG) is used [8]. EMG means “recording (graphy) of electricity (electro) of the muscle (myo)”. A muscle contracts due to electrical impulses activated by signals from the brain and relaxes when there is a lack of those impulses. These electrical impulses can be recorded by an EMG device through electrodes inserted in the muscle (invasive EMG; iEMG) or attached to the skin (surface EMG; sEMG). The resulting EMG signal represents the presence and absence of electricity in the muscle. We have selected sEMG due to its non-invasive nature. Some studies have based their SSI on more invasive methods, such as Permanent Magnet Articulography [9,10], which requires placing magnets on the tongue, as well as on the lips. This method offers the advantage of capturing tongue movements, which are not directly measurable with sEMG, but it is more uncomfortable for the user.
As part of the ReSSInt project [11,12], we wanted to create an EMG and speech database that can be used to develop an SSI for laryngectomized Spanish speakers. For this, it is essential to determine the optimal electrode setup. Decisions have to be made regarding the electrode type, number, and locations while considering practicality and speaker comfort.
There are two ways to acquire EMG signals, namely in monopolar or differential configuration. For monopolar acquisition, a reference electrode is required, which is placed in a location where no activity related to the muscle activity is expected, for example, on the earlobe. Then, the signal from the reference electrode is subtracted from the raw signal from the single monopolar electrode on the target muscle. Differential acquisition means that the difference between the signals acquired in two points is measured. This can be performed using bipolar electrodes (made up of a pair of single electrodes) or an array of at least two electrodes. Two measuring points form one channel, whether that is between two bipolar electrodes, between the reference and a monopolar electrode, or between two electrodes in an array.
Over the years, several electrode setups have been used to acquire EMG from facial muscles, differing in type (monopolar, bipolar, array electrodes, or a combination of them), shape (circular or rectangular), number of channels (ranging from one to more than 100), and locations of the electrodes.
Table 1 provides an overview of previous studies and the electrode setups used. The table is divided into four sections, corresponding to four approaches used to select the electrode locations.
The first approach (section 1) is targeting specific muscles. In a series of studies by different research groups [13,14,15,16,17,18,19,20], a group of five muscles was targeted, namely the levator anguli oris (LAO), the zygomaticus major (ZYG), the platysma (PLT), the depressor anguli oris (DAO), and the anterior belly of the digastric (ABD), i.e., the superficial muscle most related to the tongue. In other studies, different muscles such as the buccinator (BUC), orbicularis oris (OBO), mentalis (MNT), levator labii superioris (LLS), mylohyoid (MLH), sternocleidomastoid (SCM), or the risorius (RIS), i.e., the laughing muscle, were targeted [21,22,23,24,25,26].
In the second approach (section 2), no specific muscles are targeted, but anatomical regions are targeted. A series of studies using this approach by a group of the same researchers includes [27,28,29,30,31,32]. More recently, the same approach was used by Gaddy and Klein [33,34,35].
The third approach (section 3) is a high-density electrode setup without targeting a particular muscle or anatomical region, either using electrode arrays [19,20,36] or all single electrodes [37,38,39,40,41].
A fourth approach (section 4) was proposed recently by [42] in which they used arrays to select eight electrodes to target specific muscles.
From the four approaches, we believe that the one where specific muscles are targeted is the most accurate for the task of predicting speech from facial muscles, considering the physiology of muscles and the muscular anatomy of the face. First of all, while electrode arrays might be suitable for large muscles, we believe it is not the best approach when considering facial muscles. The arrays are rigid and therefore difficult to adjust to the movement of the muscles while speaking. Furthermore, knowing that activation potentials travel along the length of a muscle, longitudinal acquisition of the target muscle is required. However, most facial muscles are long and narrow and close to each other, so using an array (or a high-density setup with single electrodes) increases the risk of cross-talk, which is the interference of muscle activity from surrounding or underlying muscles in the signal of the target muscle.
Figure A1 in Appendix A shows a diagram of the studies and how they are connected. Here you can see that, as is normal in academic research, often one study is a continuation of a previous study by a group of the same authors. However, we realized that the studies that follow the approach that we are interested in (see section one of Table 1) go back to one study [13] or do not provide a systematic approach. Therefore we wanted to conduct a pilot study to find the optimal electrode setup before recording the database. This paper shows the results of that pilot study, comparing electrode types and locations.
Regarding the distinction between monopolar and bipolar EMG acquisition configuration, the studies found [8,43,44,45] are not very conclusive and not focused on small muscles such as muscles of the face. However, we were strongly advised by the equipment provider in favor of bipolar configuration, which we adopted. Bipolar acquisition ensures that there are two measuring points for the same muscle and (if placed correctly) activity from a non-target muscle can be canceled out. We compared two types of bipolar electrodes, namely concentric electrodes and pairs of single electrodes. The results of this experiment are included in this paper. In addition, we tried cup electrodes that are usually used for the scalp due to their smaller size, but they appeared to be too impractical to be used in the face. The main problem was that these electrodes would not stay in place as a result of movements in the face and the weight of the cables.
To select the locations of the electrodes, we targeted 14 muscles in the face and neck of one participant and used the results of per-channel phone classification experiments to discard the least useful channels, resulting in an eight-channel setup targeting five muscles in the face and three in the neck.
This paper is organized as follows. In the next section, the materials and methodology of the pilot study are described in more detail, namely how the data are collected (Section 2.1) and processed (Section 2.2), and the experimental part (Section 2.3) of the classification tasks. Then, the results of the electrode type comparison (Section 3.1) and the channel selection (Section 3.2) are summarized. Finally, we provide a discussion and conclusion (Section 4).
Table 1. Electrode number, type, and locations in previous studies. Each of the sections lists studies with a similar approach, which are described in the Introduction. Grouped studies used the same setup.
Table 1. Electrode number, type, and locations in previous studies. Each of the sections lists studies with a similar approach, which are described in the Introduction. Grouped studies used the same setup.
ReferenceElectrode Number and TypeLocations
Chan et al. (2001, 2002) [13,14]5 pairsLAO, ZYG, PLT, DAO, ABD
Maier-Hein et al. (2005) [15]7 pairs (3 bipolar, 4 monopolar)LAO, ZYG, PLT, DAO, ABD, Tongue
Jou et al. (2006) [16]6 pairs (2 bipolar, 4 monopolar)LAO, ZYG, PLT, ABD, Tongue
Schultz and Wand (2010) [17]; Wand and Schultz (2011) [18]5 pairs (2 bipolar, 3 monopolar)LAO, ZYG, PLT, ABD, Tongue
Diener et al. (2015) [19]; Diener (2021) [20]5 pairs (2 bipolar, 3 monopolar)LAO, ZYG, PLT, ABD, Tongue
Mostafa et al. (2016) [21]3 electrodesMAS, BUC, Depressor
Soon et al. (2017) [22]1 pairOBO
Ma et al. (2019) [23]2 monopolar electrodes, 2 bipolar pairsRIS, ABD, LIN, LAO
Wang et al. (2021) [24]4 pairsLAO, DAO, BUC, ABD
Wu et al. (2022) [25]6 pairsMNT, RIS, LLS, ABD, MLH, PLT
Li et al. (2023) [26]6 tripolarOBO, MAS, lower lip muscle, bi-abdominal anterior abdomen, inferior lateral muscle of the hyoid bone, SCM
Meltzner et al. (2008) [27]; Colby et al. (2009) [28]11 bipolar barssupralabial, labial, sublabial, submental neck, midline neck, lateral neck
Meltzner et al. (2011) [29]8 single-differential barssubmental neck, ventromedial neck, supralabial face, infralabial face
Deng et al. (2014) [30]4 sensorsabove and below the oral commissure, submental surface, ventral neck surface
Meltzner et al. (2017) [31]8 differential barssubmental, ventromedial, supralabial, infralabial
Meltzner et al. (2018) [32]11 sensorssubmental region, ventral neck, face
Gaddy and Klein (2020, 2021) [33,34]; Gaddy (2022) [35]8 monopolar electrodesleft cheek just above mouth, left corner of chin, below chin back 3 cm, throat 3 cm left from Adam’s apple, mid-jaw right, right cheek just below mouth, right cheek 2 cm from nose, back of right cheek; 4 cm in front of ear
Wand et al. (2013) [36]two 1 × 8 stripscheek, chin
Wand et al. (2013) [36]; Diener et al. (2015) [19]; Diener (2021) [20]4 × 8 grid, 1 × 8 stripcheek, chin
Zhu et al. (2019, 2020, 2021) [37,38,41]; Wang et al. (2020, 2021) [39,40]120 high-density electrodescheeks, neck
Deng et al. (2023) [42]8 electrodes within two 32-channel arraysZYG, RIS, DAO, SCM, ABD, PLT

2. Materials and Methods

This section describes the methodological part of this study. First, we explain how we collected the data, the materials we used, and the resulting pilot database (Section 2.1). Then, we describe how we processed the signals and extracted features from them (Section 2.2). Lastly, we explain the experiments we performed and the models we used (Section 2.3) and how we evaluated the outcomes of these experiments (Section 2.4).

2.1. Data Collection

As described in Section 1, when preparing the data acquisition method for the ReSSInt database, a pilot experiment was conducted to find the most optimal electrode setup in terms of electrode type, size, location, and number. For this, we collected data in three sessions from one male native Spanish speaker. Each session was designed with a different goal in mind and served as data for different experiments (see Section 2.3). Table 2 provides an overview of the electrode setups per session, specifically the muscles that were targeted in each session. We placed the electrodes in the middle of the muscle. In the case of the electrode pairs, the electrodes were placed next to each other in the direction of the muscle fiber. As a reference, we used images of the respective muscles from www.learnmuscles.com (accessed on 15 November 2024) and the 3D anatomy visualizer on www.zygotebody.com (accessed on 15 November 2024).
In terms of electrode type and size, we compared bipolar concentric electrodes (Figure 1a) to bipolar single-paired electrodes (Figure 1b), referred to as Session 1. On the one hand, the positions of the two electrodes in a concentric electrode are fixed, which could help reduce inter-session variability. On the other hand, a concentric electrode has a larger diameter (40 mm) than a single electrode (24 mm), which could result in more cross-talk. There was no inter-electrode distance (IED) between the two bipolar electrodes. The inner diameter of the concentric electrode is 10 mm and the outer diameter is 31 mm.
The participant recorded 250 phonemically balanced short sentences taken from the Sharvard Corpus [46], once with each electrode setup, which consisted of five channels on the left side of the face.
To see which muscles were most significant, we performed a session (Session 2) in which we placed 14 single-electrode pairs in an attempt to target 14 superficial muscles in the lower face, chin, and neck area (Figure 2). The initial plan was to make the setup symmetrical, but during the electrode placement, it turned out that the 14 channels had to be divided over both sides of the face due to lack of space, resulting in an asymmetrical setup. The participant recorded 105 consonant–vowel (CV) combinations, three times in a row. Each of the 21 Spanish consonants was paired once with each of the five vowels in Spanish, resulting in 105 combinations. Context was added to each combination in the format ata[C][V]tato control for co-articulation. The participant could take a short rest whenever they wanted to but preferred not to.
After analyzing and comparing the 14 channels of session 2 (Section 3.2), we recorded another session (Session 3) to finalize the electrode setup. The 250 sentences from the Sharvard Corpus were recorded two times. See Figure 3 for the electrode setup.
In a sound-proof room, we collected the data with the following equipment: a Quattrocento bio-electrical amplifier from OT Bioelettronica to obtain the EMG signals (with a sampling frequency of 2048 Hz) and a Neumann TLM103 microphone to record the voice (with a sampling frequency of 16 kHz). We used a so-called silent computer to record the data, which uses surface heat dissipation instead of internal fans to reduce both acoustic and electrical noise.
To ensure that the EMG signals and the audio are well aligned, a synchronization signal is shared between the bio-electrical amplifier and the sound device. The synchronization signal is raised by the speaker through the recording interface when they start the recording of each utterance, and it is lowered when they finish the recording. The electrical bio-amplifier creates the synchronization signal and it is saved together with the EMG signals as an additional channel. At the same time, it is outputted through an analog auxiliary output, which is introduced in one of the channels of the sound interface. The stereo audio signals contain the speech signal in the left channel and the synchronization signal in the right channel. Then, both EMG signals and audio signals are cut using the synchronization signal to ensure that they both belong exactly to the same time interval.
The 26 phone classes present in the CV combinations are B, D, G, J, T, a, b, d, e, f, g, i, jj, k, l, m, n, o, p, r, rr, s, t, tS, u, and x. These phones are based on the Speech Assessment Methods Phonetic Alphabet (SAMPA) for Spanish (https://www.phon.ucl.ac.uk/home/sampa/spanish.htm, accessed on 15 November 2024). The number of phone classes for the sentence set is slightly higher because we created the dictionary automatically, resulting in some additional phones. In total, there are 29 phones and the additional ones are L, j, w. The latter two are the Spanish semi-vowels, which we left out of the CV combinations since they are neither consonants nor vowels. The L is not commonly used in Castillian Spanish, which is why we did not consider it when creating the CV combination dictionary manually. We split the data of each session into 80% for training and 20% for testing. We made sure that the balance of CV combinations was similar for the training and test sets. For the 250 sentences recorded in sessions 1 and 3, we assigned the last 20% of the sentences to the test set. See Table 3 for the amount of data in time for each subset of each session.

2.2. Signal Processing and Feature Extraction

To perform the phone classification experiments, the raw EMG and audio signals needed to be processed and parameterized.
First, both audio and EMG signals were cut using the synchronization signal. Subsequently, each audio signal was automatically aligned with its phonetic labels using the Montreal Forced Aligner [47].
Then, we parameterized the EMG signals by calculating a set of time-domain (TD) features. These features have been widely used in works related to EMG signals applied to speech recognition or generation [16,33,48,49,50]. Consistent with this established body of work, we have applied the same parameterization procedures described in the literature. Although other options could have been considered, the focus of this study is not on developing or evaluating new parameterization methods but rather on exploring the impact of sensor placement on performance. We opted for the use of the same parameters and parameterization methods to simplify future results comparisons. The initial step involves the removal of direct-current offsets from each individual EMG signal corresponding to the duration of each utterance delimited by the synchronization signal, from a single channel, followed by normalization through division of each signal by its maximum absolute value.
To obtain the TD features, we first separated the EMG signal ( x [ n ] ) into a low-frequency signal ( w [ n ] ) and a high-frequency signal ( p [ n ] ). The low-frequency signal was obtained by calculating a double average of x [ n ] using a nine-point window. The calculation can be expressed as:
w [ n ] = 1 9 k = 4 4 v [ n + k ] , where v [ n ] = 1 9 k = 4 4 x [ n + k ]
The impulse response of a double-pass moving average filter with N points is the triangular function defined by:
h w [ n ] = 1 N 1 | n | N if | n | N 0 otherwise
where N is set to 9 for the filter defined previously.
The frequency response of this filter corresponds to a squared s i n c function, characterized by zero-crossing points at frequencies f = f s · k N , where k is an integer different from zero, f s denotes the sampling frequency (set to 2048 Hz), and N equals 9. The filter’s bandwidth, defined as the frequency range where power attenuation remains below 3 dB (equivalent to an amplitude ratio of 0.707 ), is constrained to frequencies under 73.01 Hz. The frequency response is mathematically expressed as:
H w ( f ) = 1 if f = 0 ( sin ( π f N ) N sin ( π f ) ) 2 otherwise
The graphic representation of the impulse and frequency response can be observed in Figure 4.
The high-frequency signal, p [ n ] , was obtained by subtracting w [ n ] from x [ n ] . This can be represented as:
p [ n ] = x [ n ] w [ n ]
In addition, a rectified version of the high-frequency signal, r [ n ] , was calculated as follows:
r [ n ] = p [ n ] , if p [ n ] 0 p [ n ] if p [ n ] < 0
With the low-frequency signal ( w [ n ] ), high-frequency signal ( p [ n ] ), and rectified high-frequency signal ( r [ n ] ) obtained, we computed the set of five TD features for each frame, using a window with a duration of 25 ms and a frame shift of 5 ms. For w [ n ] and r [ n ] , the frame-based power ( P w and P r ) and the frame-based time-domain mean ( w ¯ and r ¯ ) are calculated, and for r [ n ] the frame-based zero-crossing rate (z) is calculated. These features are defined as:
T D 0 = [ w ¯ , r ¯ , P w , P r , z ]
where:
w ¯ = 1 N n = 0 N 1 w [ n ] , r ¯ = 1 N n = 0 N 1 r [ n ]
P w = 1 N n = 0 N 1 | w [ n ] | 2 , P r = 1 N n = 0 N 1 | r [ n ] | 2
z = n = 1 N 1 g ( p [ n ] p [ n 1 ] ) , where g ( x ) = 1 if x < 0 0 if x 0
where N denotes the number of samples in x [ n ] . To incorporate temporal context into the features, a stacking filter was used to concatenate the features of 2 k + 1 adjacent frames, where k represents the width of the stacking filter. We selected k = 15 , resulting in a total of 31 frames being combined, with the analyzed frame in the center. The stacked TD0 vectors from all channels were then combined into a single array, which served as the input for the classifier. The length of the parameter vector assigned to each frame can be calculated as:
M · 5 · ( 2 k + 1 )
where M represents the number of channels.
To reduce the dimension of the parameter vector, we applied linear discriminant analysis (LDA) [51], as performed in [18,48], to obtain a set of LDA features. The number of features is equal to the number of classes present in the data (phone labels) minus 1, which is the maximum allowed number of features in LDA reduction. In the case of the VC dataset, this resulted in 25 features, and in the case of the sentences, this resulted in 28 features.

2.3. Experiments

With the three experiments we performed, we had two goals.
The first goal was to find out which type of bipolar electrodes would yield the highest accuracy. We used the data from session 1 and performed a phone classification task using the signals of all five channels, one time with the signals from the concentric electrodes and another time with the single paired electrodes.
The second goal was to select the optimal set of electrodes regarding their number and locations. For this, we performed two experiments with the data from sessions 2 and 3. To assess the amount of information provided by each muscle, a phone classification experiment was performed using the signals from one single channel each time. The muscles that achieved the highest accuracy were considered to contain the most useful information to perform the task.
Since the size of the data set used in each experiment is limited to only one session, we did not want to base our conclusions on one classifier only and decided to compare three classifiers. The first is a Gaussian mixture model (GMM), which has been used in phone classification experiments before [18]. The second is a bagging classifier with decision trees (DTs) as estimators, which we thought appropriate for the small data size. The third is a feed-forward neural network (NN), as in [52], which we wanted to include since NNs are the most standard type of machine learning model used in recent years.
The maximum number of components in the GMMs was 29, which is the number of classes minus 1. Starting with 1 component, it continued adding components until the Bayesian Information Criterion of the new model was higher than the last model’s BIC.
The number of decision trees for the DT models was 50 for session 2 and 100 for sessions 1 and 3. The minimum number of samples in the leaf node was set to 5 for session 2 and to 10 for sessions 1 and 3. These parameters were set following a parameter-tuning experiment, in which we tried different combinations of parameter values and chose the one that resulted in the highest validation accuracy.
For the NN, we used one hidden layer with twice the number of features as input nodes and the ReLU activation function. The output layer consisted of as many nodes as there are phone labels and the softmax activation function. It was compiled using the cross-entropy loss function and the Adam optimizer. We used a batch size of 32 and a training size of 25 epochs for the experiments with data from session 2 and a batch size of 64 and a train size of 50 epochs for the experiments with data from sessions 1 and 3. These parameter values were determined after training a classifier for 100 epochs with batch sizes 32, 64, and 128 and choosing the combination at the point when the validation accuracy stopped increasing.
For each model, 5-fold cross-validation was implemented on the train set (which is 80% of the complete data set).

2.4. Evaluation

We used the mean frame-based phone accuracy of the five validation sets after 5-fold cross-validation as an evaluation measure to select the electrode locations and type. For session 1, we applied a Wilcoxon Signed-Rank Test to check for statistical differences. We used the test accuracy to evaluate if the final setup was appropriate.

3. Results

This section summarizes the results of the experiments. First, the results of the comparison of electrode types (Section 3.1) and then the results that were used to select the channels (Section 3.2) are shown.

3.1. Electrode Type

As described in Section 2.3, we compared two types of electrodes in bipolar configuration: concentric electrodes and pairs of single electrodes. See Figure 5 for the mean validation accuracy obtained from the data of session 1, which is significantly higher when using paired electrodes compared to concentric electrodes (p < 0.001). For this reason, we chose the single paired electrodes for our setup.

3.2. Channel Selection

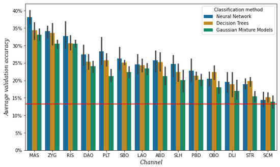
To select the most useful channels, we performed a simple phone classification task per channel with the data from session 2, using the results of three classifiers. For detailed information on the classifiers, see Section 2.3. The average validation accuracy per channel and classifier is shown in Figure 6.
It is important to mention that the electrodes of the three channels around the mouth, namely both electrodes of OBO and the top electrodes of DAO and DLI, did not stick as well as the electrodes of the other channels. This was most likely due to the area under the electrodes being curved as a result of lip movement. We had to reattach these electrodes a few times during the session. The OBO channel, as it was affected by sweat and condensation of air coming from the nose as well, was the most problematic.
The highest validation accuracy is achieved by a different classifier for the different channels, as shown by Figure 6. However, for all three classifiers, it appears that both separately and averaged the six channels with the lowest accuracy are SLH, PBD, OBO, DLI, STR, and SCM. As mentioned before, the electrodes of the DLI channel did not always attach well. We repeated the experiment with the data of the three rounds of the sessions separately, and it turned out that DLI channel belonged to the top five of highest accuracy in the first round but decreased with each round. For this reason, we decided not to discard this channel yet.
After discarding channels OBO, STR, and SCM for their low performance, we took another look at the muscular anatomy of the remaining channels. The muscles SLH and PBD are located very close together and perform similarly as well, so we decided to only discard channel PBD and keep SLH, although in practice channel SLH most probably represents information from both muscles. In addition, we realized that the LAO is a very short muscle, but that the LLS is a closely located but longer muscle. So we decided to replace LAO with LLS because longer muscles are easier to target and additionally to avoid the area directly above the lips. Furthermore, we saw that the PLT is a broad sheet of muscle instead of a muscle with a more specific location, making it difficult to know whether the information we are measuring belongs to this muscle. Therefore, we decided to remove the channel corresponding to PLT.
Additionally, we added one new channel for the muscle of the forehead (FRT). The purpose of this channel was to be used as a reference as it was not expected to provide any muscle information related to speech.
Finally, the set of 10 channels included in the next recording session (session 3) was the following: MAS, ZYG, RIS, DAO, SBO, LLS (instead of LAO), ABD, SLH, DLI, and the new one FRT.
Figure 7 shows the test accuracy per channel and classifier after performing the classification experiment described in Section 2.3 on the data from session 3. It can be seen that the channel with the lowest test accuracy is FRT with a performance similar to baseline. This result provides an extra assurance that the other channels indeed carry some information related to speech production. The highest test accuracy when using all the channels except FRT was achieved with an NN at 48.42%.
For the final setup, we left out FRT for obvious reasons, but SBO as well. This channel is located in the area where the stoma is located in laryngectomized speakers. For studies with a different target group, this muscle might be a valuable addition, but for our study, we realized it was not practical.
The final setup, containing ABD, LLS, MAS, SLH, ZYG, DLI, DAO, and RIS, has been used to record the ReSSInt database. The recordings for this database are still ongoing, and the official database will be released once they have finished.

4. Discussion

In this paper, we present a series of pilot experiments we conducted to find the optimal electrode setup for developing a database of EMG and (silent) speech data. Following a common approach in previous studies where individual muscles in the face and neck are targeted [13,14,15,16,17,18,19,20,21,22,23,24,25,26], we initially looked at the contribution of 14 individual muscles in a phone classification task. For the final setup, we decided to include eight bipolar single-electrode pairs targeting one muscle each, of which five are located in the face and three in the neck, in an asymmetrical setup. Out of the eight muscles, six are present in the setups of at least one of the studies mentioned above as well, namely the anterior belly of the digastric (ABD), the depressor anguli oris (DAO), the risorius (RIS), the levator labii superioris (LLS), the masseter (MAS), and the zygomaticus major (ZYG). The levator anguli oris (LAO) is more commonly used instead of LLS, but we chose LLS because it is longer. There are two more muscles that we included, namely the depressor labii superioris (DLI) and the stylohyoid (SLH). As far as we know, these muscles have not been used in previous research; however, they have proven to be valuable in our experiments.
One important limitation of the present study is that the experiments have been performed with only one speaker. As could be expected, and experiments performed with data from the ReSSInt database show, there is variability among speakers and even among sessions in the results [53]. This consideration is of special importance for the case of laryngectomized speakers, whose muscles are notably affected by the surgery and probably by radiotherapy received. However, the channels that we discarded not out of practical reasons had a noticeably lower performance than the channels we selected. We believe that the selected setup could be generalized to other speakers, as the muscles used for articulation are the same regardless of individual variance in the manner of articulation, but that some channels might be more useful than others depending on the speaker. In this sense, in a future study, we are considering increasing the number and variability of subjects under analysis.
Additionally, due to the lack of space on the face of the speaker, we had to place the electrodes asymmetrically, and we assumed that this would not cause any difficulties since the musculature of the face is in theory symmetrical. Multiple studies listed in Table 1 use an asymmetric setup. However, we acknowledge that there is a possibility that the results could have turned out differently if we mirrored the setup and that this has to be researched further.
Our setup consists of eight channels, which is more than the number used in related studies, which varies and includes one [22], three [21], four [23,24], five [13,14,17,18,19,20], six [16,25,26], and seven channels [15]. Exploring optimal configurations for the positions of the sensors is a future line of work. For example, in [54], each sensor was assigned a Phoneme Selectivity index to evaluate how neural patterns are related to specific acoustic features. Similarly, the sequential forward selection (SFS) algorithm has proven effective for selecting the most relevant EMG sensors [41]. This method iteratively identifies optimal channels, adding one channel at a time to maximize classification accuracy in combination with previously selected channels.
With the data we already have from the ReSSInt database, we are currently performing a channel-by-channel analysis across sessions and speakers to better understand the real impact of each channel. Note that for the pilot study experiments described in this paper, we looked at the impact of each channel individually. However, we assume that for the production of each (combination of) sound(s), not one but at least a group of two muscles (channels) are responsible. This assumption is included in the channel-by-channel analysis, and we understand that this can result in a reduction in the number of channels that we have selected now.
In addition, we are working on different tasks such as word classification, EMG-to-text, and EMG-to-speech. Unfortunately, we have found that EMG acquisition is a sensitive technique, meaning that variability between signals occurs, even if the participant, electrode setup, recording environment, and uttered speech are the same. This is why in the database recording sessions we include videos from the face as well, which will provide information from the lip movements in order to improve the interface.
Once the ReSSint database is completed, it will be made publicly available through ELRA (https://catalog.elra.info/en-us/, accessed on 15 November 2024) for research purposes.

Author Contributions

Conceptualization, E.N. and I.H.; Methodology, I.S., E.d.B., E.N. and I.H.; Software, I.S. and E.d.B.; Validation, I.S. and E.d.B.; Formal Analysis, I.S.; Investigation, I.S.; Resources, E.N. and I.H.; Data Curation, I.S. and E.d.B.; Writing—original draft preparation, I.S. and E.d.B.; Writing—review and editing, I.S., E.d.B., E.N. and I.H.; Visualization, I.S.; Supervision, E.N. and I.H.; Project Administration, E.N. and I.H.; Funding Acquisition, E.N. and I.H. All authors have read and agreed to the published version of the manuscript.

Funding

This research was funded by Agencia Estatal de Investigación grant number ref. PID2019-108040RB-C21/AEI/10.13039/501100011033.

Institutional Review Board Statement

This study was conducted in accordance with the Declaration of Helsinki and approved by the Ethics Committee CEISH of the UPV/EHU (project code M10_2021_269, act 142/2021, approved on the 23 September 2021).

Informed Consent Statement

Informed consent was obtained from all subjects involved in the study.

Data Availability Statement

The data used in this study can be made available upon reasonable request.

Acknowledgments

We would like to thank the subject for participating in this study.

Conflicts of Interest

The authors declare no conflicts of interest. The funders had no role in the design of the study; in the collection, analyses, or interpretation of data; in the writing of the manuscript; or in the decision to publish the results.

Abbreviations

The following abbreviations are used in this manuscript:
ABDanterior belly of the digastric
BUCbuccinator
CVconsonant-vowel
DAOdepressor anguli oris
DLIdepressor labii inferioris
DTdecision trees
EMGelectromyography
FRTfrontalis
GMMGaussian mixture model
LAOlevator anguli oris
LDAlinear discriminant analysis
LLSlevator labii superioris
MASmasseter
MLHmylohyoid
MNTmentalis
NNneural network
OBOorbicularis oris
PBDposterior belly of the digastric
PLTplatysma
PSDpower spectral density
RISrisorius
SBOsuperior belly of the omohyoid
SCMsternocleidomastoid
SLHstylohyoid
SSIsilent speech interface
STRsternothyroid
TDtime-domain
ZYGzygomaticus major

Appendix A

Figure A1. Diagram of studies related to electrode locations used in EMG-based speech recognition.
Figure A1. Diagram of studies related to electrode locations used in EMG-based speech recognition.
Sensors 25 00781 g0a1

References

  1. Weinberg, B. Acoustical Properties of Esophageal and Tracheoesophageal Speech. In Laryngectomee Rehabilitation; College Hill Press: San Diego, CA, USA, 1986; pp. 113–127. [Google Scholar]
  2. Most, T.; Tobin, Y.; Mimran, R.C. Acoustic and Perceptual Characteristics of Esophageal and Tracheoesophageal Speech Production. J. Commun. Disord. 2000, 33, 165–181. [Google Scholar] [CrossRef] [PubMed]
  3. Tang, C.G.; Sinclair, C.F. Voice Restoration After Total Laryngectomy. Otolaryngol. Clin. N. Am. 2015, 48, 687–702. [Google Scholar] [CrossRef] [PubMed]
  4. Bell, R.B.; Andersen, P.; Fernandes, R. Oral, Head and Neck Oncology and Reconstructive Surgery, 1st ed.; Elsevier: Amsterdam, The Netherlands, 2016. [Google Scholar]
  5. Denby, B.; Schultz, T.; Honda, K.; Hueber, T.; Gilbert, J.M.; Brumberg, J.S. Silent Speech Interfaces. Speech Commun. 2010, 52, 270–287. [Google Scholar] [CrossRef]
  6. Freitas, J.; Teixeira, A.; Dias, M.S.; Silva, S. An Introduction to Silent Speech Interfaces; Springer: Cham, Switzerland, 2016. [Google Scholar]
  7. Gonzalez-Lopez, J.A.; Gomez-Alanis, A.; Martin Donas, J.M.; Perez-Cordoba, J.L.; Gomez, A.M. Silent Speech Interfaces for Speech Restoration: A Review. IEEE Access 2020, 8, 177995–178021. [Google Scholar] [CrossRef]
  8. Vojtech, J.M.; Stepp, C.E. Electromyography. In Manual of Clinical Phonetics, 1st ed.; Ball, M.J., Ed.; Routledge: London, UK, 2021; pp. 248–263. [Google Scholar] [CrossRef]
  9. Kim, M.; Sebkhi, N.; Cao, B.; Ghovanloo, M.; Wang, J. Preliminary test of a wireless magnetic tongue tracking system for silent speech interface. In Proceedings of the 2018 IEEE Biomedical Circuits and Systems Conference (BioCAS), Cleveland, OH, USA, 17–19 October 2018; pp. 1–4. [Google Scholar]
  10. Gilbert, J.M.; Gonzalez, J.A.; Cheah, L.A.; Ell, S.R.; Green, P.; Moore, R.K.; Holdsworth, E. Restoring speech following total removal of the larynx by a learned transformation from sensor data to acoustics. J. Acoust. Soc. Am. 2017, 141, EL307–EL313. [Google Scholar] [CrossRef]
  11. Hernaez, I.; González-López, J.A.; Navas, E.; Pérez Córdoba, J.L.; Saratxaga, I.; Olivares, G.; Sánchez de la Fuente, J.; Galdón, A.; García Romillo, V.; González-Atienza, M.; et al. Voice Restoration with Silent Speech Interfaces (ReSSInt). In Proceedings of the IberSPEECH 2021, Valladolid, Spain, 24–25 March 2021; pp. 130–134. [Google Scholar] [CrossRef]
  12. Hernaez, I.; Gonzalez Lopez, J.A.; Navas, E.; Pérez Córdoba, J.L.; Saratxaga, I.; Olivares, G.; Sanchez de la Fuente, J.; Galdón, A.; Garcia, V.; del Castillo, J.; et al. ReSSInt Project: Voice Restoration Using Silent Speech Interfaces. In Proceedings of the IberSPEECH 2022, Granada, Spain, 14–16 November 2022; pp. 226–230. [Google Scholar] [CrossRef]
  13. Chan, A.D.C.; Englehart, K.; Hudgins, B.; Lovely, D.F. Myo-Electric Signals to Augment Speech Recognition. Med. Biol. Eng. Comput. 2001, 39, 500–504. [Google Scholar] [CrossRef]
  14. Chan, A.; Englehart, K.; Hudgins, B.; Lovely, D. Hidden Markov Model Classification of Myoelectric Signals in Speech. IEEE Eng. Med. Biol. Mag. 2002, 21, 143–146. [Google Scholar] [CrossRef]
  15. Maier-Hein, L.; Metze, F.; Schultz, T.; Waibel, A. Session Independent Non-Audible Speech Recognition Using Surface Electromyography. In Proceedings of the IEEE Workshop on Automatic Speech Recognition and Understanding, Cancun, Mexico, 27 November–1 December 2005; pp. 331–336. [Google Scholar] [CrossRef]
  16. Jou, S.C.; Schultz, T.; Walliczek, M.; Kraft, F.; Waibel, A. Towards continuous speech recognition using surface electromyography. In Proceedings of the Ninth International Conference on Spoken Language Processing, Pittsburgh, PA, USA, 17–21 September 2006. [Google Scholar]
  17. Schultz, T.; Wand, M. Modeling Coarticulation in EMG-based Continuous Speech Recognition. Speech Commun. 2010, 52, 341–353. [Google Scholar] [CrossRef]
  18. Wand, M.; Schultz, T. Analysis of Phone Confusion in EMG-based Speech Recognition. In Proceedings of the 2011 IEEE International Conference on Acoustics, Speech and Signal Processing (ICASSP), Prague, Czech Republic, 22–27 May 2011; pp. 757–760. [Google Scholar] [CrossRef]
  19. Diener, L.; Janke, M.; Schultz, T. Direct Conversion from Facial Myoelectric Signals to Speech Using Deep Neural Networks. In Proceedings of the 2015 International Joint Conference on Neural Networks (IJCNN), Killarney, Ireland, 12–17 July 2015; pp. 1–7. [Google Scholar] [CrossRef]
  20. Diener, L. The Impact of Audible Feedback on EMG-to-Speech Conversion. Ph.D. Thesis, University of Bremen, Bremen, Germany, 2021. [Google Scholar]
  21. Mostafa, S.S.; Awal, M.A.; Ahmad, M.; Rashid, M.A. Voiceless Bangla Vowel Recognition Using sEMG Signal. SpringerPlus 2016, 5, 1522. [Google Scholar] [CrossRef][Green Version]
  22. Soon, M.W.; Anuar, M.I.H.; Abidin, M.H.Z.; Azaman, A.S.; Noor, N.M. Speech Recognition Using Facial sEMG. In Proceedings of the 2017 IEEE International Conference on Signal and Image Processing Applications (ICSIPA), Kuching, Malaysia, 12–14 September 2017; pp. 1–5. [Google Scholar] [CrossRef]
  23. Ma, S.; Jin, D.; Zhang, M.; Zhang, B.; Wang, Y.; Li, G.; Yang, M. Silent Speech Recognition Based on Surface Electromyography. In Proceedings of the 2019 Chinese Automation Congress (CAC), Hangzhou, China, 22–24 November 2019; pp. 4497–4501. [Google Scholar] [CrossRef]
  24. Wang, Y.; Tang, T.; Xu, Y.; Bai, Y.; Yin, L.; Li, G.; Zhang, H.; Liu, H.; Huang, Y. All-Weather, Natural Silent Speech Recognition via Machine-Learning-Assisted Tattoo-like Electronics. Npj Flex. Electron. 2021, 5, 20. [Google Scholar] [CrossRef]
  25. Wu, J.; Zhang, Y.; Xie, L.; Yan, Y.; Zhang, X.; Liu, S.; An, X.; Yin, E.; Ming, D. A Novel Silent Speech Recognition Approach Based on Parallel Inception Convolutional Neural Network and Mel Frequency Spectral Coefficient. Front. Neurorobot. 2022, 16, 971446. [Google Scholar] [CrossRef] [PubMed]
  26. Li, W.; Yuan, J.; Zhang, L.; Cui, J.; Wang, X.; Li, H. sEMG-based Technology for Silent Voice Recognition. Comput. Biol. Med. 2023, 152, 106336. [Google Scholar] [CrossRef] [PubMed]
  27. Meltzner, G.S.; Sroka, J.; Heaton, J.T.; Gilmore, L.D.; Colby, G.; Roy, S.; Chen, N.; Luca, C.J.D. Speech Recognition for Vocalized and Subvocal Modes of Production Using Surface EMG Signals from the Neck and Face. In Proceedings of the InterSpeech, Brisbane, Australia, 22–26 September 2008; p. 4. [Google Scholar] [CrossRef]
  28. Colby, G.; Heaton, J.T.; Gilmore, L.D.; Sroka, J.; Deng, Y.; Cabrera, J.; Roy, S.; De Luca, C.J.; Meltzner, G.S. Sensor Subset Selection for Surface Electromyograpy Based Speech Recognition. In Proceedings of the 2009 IEEE International Conference on Acoustics, Speech and Signal Processing, Taipei, Taiwan, 19–24 April 2009; pp. 473–476. [Google Scholar] [CrossRef]
  29. Meltzner, G.S.; Colby, G.; Deng, Y.; Heaton, J.T. Signal Acquisition and Processing Techniques for sEMG Based Silent Speech Recognition. In Proceedings of the 2011 Annual International Conference of the IEEE Engineering in Medicine and Biology Society, Boston, MA, USA, 30 August–3 September 2011; pp. 4848–4851. [Google Scholar] [CrossRef]
  30. Deng, Y.; Heaton, J.T.; Meltzner, G.S. Towards a practical silent speech recognition system. In Proceedings of the Fifteenth Annual Conference of the International Speech Communication Association, Singapore, 14–18 September 2014. [Google Scholar]
  31. Meltzner, G.S.; Heaton, J.T.; Deng, Y.; De Luca, G.; Roy, S.H.; Kline, J.C. Silent Speech Recognition as an Alternative Communication Device for Persons With Laryngectomy. IEEE/ACM Trans. Audio Speech Lang. Process. 2017, 25, 2386–2398. [Google Scholar] [CrossRef]
  32. Meltzner, G.S.; Heaton, J.T.; Deng, Y.; De Luca, G.; Roy, S.H.; Kline, J.C. Development of sEMG Sensors and Algorithms for Silent Speech Recognition. J. Neural Eng. 2018, 15, 046031. [Google Scholar] [CrossRef]
  33. Gaddy, D.; Klein, D. Digital Voicing of Silent Speech. In Proceedings of the 2020 Conference on Empirical Methods in Natural Language Processing (EMNLP), Online, 16–20 November 2020; Association for Computational Linguistics: Stroudsburg, PA, USA, 2020; pp. 5521–5530. [Google Scholar] [CrossRef]
  34. Gaddy, D.; Klein, D. An Improved Model for Voicing Silent Speech. In Proceedings of the 59th Annual Meeting of the Association for Computational Linguistics and the 11th International Joint Conference on Natural Language Processing (Volume 2: Short Papers); Zong, C., Xia, F., Li, W., Navigli, R., Eds.; Association for Computational Linguistics, 2021; pp. 175–181. [Google Scholar] [CrossRef]
  35. Gaddy, D. Voicing Silent Speech. Ph.D. Thesis, University of California, Berkeley, CA, USA, 2022. [Google Scholar]
  36. Wand, M.; Schulte, C.; Janke, M.; Schultz, T. Array-Based Electromyographic Silent Speech Interface. In Proceedings of the International Conference on Bio-Inspired Systems and Signal Processing, Barcelona, Spain, 11–14 February 2013; pp. 89–96. [Google Scholar] [CrossRef]
  37. Zhu, M.; Huang, Z.; Wang, X.; Zhuang, J.; Zhang, H.; Wang, X.; Yang, Z.; Lu, L.; Shang, P.; Zhao, G.; et al. Contraction Patterns of Facial and Neck Muscles in Speaking Tasks Using High-Density Electromyography. In Proceedings of the 2019 13th International Conference on Sensing Technology (ICST), Sydney, Australia, 2–4 December 2019; pp. 1–5. [Google Scholar] [CrossRef]
  38. Zhu, M.; Wang, X.; Wang, X.; Wang, C.; Yang, Z.; Williams Samuel, O.; Chen, S.; Li, G. The Effects of Electrode Locations on Silent Speech Recognition Using High-Density sEMG. In Proceedings of the 2020 IEEE International Workshop on Metrology for Industry 4.0 & IoT, Roma, Italy, 3–5 June 2020; pp. 345–348. [Google Scholar] [CrossRef]
  39. Wang, X.; Zhu, M.; Cui, H.; Yang, Z.; Wang, X.; Zhang, H.; Wang, C.; Deng, H.; Chen, S.; Li, G. The Effects of Channel Number on Classification Performance for sEMG-based Speech Recognition. In Proceedings of the 2020 42nd Annual International Conference of the IEEE Engineering in Medicine & Biology Society (EMBC), Montreal, QC, Canada,, 20–24 July 2020; pp. 3102–3105. [Google Scholar] [CrossRef]
  40. Wang, X.; Zhu, M.; Samuel, O.W.; Yang, Z.; Lu, L.; Cai, X.; Wang, X.; Chen, S.; Li, G. A Pilot Study on the Performance of Time-Domain Features in Speech Recognition Based on High-Density sEMG. In Proceedings of the 2021 43rd Annual International Conference of the IEEE Engineering in Medicine & Biology Society (EMBC), Guadalajara, Mexico, 1–5 November 2021; pp. 19–22. [Google Scholar] [CrossRef]
  41. Zhu, M.; Zhang, H.; Wang, X.; Wang, X.; Yang, Z.; Wang, C.; Samuel, O.W.; Chen, S.; Li, G. Towards Optimizing Electrode Configurations for Silent Speech Recognition Based on High-Density Surface Electromyography. J. Neural Eng. 2021, 18, 016005. [Google Scholar] [CrossRef]
  42. Deng, Z.; Zhang, X.; Chen, X.; Chen, X.; Chen, X.; Yin, E. Silent Speech Recognition Based on Surface Electromyography Using a Few Electrode Sites Under the Guidance From High-Density Electrode Arrays. IEEE Trans. Instrum. Meas. 2023, 72, 1–11. [Google Scholar] [CrossRef]
  43. Reucher, H.; Rau, G.; Silny, J. Spatial Filtering of Noninvasive Multielectrode EMG: Part I–Introduction to Measuring Technique and Applications. IEEE Trans. Biomed. Eng. 1987, 34, 98–105. [Google Scholar] [CrossRef]
  44. De Luca, C.J.; Merletti, R. Surface Myoelectric Signal Cross-Talk among Muscles of the Leg. Electroencephalogr. Clin. Neurophysiol. 1988, 69, 568–575. [Google Scholar] [CrossRef]
  45. Mohr, M.; Schön, T.; von Tscharner, V.; Nigg, B.M. Intermuscular Coherence Between Surface EMG Signals Is Higher for Monopolar Compared to Bipolar Electrode Configurations. Front. Physiol. 2018, 9, 566. [Google Scholar] [CrossRef]
  46. Aubanel, V.; Lecumberri, M.L.G.; Cooke, M. The Sharvard Corpus: A Phonemically-Balanced Spanish Sentence Resource for Audiology. Int. J. Audiol. 2014, 53, 633–638. [Google Scholar] [CrossRef]
  47. McAuliffe, M.; Socolof, M.; Mihuc, S.; Wagner, M.; Sonderegger, M. Montreal Forced Aligner: Trainable Text-Speech Alignment Using Kaldi. In Proceedings of the Interspeech 2017, Stockholm, Sweden, 20–24 August 2017; pp. 498–502. [Google Scholar] [CrossRef]
  48. Wand, M. Advancing Electromyographic Continuous Speech Recognition: Signal Processing and Modeling. Ph.D. Thesis, KIT Scientific Publishing, Karlsruhe, Germany, 2014. [Google Scholar]
  49. Janke, M.; Diener, L. EMG-to-speech: Direct generation of speech from facial electromyographic signals. IEEE/ACM Trans. Audio Speech Lang. Process. 2017, 25, 2375–2385. [Google Scholar] [CrossRef]
  50. Diener, L.; Felsch, G.; Angrick, M.; Schultz, T. Session-independent array-based EMG-to-speech conversion using convolutional neural networks. In Proceedings of the Speech Communication; 13th ITG-Symposium, Oldenburg, Germany, 10–12 October 2018; pp. 1–5. [Google Scholar]
  51. Fisher, R.A. The Use of Multiple Measurements In Taxonomic Problems. Ann. Eugen. 1936, 7, 179–188. [Google Scholar] [CrossRef]
  52. Choi, H.; Park, J.; Yang, Y.M. A Novel Quick-Response Eigenface Analysis Scheme for Brain–Computer Interfaces. Sensors 2022, 22, 5860. [Google Scholar] [CrossRef] [PubMed]
  53. Salomons, I.; Del Blanco, E.; Navas, E.; Hernáez, I.; De Zuazo, X. Frame-Based Phone Classification Using EMG Signals. Appl. Sci. 2023, 13, 7746. [Google Scholar] [CrossRef]
  54. Mesgarani, N.; Cheung, C.; Johnson, K.; Chang, E.F. Phonetic feature encoding in human superior temporal gyrus. Science 2014, 343, 1006–1010. [Google Scholar] [CrossRef]
Figure 1. Electrode setup for session 1, made up of five channels targeting the same set of five muscles but using two different types of electrodes.
Figure 1. Electrode setup for session 1, made up of five channels targeting the same set of five muscles but using two different types of electrodes.
Sensors 25 00781 g001
Figure 2. Electrode setup for session 2, consisting of 14 channels targeting a different muscle each.
Figure 2. Electrode setup for session 2, consisting of 14 channels targeting a different muscle each.
Sensors 25 00781 g002
Figure 3. Electrode setup for session 3, consisting of 10 channels targeting a different muscle each.
Figure 3. Electrode setup for session 3, consisting of 10 channels targeting a different muscle each.
Sensors 25 00781 g003
Figure 4. Impulse response (a) and frequency response (b) of the double-pass moving average filter. In the frequency response, the frequencies marked in the x-axis correspond to the zero-crossing points. The filter’s bandwidth, indicated in red, corresponds to the frequency range where the amplitude remains above 0.707.
Figure 4. Impulse response (a) and frequency response (b) of the double-pass moving average filter. In the frequency response, the frequencies marked in the x-axis correspond to the zero-crossing points. The filter’s bandwidth, indicated in red, corresponds to the frequency range where the amplitude remains above 0.707.
Sensors 25 00781 g004
Figure 5. Mean validation accuracy after 5-fold cross-validation per electrode type and classification method, obtained from the data of session 1. The vertical bars represent the confidence intervals, and the red line represents the baseline, which is the mean validation accuracy when always predicting the most frequent class [a].
Figure 5. Mean validation accuracy after 5-fold cross-validation per electrode type and classification method, obtained from the data of session 1. The vertical bars represent the confidence intervals, and the red line represents the baseline, which is the mean validation accuracy when always predicting the most frequent class [a].
Sensors 25 00781 g005
Figure 6. Mean validation accuracy after 5-fold cross-validation per channel and classification method, obtained from the data of session 2. The vertical bars represent the confidence intervals, and the red line represents the baseline, which is the mean validation accuracy when always predicting the most frequent class [e].
Figure 6. Mean validation accuracy after 5-fold cross-validation per channel and classification method, obtained from the data of session 2. The vertical bars represent the confidence intervals, and the red line represents the baseline, which is the mean validation accuracy when always predicting the most frequent class [e].
Sensors 25 00781 g006
Figure 7. Test accuracy per channel and classification method for the data of session 3. The red line represents the baseline, which is the test accuracy when always predicting the most frequent class [a].
Figure 7. Test accuracy per channel and classification method for the data of session 3. The red line represents the baseline, which is the test accuracy when always predicting the most frequent class [a].
Sensors 25 00781 g007
Table 2. Electrode setups (targeted muscles) for each session in the pilot study plus the final setup that is used for the final database.
Table 2. Electrode setups (targeted muscles) for each session in the pilot study plus the final setup that is used for the final database.
MuscleSession 1Session 2Session 3Final Setup
anterior belly of the digastric (ABD)XXXX
depressor anguli oris (DAO)XXXX
depressor labii inferioris (DLI) XXX
frontalis (FRT) X
levator anguli oris (LAO) X
levator labii superioris (LLS) XX
masseter (MAS)XXXX
orbicularis oris (OBO) X
platysma (PLT) X
posterior belly of the digastric (PBD) X
risorius (RIS) XXX
sternocleidomastoid (SCM) X
stylohyoid (SLH)XXXX
sternothyroid (STR) X
superior belly of the omohyoid (SBO) XX
zygomaticus major (ZYG)XXXX
Table 3. Overview of the duration of the training and test data sets (format: mm:ss).
Table 3. Overview of the duration of the training and test data sets (format: mm:ss).
Electrode SetupCorpusSize of Train SetSize of Test Set
Session 15 paired250 sentences09:1202:16
5 concentric250 sentences09:0202:17
Session 214 paired105 CV x301:0000:15
Session 310 paired250 sentences x217:1604:23
Disclaimer/Publisher’s Note: The statements, opinions and data contained in all publications are solely those of the individual author(s) and contributor(s) and not of MDPI and/or the editor(s). MDPI and/or the editor(s) disclaim responsibility for any injury to people or property resulting from any ideas, methods, instructions or products referred to in the content.

Share and Cite

MDPI and ACS Style

Salomons, I.; del Blanco, E.; Navas, E.; Hernáez, I. Electrode Setup for Electromyography-Based Silent Speech Interfaces: A Pilot Study. Sensors 2025, 25, 781. https://doi.org/10.3390/s25030781

AMA Style

Salomons I, del Blanco E, Navas E, Hernáez I. Electrode Setup for Electromyography-Based Silent Speech Interfaces: A Pilot Study. Sensors. 2025; 25(3):781. https://doi.org/10.3390/s25030781

Chicago/Turabian Style

Salomons, Inge, Eder del Blanco, Eva Navas, and Inma Hernáez. 2025. "Electrode Setup for Electromyography-Based Silent Speech Interfaces: A Pilot Study" Sensors 25, no. 3: 781. https://doi.org/10.3390/s25030781

APA Style

Salomons, I., del Blanco, E., Navas, E., & Hernáez, I. (2025). Electrode Setup for Electromyography-Based Silent Speech Interfaces: A Pilot Study. Sensors, 25(3), 781. https://doi.org/10.3390/s25030781

Note that from the first issue of 2016, this journal uses article numbers instead of page numbers. See further details here.

Article Metrics

Back to TopTop