Scale-Adaptive High-Resolution Imaging Using a Rotating-Prism-Guided Variable-Boresight Camera
Abstract
1. Introduction
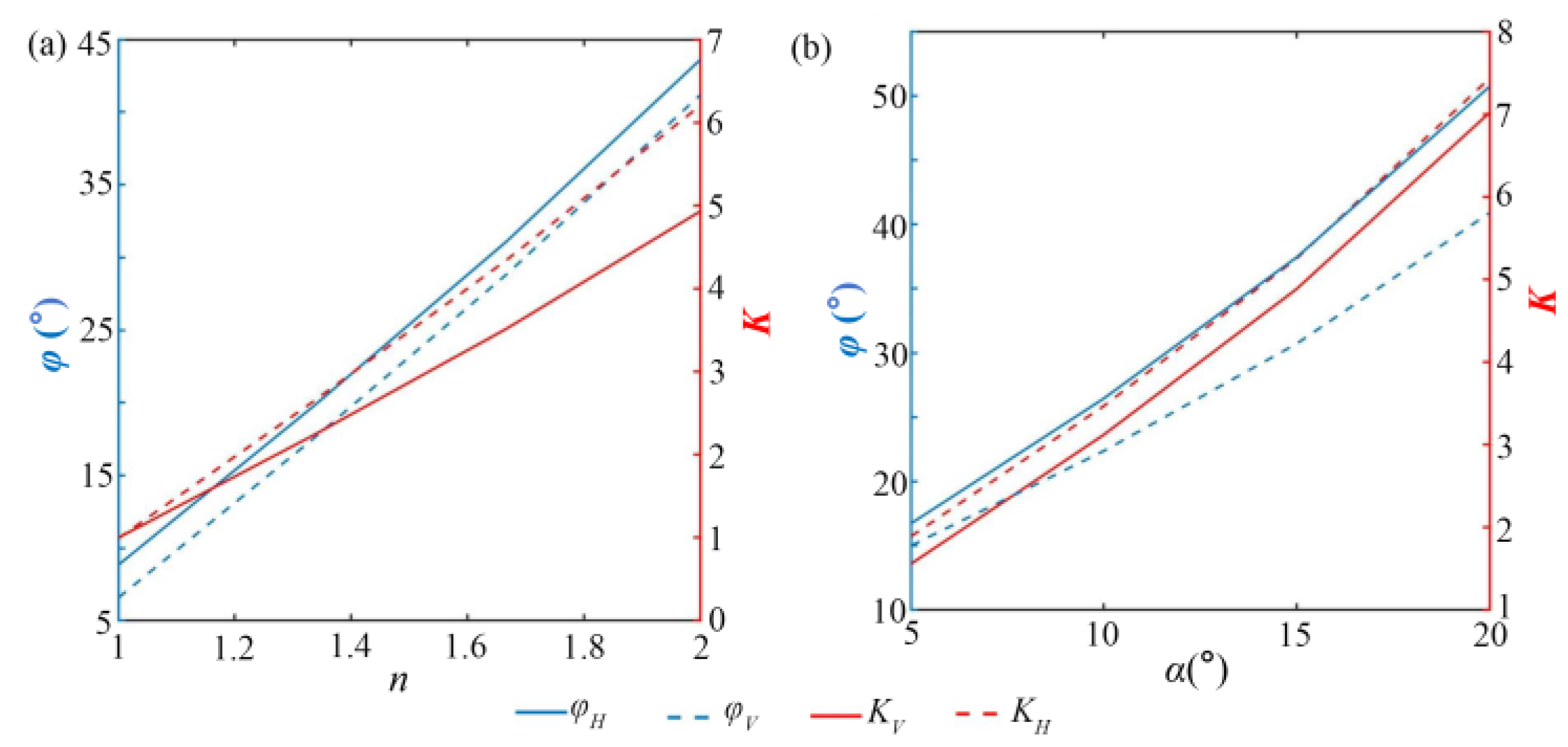
2. The Model of Large-Scale High-Resolution Imaging
3. Super-Resolution Imaging with Prism-Induced Distortion Correction
3.1. Multi-View Image Preprocessing
3.1.1. Distortion Correction Using Virtual Symmetrical Prisms
3.1.2. Dispersion Elimination Based on Reverse Tracing
3.2. Super-Resolution Imaging by Multi-Viewpoint Image Fusion
4. Experiment
4.1. Simulation Experiment
4.2. Real Experiment
5. Conclusions
Author Contributions
Funding
Data Availability Statement
Conflicts of Interest
References
- Joy, J.; Santhi, N.; Ramar, K.; Bama, S.B. Spatial frequency discrete wavelet transform image fusion technique for remote sensing applications. Eng. Sci. Technol. Int. J. 2019, 22, 715–726. [Google Scholar] [CrossRef]
 - Brady, D.J.; Gehm, M.E.; Stack, R.A.; Marks, D.L.; Kittle, D.S.; Golish, D.R.; Vera, E.M.; Feller, S.D. Multiscale gigapixel photography. Nature 2012, 486, 386–389. [Google Scholar] [CrossRef]
 - Yue, L.W.; Shen, H.F.; Li, J.; Yuan, Q.Q.; Zhang, H.Y.; Zhang, L.P. Image super-resolution: The techniques, applications, and future. Signal Process 2016, 128, 389–408. [Google Scholar] [CrossRef]
 - Aguilar, A.; García-Márquez, J.; Landgrave, J.E.A. Super-resolution with a complex-amplitude pupil mask encoded in the first diffraction order of a phase grating. Opt. Lasers Eng. 2020, 134, 106247. [Google Scholar] [CrossRef]
 - Carles, G.; Downing, J.; Harvey, A.R. Super-resolution imaging using a camera array. Opt. Lett. 2014, 39, 1889–1892. [Google Scholar] [CrossRef]
 - Wang, H.; Gao, X.; Zhang, K.; Li, J. Fast single image super-resolution using sparse Gaussian process regression. Signal Process 2017, 134, 52–62. [Google Scholar] [CrossRef]
 - Zhang, K.; Tao, D.; Gao, X.; Li, X.; Xiong, Z. Learning multiple linear mappings for efficient single image super-resolution. IEEE Trans. Image Process. 2015, 24, 846–861. [Google Scholar] [CrossRef] [PubMed]
 - Shukla, A.; Merugu, S.; Jain, K. A Technical Review on Image Super-Resolution Techniques. In Advances in Cybernetics, Cognition, and Machine Learning for Communication Technologies; Springer: Berlin/Heidelberg, Germany, 2020; pp. 543–565. [Google Scholar] [CrossRef]
 - Zhang, K.; Li, J.; Wang, H.; Liu, X.; Gao, X. Learning local dictionaries and similarity structures for single image super-resolution. Signal Process. 2018, 142, 231–243. [Google Scholar] [CrossRef]
 - Zhang, K.; Liang, J.; Van Gool, L.; Timofte, R. Designing a Practical Degradation Model for Deep Blind Image Super-Resolution. In Proceedings of the 2021 IEEE/CVF International Conference on Computer Vision (ICCV), Montreal, QC, Canada, 10–17 October 2021; pp. 4771–4780. [Google Scholar] [CrossRef]
 - Quevedo, E.; Delory, E.; Callicó, G.M.; Tobajas, F.; Sarmiento, R. Underwater video enhancement using multi-camera super-resolution. Opt. Commun. 2017, 404, 94–102. [Google Scholar] [CrossRef]
 - Song, Y.; Xie, Y.; Viktor, M.; Xiao, J.; Jung, I.; Ki-Joong, C.; Liu, Z.; Hyunsung, P.; Lu, C.; Rak-Hwan, K.; et al. Digital cameras with designs inspired by the arthropod eye. Nature 2013, 497, 95–99. [Google Scholar] [CrossRef] [PubMed]
 - Zhang, H.; Yang, Z.; Zhang, L.; Shen, H. Super-resolution reconstruction for multi-angle remote sensing images considering resolution differences. Remote Sens. 2014, 6, 637–657. [Google Scholar] [CrossRef]
 - Sun, M.; Yu, K. A sur-pixel scan method for super-resolution reconstruction. Optik 2013, 124, 6905–6909. [Google Scholar] [CrossRef]
 - Pu, X.; Wang, X.; Shi, L.; Ma, Y.; Wei, C.; Gao, X.; Gao, J. Computational imaging and occluded objects percep-tion method based on polarization camera array. Opt. Express 2023, 31, 24633–24651. [Google Scholar] [CrossRef]
 - Tian, D.; Yu, N.; Yu, J.; Zhang, H.; Sun, J.; Bai, X. Research on dual-line array sub-pixel scanning imaging for IoMT-based blood cell analysis system. IEEE Internet Things J. 2022, 10, 367–377. [Google Scholar] [CrossRef]
 - Kosuke, T.; Nobuhara, S.; Matsuyama, T. Mirror-based Camera Pose Estimation Using an Orthogonality Constraint. IPSJ Trans. Comput. Vis. Appl. 2016, 8, 11–19. [Google Scholar] [CrossRef]
 - Duma, V.F.; Lee, K.; Meemon, P.; Rolland, J.P. Experimental investigations of the scanning functions of galvanometer-based scanners with applications in OCT. Appl. Opt. 2011, 50, 5735–5749. [Google Scholar] [CrossRef] [PubMed]
 - Roessler, F.; Streek, A. Accelerating laser processes with a smart two-dimensional polygon mirror scanner for ultra-fast beam deflection. Adv. Opt. Technol. 2021, 10, 297–304. [Google Scholar] [CrossRef]
 - Cheng, H.; Liu, S.; Hsu, C.; Lin, H.; Shih, F.; Wu, M.; Liang, K.; Lai, M.; Fang, W. On the design of piezoelectric MEMS scanning mirror for large reflection area and wide scan angle. Sens. Actuators A Phys. 2023, 349, 114010. [Google Scholar] [CrossRef]
 - Carles, G.; Chen, S.; Bustin, N.; Downing, J.; McCall, D.; Wood, A.; Harvey, A.R. Multi-aperture foveated imaging. Opt. Lett. 2016, 41, 1869–1872. [Google Scholar] [CrossRef]
 - Garcia-Torales, G. Risley prisms applications: An overview. Adv. 3OM Opto-Mechatron. Opto-Mech. Opt. Metrol. 2022, 12170, 136–146. [Google Scholar] [CrossRef]
 - Duma, V.F.; Dimb, A.L. Exact scan patterns of rotational Risley prisms obtained with a graphical method: Multi-parameter analysis and design. Appl. Sci. 2021, 11, 8451. [Google Scholar] [CrossRef]
 - Brazeal, R.G.; Wilkinson, B.E.; Hochmair, H.H. A rigorous observation model for the risley prism-based livox mid-40 lidar sensor. Sensors 2021, 21, 4722. [Google Scholar] [CrossRef]
 - Lai, S.; Lee, C. Double-wedge prism scanner for application in thermal imaging systems. Appl. Opt. 2018, 57, 6290–6299. [Google Scholar] [CrossRef] [PubMed]
 - Chan, K.C.K.; Wang, X.; Yu, K.; Dong, C.; Loy, C.C. Basicvsr: The search for essential components in video super-resolution and beyond. In Proceedings of the IEEE/CVF Conference on Computer Vision and Pattern Recognition (CVPR), Nashville, TN, USA, 20–25 June 2021; pp. 4947–4956. [Google Scholar] [CrossRef]
 - Ranjan, A.; Black, M.J. Optical flow estimation using a spatial pyramid network. In Proceedings of the IEEE Conference on Computer Vision and Pattern Recognition, Honolulu, HI, USA, 21–26 July 2017; pp. 4161–4170. [Google Scholar] [CrossRef]
 - Wang, X.; Chan, K.C.K.; Yu, K.; Dong, C.; Loy, C.C. Edvr: Video restoration with enhanced deformable convolutional networks. In Proceedings of the IEEE/CVF Conference on Computer Vision and Pattern Recognition, Long Beach, CA, USA, 16–17 June 2019; pp. 1–10. [Google Scholar] [CrossRef]
 - Nah, S.; Baik, S.; Hong, S.; Moon, G.; Son, S.; Timofte, R.; Lee, K.M. NTIRE 2019 challenge on video deblurring and super resolution: Dataset and study. In Proceedings of the IEEE/CVF Conference on Computer Vision and Pattern Recognition (CVPR), Long Beach, CA, USA, 16–17 June 2019; pp. 1–10. [Google Scholar] [CrossRef]
 - Kingma, D.; Ba, J. Adam: A Method for Stochastic Optimization. arXiv 2014, arXiv:1412.6980. [Google Scholar] [CrossRef]
 - Johnson, J.; Alahi, A.; Fei-Fei, L. Perceptual Losses for Real-Time Style Transfer and Super-Resolution. arXiv 2016, arXiv:1603.08155. [Google Scholar] [CrossRef]
 - Zhang, Z. A flexible new technique for camera calibration. IEEE Trans. Pattern Anal. Mach. Intell. 2002, 22, 1330–1334. [Google Scholar] [CrossRef]
 - Brown, M.; Lowe, D.G. Automatic panoramic image stitching using invariant features. Int. J. Comput. Vis. 2007, 74, 59–73. [Google Scholar] [CrossRef]
 - Zhang, X. A new kind of super-resolution reconstruction algorithm based on the ICM and the bilinear interpolation. In Proceedings of the International Seminar on Future BioMedical Information Engineering, Shanghai, China, 21–22 December 2008; pp. 183–186. [Google Scholar] [CrossRef]
 - Hou, H.; Andrews, H. Cubic splines for image interpolation and digital filtering. IEEE Trans. Acoust. Speech Signal Process. 1978, 26, 508–517. [Google Scholar] [CrossRef]
 - Wang, X.; Xie, L.; Dong, C.; Shan, Y. Real-ESRGAN: Training Real-World Blind Super-Resolution with Pure Synthetic Data. In Proceedings of the 2021 IEEE/CVF International Conference on Computer Vision Workshops (ICCVW), Montreal, BC, Canada, 11–17 October 2021; pp. 1905–1914. [Google Scholar] [CrossRef]
 - Mittal, A.; Soundararajan, R.; Bovik, A.C. Making a “Completely Blind” Image Quality Analyzer. IEEE Signal Process. Lett. 2013, 20, 209–212. [Google Scholar] [CrossRef]
 - Mittal, A.; Moorthy, A.K.; Bovik, A.C. Blind/Referenceless Image Spatial Quality Evaluator. In Proceedings of the 2011 Conference Record of the Forty Fifth Asilomar Conference on Signals, Systems and Computers (ASILOMAR), Pacific Grove, CA, USA, 6–9 November 2011; pp. 723–727. [Google Scholar] [CrossRef]
 
















| Prism Diameter (mm)  | D0 (mm) | n | α (°) | Camera Internal Parameters  | Distortion Coefficient | 
|---|---|---|---|---|---|
| 80 | 5 | 1.517 | 10 | [7321.2, 0, 0; 0, 7427.4, 0; 579.1, 562.5, 1]  | (−0.67, 8.26) | 
| Method | Nearest SR | Bilinear SR | Bicubic SR | Proposed method | 
|---|---|---|---|---|
| Brenner (∙109) | 1.03 | 0.30 | 0.45 | 1.31 | 
| Tenengrad (∙107) | 5.16 | 2.03 | 2.72 | 6.20 | 
| DCT (∙106) | 1.99 | 1.39 | 1.49 | 2.24 | 
| Method | BSRGAN | Real-ESRGAN | Proposed Method | 
|---|---|---|---|
| NIQE | 5.43 | 5.39 | 4.45 | 
| BRISQUE | 34.71 | 35.12 | 31.24 | 
Disclaimer/Publisher’s Note: The statements, opinions and data contained in all publications are solely those of the individual author(s) and contributor(s) and not of MDPI and/or the editor(s). MDPI and/or the editor(s) disclaim responsibility for any injury to people or property resulting from any ideas, methods, instructions or products referred to in the content.  | 
© 2025 by the authors. Licensee MDPI, Basel, Switzerland. This article is an open access article distributed under the terms and conditions of the Creative Commons Attribution (CC BY) license (https://creativecommons.org/licenses/by/4.0/).
Share and Cite
Deng, Z.; Li, A.; Zhao, X.; Lai, Y.; Jin, J. Scale-Adaptive High-Resolution Imaging Using a Rotating-Prism-Guided Variable-Boresight Camera. Sensors 2025, 25, 6313. https://doi.org/10.3390/s25206313
Deng Z, Li A, Zhao X, Lai Y, Jin J. Scale-Adaptive High-Resolution Imaging Using a Rotating-Prism-Guided Variable-Boresight Camera. Sensors. 2025; 25(20):6313. https://doi.org/10.3390/s25206313
Chicago/Turabian StyleDeng, Zhaojun, Anhu Li, Xin Zhao, Yonghao Lai, and Jialiang Jin. 2025. "Scale-Adaptive High-Resolution Imaging Using a Rotating-Prism-Guided Variable-Boresight Camera" Sensors 25, no. 20: 6313. https://doi.org/10.3390/s25206313
APA StyleDeng, Z., Li, A., Zhao, X., Lai, Y., & Jin, J. (2025). Scale-Adaptive High-Resolution Imaging Using a Rotating-Prism-Guided Variable-Boresight Camera. Sensors, 25(20), 6313. https://doi.org/10.3390/s25206313
        
