Probabilistic Prognostics and Health Management of Power Transformers Using Dissolved Gas Analysis Sensor Data and Duval’s Polygons
Highlights
- A probabilistic framework is proposed for transformer fault detection, diagnosis, and prognosis using Dissolved Gas Analysis (DGA) sensor data.
- The method integrates self-adaptive ARIMA forecasting with probabilistic extensions of Duval’s polygons, enabling uncertainty-aware fault classification and failure risk estimation.
- The framework improves reliability of transformer condition monitoring by providing early warnings and robust fault evolution tracking.
- It supports risk-based maintenance decisions in smart grid environments, enhancing operational safety and asset lifetime.
Abstract
1. Introduction
- A unified probabilistic reformulation of Duval’s diagnostic structures;
- Integration of adaptive time-series forecasting and residual-based uncertainty modeling;
- A sequential and interpretable pipeline encompassing detection, diagnosis, and risk-informed prognosis;
- Compatibility with international reliability standards (IEC, IEEE, CIGRE), ensuring industrial applicability.
2. Theoretical Background
2.1. DGA in Transformer Monitoring
- Concentration Thresholds: IEEE and IEC use decision matrices; CIGRE integrates historical data to estimate failure probabilities.
- Rate-of-change Analysis: IEEE emphasizes baseline trends; IEC focuses on distinguishing aging from abnormal degradation; CIGRE introduces explicit sampling intervals and slope thresholds.
2.2. DGA Fault Classification Methods
2.3. Self-Adaptive ARIMA Modeling
Comparing ARIMA with Alternative Forecasting Methods for DGA
- Autocorrelation: Gas behavior follows degradation patterns rather than random fluctuations. Models must capture autocorrelation caused by thermal decomposition and electrical discharges, as well as structured decreases after remediation [68].
- Interpretability: As DGA supports diagnosis and maintenance planning, models must provide clear insights into gas trends. Black-box approaches limit transparency and hinder operational adoption.
- Computational Efficiency: Real-time monitoring demands models with acceptable accuracy and low computational cost. Lightweight statistical methods are often preferable to data-hungry deep learning techniques.
3. Proposed Framework
3.1. Data Collection and Loading
3.2. Operational Parameter Definition
3.3. Fault Detection
3.4. Fault Confirmation
3.5. Data Forecast
- The Lagrange Multiplier (LM) test for ARCH [78] assesses variance stability, identifying potential heteroskedasticity or volatility clustering. The number of lags is also set to , consistent with the Ljung–Box test.
- For short-term horizons (h ≤ q), predictions incorporate past residuals and autoregressive terms, capturing short-term deviations.
- For longer horizons (h > q), the model relies exclusively on autoregressive components, iteratively using prior forecasts as inputs to generate subsequent values.
- Scaling to match the spread of the ARIMA projections, where the scale factor (SF) at time t is given by Equation (13).
- Translation to align the residual kernel’s mean with the ARIMA forecast mean at each t, using the translation factor (TF) from Equation (14).
3.6. Fault Prognosis
- Generating the ECDF from the adjusted kernel distribution at time t.
- Evaluating the ECDF at the predefined PFGC value.
- Computing the complement of the ECDF to determine the probability of gas concentration exceeding PFGC.
3.7. Fault Diagnosis
3.7.1. Duval’s Triangles Probabilistic Analysis
3.7.2. Duval’s Pentagons Probabilistic Analysis
3.8. Decision Support and Maintenance Planning
- Primary Fault Diagnosis (Duval’s Triangle 1 & Pentagon 1)—Identifies six fundamental failure modes:
- −
- PD: Partial discharges (corona);
- −
- D1: Low-energy discharges;
- −
- D2: High-energy discharges;
- −
- T1: Low-temperature thermal faults (<300 °C);
- −
- T2: Intermediate-temperature thermal faults (300–700 °C);
- −
- T3: High-temperature thermal faults (>700 °C).
- 2.
- Refinement for Mild Overheating (Duval’s Triangle 4 & Pentagon 2)—Applied if T1, T2, or PD is detected to differentiate:
- −
- S: Stray gassing (<200 °C);
- −
- O: Overheating of paper or oil (<250 °C, without significant degradation);
- −
- PD: Specific types of partial discharges.
- 3.
- Refinement for High-Temperature Faults (Duval’s Triangle 5 & Pentagon 2)—Applied if T2 or T3 is detected to distinguish:
- −
- C: Paper carbonization (>300 °C);
- −
- T3-H: High-temperature thermal fault affecting only the insulating oil.
- 4.
- Convergence Analysis & Multiple Fault Detection—After applying graphical models, results are assessed for consistency:
- −
- Single failure: If all models agree on the same failure mode.
- −
- Multiple failures: If discrepancies exist between triangles and pentagons, requiring further analysis of centroid distributions and interactions.
- Low probability: Predictive maintenance with continued DGA monitoring.
- Moderate probability: Transformer inspections, visual assessments, and potential offline testing.
- High probability: Corrective actions, including component replacement or scheduled shutdown.
4. Validation and Results
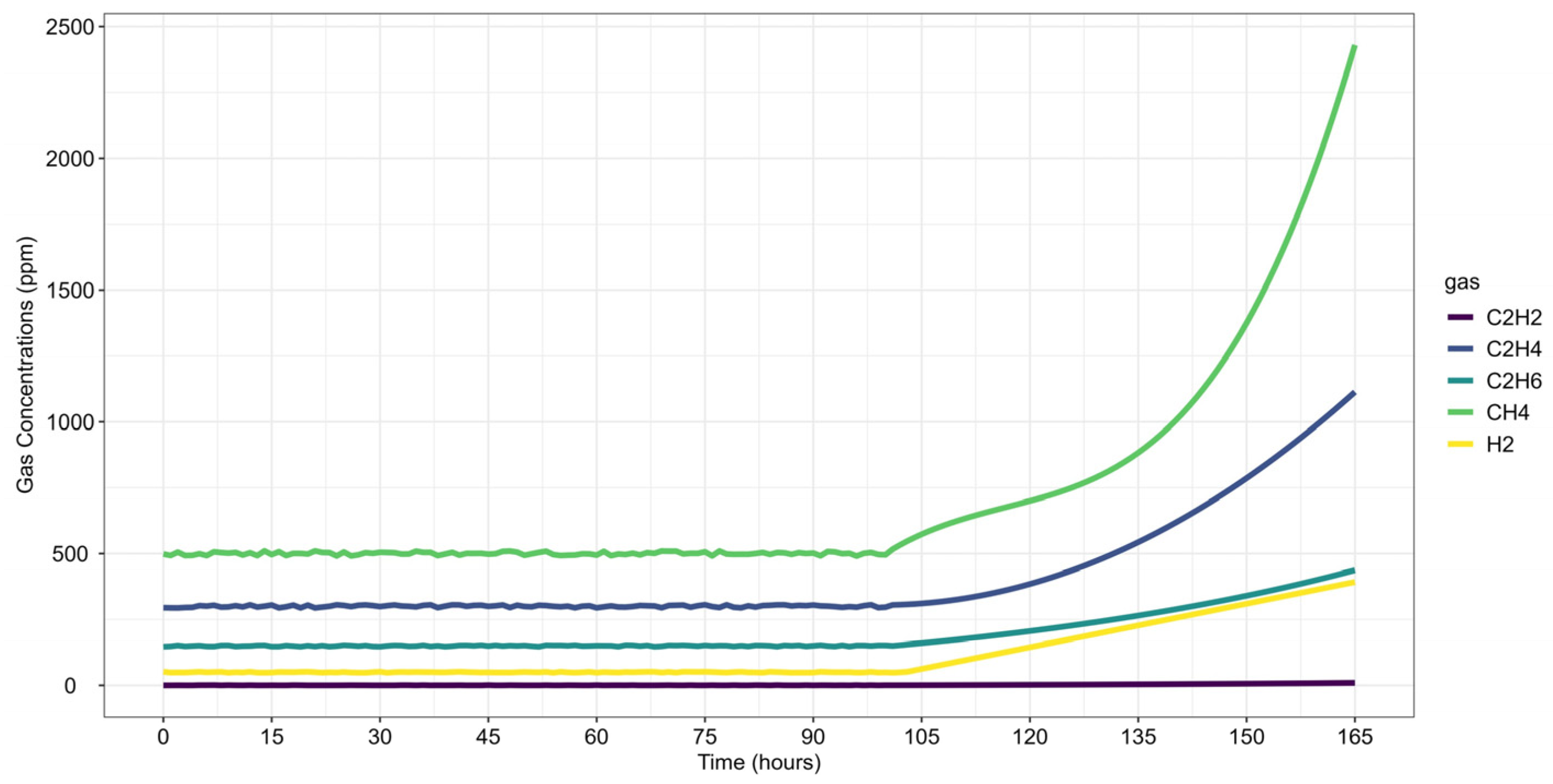
4.1. Case Study 1: Gas Losses in an Experimental Oil Tank Setup
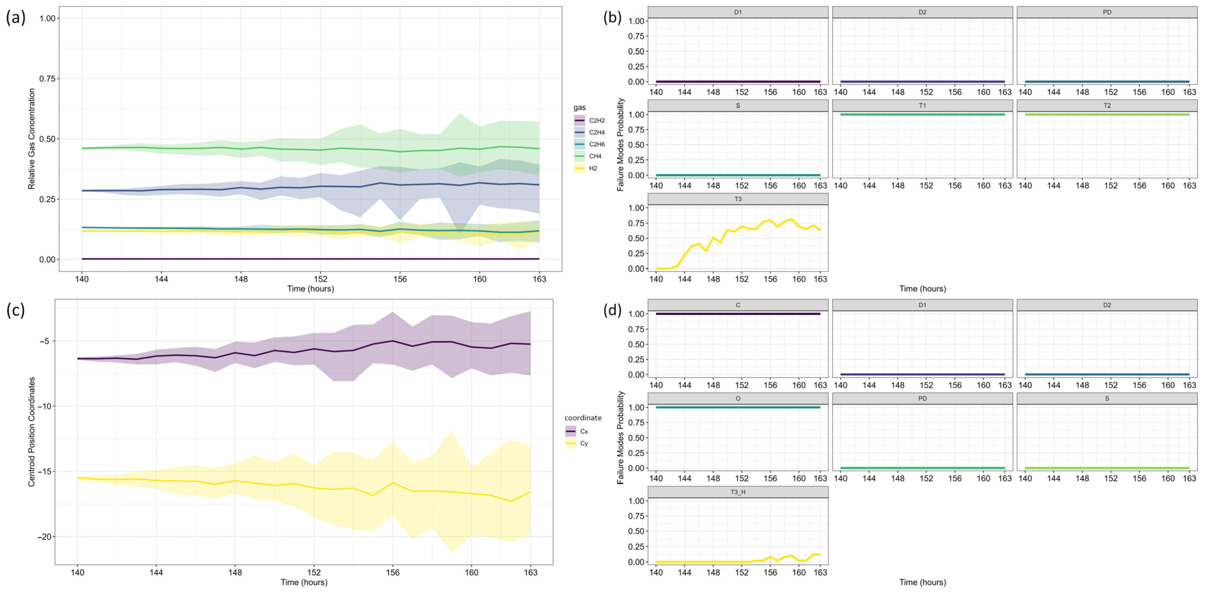
4.2. Case Study 2: Thermal Fault in a 345 kV Power Transformer
4.3. Model Performance and Predictive Reliability
5. Conclusions
Author Contributions
Funding
Institutional Review Board Statement
Informed Consent Statement
Data Availability Statement
Acknowledgments
Conflicts of Interest
Appendix A
Appendix A.1. Duval’s Triangle 1 (T1)
Appendix A.2. Duval’s Triangle 2 (T2)
Appendix A.3. Duval’s Triangle 3 (T3)
Appendix A.4. Duval’s Pentagon 1 (P1)
Appendix A.5. Duval’s Pentagon 2 (P2)
References
- Rexhepi, V. An Analysis of Power Transformer Outages and Reliability Monitoring. Energy Procedia 2017, 141, 418–422. [Google Scholar] [CrossRef]
- Atwa, O.S.E. Practical Power System and Protective Relays Commissioning; Elsevier: Amsterdam, The Netherlands, 2019; ISBN 9780128168585. [Google Scholar]
- Ranga, C.; Kumar, A.; Chandel, R. Influence of Electrical and Thermal Ageing on the Mineral Insulating Oil Performance for Power Transformer Applications. Insight—Non-Destr. Test. Cond. Monit. 2020, 62, 222–231. [Google Scholar] [CrossRef]
- Doukas, H.; Xidonas, P.; Angelopoulos, D.; Askounis, D.; Psarras, J. Distribution Transformers Failures: How Does It Cost? Evidence from Greece. Energy Syst. 2016, 7, 601–613. [Google Scholar] [CrossRef]
- El-Bassiouny, A.; El-Shimy, M.; Hammouda, R. Impact of Power Transformer Failures on Customer Interruptions Costs Using Customer Damage Functions. In Proceedings of the 2017 Nineteenth International Middle East Power Systems Conference (MEPCON), Cairo, Egypt, 19–21 December 2017; pp. 565–570. [Google Scholar]
- Zhao, X.; Gui, F.; Chen, H.; Fan, L.; Pan, P. Life Cycle Cost Estimation and Analysis of Transformers Based on Failure Rate. Appl. Sci. 2024, 14, 1210. [Google Scholar] [CrossRef]
- Abdugaffar Ugli, A.A.; Zokirovich, T.Z.; Kamolovich, J.T.; Khamidjon Ugli, K.M.; Zukhriddin Ugli, N.Z.; Ziyodulla Ugli, S.M. A Review on Power Transformer Failures: Analysis of Failure Types and Causative Factors. Indones. J. Electr. Eng. Comput. Sci. 2025, 38, 713–722. [Google Scholar] [CrossRef]
- Verma, N.; Chandel, A.K. Incipient Fault Diagnosis of Power Transformer Based on Duval Pentagon Using Medium Neural Network. In Proceedings of the 2022 1st International Conference on Sustainable Technology for Power and Energy Systems (STPES), Srinagar, India, 4 July 2022; pp. 1–5. [Google Scholar]
- Duval, M. Dissolved Gas Analysis: It Can Save Your Transformer. IEEE Electr. Insul. Mag. 1989, 5, 22–27. [Google Scholar] [CrossRef]
- Bessa, A.R.; Fardin, J.F.; Ciarelli, P.M.; Encarnação, L.F. Conventional Dissolved Gases Analysis in Power Transformers: Review. Energies 2023, 16, 7219. [Google Scholar] [CrossRef]
- IEC 60599; Mineral Oil-Filled Electrical Equipment in Service—Guidance on the Interpretation of Dissolved and Free Gases Analysis. IEC: Geneva, Switzerland, 2022.
- IEEE SA IEEE Std C57.104; IEEE Guide for the Interpretation of Gases Generated in Mineral Oil-Immersed Transformers. IEEE: New York, NY, USA, 2019.
- Duval, M. A Review of Faults Detectable by Gas-in-Oil Analysis in Transformers. IEEE Electr. Insul. Mag. 2002, 18, 8–17. [Google Scholar] [CrossRef]
- Duval, M. The Duval Triangle for Load Tap Changers, Non-Mineral Oils and Low Temperature Faults in Transformers. IEEE Electr. Insul. Mag. 2008, 24, 22–29. [Google Scholar] [CrossRef]
- Duval, M. Calculation of DGA Limit Values and Sampling Intervals in Transformers in Service. IEEE Electr. Insul. Mag. 2008, 24, 7–13. [Google Scholar] [CrossRef]
- Duval, M.; Lamarre, L. The Duval Pentagon-a New Complementary Tool for the Interpretation of Dissolved Gas Analysis in Transformers. IEEE Electr. Insul. Mag. 2014, 30, 9–12. [Google Scholar] [CrossRef]
- Duval, M.; Buchacz, J. Identification of Arcing Faults in Paper and Oil in Transformers—Part I: Using the Duval Pentagons. IEEE Electr. Insul. Mag. 2022, 38, 19–23. [Google Scholar] [CrossRef]
- Mansour, D.-E.A. Development of a New Graphical Technique for Dissolved Gas Analysis in Power Transformers Based on the Five Combustible Gases. IEEE Trans. Dielectr. Electr. Insul. 2015, 22, 2507–2512. [Google Scholar] [CrossRef]
- Suwarno; Sutikno, H.; Prasojo, R.A.; Abu-Siada, A. Machine Learning Based Multi-Method Interpretation to Enhance Dissolved Gas Analysis for Power Transformer Fault Diagnosis. Heliyon 2024, 10, e25975. [Google Scholar] [CrossRef]
- Wani, S.A.; Rana, A.S.; Sohail, S.; Rahman, O.; Parveen, S.; Khan, S.A. Advances in DGA Based Condition Monitoring of Transformers: A Review. Renew. Sustain. Energy Rev. 2021, 149, 111347. [Google Scholar] [CrossRef]
- Aizpurua, J.I.; Stewart, B.G.; McArthur, S.D.J.; Penalba, M.; Barrenetxea, M.; Muxika, E.; Ringwood, J.V. Probabilistic Forecasting Informed Failure Prognostics Framework for Improved RUL Prediction under Uncertainty: A Transformer Case Study. Reliab. Eng. Syst. Saf. 2022, 226, 108676. [Google Scholar] [CrossRef]
- Ali, M.S.; Abu Bakar, A.H.; Omar, A.; Abdul Jaafar, A.S.; Mohamed, S.H. Conventional Methods of Dissolved Gas Analysis Using Oil-Immersed Power Transformer for Fault Diagnosis: A Review. Electr. Power Syst. Res. 2023, 216, 109064. [Google Scholar] [CrossRef]
- Miranda, V.; Castro, A.R.G.; Lima, S. Diagnosing Faults in Power Transformers with Autoassociative Neural Networks and Mean Shift. IEEE Trans. Power Deliv. 2012, 27, 1350–1357. [Google Scholar] [CrossRef]
- Pereira, F.H.; Bezerra, F.E.; Junior, S.; Santos, J.; Chabu, I.; de Souza, G.F.M.; Micerino, F.; Nabeta, S.I. Nonlinear Autoregressive Neural Network Models for Prediction of Transformer Oil-Dissolved Gas Concentrations. Energies 2018, 11, 1691. [Google Scholar] [CrossRef]
- Ghoneim, S.S.M.; Taha, I.B.M.; Elkalashy, N.I. Integrated ANN-Based Proactive Fault Diagnostic Scheme for Power Transformers Using Dissolved Gas Analysis. IEEE Trans. Dielectr. Electr. Insul. 2016, 23, 1838–1845. [Google Scholar] [CrossRef]
- Huang, Y.-C.; Sun, H.-C. Dissolved Gas Analysis of Mineral Oil for Power Transformer Fault Diagnosis Using Fuzzy Logic. IEEE Trans. Dielectr. Electr. Insul. 2013, 20, 974–981. [Google Scholar] [CrossRef]
- Taha, I.B.M.; Ghoneim, S.S.M.; Zaini, H.G. A Fuzzy Diagnostic System for Incipient Transformer Faults Based on DGA of the Insulating Transformer Oils. Int. Rev. Electr. Eng. (IREE) 2016, 11, 305. [Google Scholar] [CrossRef]
- Zeng, B.; Guo, J.; Zhu, W.; Xiao, Z.; Yuan, F.; Huang, S. A Transformer Fault Diagnosis Model Based On Hybrid Grey Wolf Optimizer and LS-SVM. Energies 2019, 12, 4170. [Google Scholar] [CrossRef]
- Aciu, A.-M.; Nițu, M.-C.; Nicola, C.-I.; Nicola, M. Determining the Remaining Functional Life of Power Transformers Using Multiple Methods of Diagnosing the Operating Condition Based on SVM Classification Algorithms. Machines 2024, 12, 37. [Google Scholar] [CrossRef]
- Yuan, F.; Guo, J.; Xiao, Z.; Zeng, B.; Zhu, W.; Huang, S. A Transformer Fault Diagnosis Model Based on Chemical Reaction Optimization and Twin Support Vector Machine. Energies 2019, 12, 960. [Google Scholar] [CrossRef]
- Dai, J.; Song, H.; Sheng, G.; Jiang, X. Dissolved Gas Analysis of Insulating Oil for Power Transformer Fault Diagnosis with Deep Belief Network. IEEE Trans. Dielectr. Electr. Insul. 2017, 24, 2828–2835. [Google Scholar] [CrossRef]
- Shang, H.; Xu, J.; Zheng, Z.; Qi, B.; Zhang, L. A Novel Fault Diagnosis Method for Power Transformer Based on Dissolved Gas Analysis Using Hypersphere Multiclass Support Vector Machine and Improved D–S Evidence Theory. Energies 2019, 12, 4017. [Google Scholar] [CrossRef]
- Kari, T.; Gao, W.; Zhao, D.; Zhang, Z.; Mo, W.; Wang, Y.; Luan, L. An Integrated Method of ANFIS and Dempster-Shafer Theory for Fault Diagnosis of Power Transformer. IEEE Trans. Dielectr. Electr. Insul. 2018, 25, 360–371. [Google Scholar] [CrossRef]
- Hyndman, R.J.; Athanasopoulos, G. Forecasting: Principles and Practice, 2nd ed.; OTexts: Melbourne, Australia, 2018. [Google Scholar]
- Hyndman, R.J.; Khandakar, Y. Automatic Time Series Forecasting: The Forecast Package for R. J. Stat. Softw. 2008, 27, 1–22. [Google Scholar] [CrossRef]
- Liu, J.; Zhao, Z.; Zhong, Y.; Zhao, C.; Zhang, G. Prediction of the Dissolved Gas Concentration in Power Transformer Oil Based on SARIMA Model. Energy Rep. 2022, 8, 1360–1367. [Google Scholar] [CrossRef]
- Wang, T.-L.; Yang, J.-G.; Li, J.-S.; Li, Y.; Wu, P.; Lin, J.-S.; Liang, J.-B. Time Series Prediction of Dissolved Gas Concentrations in Transformer Oil Using ARIMA-NKDE Method. In Proceedings of the 2022 2nd International Conference on Electrical Engineering and Control Science (IC2ECS), Nanjing, China, 16–18 December 2022; pp. 129–133. [Google Scholar]
- Zhang, P.; Hu, K.; Yang, Y.; Yi, G.; Zhang, X.; Peng, R.; Liu, J. Research on Prediction of Dissolved Gas Concentration in a Transformer Based on Dempster–Shafer Evidence Theory-Optimized Ensemble Learning. Electronics 2025, 14, 1266. [Google Scholar] [CrossRef]
- Lakehal, A.; Tachi, F. Bayesian Duval Triangle Method for Fault Prediction and Assessment of Oil Immersed Transformers. Meas. Control 2017, 50, 103–109. [Google Scholar] [CrossRef]
- Paul, D.; Goswami, A.K.; Chetri, R.L.; Roy, R.; Sen, P. Bayesian Optimization-Based Gradient Boosting Method of Fault Detection in Oil-Immersed Transformer and Reactors. IEEE Trans. Ind. Appl. 2022, 58, 1910–1919. [Google Scholar] [CrossRef]
- Riedmann, C.; Schichler, U.; Häusler, W.; Neuhold, W. Gas Losses in Transformers—Influences and Consideration. IEEE Access 2023, 11, 58654–58663. [Google Scholar] [CrossRef]
- Duval, M.; dePabla, A. Interpretation of Gas-in-Oil Analysis Using New IEC Publication 60599 and IEC TC 10 Databases. IEEE Electr. Insul. Mag. 2001, 17, 31–41. [Google Scholar] [CrossRef]
- Rogers, R. IEEE and IEC Codes to Interpret Incipient Faults in Transformers, Using Gas in Oil Analysis. IEEE Trans. Electr. Insul. 1978, EI-13, 349–354. [Google Scholar] [CrossRef]
- Duval, M.; Buchacz, J. Detection of Carbonization of Paper in Transformers Using Duval Pentagon 2 and Triangle 5. IEEE Trans. Dielectr. Electr. Insul. 2023, 30, 1534–1539. [Google Scholar] [CrossRef]
- Duval, M.; Buchacz, J. Gas Formation from Arcing Faults in Transformers—Part II. IEEE Electr. Insul. Mag. 2022, 38, 12–15. [Google Scholar] [CrossRef]
- Duval, M.; Arvidsson, L.; Boman, P.; Carrander, K.; Foschum, H.; Grisaru, M.; Hall, A.C.; Haug, A.M.; Kelly, J.; Knab, H.; et al. Recent Developments in DGA Interpretation—Joint Task Force.01/A2.11; CIGRE: Paris, France, 2006. [Google Scholar]
- Nanfak, A.; Samuel, E.; Fofana, I.; Meghnefi, F.; Ngaleu, M.G.; Hubert Kom, C. Traditional Fault Diagnosis Methods for Mineral Oil-immersed Power Transformer Based on Dissolved Gas Analysis: Past, Present and Future. IET Nanodielectrics 2024, 7, 97–130. [Google Scholar] [CrossRef]
- Liu, C.; Lin, T.; Yao, L.; Wang, S. Integrated Power Transformer Diagnosis Using Hybrid Fuzzy Dissolved Gas Analysis. IEEJ Trans. Electr. Electron. Eng. 2015, 10, 689–698. [Google Scholar] [CrossRef]
- Faiz, J.; Soleimani, M. Dissolved Gas Analysis Evaluation in Electric Power Transformers Using Conventional Methods a Review. IEEE Trans. Dielectr. Electr. Insul. 2017, 24, 1239–1248. [Google Scholar] [CrossRef]
- Gupta, A.; Jain, K.; Sood, Y.R.; Sharma, N.K. Comparative Study of Duval Triangle with the New DGA Interpretation Scheme. In Advances in System Optimization and Control—Select Proceedings of ICAEDC 2017; Singh, S.N., Wen, F., Jain, M., Eds.; Springer: Berlin/Heidelberg, Germany, 2019; pp. 261–268. [Google Scholar]
- Islam, M.M.; Lee, G.; Hettiwatte, S.N. Application of Parzen Window Estimation for Incipient Fault Diagnosis in Power Transformers. High Volt. 2018, 3, 303–309. [Google Scholar] [CrossRef]
- Mharakurwa, E.T.; Nyakoe, G.N.; Akumu, A.O. Power Transformer Fault Severity Estimation Based on Dissolved Gas Analysis and Energy of Fault Formation Technique. J. Electr. Comput. Eng. 2019, 2019, 9674054. [Google Scholar] [CrossRef]
- Malik, H.; Khatri, A.; Dohare, R. Probabilistic Neural Network Based Incipient Fault Identification Using DGA Dataset. Procedia Comput. Sci. 2015, 58, 665–672. [Google Scholar] [CrossRef]
- Taha, I.B.M.; Ibrahim, S.; Mansour, D.-E.A. Power Transformer Fault Diagnosis Based on DGA Using a Convolutional Neural Network With Noise in Measurements. IEEE Access 2021, 9, 111162–111170. [Google Scholar] [CrossRef]
- Taha, I.B.M.; Mansour, D.A.; Ghoneim, S.S.M.; Elkalashy, N.I. Conditional Probability-based Interpretation of Dissolved Gas Analysis for Transformer Incipient Faults. IET Gener. Transm. Distrib. 2017, 11, 943–951. [Google Scholar] [CrossRef]
- Zhang, W.; Zeng, Y.; Li, Y.; Zhang, Z. Prediction of Dissolved Gas Concentration in Transformer Oil Considering Data Loss Scenarios in Power System. Energy Rep. 2023, 9, 186–193. [Google Scholar] [CrossRef]
- Huang, X.; Zhuang, X.; Tian, F.; Niu, Z.; Chen, Y.; Zhou, Q.; Yuan, C. A Hybrid ARIMA-LSTM-XGBoost Model with Linear Regression Stacking for Transformer Oil Temperature Prediction. Energies 2025, 18, 1432. [Google Scholar] [CrossRef]
- de Carvalho Michalski, M.A.; de Andrade Melani, A.H.; da Silva, R.F.; de Souza, G.F.M. Remaining Useful Life Estimation Based on an Adaptive Approach of Autoregressive Integrated Moving Average (ARIMA). In Extended Abstracts, Proceedings of the 32nd European Safety and Reliability Conference, Dublin, Ireland, 28 August–1 September 2022; Research Publishing Services: Singapore; pp. 1227–1234.
- Bisht, D.C.S.; Ram, M. Recent Advances in Time Series Forecasting; Parsaei, H.R., Karwowski, W., Eds.; CRC Press: Boca Raton, FL, USA, 2021; ISBN 9781003102281. [Google Scholar]
- Brockwell, P.J.; Davis, R.A. Introduction to Time Series and Forecasting; Springer Texts in Statistics; Springer International Publishing: Cham, Switzerland, 2016; ISBN 978-3-319-29852-8. [Google Scholar]
- Guerrero, V.M. Time-Series Analysis Supported by Power Transformations. J. Forecast. 1993, 12, 37–48. [Google Scholar] [CrossRef]
- Box, G.E.P.; Cox, D.R. An Analysis of Transformations. J. R. Stat. Soc. Series. B Stat. Methodol. 1964, 26, 211–243. [Google Scholar] [CrossRef]
- Akaike, H. A New Look at the Statistical Model Identification. IEEE Trans. Autom. Control 1974, 19, 716–723. [Google Scholar] [CrossRef]
- Lam, J.-P.; Veall, M.R. Bootstrap Prediction Intervals for Single Period Regression Forecasts. Int. J. Forecast. 2002, 18, 125–130. [Google Scholar] [CrossRef]
- Stine, R.A. Bootstrap Prediction Intervals for Regression. J. Am. Stat. Assoc. 1985, 80, 1026. [Google Scholar] [CrossRef]
- Wu, B.; Gao, Y.; Feng, S.; Chanwimalueang, T. Sparse Optimistic Based on Lasso-LSQR and Minimum Entropy De-Convolution with FARIMA for the Remaining Useful Life Prediction of Machinery. Entropy 2018, 20, 747. [Google Scholar] [CrossRef] [PubMed]
- Zhou, Y.; Huang, M. Lithium-Ion Batteries Remaining Useful Life Prediction Based on a Mixture of Empirical Mode Decomposition and ARIMA Model. Microelectron. Reliab. 2016, 65, 265–273. [Google Scholar] [CrossRef]
- Liang, Y.; Zhang, Z.; Li, K.J.; Li, Y.C. New Correlation Features for Dissolved Gas Analysis Based Transformer Fault Diagnosis Based on the Maximal Information Coefficient. High Volt. 2022, 7, 302–313. [Google Scholar] [CrossRef]
- Scott, S.L.; Varian, H.R. Predicting the Present with Bayesian Structural Time Series. Int. J. Math. Model. Numer. Optim. 2014, 5, 4–23. [Google Scholar] [CrossRef]
- Rasmussen, C.E.; Williams, C.K.I. Gaussian Processes for Machine Learning; Dietterich, T., Ed.; MIT Press: Cambridge, MA, USA, 2006; ISBN 026218253X. [Google Scholar]
- Casolaro, A.; Capone, V.; Iannuzzo, G.; Camastra, F. Deep Learning for Time Series Forecasting: Advances and Open Problems. Information 2023, 14, 598. [Google Scholar] [CrossRef]
- Box, G.E.P.; Jenkins, G.M.; Reinsel, G.C.; Ljung, G.M. Time Series Analysis: Forecasting and Control, 5th ed.; Wiley: Hoboken, NJ, USA, 2016; ISBN 1118675029. [Google Scholar]
- Hocking, R.R. The Analysis and Selection of Variables in Linear Regression. Biometrics 1976, 32, 1–49. [Google Scholar] [CrossRef]
- Ralston, A.; Wilf, H.S. Mathematical Methods for Digital Computers; John Wiley & Sons: Hoboken, NJ, USA, 1960. [Google Scholar]
- Shapiro, S.S.; Wilk, M.B. An Analysis of Variance Test for Normality (Complete Samples). Biometrika 1965, 52, 591. [Google Scholar] [CrossRef]
- Ljung, G.M.; Box, G.E.P. On a Measure of Lack of Fit in Time Series Models. Biometrika 1978, 65, 297–303. [Google Scholar] [CrossRef]
- Box, G.E.P.; Pierce, D.A. Distribution of Residual Autocorrelations in Autoregressive-Integrated Moving Average Time Series Models. J. Am. Stat. Assoc. 1970, 65, 1509. [Google Scholar] [CrossRef]
- Engle, R.F. Autoregressive Conditional Heteroscedasticity with Estimates of the Variance of United Kingdom Inflation. Econometrica 1982, 50, 987–1007. [Google Scholar] [CrossRef]
- Riedmann, C.; Schichler, U.; Häusler, W.; Neuhold, W. Online Dissolved Gas Analysis Used for Transformers—Possibilities, Experiences, and Limitations. e Elektrotech. Inf. 2022, 139, 88–97. [Google Scholar] [CrossRef]














| Code | Fault Type | Description |
|---|---|---|
| R | Catalytic Reactions | Occur due to moisture and interactions with galvanized steel in transformer oil sampling valves or rust on the tank steel. |
| PD | Partial Discharges | Formation of cold plasma discharges, potentially leading to wax-like deposits on the insulating paper. |
| S | Stray gassing from Mineral Oil | Occurs at temperatures below 200 °C due to chemical instability caused by modern refining techniques or incompatibility between materials (metal passivators). |
| T1 | Thermal Failure < 300 °C | Occurs in mineral oil and/or paper due to temperatures below 300 °C, causing paper discoloration (browning). |
| O | Overheating < 250 °C | Affects paper or mineral oil at temperatures below 250 °C, without carbonization of the paper or loss of its electrical insulation properties. |
| C | Carbonization of Paper | Possible carbonization of paper insulation, indicating severe overheating or prolonged thermal stress, typically associated with T2–T3 thermal ranges (>300 °C). |
| T2 | Thermal Failure 300–700 °C | Occurs in paper insulation, leading to burning when exposed to temperatures between 300 °C and 700 °C. |
| T3 | Thermal Failure > 700 °C | Severe thermal degradation, with strong evidence of mineral oil carbonization, metal discoloration (~800 °C), or metal melting (>1000 °C). |
| T3-H | Thermal Failure (Oil only, >700 °C) | Specific to mineral oil, involving extensive degradation without significant damage to solid insulation. |
| D1 | Low-Energy Discharges | Partial spark-type discharges in mineral oil and/or paper, causing charred perforations in insulation, surface carbonization traces, and free carbon particles in the oil. Often associated with divergent tap-changer operation. |
| D2 | High-Energy Discharges | Occur in mineral oil and/or paper, evidenced by extensive destruction and carbonization of paper, metal melting at discharge ends, and severe carbonization of oil. In some cases, this leads to equipment shutdown, confirming the presence of large current flow. |
| DT | Combined Electrical and Thermal Faults | Represents intermediate fault conditions, where both electrical discharges and thermal failures coexist within the transformer. |
| N | Not Detected/ Not Identified | Indicates that no fault has been classified based on the available dissolved gas concentrations. However, this does not confirm that the transformer is in a normal operating condition, as early-stage faults or transient issues may not yet be detectable. |
| Method | Handles Autocorrelation? | Works with Few Data Points? | Interpretability | Computational Cost | Suitability for DGA |
|---|---|---|---|---|---|
| ARIMA | Yes | Yes | High | Low | Best fit |
| Holt-Winters | No | Yes | High | Low | Lacks autocorrelation modeling |
| BSTS | Yes | ⃟ Moderate | ⃟ Moderate | ⃟ Moderate | ⃟ Possible alternative |
| GPR | ⃟ Partial | No | Low | High | Not feasible |
| LSTM/GRU | Yes | No | Low | High | Not feasible |
| Transformers | Yes | No | Low | Very high | Not feasible |
| Gas | Symbol | θg (Degrees) | Index i |
|---|---|---|---|
| Hydrogen | H2 | 90° | 1 |
| Ethane | C2H6 | 162° | 2 |
| Methane | CH4 | 234° | 3 |
| Ethylene | C2H4 | 306° | 4 |
| Acetylene | C2H2 | 18° | 5 |
| Gas | Symbol | Detection Threshold | Confirmation Threshold | Failure Threshold |
|---|---|---|---|---|
| Hydrogen | H2 | 100 ppm | 179 ppm/year | 725 ppm |
| Ethane | C2H6 | 55 ppm | 175 ppm/year | 400 ppm |
| Methane | CH4 | 80 ppm | 176 ppm/year | 900 ppm |
| Ethylene | C2H4 | 170 ppm | 218 ppm/year | 800 ppm |
| Acetylene | C2H2 | 3 ppm | 7 ppm/year | 450 ppm |
| Gas | H2 | C2H6 | CH4 | C2H4 | C2H2 |
|---|---|---|---|---|---|
| Model (p, d, q) | (1,1,0) with drift | (0,1,1) | (1,0,0) with non-zero mean | (0,1,1) with drift | (2,2,1) |
| Box–Cox λ | 0.9308 | 0.7332 | 0.07754 | 0.7479 | 0.8410 |
| Log-Likelihood | –82.8 | –79.19 | –152.4 | –100.87 | –31.22 |
| RMSE | 1.4873 | 1.3989 | 0.3077 | 6.9917 | 0.7250 |
| ACF1 | −0.0666 | 0.1007 | 0.2443 | –0.0695 | –0.0123 |
| Normality | Normal | Normal | Not Normal | Normal | Normal |
| Box-Ljung p-value | 0.3832 | 0.451 | 0.6331 | 0.8144 | 0.419 |
| ARCH LM p-value | 0.6749 | 0.04912 | 0.9523 | 0.04526 | 0.8858 |
| Gas | H2 | C2H6 | CH4 | C2H4 | C2H2 |
|---|---|---|---|---|---|
| Model (p, d, q) | (0,0,0) with non-zero mean | (0,0,0) with non-zero mean | (1,1,0) | (0,0,0) with non-zero mean | (0,0,1) with non-zero mean |
| Box–Cox λ | –0.8999 | 1.9999 | –0.8999 | 1.9999 | 0.1886 |
| Log-Likelihood | 285.79 | –342.64 | 399.41 | –414.05 | –109.07 |
| RMSE | 1.2029 | 1.7505 | 17.9064 | 3.7658 | 0.3304 |
| ACF1 | 0.8160 | –0.1463 | 0.0076 | 0.8359 | 0.2600 |
| Normality | Not Normal | Normal | Not Normal | Not Normal | Not Normal |
| Box-Ljung p-value | 0.8681 | 0.481 | 0.9849 | 0.662 | 0.1898 |
| ARCH LM p-value | 0.6605 | 0.6375 | 0.009239 | 0.7116 | 0.5765 |
| Gas | H2 | C2H6 | CH4 | C2H4 | C2H2 |
|---|---|---|---|---|---|
| Model (p, d, q) | (1,2,0) | (2,2,0) | (0,2,1) | (2,2,2) | (1,2,1) |
| Box–Cox λ | 0.7301 | 0.1776 | 0.3797 | –0.2405 | 1.6785 |
| Log-Likelihood | –20.48 | 122.73 | 33.31 | 231.76 | 39.02 |
| RMSE | 1.0617 | 1.0529 | 5.5989 | 2.1250 | 0.1683 |
| ACF1 | 0.0017 | 0.1654 | 0.2322 | –0.1441 | –0.3428 |
| Normality | Not Normal | Not Normal | Not Normal | Not Normal | Not Normal |
| Box-Ljung p-value | 0.7589 | 0.1637 | 0.3936 | 0.02489 | 0.05745 |
| ARCH LM p-value | 0.03765 | 0.02719 | 0.4908 | 9.944 × 10−7 | 9.926 × 10−7 |
Disclaimer/Publisher’s Note: The statements, opinions and data contained in all publications are solely those of the individual author(s) and contributor(s) and not of MDPI and/or the editor(s). MDPI and/or the editor(s) disclaim responsibility for any injury to people or property resulting from any ideas, methods, instructions or products referred to in the content. |
© 2025 by the authors. Licensee MDPI, Basel, Switzerland. This article is an open access article distributed under the terms and conditions of the Creative Commons Attribution (CC BY) license (https://creativecommons.org/licenses/by/4.0/).
Share and Cite
Kashiwagi, F.N.; Michalski, M.A.d.C.; de Souza, G.F.M.; da Silva, H.J.B.; Côrtes, H.M. Probabilistic Prognostics and Health Management of Power Transformers Using Dissolved Gas Analysis Sensor Data and Duval’s Polygons. Sensors 2025, 25, 6520. https://doi.org/10.3390/s25216520
Kashiwagi FN, Michalski MAdC, de Souza GFM, da Silva HJB, Côrtes HM. Probabilistic Prognostics and Health Management of Power Transformers Using Dissolved Gas Analysis Sensor Data and Duval’s Polygons. Sensors. 2025; 25(21):6520. https://doi.org/10.3390/s25216520
Chicago/Turabian StyleKashiwagi, Fabio Norikazu, Miguel Angelo de Carvalho Michalski, Gilberto Francisco Martha de Souza, Halley José Braga da Silva, and Hyghor Miranda Côrtes. 2025. "Probabilistic Prognostics and Health Management of Power Transformers Using Dissolved Gas Analysis Sensor Data and Duval’s Polygons" Sensors 25, no. 21: 6520. https://doi.org/10.3390/s25216520
APA StyleKashiwagi, F. N., Michalski, M. A. d. C., de Souza, G. F. M., da Silva, H. J. B., & Côrtes, H. M. (2025). Probabilistic Prognostics and Health Management of Power Transformers Using Dissolved Gas Analysis Sensor Data and Duval’s Polygons. Sensors, 25(21), 6520. https://doi.org/10.3390/s25216520



