Multi-Observer Fusion Based Minimal-Sensor Adaptive Control for Ship Dynamic Positioning Systems
Abstract
1. Introduction
- A multi-observer fusion-based control framework is proposed, achieving high-precision state estimation and disturbance rejection with reduced sensor dependency. The system effectively processes high-frequency and low-frequency components through dual-observer architecture.
- The state of the thruster is fully considered. The auxiliary dynamic system is utilized to address the input saturation problem, while the dynamic equations of the thruster system are established to characterize its dynamic behavior.
- The comprehensive challenges that DP systems encounter in complex sea conditions are addressed through a single-parameter learning neural network for model uncertainties, requiring only one parameter to be estimated online.
2. Problem Formulation and Preliminaries
3. DP Adaptive Output Feedback Control Design
3.1. Design of Sliding Mode Observer
3.2. Design of Finite-Time Convergent Disturbance Observer
3.3. DP Adaptive Neural Output Feedback Control Design
4. System Stability Analysis
5. Simulation and Comparison Studies
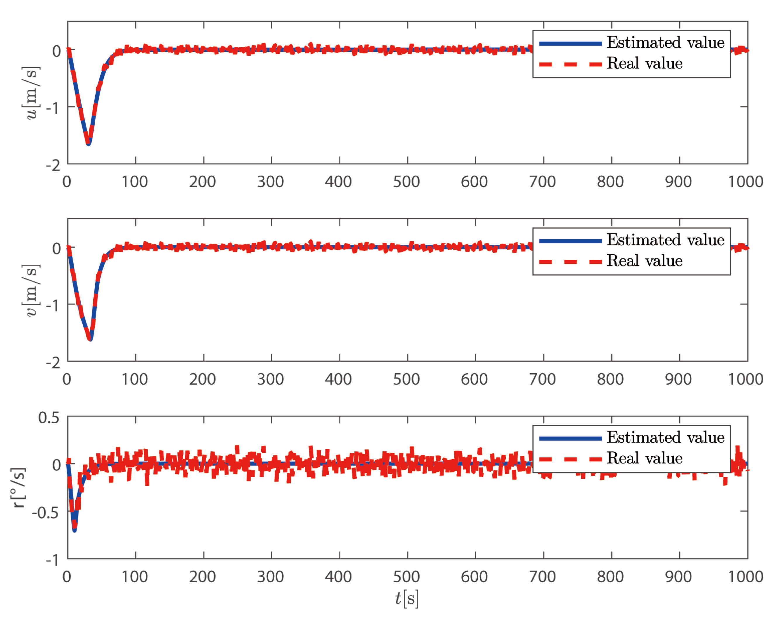
5.1. Performance of the Sliding Mode Observer
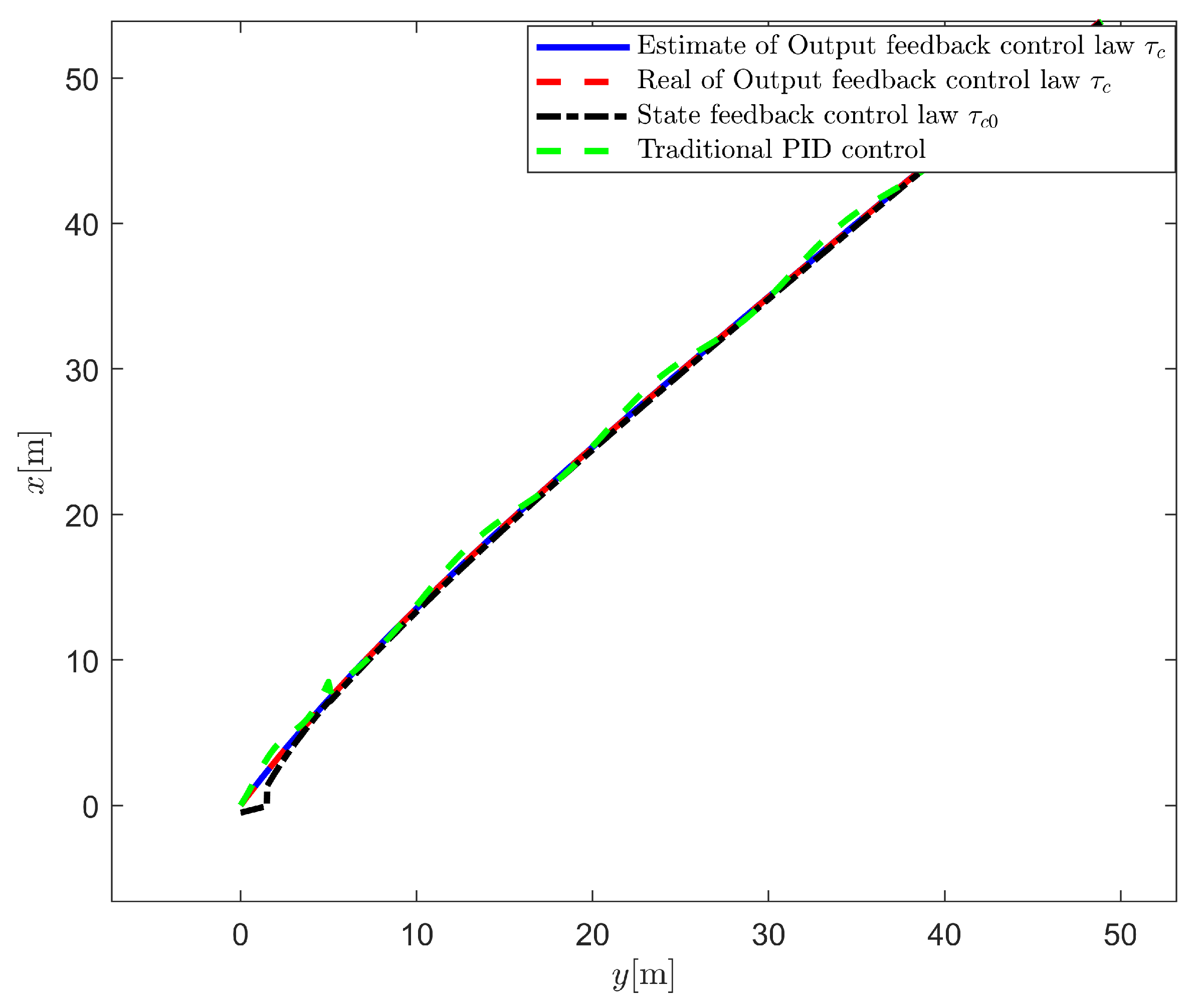
5.2. Performance of Output Feedback Controller Based on the Sliding Mode Observer
5.3. Performance of Thruster System Dynamics
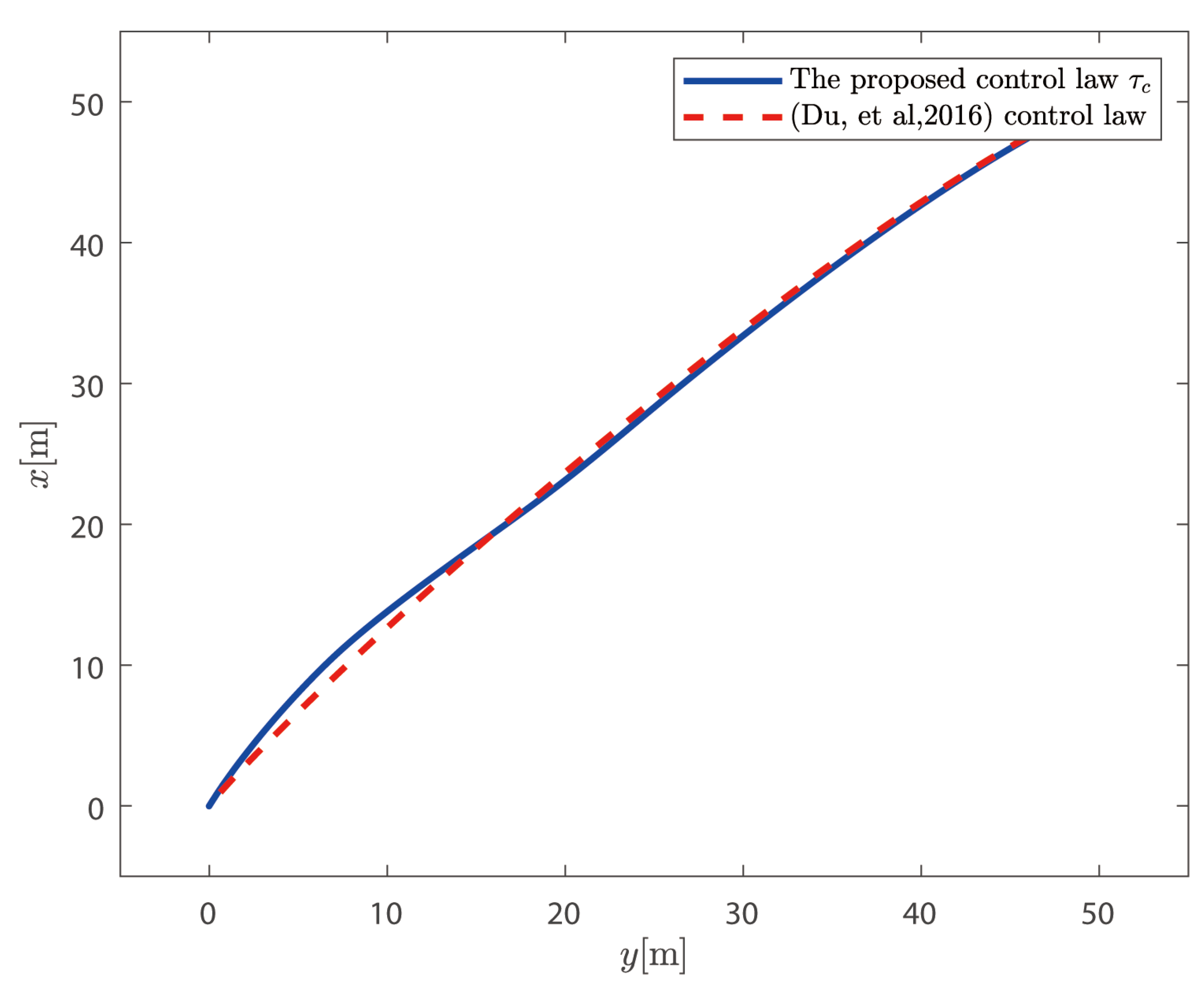
5.4. Advantages of Single Parameter Learning Neural Network
6. Discussion
7. Conclusions
Author Contributions
Funding
Institutional Review Board Statement
Informed Consent Statement
Data Availability Statement
Conflicts of Interest
References
- Tomera, M. Nonlinear observers design for multivariable ship motion control. Pol. Marit. Res. 2012, 19, 50–56. [Google Scholar] [CrossRef]
- Lin, X.; Xie, Y.; Zhao, D.; Xu, S. Estimation of observer parameters for dynamic positioning ships. Math. Probl. Eng. 2013, 2013, 173603. [Google Scholar] [CrossRef]
- Park, M.-H.; Hur, J.-J.; Lee, W.-J. Prediction of diesel generator performance and emissions using minimal sensor data and analysis of advanced machine learning techniques. J. Ocean. Eng. Sci. 2023, 8, 1–11. [Google Scholar] [CrossRef]
- Fossen, T.I.; Strand, J.P. Passive nonlinear observer design for ships using Lyapunov methods: Full-scale experiments with a supply vessel. Automatica 1999, 35, 3–16. [Google Scholar] [CrossRef]
- Loueipour, M.; Keshmiri, M.; Danesh, M.; Mojiri, M. Wave filtering and state estimation in dynamic positioning of marine vessels using position measurement. IEEE Trans. Instrum. Meas. 2015, 64, 3253–3261. [Google Scholar] [CrossRef]
- Yang, Y.; Guo, C.; Du, J. Robust adaptive NN-based output feedback control for a dynamic positioning ship using DSC approach. Sci. China Inf. Sci. 2014, 57, 1–13. [Google Scholar] [CrossRef][Green Version]
- Zuo, Y.; Lai, C.; Iyer, K.L. A review of sliding mode observer based sensorless control methods for PMSM drive. IEEE Trans. Power Electron. 2023, 38, 11352–11367. [Google Scholar] [CrossRef]
- Zhang, Z.; Wang, F.; Guo, Y.; Hua, C. Multivariable sliding mode backstepping controller design for quadrotor UAV based on disturbance observer. Sci. China Inf. Sci. 2018, 61, 1–16. [Google Scholar] [CrossRef]
- Do, K.D. Practical control of underactuated ships. Ocean. Eng. 2010, 37, 1111–1119. [Google Scholar] [CrossRef]
- Li, H.; Wei, Q. A Multi-Observer Based Optimal Control Method for Nonlinear Systems Under Sensor Attacks. IEEE Trans. Autom. Sci. Eng. 2024, 21, 1–14. [Google Scholar] [CrossRef]
- Gu, N.; Wang, D.; Peng, Z.; Wang, J.; Han, Q.L. Disturbance observers and extended state observers for marine vehicles: A survey. Control Eng. Pract. 2022, 123, 105158. [Google Scholar] [CrossRef]
- Zheng, Z.; Jiang, T.; Su, X.; Huang, J. Multiple Observer Adaptive Fusion for Uncertainty Estimation and Its Application to Wheel Velocity Systems. IEEE Trans. Cybern. 2024, 54, 5429–5440. [Google Scholar] [CrossRef] [PubMed]
- Liu, Y.; Li, H.; Lu, R.; Chen, J. An overview of finite/fixed-time control and its application in engineering systems. IEEE/CAA J. Autom. Sin. 2022, 9, 2106–2120. [Google Scholar] [CrossRef]
- Wang, H.; Xu, K.; Qiu, J. Event-triggered adaptive fuzzy fixed-time tracking control for a class of nonstrict-feedback nonlinear systems. IEEE Trans. Circuits Syst. I Regul. Pap. 2021, 68, 3058–3068. [Google Scholar] [CrossRef]
- You, X.; Dian, S.; Liu, K.; Yang, B.; Wang, S. Command filter-based adaptive fuzzy finite-time tracking control for uncertain fractional-order nonlinear systems. IEEE Trans. Fuzzy Syst. 2022, 31, 226–240. [Google Scholar] [CrossRef]
- Zhu, G.; Ma, Y.; Hu, S. Event-Sampled Adaptive Fuzzy Control of MASS via Intermittent Position Data. IEEE Trans. Emerg. Topics Comput. Intell. 2025, 9, 1–13. [Google Scholar] [CrossRef]
- Mu, D.; Wang, G.; Fan, Y. Variable bandwidth adaptive course keeping control strategy for unmanned surface vehicle. Energies 2020, 13, 5091. [Google Scholar] [CrossRef]
- Liu, L.; Fan, Y. Active disturbance rejection course control for USV based on RBF neural network. In Proceedings of the 2020 39th Chinese Control Conference (CCC), Chengdu, China, 27–29 July 2020; pp. 3344–3351. [Google Scholar]
- Huang, H.; Fan, Y. Robust adaptive maneuvering control for an unmanned surface vessel with uncertainties. IEEJ Trans. Electr. Electron. Eng. 2019, 14, 1226–1235. [Google Scholar] [CrossRef]
- Fan, Y.; Huang, H.; Tan, Y. Robust adaptive path following control of an unmanned surface vessel subject to input saturation and uncertainties. Appl. Sci. 2019, 9, 1815. [Google Scholar] [CrossRef]
- Mu, D.; Wang, G.; Fan, Y. Path following control strategy for underactuated unmanned surface vehicle subject to multiple constraints. IEEJ Trans. Electr. Electron. Eng. 2022, 17, 229–241. [Google Scholar] [CrossRef]
- Sun, X.; Wang, G.; Fan, Y. Adaptive trajectory tracking control of vector propulsion unmanned surface vehicle with disturbances and input saturation. Nonlinear Dyn. 2021, 106, 2277–2291. [Google Scholar] [CrossRef]
- Mu, D.; Wang, G.; Fan, Y. Trajectory tracking control for underactuated unmanned surface vehicle subject to uncertain dynamics and input saturation. Neural Comput. Appl. 2021, 33, 12777–12789. [Google Scholar] [CrossRef]
- Qiu, B.; Wang, G.; Fan, Y. Predictor LOS-based trajectory linearization control for path following of underactuated unmanned surface vehicle with input saturation. Ocean Eng. 2020, 214, 107874. [Google Scholar] [CrossRef]
- Mu, D.; Wang, G.; Fan, Y. A time-varying lookahead distance of ILOS path following for unmanned surface vehicle. J. Electr. Eng. Technol. 2020, 15, 2267–2278. [Google Scholar] [CrossRef]
- Qiu, B.; Wang, G.; Fan, Y.; Mu, D.; Sun, X. Robust path-following control based on trajectory linearization control for unmanned surface vehicle with uncertainty of model and actuator saturation. IEEJ Trans. Electr. Electron. Eng. 2019, 14, 1681–1690. [Google Scholar] [CrossRef]
- Lu, J.; Yu, S.; Zhu, G.; Zhang, Q.; Chen, C.; Zhang, J. Robust adaptive tracking control of UMSVs under input saturation: A single-parameter learning approach. Ocean Eng. 2021, 234, 108791. [Google Scholar] [CrossRef]
- Perez, T.; Donaire, A. Constrained control design for dynamic positioning of marine vehicles with control allocation. Model. Identif. Control. 2009, 30, 57–70. [Google Scholar] [CrossRef]
- Donaire, A.; Perez, T. Dynamic positioning of marine craft using a port-Hamiltonian framework. Automatica 2012, 48, 851–856. [Google Scholar] [CrossRef]
- Veksler, A.; Johansen, T.A.; Borrelli, F.; Realfsen, B. Dynamic positioning with model predictive control. IEEE Trans. Control. Syst. Technol. 2016, 24, 1340–1353. [Google Scholar] [CrossRef]
- Liang, K.; Lin, X.; Chen, Y.; Li, J.; Ding, F. Adaptive sliding mode output feedback control for dynamic positioning ships with input saturation. Ocean Eng. 2020, 206, 107245. [Google Scholar] [CrossRef]
- Hu, X.; Du, J. Robust nonlinear control design for dynamic positioning of marine vessels with thruster system dynamics. Nonlinear Dyn. 2018, 94, 365–376. [Google Scholar] [CrossRef]
- Fossen, T.I. Handbook of Marine Craft Hydrodynamics and Motion Control; John Wiley & Sons, Ltd.: Hoboken, NJ, USA, 2011. [Google Scholar]
- Bhat, S.P.; Bernstein, D.S. Finite-time stability of continuous autonomous systems. SIAM J. Control. Optim. 2000, 38, 751–766. [Google Scholar] [CrossRef]
- Zhang, X.; Xu, Z. A Nonlinear Observer for Ship Dynamic Positioning System. In Proceedings of the 2020 Chinese Automation Congress (CAC), Chengdu, China, 6–8 November 2020; pp. 3878–3883. [Google Scholar]
- Du, J.; Hu, X.; Krstić, M.; Sun, Y. Robust dynamic positioning of ships with disturbances under input saturation. Automatica 2016, 73, 207–214. [Google Scholar] [CrossRef]
- Du, H.; Qian, C.; Frye, M.T.; Li, S. Global finite-time stabilisation using bounded feedback for a class of non-linear systems. IET Control. Theory Appl. 2012, 6, 2326–2336. [Google Scholar] [CrossRef]














| Thrusters | Limit Values | |
|---|---|---|
Disclaimer/Publisher’s Note: The statements, opinions and data contained in all publications are solely those of the individual author(s) and contributor(s) and not of MDPI and/or the editor(s). MDPI and/or the editor(s) disclaim responsibility for any injury to people or property resulting from any ideas, methods, instructions or products referred to in the content. |
© 2025 by the authors. Licensee MDPI, Basel, Switzerland. This article is an open access article distributed under the terms and conditions of the Creative Commons Attribution (CC BY) license (https://creativecommons.org/licenses/by/4.0/).
Share and Cite
Wu, Y.; He, X.; Shi, L.; Dong, S. Multi-Observer Fusion Based Minimal-Sensor Adaptive Control for Ship Dynamic Positioning Systems. Sensors 2025, 25, 679. https://doi.org/10.3390/s25030679
Wu Y, He X, Shi L, Dong S. Multi-Observer Fusion Based Minimal-Sensor Adaptive Control for Ship Dynamic Positioning Systems. Sensors. 2025; 25(3):679. https://doi.org/10.3390/s25030679
Chicago/Turabian StyleWu, Yanbin, Xiaomeng He, Linlong Shi, and Shengli Dong. 2025. "Multi-Observer Fusion Based Minimal-Sensor Adaptive Control for Ship Dynamic Positioning Systems" Sensors 25, no. 3: 679. https://doi.org/10.3390/s25030679
APA StyleWu, Y., He, X., Shi, L., & Dong, S. (2025). Multi-Observer Fusion Based Minimal-Sensor Adaptive Control for Ship Dynamic Positioning Systems. Sensors, 25(3), 679. https://doi.org/10.3390/s25030679

