Investigating the Propagation Mechanisms and Visualization of Airwaves in Marine CSEM Using the Fictitious Wave Domain Method
Highlights
- The low-frequency diffusive electromagnetic field generated by an electric dipole in marine environments can be mathematically transformed into corresponding fictitious electromagnetic waves in the fictitious wave domain. These waves exhibit no physical energy attenuation, allowing both their kinematic and dynamic characteristics to be used for analyzing the propagation behavior of low-frequency EM fields.
- Using the propagation features of fictitious electromagnetic waves, the generation mechanism, propagation characteristics, and extraction method of the airwave in marine CSEM surveys are reinterpreted.
- The fictitious wave domain method provides a novel perspective for analyzing and interpreting various electromagnetic phenomena in marine CSEM surveys by leveraging both the kinematic and dynamic attributes of fictitious electromagnetic waves.
- In the fictitious wave domain, EM responses from different target layers can be distinguished and extracted based on travel time differences, enabling more detailed analysis and providing theoretical support for the development of advanced marine electromagnetic exploration sensors and systems.
Abstract
1. Introduction
2. Theory
2.1. Fictitious Wave Domain Method
2.2. Dipole Source in Whole-Space Seawater
3. Airwave in Half-Space Seawater Model
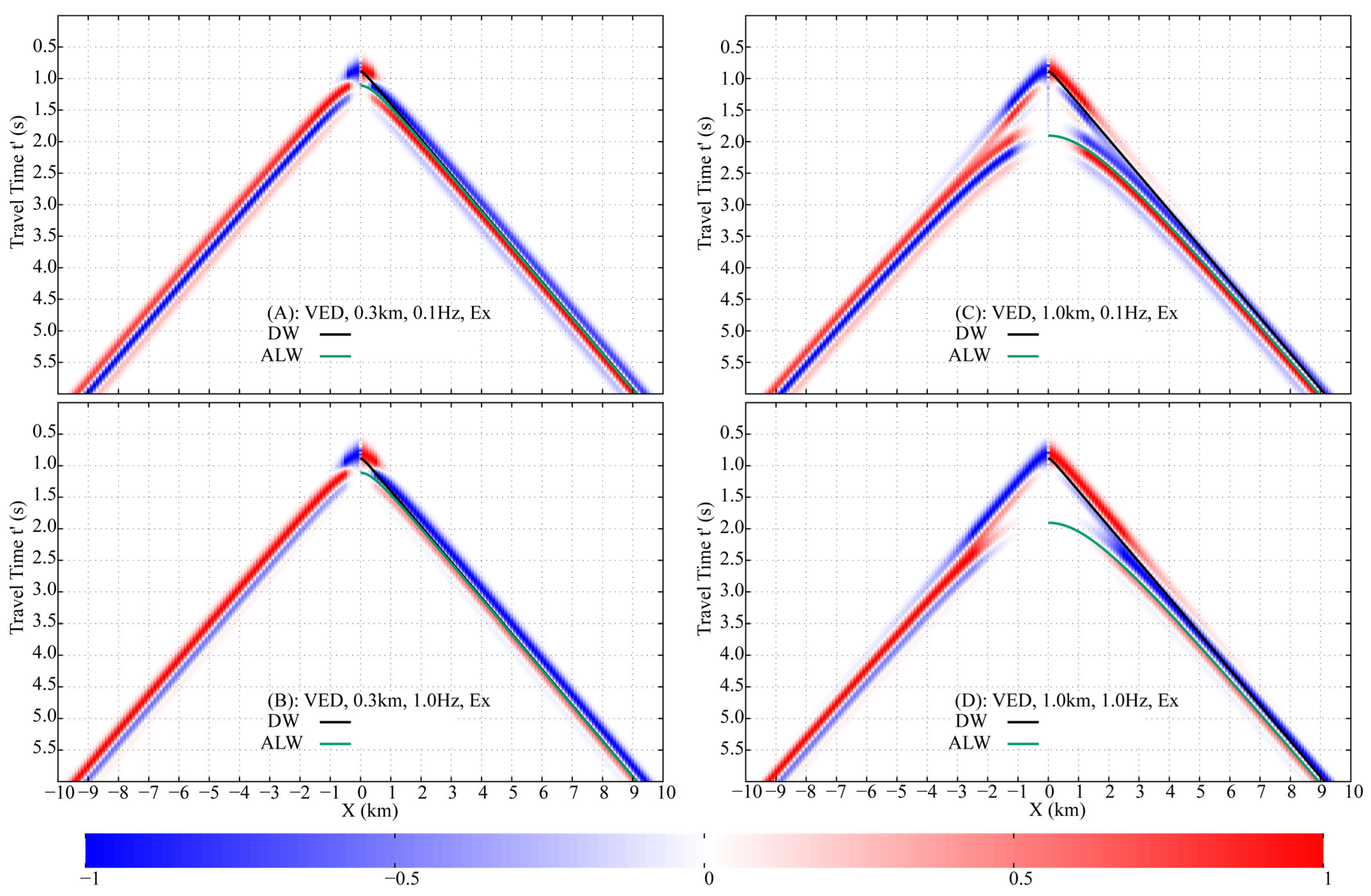
3.1. Propagation Path, Reflection, and Transmission at the Air-Seawater Interface
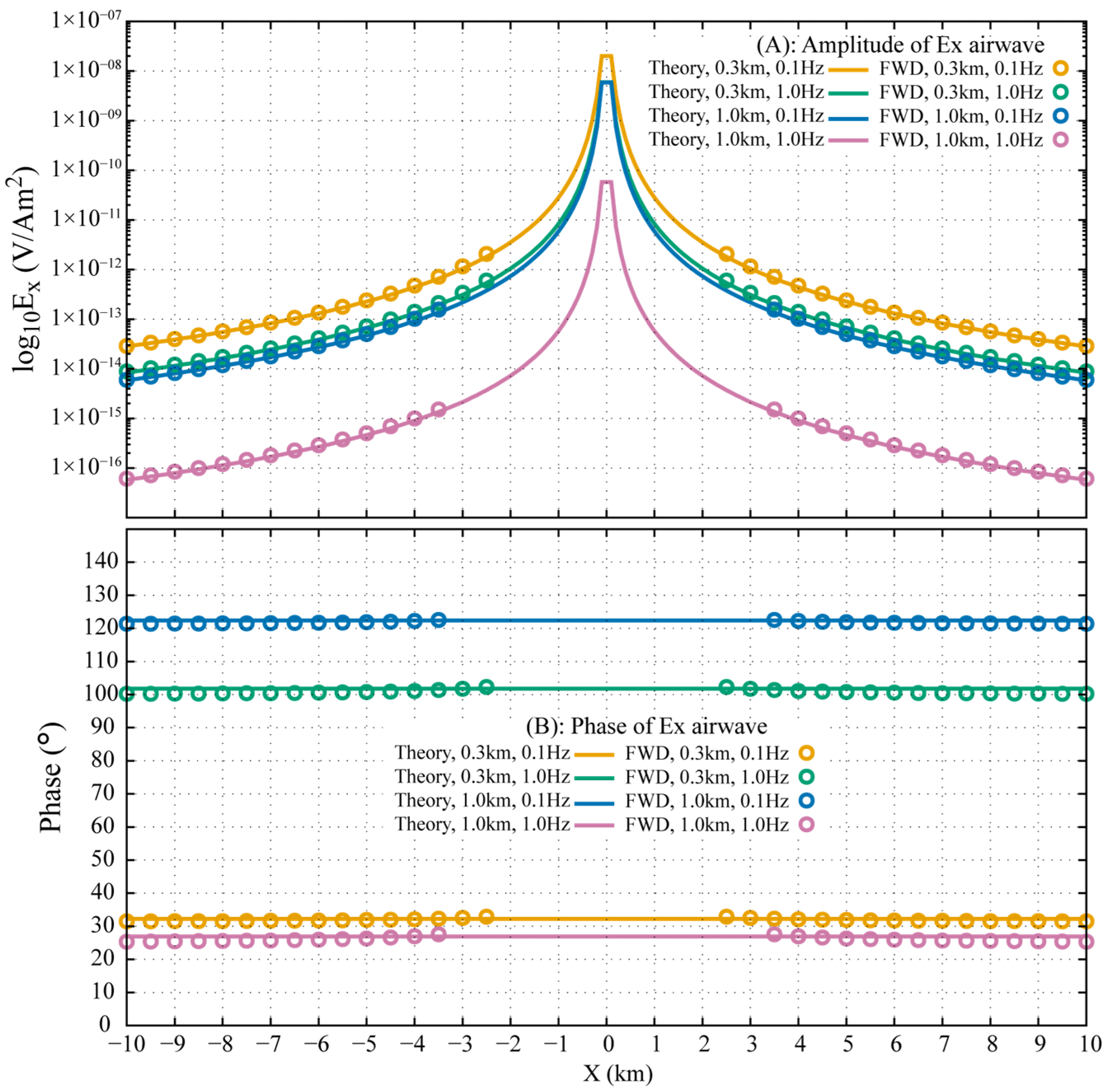
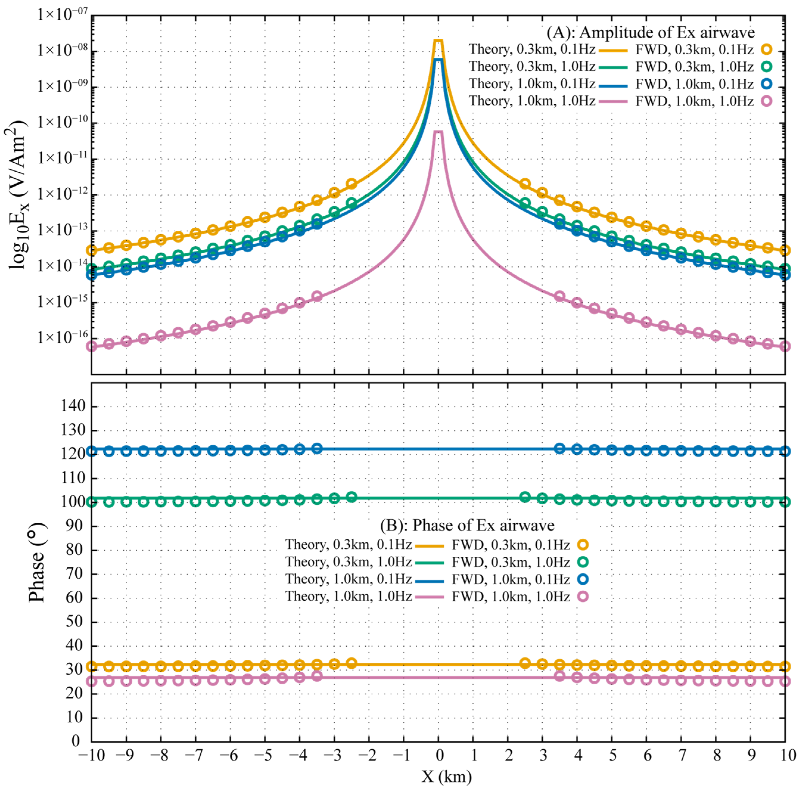
3.2. Airwave in Homogeneous Half-Space Seawater
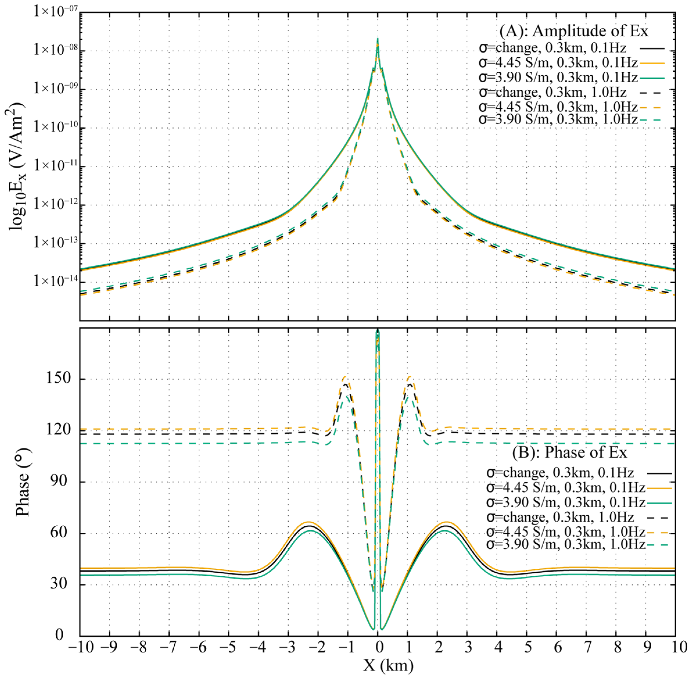
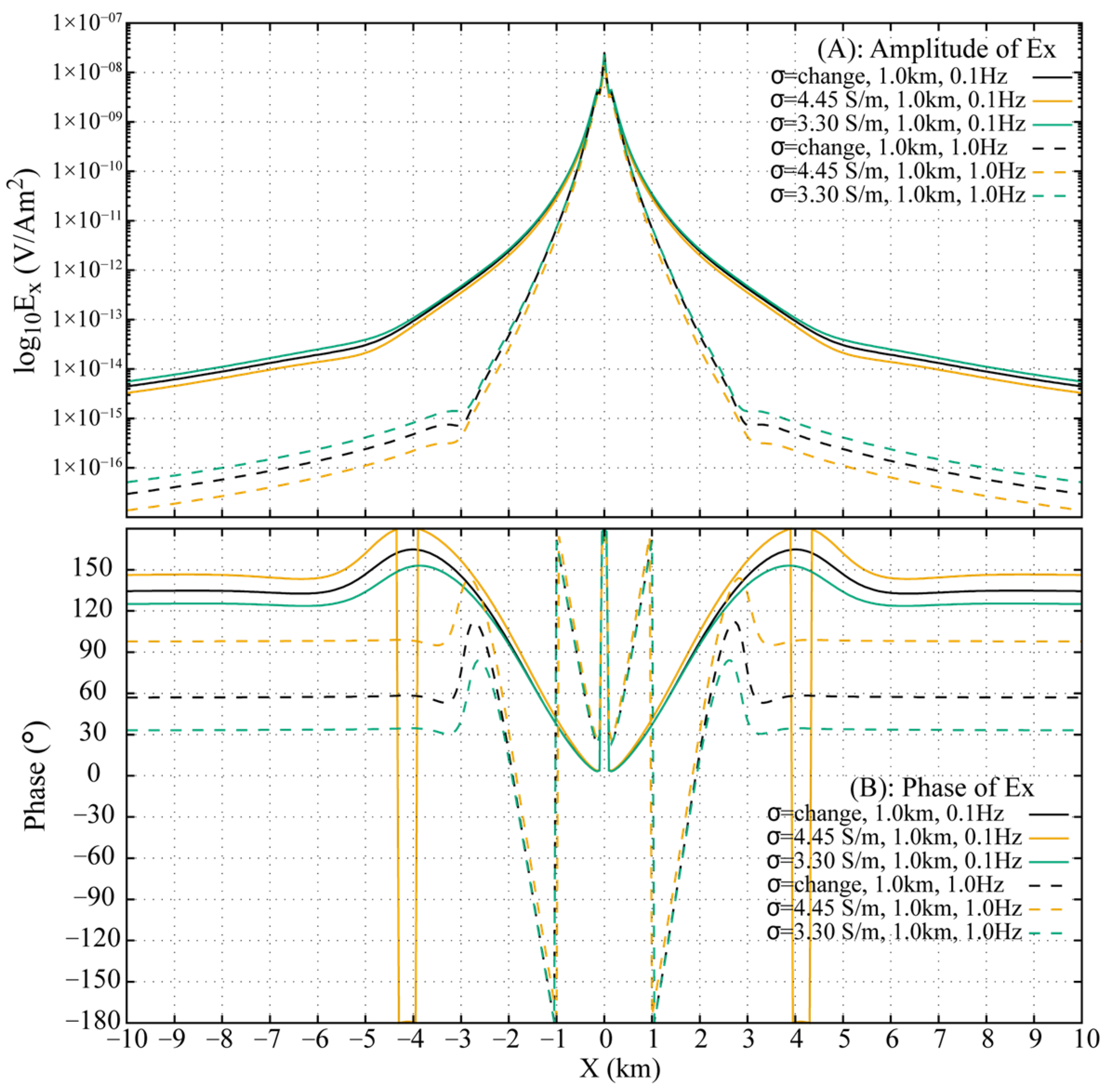
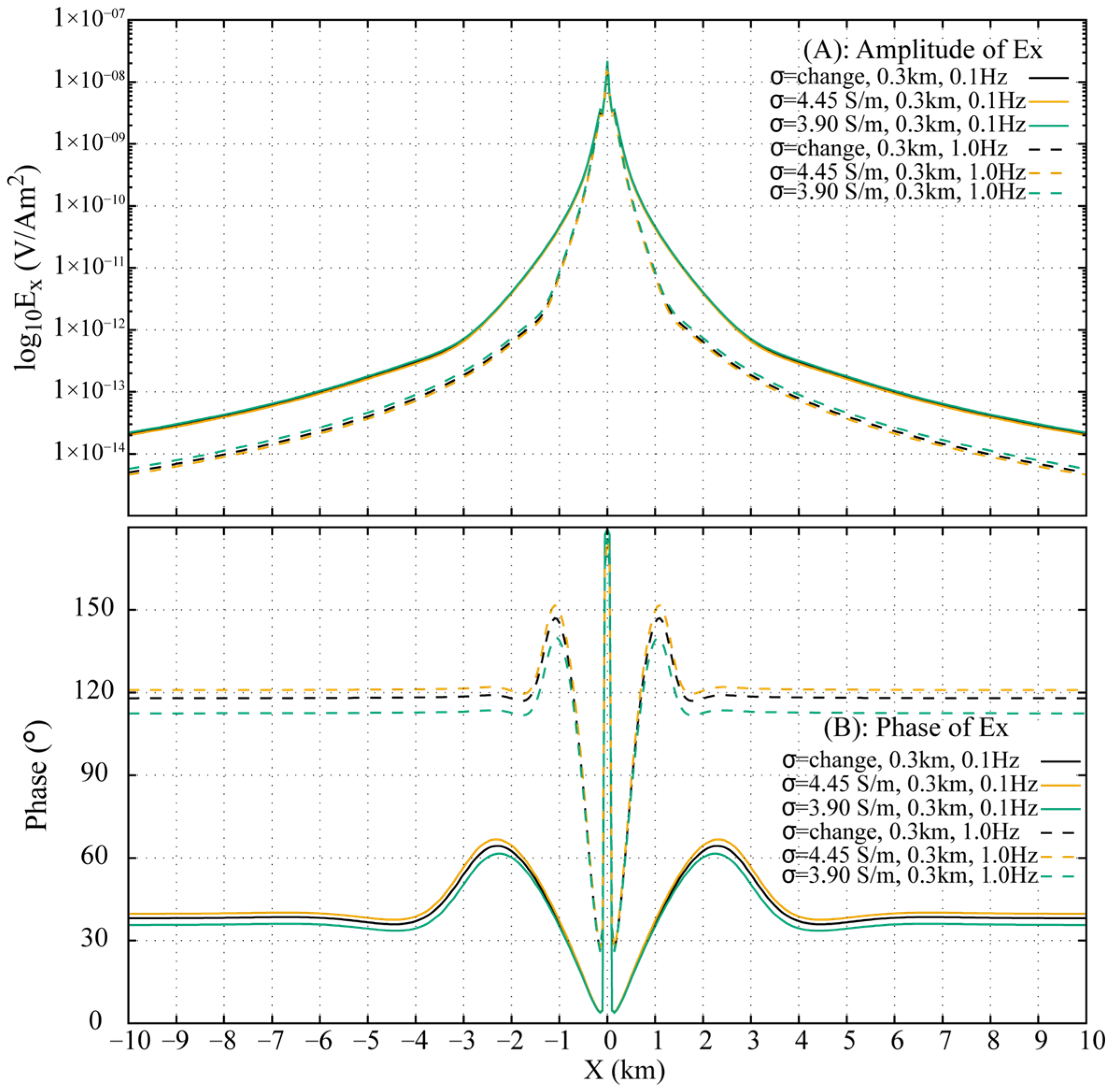
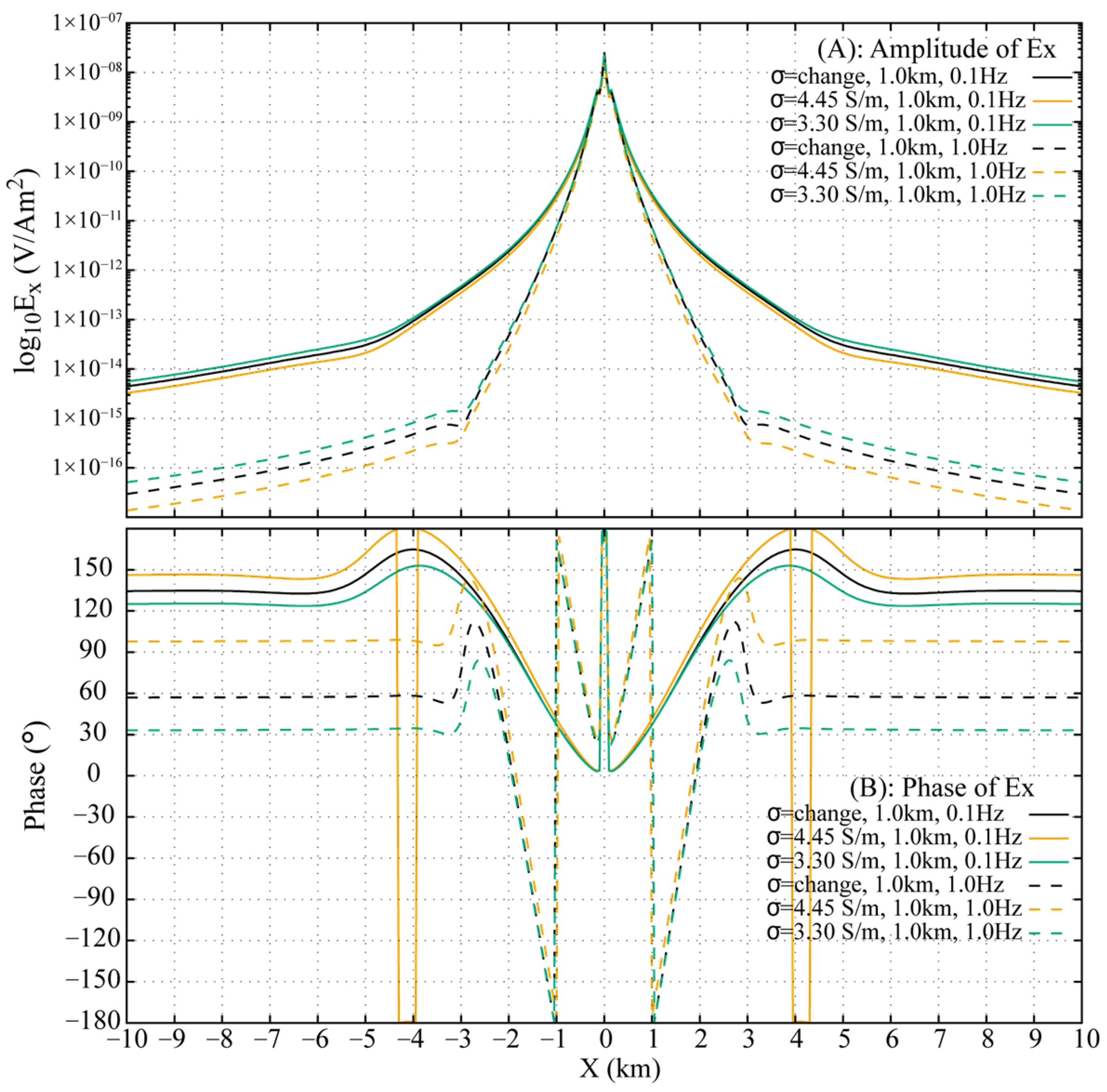
3.3. Airwave in Inhomogeneous Half-Space Seawater
4. Discussion: Implications for Electric Field Sensor Performance Assessment
5. Conclusions
Author Contributions
Funding
Institutional Review Board Statement
Informed Consent Statement
Data Availability Statement
Conflicts of Interest
References
- Cox, C. Electromagnetic Induction in the Oceans and Inferences on the Constitution of the Earth. Geophys. Surv. 1980, 4, 137–156. [Google Scholar] [CrossRef]
- Wang, C.; Li, Y.; Wu, Y. Influence of Double-Pulse Electrodeposition Parameters on the Performance of Ag/AgCl Electrochemical Electrode for Marine Electric Field. Sensors 2024, 24, 2103. [Google Scholar] [CrossRef]
- Chesley, C. Insights on Marine Tectonophysics from Recent Marine Electromagnetic Studies. Surv. Geophys. 2025. [Google Scholar] [CrossRef]
- Constable, S. Ten Years of Marine CSEM for Hydrocarbon Exploration. Geophysics 2010, 75, 75A67–75A81. [Google Scholar] [CrossRef]
- Andréis, D.; MacGregor, L. Controlled-Source Electromagnetic Sounding in Shallow Water: Principles and Applications. Geophysics 2008, 73, F21–F32. [Google Scholar] [CrossRef]
- Weiss, C.J. The Fallacy of the “Shallow-Water Problem” in Marine CSEM Exploration. Geophysics 2007, 72, A93–A97. [Google Scholar] [CrossRef]
- Weidelt, P. Guided Waves in Marine CSEM. Geophys. J. Int. 2007, 171, 153–176. [Google Scholar] [CrossRef]
- Holten, T.; Flekkøy, E.G.; Singer, B.; Blixt, E.M.; Hanssen, A.; Måløy, K.J. Vertical Source, Vertical Receiver, Electromagnetic Technique for Offshore Hydrocarbon Exploration. First Break 2009, 27, 89–93. [Google Scholar] [CrossRef]
- Ursin, B. Review of Elastic and Electromagnetic Wave Propagation in Horizontally Layered Media. Geophysics 1983, 48, 1063–1081. [Google Scholar] [CrossRef]
- Zhdanov, M.S.; Traynin, P.; Booker, J.R. Underground Imaging by Frequency-domain Electromagnetic Migration. Geophysics 1996, 61, 666–682. [Google Scholar] [CrossRef]
- Amundsen, L.; Løseth, L.; Mittet, R.; Ellingsrud, S.; Ursin, B. Decomposition of Electromagnetic Fields into Upgoing and Downgoing Components. Geophysics 2006, 71, G211–G223. [Google Scholar] [CrossRef]
- Løseth, L.O.; Amundsen, L.; Jenssen, A.J. A Solution to the Airwave-Removal Problem in Shallow-Water Marine EM. Geophysics 2010, 75, A37–A42. [Google Scholar] [CrossRef]
- Chen, J.; Alumbaugh, D.L. Three Methods for Mitigating Airwaves in Shallow Water Marine Controlled-Source Electromagnetic Data. Geophysics 2011, 76, F89–F99. [Google Scholar] [CrossRef]
- Maaø, F.A.; Nguyen, A.K. Enhanced Subsurface Response for Marine CSEM Surveying. Geophysics 2010, 75, A7–A10. [Google Scholar] [CrossRef]
- Li, G.; Tang, F.; Li, C.; Lei, W.; Liu, Y. Improved Detectivity for Detecting Gas Hydrates Using the Weighted Differential Fields of the Marine Controlled-Source Electromagnetic Data. J. Mar. Sci. Eng. 2022, 10, 161. [Google Scholar] [CrossRef]
- Bannister, P. New Simplified Formulas for ELF Subsurface-to-Subsurface Propagation. IEEE J. Ocean. Eng. 1984, 9, 154–163. [Google Scholar] [CrossRef]
- Nordskag, J.I.; Amundsen, L. Asymptotic Airwave Modeling for Marine Controlled-Source Electromagnetic Surveying. Geophysics 2007, 72, F249–F255. [Google Scholar] [CrossRef]
- Lee, K.H.; Liu, G.; Morrison, H.F. A New Approach to Modeling the Electromagnetic Response of Conductive Media. Geophysics 1989, 54, 1180–1192. [Google Scholar] [CrossRef]
- de Hoop, A.T. A General Correspondence Principle for Time-Domain Electromagnetic Wave and Diffusion Fields. Geophys. J. Int. 1996, 127, 757–761. [Google Scholar] [CrossRef][Green Version]
- Mittet, R. High-Order Finite-Difference Simulations of Marine CSEM Surveys Using a Correspondence Principle for Wave and Diffusion Fields. Geophysics 2010, 75, F33–F50. [Google Scholar] [CrossRef]
- Mittet, R. Seismic Wave Propagation Concepts Applied to the Interpretation of Marine Controlled-Source Electromagnetics. Geophysics 2015, 80, E63–E81. [Google Scholar] [CrossRef]
- Lu, J.; Li, Y.; Du, Z. Fictitious Wave Domain Modelling and Analysis of Marine CSEM Data. Geophys. J. Int. 2019, 219, 223–238. [Google Scholar] [CrossRef]
- Key, K. 1D Inversion of Multicomponent, Multifrequency Marine CSEM Data: Methodology and Synthetic Studies for Resolving Thin Resistive Layers. Geophysics 2009, 74, F9–F20. [Google Scholar] [CrossRef]
- Tyler, R.H.; Boyer, T.P.; Minami, T.; Zweng, M.M.; Reagan, J.R. Electrical Conductivity of the Global Ocean. Earth Planets Space 2017, 69, 156. [Google Scholar] [CrossRef] [PubMed]
- Constable, S. Review Paper: Instrumentation for Marine Magnetotelluric and Controlled Source Electromagnetic Sounding. Geophys. Prospect. 2013, 61, 505–532. [Google Scholar] [CrossRef]
- Wang, C.; Li, Y.; Lu, J.; Dai, T.; Zhong, Z.; Liu, L.; Chen, J. Preparation and Characterization of a High-Stability, Low-Noise Ag/AgCl Sensor for Marine Electric Field Measurements. J. Ocean Univ. China 2025, 24, 332–342. [Google Scholar] [CrossRef]
















Disclaimer/Publisher’s Note: The statements, opinions and data contained in all publications are solely those of the individual author(s) and contributor(s) and not of MDPI and/or the editor(s). MDPI and/or the editor(s) disclaim responsibility for any injury to people or property resulting from any ideas, methods, instructions or products referred to in the content. |
© 2025 by the authors. Licensee MDPI, Basel, Switzerland. This article is an open access article distributed under the terms and conditions of the Creative Commons Attribution (CC BY) license (https://creativecommons.org/licenses/by/4.0/).
Share and Cite
Lu, J.; Peng, D. Investigating the Propagation Mechanisms and Visualization of Airwaves in Marine CSEM Using the Fictitious Wave Domain Method. Sensors 2025, 25, 7140. https://doi.org/10.3390/s25237140
Lu J, Peng D. Investigating the Propagation Mechanisms and Visualization of Airwaves in Marine CSEM Using the Fictitious Wave Domain Method. Sensors. 2025; 25(23):7140. https://doi.org/10.3390/s25237140
Chicago/Turabian StyleLu, Jie, and Daicheng Peng. 2025. "Investigating the Propagation Mechanisms and Visualization of Airwaves in Marine CSEM Using the Fictitious Wave Domain Method" Sensors 25, no. 23: 7140. https://doi.org/10.3390/s25237140
APA StyleLu, J., & Peng, D. (2025). Investigating the Propagation Mechanisms and Visualization of Airwaves in Marine CSEM Using the Fictitious Wave Domain Method. Sensors, 25(23), 7140. https://doi.org/10.3390/s25237140

