The SPICE Modeling of a Radiation Sensor Based on a MOSFET with a Dielectric HfO2/SiO2 Double-Layer
Abstract
1. Introduction
2. Materials and Methods
3. SPICE Model Parameter Extraction
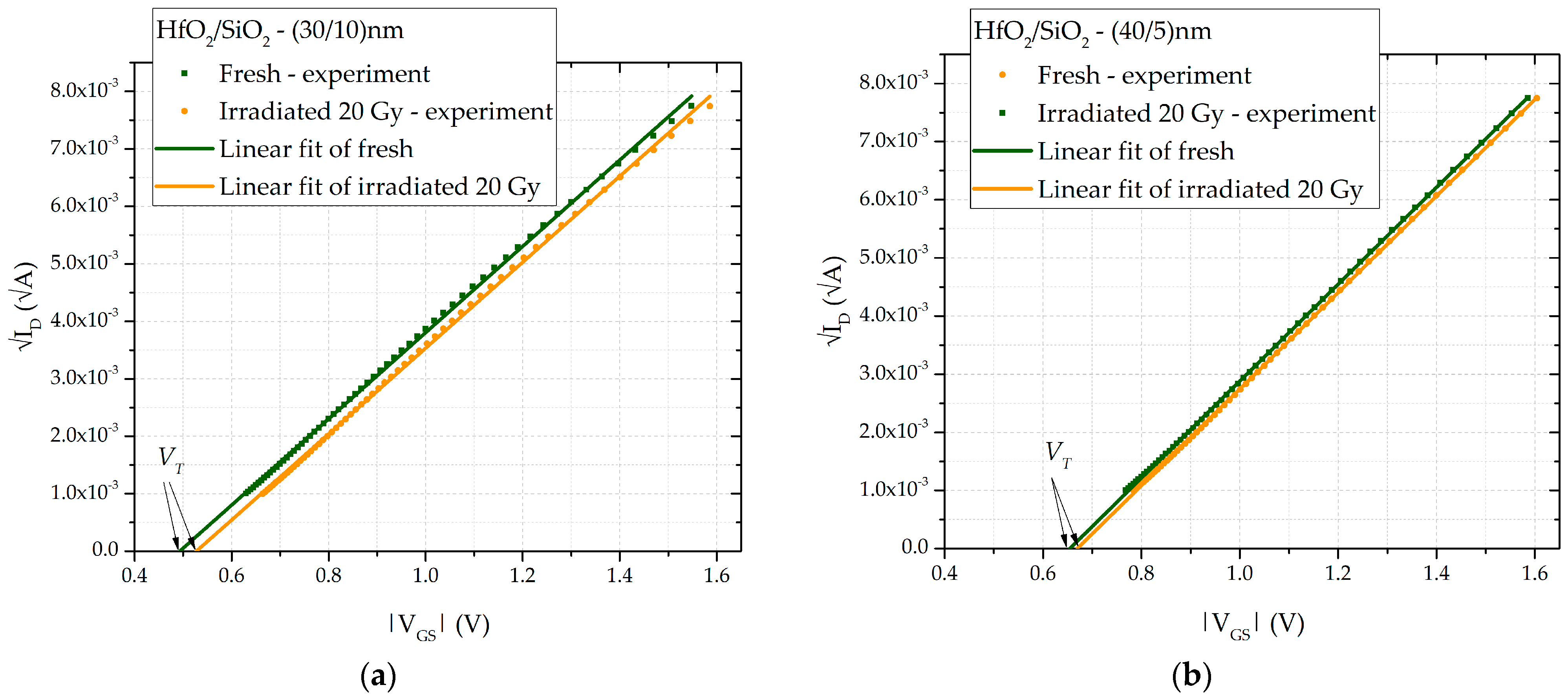
3.1. Zero-Bias Threshold Voltage
3.2. Transconductance Coefficient
3.3. Channel Length Modulation Factor
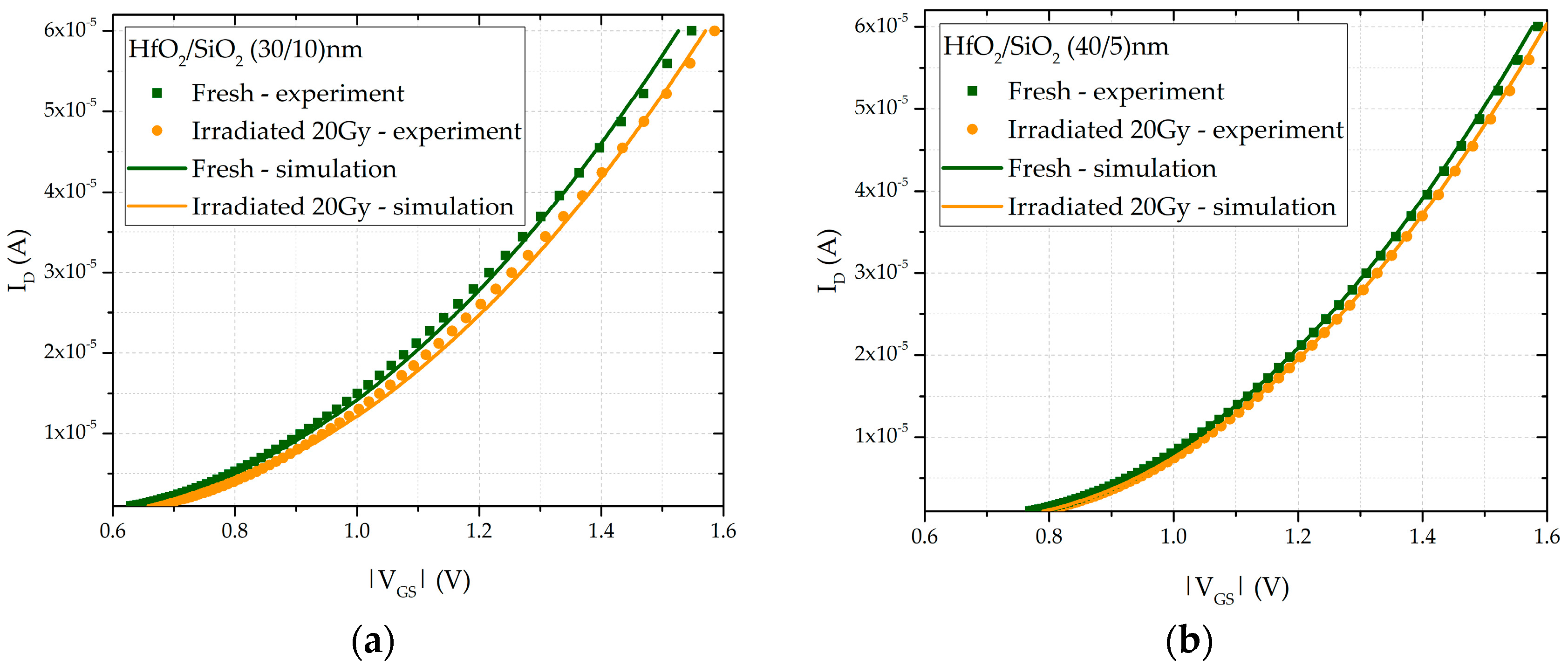
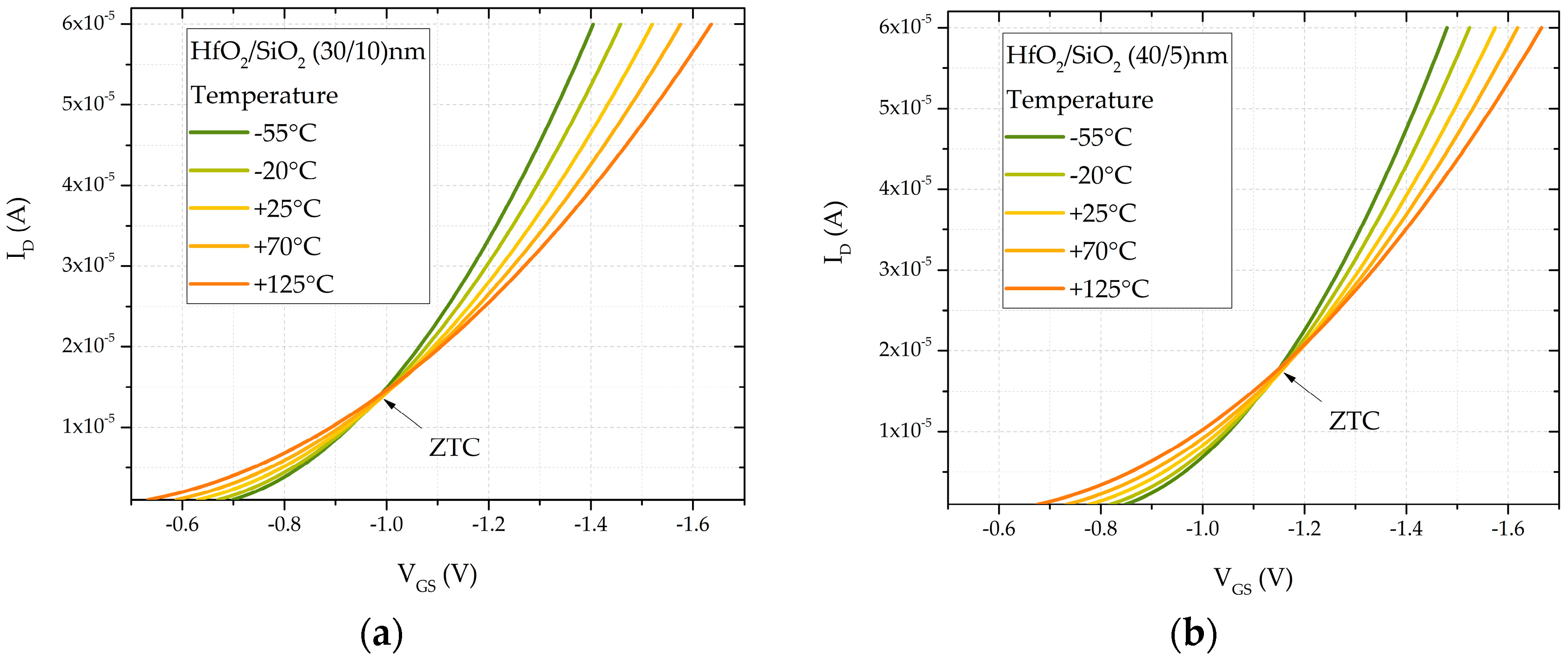
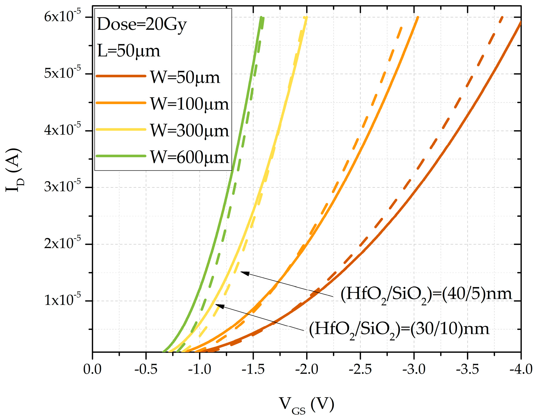
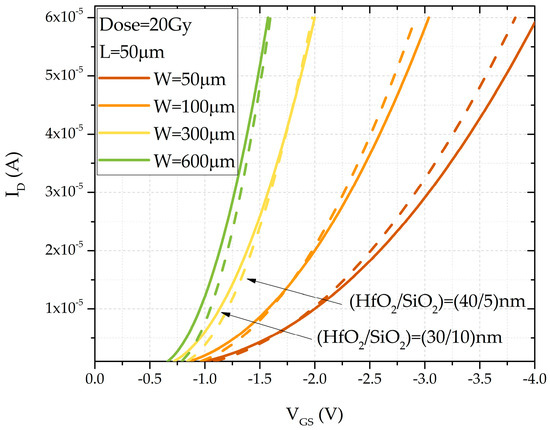
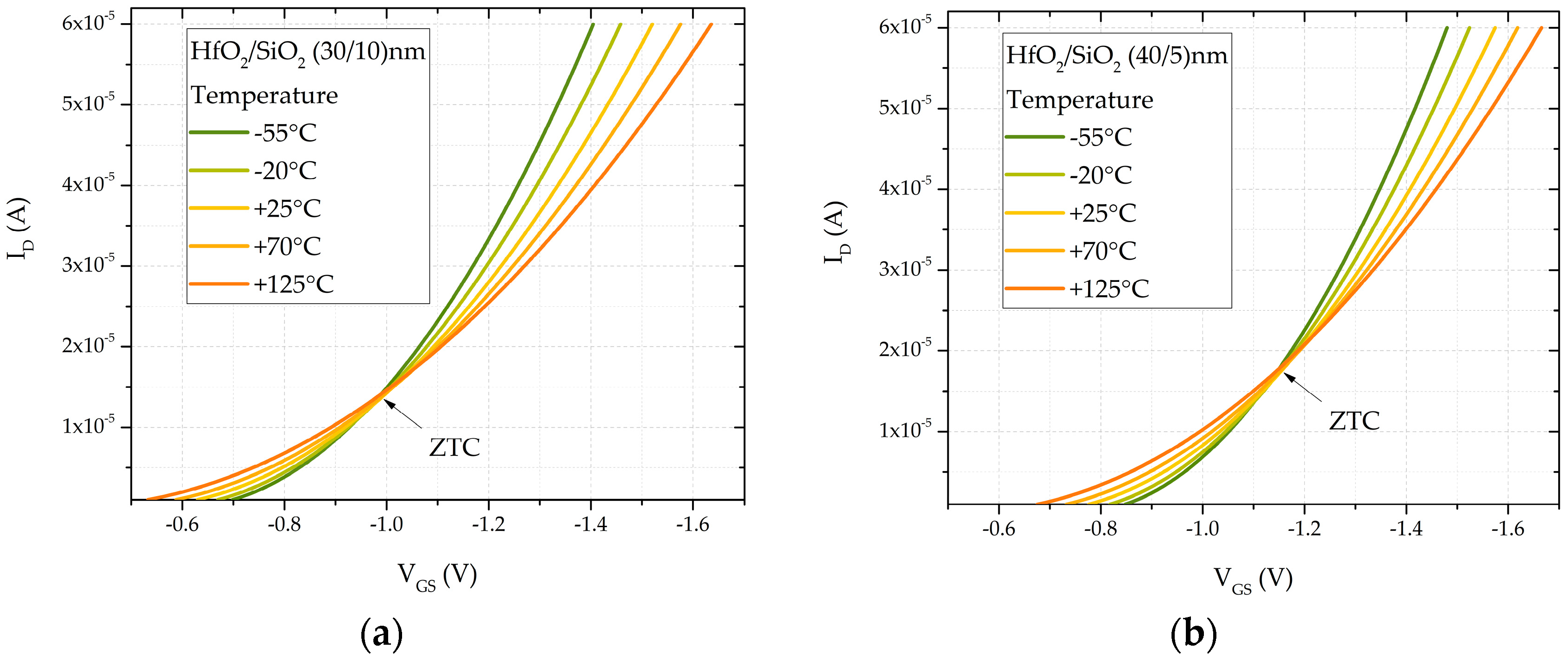
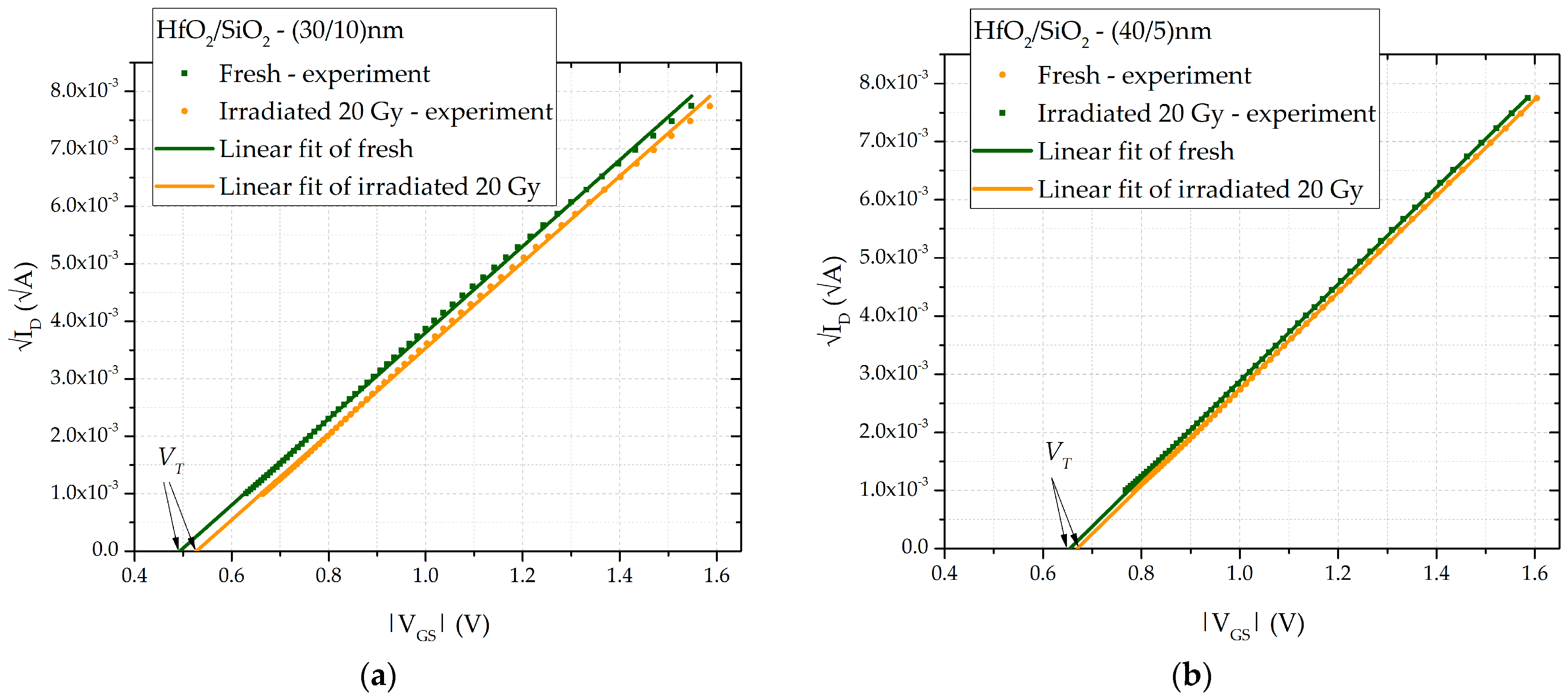
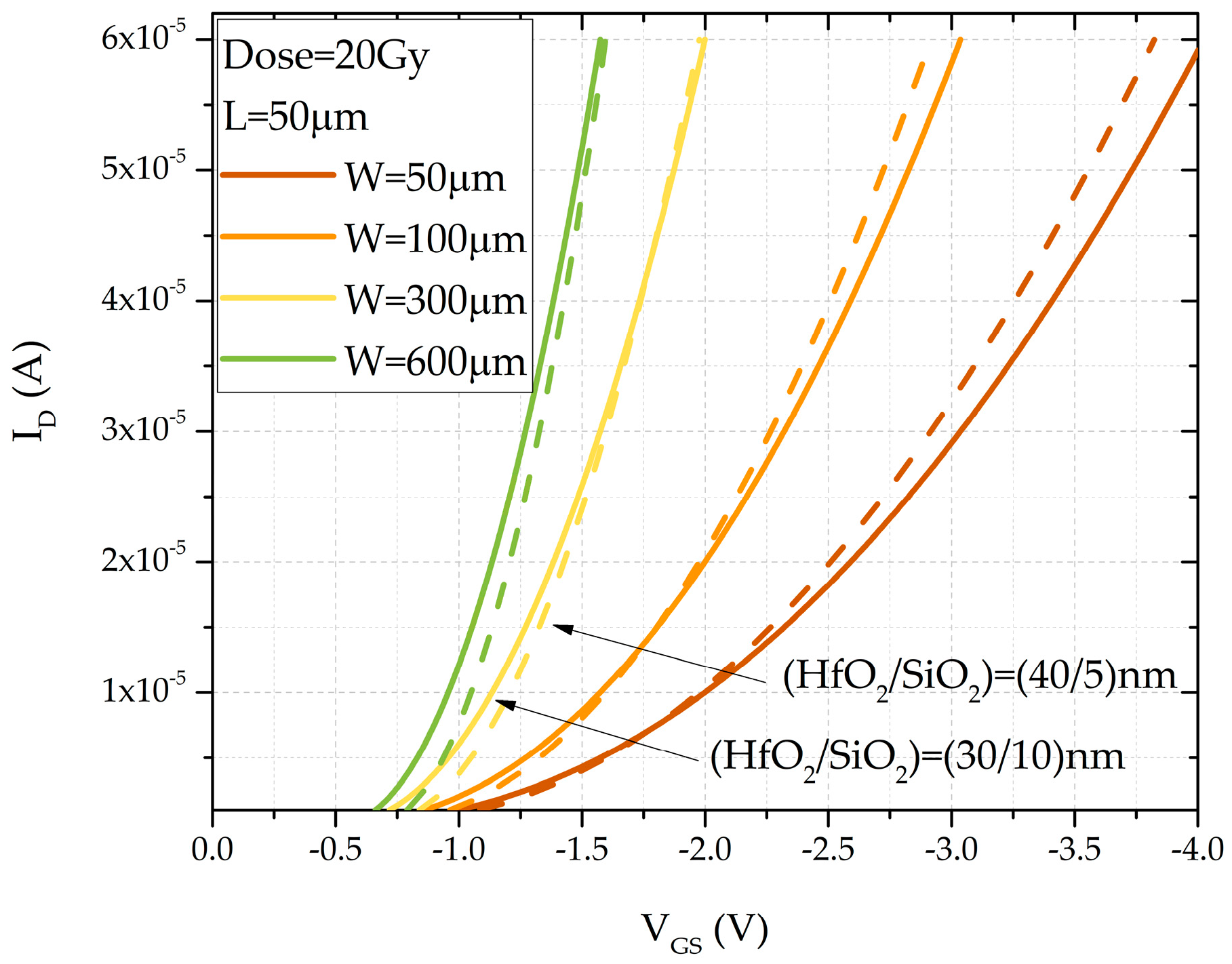
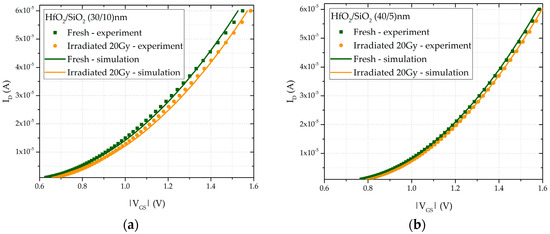
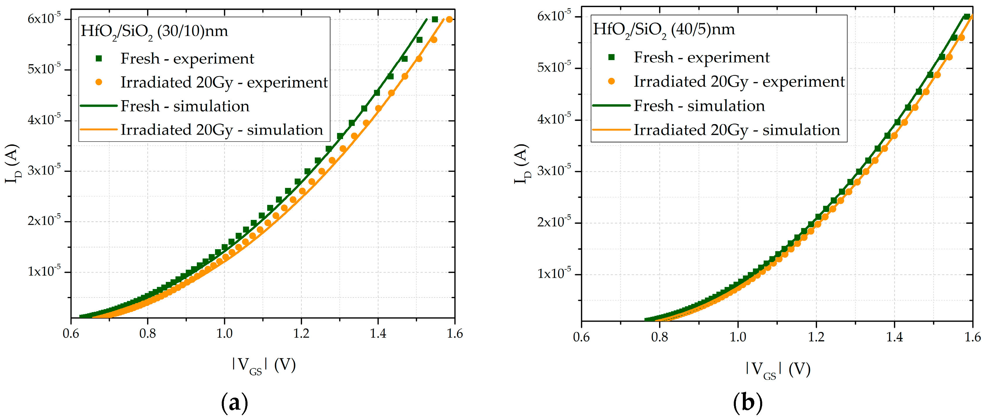
4. Results and Discussion
- .MODEL RADFET PMOS VTO={if(TYPE==1,-0.493-(1.54e-3*DOSE),-0.65433-(7.54E-4*DOSE))}
- +KP={if(TYPE==1,8.897e-6-(1.493e-8*DOSE),1.14E-5-(2.511E-9*DOSE))} L=50e-6 W=600e-6
- +TPG=0 LAMBDA={if(TYPE==1,3.901E-2-(2.165E-4*DOSE),2.0115E-2-(1.8575E-4*DOSE))}
5. Conclusions
Author Contributions
Funding
Institutional Review Board Statement
Informed Consent Statement
Data Availability Statement
Conflicts of Interest
References
- Holmes-Siedle, A.; Adams, L. RADFET: A review of the metal-oxide-silicon devices as dosimeters use of integrating. Radiat. Phys. Chem. 1986, 28, 235–244. [Google Scholar] [CrossRef]
- Kelleher, A.; O’Sullivan, M.; Ryan, J.; O’Neill, B.; Lane, W. Development of the radiation sensitivity of PMOS dosimeters. IEEE Trans. Nucl. Sci. 1992, 39, 342–346. [Google Scholar] [CrossRef]
- Schwank, J.R.; Roeske, S.B.; Beutler, D.E.; Moreno, D.J.; Shaneyfelt, M.R. A dose rate independent pMOS dosimeter for space applications. IEEE Trans. Nucl. Sci. 1996, 43, 2671–2678. [Google Scholar] [CrossRef]
- McWhorter, P.J.; Winokur, P.S. Simple technique for separating the effects of interface traps and trapped-oxide charge in metal-oxide-semiconductor transistors. Appl. Phys. Lett. 1986, 48, 133–135. [Google Scholar] [CrossRef]
- Fleetwood, D.M. Effects of hydrogen transport and reactions on microelectronics radiation response and reliability. Microelectron. Reliab. 2002, 42, 523–541. [Google Scholar] [CrossRef]
- Savic, Z.; Radjenovic, B.; Pejovic, M.; Stojadinovic, N. The contribution of border traps to the threshold voltage shift in pMOS dosimetric transistors. IEEE Trans. Nucl. Sci. 1995, 42, 1445–1454. [Google Scholar] [CrossRef]
- Ristić, G.S.; Andjelković, M.; Jakšić, A.B. The behavior of fixed and switching oxide traps of RADFETs during irradiation up to high absorbed doses. Appl. Radiat. Isot. 2015, 102, 29–34. [Google Scholar] [CrossRef]
- Stojadinovic, N.; Golubovic, S.; Davidovic, V.; Djoric-Veljkovic, S.; Dimitrijev, S. Modeling of radiation-induced mobility degradation in MOSFETs. In Proceedings of the 21st International Conference on Microelectronics, Nis, Yugoslavia, 14–17 September 1997; pp. 355–356. [Google Scholar] [CrossRef]
- Kahraman, A.; Yilmaz, E.; Aktag, A.; Kaya, S. Evaluation of Radiation Sensor Aspects of Er2O3 MOS Capacitors under Zero Gate Bias. IEEE Trans. Nucl. Sci. 2016, 63, 1284–1293. [Google Scholar] [CrossRef]
- Ristic, G.S.; Ilic, S.D.; Andjelkovic, M.S.; Duane, R.; Palma, A.J.; Lalena, A.M.; Krstic, M.D.; Jaksic, A.B. Sensitivity and fading of irradiated RADFETs with different gate voltages. Nucl. Instrum. Methods Phys. Res. Sect. A Accel. Spectrometers Detect. Assoc. Equip. 2022, 1029, 166473. [Google Scholar] [CrossRef]
- Mekki, J.; Brugger, M.; Danzeca, S.; Dusseau, L.; Røed, K.; Spiezia, G. Mixed particle field influence on RadFET responses using co-60 calibration. IEEE Trans. Nucl. Sci. 2013, 60, 2435–2443. [Google Scholar] [CrossRef]
- Gutiérrez, Ó.; Prieto, M.; Sanchez-Reyes, A.; Perales-Eceiza, Á.; Ravanbakhsh, A.; Guzmán, D.; Gomez, A.; Pennestri, G. Electronic components TID radiation qualification for space applications using LINACs. Comparative analysis with 60Co standard procedure. Adv. Space Res. 2022, 69, 4376–4390. [Google Scholar] [CrossRef]
- Veljković, S.; Mitrović, N.; Davidović, V.; Golubović, S.; Djorić-Veljković, S.; Paskaleva, A.; Spassov, D.; Stanković, S.; Andjelković, M.; Prijić, Z.; et al. Response of Commercial P-Channel Power VDMOS Transistors to Ionizing Irradiation and Bias Temperature Stress. J. Circuits Syst. Comput. 2022, 31, 2240003. [Google Scholar] [CrossRef]
- Eslami, B.; Ashrafi, S. Effect of gamma ray absorbed dose on the FET transistor parameters. Results Phys. 2016, 6, 396–400. [Google Scholar] [CrossRef][Green Version]
- Wang, S.; Liu, P.; Zhang, J. Threshold voltage adjustment of pMOS-radiation field-effect transistor with thick thermal oxide. Micro Nano Lett. 2013, 8, 10. [Google Scholar] [CrossRef]
- Chandra, M.; Panwar, A.; Tyag, B. Effect of Grain Size on the Threshold Voltage for Double-Gate Polycrystaline Silicon MOSFET. J. Nano-Electron. Phys. 2011, 3, 474–478. [Google Scholar]
- Pejovic, S.; Pejovic, M.; Stojanov, D.; Ciraj-Bjelac, O. Sensitivity and fading of pMOS dosemeters irradiated with X-ray radiation doses from 1 to 100 cGy. Radiat. Prot. Dosim. 2016, 168, 33–39. [Google Scholar] [CrossRef] [PubMed]
- Haran, A.; Jakšić, A.; Refaeli, N.; Eliyahu, A.; David, D.; Barak, J. Temperature effects and long term fading of implanted and unimplanted gate oxide RADFETs. IEEE Trans. Nucl. Sci. 2004, 51, 2917–2921. [Google Scholar] [CrossRef]
- Bhat, B.R.; Upadhyaya, N.; Kulkarni, R. Total radiation dose at geostationary orbit. IEEE Trans. Nucl. Sci. 2005, 52, 530–534. [Google Scholar] [CrossRef]
- Carbonetto, S.H.; Inza, M.A.G.; Lipovetzky, J.; Redin, E.G.; Salomone, L.S.; Faigon, A. Zero temperature coefficient bias in MOS devices. Dependence on interface traps density, application to MOS dosimetry. IEEE Trans. Nucl. Sci. 2011, 58, 3348–3353. [Google Scholar] [CrossRef]
- Carvajal, M.A.; Escobedo, P.; Jiménez-Melguizo, M.; Martínez-García, M.S.; Martínez-Martí, F.; Martínez-Olmos, A.; Palma, A.J. A compact dosimetric system for MOSFETs based on passive NFC tag and smartphone. Sens. Actuators A Phys. 2017, 267, 82–89. [Google Scholar] [CrossRef]
- Cramer, T.; Fratelli, I.; Barquinha, P.; Santa, A.; Fernandes, C.; D’annunzio, F.; Loussert, C.; Martins, R.; Fortunato, E.; Fraboni, B. Passive radiofrequency X-ray dosimeter tag based on flexible radiation-sensitive oxide field-effect transistor. Sci. Adv. 2018, 4, eaat1825. [Google Scholar] [CrossRef] [PubMed]
- Sampaio, J.M.; Goncalves, P.; Pinto, M.; Silva, J.; Negirneac, V.; Sintra, L.; Pinto, C.; Sousa, T.; Ribeiro, P.; Poivey, C. Dose Measurements and Simulations of the RADFETs Response Onboard the Alphasat CTTB Experiments. IEEE Trans. Nucl. Sci. 2020, 67, 2028–2033. [Google Scholar] [CrossRef]
- Rosenfeld, A.B.; Biasi, G.; Petasecca, M.; Lerch, M.; Villani, G.; Feygelman, V. Semiconductor dosimetry in modern external-beam radiation therapy. Phys. Med. Biol. 2020, 65, 16TR01. [Google Scholar] [CrossRef] [PubMed]
- Kulhar, M.; Dhoot, K.; Pandya, A. Gamma Dose Rate Measurement Using RadFET. IEEE Trans. Nucl. Sci. 2019, 66, 2220–2228. [Google Scholar] [CrossRef]
- Mateu, I.; Glaser, M.; Gorine, G.; Moll, M.; Pezzullo, G.; Ravotti, F. ReadMON: A Portable Readout System for the CERN PH-RADMON Sensors. IEEE Trans. Nucl. Sci. 2018, 65, 1700–1707. [Google Scholar] [CrossRef]
- Moreno-Pérez, J.A.; Ruiz-García, I.; Martín-Holgado, P.; Romero-Maestre, A.; Anguiano, M.; Vila, R.; Carvajal, M.A. General Purpose Transistor Characterized as Dosimetry Sensor of Proton Beams. Sensors 2023, 23, 3771. [Google Scholar] [CrossRef] [PubMed]
- Ilić, S.D.; Andjelković, M.S.; Duane, R.; Palma, A.J.; Sarajlić, M.; Stanković, S.; Ristić, G.S. Recharging process of commercial floating-gate MOS transistor in dosimetry application. Microelectron. Reliab. 2021, 126, 114322. [Google Scholar] [CrossRef]
- Andjelkovic, M.; Simevski, A.; Chen, J.; Schrape, O.; Stamenkovic, Z.; Krstic, M.; Ilic, S.; Spahic, L.; Kostic, L.; Ristic, G.; et al. Design of Radiation Hardened RADFET Readout System for Space Applications. In Proceedings of the 23rd Euromicro Conference on Digital System Design (DSD), Kranj, Slovenia, 26–28 August 2020; pp. 484–488. [Google Scholar] [CrossRef]
- Xuan, Y.; Mousoulis, C.; Kumar, A.; Elmiger, C.I.; Scott, S.; Valentino, D.J.; Peroulis, D. 3D MOS-capacitor-based ionizing radiation sensors. In Proceedings of the 2017 IEEE Sensors, Glasgow, UK, 29 October–1 November 2017; pp. 1–3. [Google Scholar] [CrossRef]
- Kelleher, A.; McDonnell, N.; O’Neill, B.; Lane, W.; Adams, L. Investigation into the re-use of PMOS dosimeters. IEEE Trans. Nucl. Sci. 1994, 41, 445–451. [Google Scholar] [CrossRef]
- Kelleher, A.; Lane, W.; Adams, L. A design solution to increasing the sensitivity of pMOS dosimeters: The stacked RADFET approach. IEEE Trans. Nucl. Sci. 1995, 42, 48–51. [Google Scholar] [CrossRef]
- O’Connell, B.; Kelleher, A.; Lane, W.; Adams, L. Stacked RADFETs for increased radiation sensitivity. IEEE Trans. Nucl. Sci. 1996, 43, 985–990. [Google Scholar] [CrossRef]
- Kelleher, A.; Lane, W.; Adams, L. Investigation of on-chip high temperature annealing of PMOS dosimeters. IEEE Trans. Nucl. Sci. 1996, 43, 997–1001. [Google Scholar] [CrossRef]
- Zaunert, F.; Endres, R.; Stefanov, Y.; Schwalke, U. Evaluation of MOSFETs with crystalline high-k gate-dielectrics: Device simulation and experimental data. J. Telecommun. Inf. Technol. 2007, 28, 78–85. [Google Scholar] [CrossRef]
- Kumar, J.; Birla, S.; Agarwal, G. A review on effect of various high-k dielectric materials on the performance of FinFET device. Mater. Today Proc. 2023, 79, 297–302. [Google Scholar] [CrossRef]
- Das, S.; Chettri, B.; Karki, P.; Kunwar, B.; Chettri, P.; Sharma, B. Impact of High-K Metal Oxide as Gate Dielectric on the Certain Electrical Properties of Silicon Nanowire Field-Effect Transistors: A Simulation Study. Facta Univ. Ser. Electron. Energetics 2023, 36, 553–565. [Google Scholar] [CrossRef]
- Kahraman, A.; Deevi, S.C.; Yilmaz, E. Influence of frequency and gamma irradiation on the electrical characteristics of Er2O3, Gd2O3, Yb2O3, and HfO2 MOS-based devices. J. Mater. Sci. 2020, 55, 7999–8040. [Google Scholar] [CrossRef]
- Kahraman, A.; Yilmaz, E. Proposal of alternative sensitive region for MOS based radiation sensors: Yb2O3. J. Vac. Sci. Technol. 2017, 35, 061511. [Google Scholar] [CrossRef]
- Srinivasan, V.S.; Pandya, A. Dosimetry aspects of hafnium oxide metal-oxide-semiconductor (MOS) capacitor. Thin Solid Film. 2011, 520, 574–577. [Google Scholar] [CrossRef]
- Kaya, Ş. Fabrication and Characterization of Nuclear Radiation Sensing Field Effect Transistors (NurFETs) with High-K Dielectrics. Ph.D. Thesis, Bolu Abant Izzet Baysal University, Bolu, Turkey, 2018. [Google Scholar]
- Andreev, D.V.; Bondarenko, G.G.; Andreev, V.V.; Stolyarov, A.A. Use of High-Field Electron Injection into Dielectrics to Enhance Functional Capabilities of Radiation MOS Sensors. Sensors 2020, 20, 2382. [Google Scholar] [CrossRef]
- Kahraman, A.; Yılmaz, E. Evaluation of the Pre-Irradiation Electrical Characteristics of the RadFET Dosimeters With Diverse Gate Oxides by TCAD Simulation Program. Sak. Univ. J. Sci. 2017, 21, 1258–1265. [Google Scholar] [CrossRef]
- Anjankar, S.; Rotake, D. Conventional CMOS technology based RadFET dosimeter for Ionizing Radiation Detection for High Energy Applications. In Proceedings of the IEEE 9th International Conference for Convergence in Technology (I2CT), Pune, India, 5–7 April 2024; pp. 1–6. [Google Scholar] [CrossRef]
- Pešić-Brđanin, T. SPICE modeling of ionizing radiation effects in CMOS devices. Facta Univ. Ser. Electron. Energetics 2017, 30, 161–178. [Google Scholar] [CrossRef]
- Mebrahtu, H.T.; Gao, W.; Kieser, W.E.; Zhao, X.L.; Thomas, P.J.; Hornsey, R.I. SPICE Models of Fluorine-Ion-Irradiated CMOS Devices. IEEE Trans. Electron. Devices 2007, 54, 1963–1971. [Google Scholar] [CrossRef]
- Kerdpradist, A.; Ruangphanit, A.; Titiroongruang, W.; Muanghlua, R. SPICE Model Extraction Parameters of Gamma Irradiation on Drain Current and Threshold Voltage of N-Channel MOSFETs. Int. J. Simul. Syst. Sci. Technol. 2019, 20, 11.1–11.6. [Google Scholar] [CrossRef]
- Zebrev, G.I.; Gorbunov, M.S. Modeling of Radiation-Induced Leakage and Low Dose-Rate Effects in Thick Edge Isolation of Modern MOSFETs. IEEE Trans. Nucl. Sci. 2009, 56, 2230–2236. [Google Scholar] [CrossRef]
- Marjanović, M.; Gürer, U.; Mitrović, N.; Yilmaz, O.; Danković, D.; Budak, E.; Ristić, G.; Yilmaz, E. SPICE Modeling of RADFETs with Different Gate Oxide Thicknesses. In Proceedings of the IEEE 33rd International Conference on Microelectronics (MIEL), Nis, Serbia, 16–18 October 2023; pp. 1–4. [Google Scholar] [CrossRef]
- Turkish Energy, Nuclear, and Mineral Research Agency. Available online: https://www.tenmak.gov.tr/ (accessed on 14 December 2024).
- Ortiz-Conde, A.; Sánchez, F.G.; Liou, J.J. An Overview on Parameter Extraction in Field Effect Transistors. Acta Científica Venez. 2000, 51, 176–187. [Google Scholar]
- Kong, F.; Yeow, Y.; Yao, Z. Extraction of MOSFET Threshold Voltage, Series Resistance, Effective Channel Length, and Inversion Layer Mobility from Small-Signal Channel Conductance Measurement. IEEE Trans. Electron. Devices 2001, 48, 2870–2874. [Google Scholar] [CrossRef]
- Faria, L.A.; D’Amore, R. A Physics-Oriented Parameter Extraction Method for MOSFET Libraries Generation. J. Integr. Circuits Syst. 2016, 11, 121–131. [Google Scholar] [CrossRef]
- Sevcenco, A.; Boianceanu, C. Parameter Extraction for a New Analytical Model of the Short-Channel MOS Transistor. UPB Sci. Bull. 2014, 76, 131–144. [Google Scholar]
- PSpice Reference Guide. Available online: https://www.seas.upenn.edu/~jan/spice/PSpice_ReferenceguideOrCAD.pdf (accessed on 8 January 2025).
- MOSFET in LTspice. Available online: https://ltwiki.org/LTspiceHelp/LTspiceHelp/M_MOSFET.htm (accessed on 14 December 2024).
- Sripada, S. MOSFET Parameter Extraction and Spice Modeling. Master’s Thesis, Northern Illinois University, DeKalb, IL, USA, 2015; p. 4044. [Google Scholar]
- LTspice. Available online: https://www.analog.com/en/resources/design-tools-and-calculators/ltspice-simulator.html (accessed on 14 December 2024).
- Varadis. Available online: https://www.varadis.com/products/#VT01 (accessed on 10 January 2025).
- Suria, A.J.; Chiamori, H.C.; Shankar, A.; Senesky, D.G. Capacitance-voltage characteristics of gamma irradiated Al2O3, HfO2, and SiO2 thin films grown by plasma-enhanced atomic layer deposition. In Proceedings of the Proceedings Volume 9491, Sensors for Extreme Harsh Environments II, Baltimore, MD, USA, 13 May 2015; p. 949105. [Google Scholar] [CrossRef]












| Parameter | HfO2/SiO2 (30/10) nm | HfO2/SiO2 (40/5) nm | |
|---|---|---|---|
| VTO | a1 | 0.493 | 0.6543 |
| b1 | 1.54 × 10−3 | 7.54 × 10−4 | |
| KP | a2 | 8.897 × 10−6 | 1.14 × 10−5 |
| b2 | 1.493 × 10−8 | 2.511 × 10−9 | |
| LAMBDA | a3 | 3.901 × 10−2 | 2.0115 × 10−2 |
| b3 | 2.165 × 10−4 | 1.8575 × 10−4 | |
Disclaimer/Publisher’s Note: The statements, opinions and data contained in all publications are solely those of the individual author(s) and contributor(s) and not of MDPI and/or the editor(s). MDPI and/or the editor(s) disclaim responsibility for any injury to people or property resulting from any ideas, methods, instructions or products referred to in the content. |
© 2025 by the authors. Licensee MDPI, Basel, Switzerland. This article is an open access article distributed under the terms and conditions of the Creative Commons Attribution (CC BY) license (https://creativecommons.org/licenses/by/4.0/).
Share and Cite
Marjanović, M.; Ilić, S.D.; Veljković, S.; Mitrović, N.; Gurer, U.; Yilmaz, O.; Kahraman, A.; Aktag, A.; Karacali, H.; Budak, E.; et al. The SPICE Modeling of a Radiation Sensor Based on a MOSFET with a Dielectric HfO2/SiO2 Double-Layer. Sensors 2025, 25, 546. https://doi.org/10.3390/s25020546
Marjanović M, Ilić SD, Veljković S, Mitrović N, Gurer U, Yilmaz O, Kahraman A, Aktag A, Karacali H, Budak E, et al. The SPICE Modeling of a Radiation Sensor Based on a MOSFET with a Dielectric HfO2/SiO2 Double-Layer. Sensors. 2025; 25(2):546. https://doi.org/10.3390/s25020546
Chicago/Turabian StyleMarjanović, Miloš, Stefan D. Ilić, Sandra Veljković, Nikola Mitrović, Umutcan Gurer, Ozan Yilmaz, Aysegul Kahraman, Aliekber Aktag, Huseyin Karacali, Erhan Budak, and et al. 2025. "The SPICE Modeling of a Radiation Sensor Based on a MOSFET with a Dielectric HfO2/SiO2 Double-Layer" Sensors 25, no. 2: 546. https://doi.org/10.3390/s25020546
APA StyleMarjanović, M., Ilić, S. D., Veljković, S., Mitrović, N., Gurer, U., Yilmaz, O., Kahraman, A., Aktag, A., Karacali, H., Budak, E., Danković, D., Ristić, G., & Yilmaz, E. (2025). The SPICE Modeling of a Radiation Sensor Based on a MOSFET with a Dielectric HfO2/SiO2 Double-Layer. Sensors, 25(2), 546. https://doi.org/10.3390/s25020546

