A Large-Scale Agricultural Land Classification Method Based on Synergistic Integration of Time Series Red-Edge Vegetation Index and Phenological Features
Abstract
1. Introduction
2. Data and Methods
2.1. Overview of the Study Area
2.2. Data Sources
2.2.1. Sentinel-2 Data
2.2.2. NDRE705 and PSRI Time Series
2.2.3. Classification Sample Data
2.3. Technical Route of the Research
2.4. Classification of Agricultural Land Types and Crop Phenological Information
2.5. Classification Samples Acquisition Methods
2.5.1. Initial Sampling Point Acquisition
2.5.2. Determination of Classification Samples
2.6. Feature Parameters Construction and Optimization
2.6.1. Spatial Feature Parameters of the NDRE705-PSRI Combination (SFPs)
2.6.2. Phenological Feature Parameters (PFPs)
2.6.3. Evaluation and Optimization of Characteristic Parameters
2.7. Classification Feature Set Construction
2.8. Classification and Validation
2.9. Uncertainty Assessment
3. Results
3.1. NDRE705 and PSRI Original Time Series Curves for Different Agricultural Land Types
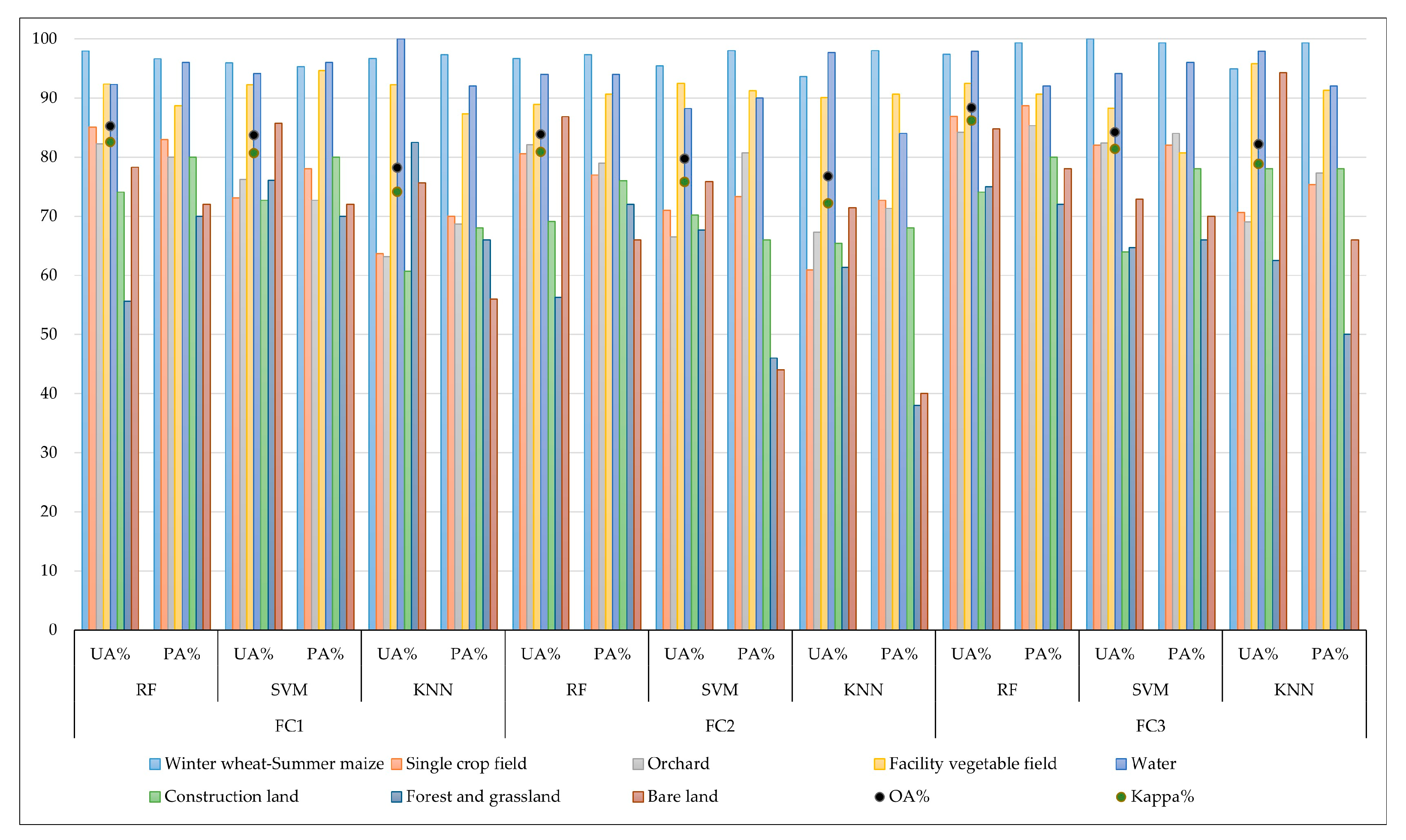
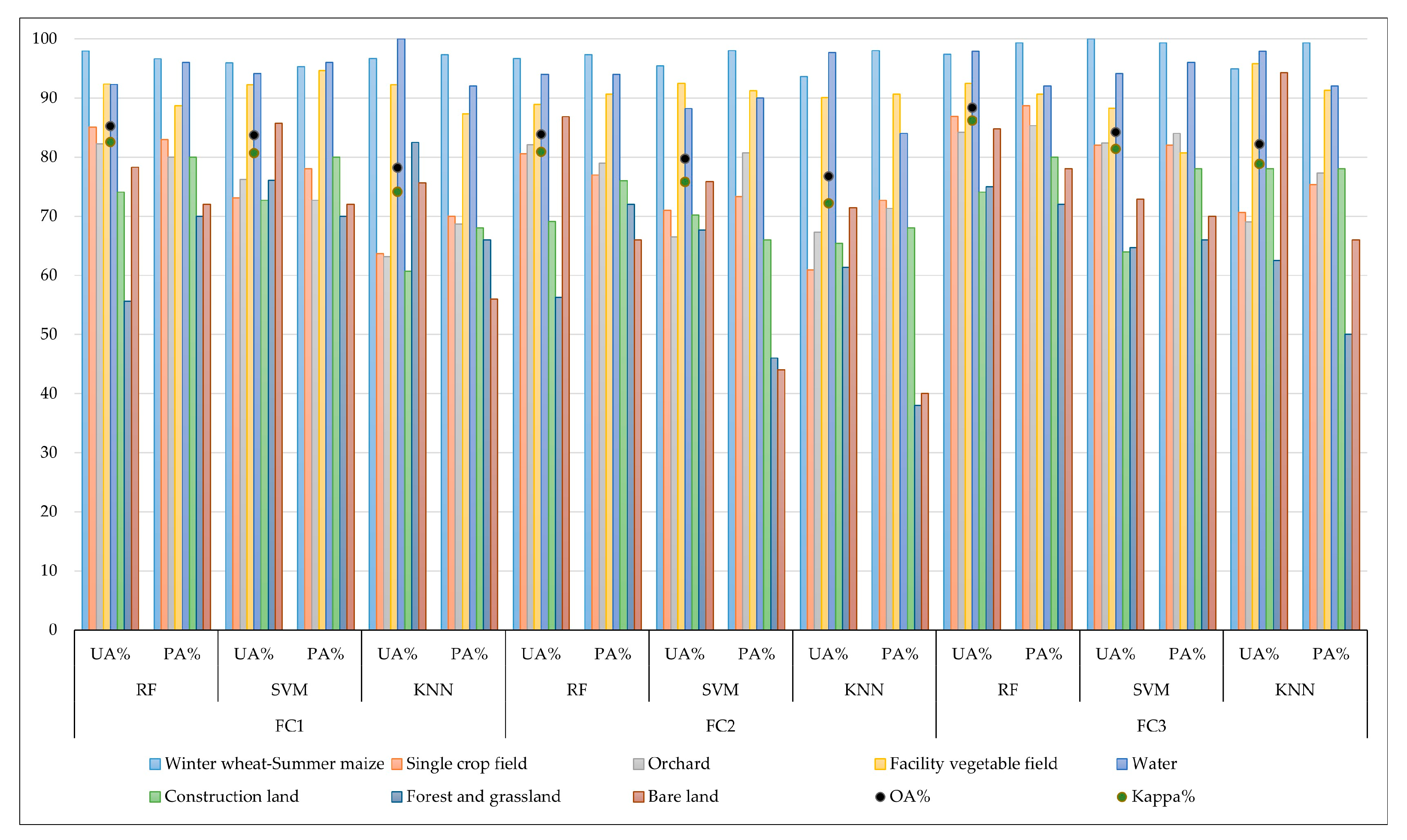
3.2. Selection of Classification Methods and Original Time Series Classification Scheme
3.3. Characterization Parameters Optimization
3.3.1. Optimization for Spatial Feature Parameters of NDRE705-PSRI Combination (SFPs)
3.3.2. Optimization of Phenological Feature Parameters (PFPs)
3.4. Time Series Classification Scheme Assisted by Preferred Features
3.5. Area and Distribution of Agricultural Land Types in the Study Area
4. Discussion
5. Conclusions
Author Contributions
Funding
Institutional Review Board Statement
Informed Consent Statement
Data Availability Statement
Acknowledgments
Conflicts of Interest
References
- Guo, Z.L.; Zhao, X. Evolution and structure optimization of grain and cash crops in Shandong Province—Based on 1986~2015 statistics data. Chin. J. Agric. Resour. Reg. Plan. 2017, 38, 164–171. [Google Scholar]
- Farmery, A.K.; Allison, E.H.; Andrew, N.L.; Troell, M.; Voyer, M.; Campbell, B.; Eriksson, H.; Fabinyi, M.; Song, A.M.; Steenbergen, D. Blind Spots in Visions of a “Blue Economy” Could Undermine the Ocean’s Contribution to Eliminating Hunger and Malnutrition. One Earth 2021, 4, 28–38. [Google Scholar] [CrossRef]
- FAO. The Future of Food and Agriculture: Trends and Challenges; FAO: Rome, Italy, 2017. [Google Scholar]
- Wang, X. Managing Land Carrying Capacity: Key to Achieving Sustainable Production Systems for Food Security. Land 2022, 11, 484. [Google Scholar] [CrossRef]
- Peixoto, R.S.; Voolstra, C.R.; Sweet, M.; Duarte, C.M.; Carvalho, S.; Villela, H.; Lunshof, J.E.; Gram, L.; Woodhams, D.C.; Walter, J. Harnessing the microbiome to prevent global biodiversity loss. Nat. Microbiol. 2022, 7, 1726–1735. [Google Scholar] [CrossRef] [PubMed]
- Çakmakçı, S.; Polatoğlu, B.; Çakmakçı, R. Foods of the Future: Challenges, Opportunities, Trends, and Expectations. Foods 2024, 13, 2663. [Google Scholar] [CrossRef]
- Vicente-Serrano, S.M.; Domínguez-Castro, F.; Murphy, C.; Hannaford, J.; Reig, F.; Pe-ña-Angulo, D.; Tramblay, Y.; Trigo, R.M.; Mac Donald, N.; Luna, Y. Long-Term Variability and Trends in Meteorological Droughts in Western Europe (1851–2018). Int. J. Climatol. 2021, 41, E690–E717. [Google Scholar] [CrossRef]
- Hao, P.Y.; Tang, H.J.; Chen, Z.X.; Niu, Z. Early season crop type recognition based on historical EVI time series. Trans. Chin. Soc. Agric. Eng. 2018, 034, 179–186. [Google Scholar]
- Zhang, F.; Wu, B.F.; Liu, C.L.; Luo, Z.M. Methods of monitoring crop phonological stages using time series of vegetation indicator. Trans. Chin. Soc. Agric. Eng. 2004, 20, 155–159. [Google Scholar]
- Kussul, N.; Lavreniuk, M.; Skakun, S.; Shelestov, A. Deep learning classification of land cover and crop types using remote sensing data. IEEE Geosci. Remote Sens. Lett. 2017, 14, 778–782. [Google Scholar] [CrossRef]
- Petitjean, F.; Inglada, J.; Gancarski, P. Satellite image time series analysis under time warping. IEEE Trans. Geosci. Remote Sens. 2012, 50, 3081–3095. [Google Scholar] [CrossRef]
- Lavreniuk, M.S.; Skakun, S.V.; Shelestov, A.J.; Yalimov, B.Y.; Yanchevskii, S.L.; Yaschuk, D.J.; Kosteckiy, A.Ì. Large-scale classification of land cover using retrospective satellite data. Cybern. Syst. Anal. 2016, 52, 127–138. [Google Scholar] [CrossRef]
- Kobayashi, N.; Tani, H.; Wang, X.; Sonobe, R. Crop classification using spectral indices derived from Sentinel-2A imagery. J. Inform. Telecom. 2019, 4, 67–90. [Google Scholar] [CrossRef]
- Dai, Y.H.; Feng, L.; Hou, X.J.; Tang, J. An automatic classification algorithm for submerged aquatic vegetation in shallow lakes using Landsat imagery. Remote Sens. Environ. 2021, 260, 112459. [Google Scholar] [CrossRef]
- Defourny, P.; Bontemps, S.; Bellemans, N.; Cara, C.; Koetz, B. Near real-time agriculture monitoring at national scale at parcel resolution: Performance assessment of the Sen2-Agri automated system in various cropping systems around the world. Remote Sens. Environ. 2018, 221, 551–568. [Google Scholar] [CrossRef]
- Ortiz, M.J.; Formaggio, A.R. Classification of croplands through integration of remote sensing, GIS, and historical database. Int. J. Remote Sens. 1997, 18, 95–105. [Google Scholar] [CrossRef]
- Wang, P.X.; Xun, L.; Li, L.; Wang, L.; Kong, Q.L. Extraction of planting areas of main crops based on sparse representation of time series leaf area index. Natl. Remote Sens. Bull. 2019, 23, 959–970. [Google Scholar] [CrossRef]
- Luo, K.; Lu, L.L.; Xie, Y.H.; Chen, F.; Yin, F.; Li, Q.T. Crop type mapping in the central part of the North China Plain using Sentinel-2 time series and machine learning. Comput. Electron. Agric. 2023, 205, 11. [Google Scholar] [CrossRef]
- Gallo, I.; Ranghetti, L.; Landro, N.; La Grassa, R.; Boschetti, M. In-season and dynamic crop mapping using 3D convolution neural networks and sentinel-2 time series. ISPRS-J. Photogramm. Remote Sens. 2023, 195, 335–352. [Google Scholar] [CrossRef]
- Marino, S. Understanding the spatio-temporal behavior of crop yield, yield components and weed pressure using time series Sentinel-2-data in an organic farming system. Eur. J. Agron. 2023, 145, 10. [Google Scholar] [CrossRef]
- Blickensdörfer, L.; Schwieder, M.; Pflugmacher, D.; Nendel, C.; Erasmi, S.; Hostert, P. Mapping of crop types and crop sequences with combined time series of Sentinel-1, Sentinel-2 and Landsat 8 data for Germany. Remote Sens. Environ. 2022, 269, 19. [Google Scholar] [CrossRef]
- Hao, P.Y. Early Season Crop Type Mapping Using Multi-Temporal Remote Sensing Data; Chinese Academy of Agricultural Sciences: Beijing, China, 2019. [Google Scholar]
- Gates, D.M.; Keegan, H.J.; Schleter, J.C.; Weidner, V.R. Spectral properties of plants. Appl. Opt. 1965, 4, 11. [Google Scholar] [CrossRef]
- Horler, D.N.H.; Dockray, M.; Barber, J. The red edge of plant leaf reflectance. Int. J. Remote Sens. 1983, 4, 273–288. [Google Scholar] [CrossRef]
- Kang, Y.P.; Meng, Q.Y.; Liu, M.; Zou, Y.F.; Wang, X.M. Crop classification based on red edge features analysis of GF-6 WFV data. Sensors 2021, 21, 4328. [Google Scholar] [CrossRef] [PubMed]
- Sitokonstantinou, V.; Papoutsis, I.; Kontoes, C.; Lafarga Arnal, A.; Armesto Andres, A.P.; Garraza Zurbano, J.A. Scalable parcel-based crop identification scheme using Sentinel-2 data time series for the monitoring of the common agricultural policy. Remote Sens. 2018, 10, 911. [Google Scholar] [CrossRef]
- Wu, J.; Lu, Y.N.; Li, C.B.; Li, Q.H. Fine Classification of county crops based on multi-temporal images of Sentinel-2A. Trans. Chin. Soc. Agric. Mach. 2019, 50, 194–200. [Google Scholar]
- Li, X.C.; Xu, X.G.; Wang, J.H.; Hong, W.F.; Jin, X.L.; Li, C.J.; Bao, Y.S. Crop classification recognition based on time-series images from HJ satellite. Trans. Chin. Soc. Agric. Eng. 2013, 29, 169–176. [Google Scholar]
- Agarwal, S.; Joshi, P.K.; Shukla, Y.; Roy, P.S. SPOT VEGETATION multi temporal data for classifying vegetation in south central Asia. Curr. Sci. 2003, 84, 1440–1448. [Google Scholar]
- Kang, J.; Hou, X.H.; NIU, Z.; Gao, S.; Jia, K. Decision tree classification based on fitted phenology parameters from remotely sensed vegetation data. Trans. Chin. Soc. Agric. Eng. 2014, 30, 148–156. [Google Scholar]
- Xiao, C.W.; Li, P.; Feng, Z.M.; Liu, Y.Y.; Zhang, X.Z. Sentinel-2 red-edge spectral indices (RESI) suitability for mapping rubber boom in Luang Namtha Province, northern Lao PDR. Int. J. Appl. Earth Obs. Geoinf. 2020, 93, 11. [Google Scholar] [CrossRef]
- Lin, S.R.; Li, J.; Liu, Q.H.; Li, L.H.; Zhao, J.; Yu, W.T. Evaluating the effectiveness of using vegetation indices based on red-edge reflectance from Sentinel-2 to estimate gross primary productivity. Remote Sen. 2019, 11, 1303. [Google Scholar] [CrossRef]
- Yu, W.W.; Zhao, P.; Xu, K.J.; Zhao, Y.J.; Shen, P.J.; Ma, J.J. Evaluation of red-edge features for identifying subtropical tree species based on Sentinel-2 and Gaofen-6 time series. Int. J. Remote Sens. 2022, 43, 3003–3027. [Google Scholar] [CrossRef]
- Jiang, X.Q.; Fang, S.H.; Huang, X.; Liu, Y.H.; Guo, L.L. Rice mapping and growth monitoring based on time series GF-6 images and red-edge bands. Remote Sen. 2021, 13, 579. [Google Scholar] [CrossRef]
- Das, P.K.; Seshasai, M.V.R. Multispectral sensor spectral resolution simulations for generation of hyperspectral vegetation indices from Hyperion data. Geocarto Int. 2015, 30, 686–700. [Google Scholar] [CrossRef]
- Li, R.L.; Yan, C.H.; Zhao, Y.X.; Wang, P.; Qiu, G.Y. Discriminating growth stages of an endangered Mediterranean relict plant (Ammopiptanthus mongolicus) in the arid Northwest China using hyperspectral measurements. Sci. Total Environ. 2019, 657, 270–278. [Google Scholar] [CrossRef] [PubMed]
- Shi, F.; Gao, X.; Li, R.; Zhang, H. Ensemble Learning for the Land Cover Classification of Loess Hills in the Eastern Qinghai–Tibet Plateau Using GF-7 Multitemporal Imagery. Remote Sens. 2024, 16, 2556. [Google Scholar] [CrossRef]
- Lam, C.-N.; Niculescu, S.; Bengoufa, S. Monitoring and Mapping Floods and Floodable Areas in the Mekong Delta (Vietnam) Using Time-Series Sentinel-1 Images, Convolutional Neural Network, Multi-Layer Perceptron, and Random Forest. Remote Sens. 2023, 15, 2001. [Google Scholar] [CrossRef]
- Cui, K.; Li, R.; Polk, S.L.; Lin, Y.; Zhang, H.; Murphy, J.M.; Plemmons, R.J.; Chan, R.H. Superpixel-based and Spatially-regularized Diffusion Learning for Unsupervised Hyperspectral Image Clustering. IEEE Trans. Geosci. Remote Sens. 2024, 5, 4. [Google Scholar] [CrossRef]
- Maung, W.S.; Tsuyuki, S.; Guo, Z. Improving Land Use and Land Cover Information of Wunbaik Mangrove Area in Myanmar Using U-Net Model with Multisource Remote Sensing Datasets. Remote Sens. 2024, 16, 76. [Google Scholar] [CrossRef]
- Orynbaikyzy, A.; Gessner, U.; Mack, B.; Conrad, C. Crop Type Classification Using Fusion of Sentinel-1 and Sentinel-2 Data: Assessing the Impact of Feature Selection, Optical Data Availability, and Parcel Sizes on the Accuracies. Remote Sens. 2020, 12, 2779. [Google Scholar] [CrossRef]
- Asam, S.; Gessner, U.; Almengor González, R.; Wenzl, M.; Kriese, J.; Kuenzer, C. Mapping Crop Types of Germany by Combining Temporal Statistical Metrics of Sentinel-1 and Sentinel-2 Time Series with LPIS Data. Remote Sens. 2022, 14, 2981. [Google Scholar] [CrossRef]
- Ma, X.; Huang, Z.; Zhu, S.; Fang, W.; Wu, Y. Rice planting area identification based on multi-temporal Sentinel-1 SAR images and an attention U-Net model. Remote Sens. 2022, 14, 4573. [Google Scholar] [CrossRef]
- Panchal, J.; Shukla, S.H.; Kalubarme, M. Analysis of Optimum Growth Stages for Winter Crop Separability using Multi-Temporal NDVI Profiles in Vijapur Taluka, Gujarat State. Int. J. Environ. Geoin. 2021, 8, 135–143. [Google Scholar] [CrossRef]
- Wittstruck, L.; Jarmer, T.; Waske, B. Multi-Stage Feature Fusion of Multispectral and SAR Satellite Images for Seasonal Crop-Type Mapping at Regional Scale Using an Adapted 3D U-Net Model. Remote Sens. 2024, 16, 3115. [Google Scholar] [CrossRef]
- Zhong, L.H.; Gong, P.; Biging, G.S. Efficient corn and soybean mapping with temporal extendability: A multi-year experiment using Landsat imagery. Remote Sens. Environ. 2014, 140, 1–13. [Google Scholar] [CrossRef]
- Cheng, K.; Scott, G.J. Deep Seasonal Network for Remote Sensing Imagery Classification of Multi-Temporal Sentinel-2 Data. Remote Sens. 2023, 15, 4705. [Google Scholar] [CrossRef]
- Joshi, N.; Baumann, M.; Ehammer, A.; Fensholt, R.; Grogan, K.; Hostert, P.; Jepsen, M.; Kuemmerle, T.; Meyfroidt, P.; Mitchard, E.; et al. A Review of the Application of Optical and Radar Remote Sensing Data Fusion to Land Use Mapping and Monitoring. Remote Sens. 2016, 8, 70. [Google Scholar] [CrossRef]
- Shandong Provincial Bureau of Statistics; The National Bureau of Statistics of Shandong. Shandong Province Statistical Yearbook; China Statistics Press: Beijing, China, 2019. [Google Scholar]
- Sims, D.A.; Gamon, J.A. Relationships between leaf pigment content and spectral reflectance across a wide range of species, leaf structures and developmental stages. Remote Sen. Environ. 2002, 81, 337–354. [Google Scholar] [CrossRef]
- Jiang, F.G.; Sun, H.; Li, C.J.; Ma, K.S.; Chen, S.; Long, J.P.; Ren, L.X. Retrieving the forest aboveground biomass by combining the red edge bands of Sentinel-2 and GF-6. Acta Ecol. Sin. 2021, 41, 8222–8236. [Google Scholar]
- Langley, B.P. Selection of relevant features and examples in machine learning. Artif. Intell. 1997, 97, 245–271. [Google Scholar] [CrossRef]
- Dong, C.; Zhao, G.X. Influence of Time Series Data Quality on Land Cover Classification Accuracy. Remote Sens. Tech. Appl. 2020, 35, 558–566. [Google Scholar]
- Foody, G.M.; Arora, M.K. An evaluation of some factors affecting the accuracy of classification by an artificial neural network. Int. J. Remote Sens. 1997, 18, 799–810. [Google Scholar] [CrossRef]
- Xuan, F.; Dong, Y.; Li, J.Y.; Li, X.C.; Su, W.; Huang, X.D.; Huang, J.X.; Xie, Z.X.; Li, Z.Q.; Liu, H.; et al. Mapping crop type in Northeast China during 2013-2021 using automatic sampling and tile-based image classification. Int. J. Appl. Earth Obs. Geoinf. 2023, 117, 15. [Google Scholar] [CrossRef]
- Lu, D.S.; Weng, Q.H. A survey of image classification methods and techniques for improving classification performance. Int. J. Remote Sens. 2007, 28, 823–870. [Google Scholar] [CrossRef]
- Wang, D.; Lin, H.; Chen, J.; Zhang, Y.Z.; Zeng, Q.W. Application of multi-temporal ENVISAT ASAR data to agricultural area mapping in the Pearl River Delta. Int. J. Remote Sens. 2010, 31, 1555–1572. [Google Scholar] [CrossRef]
- Xiu, Y.C.; Liu, W.B.; Yang, W.J. An improved rotation forest for multi-feature remote-sensing imagery classification. Remote Sens. 2017, 9, 1205. [Google Scholar] [CrossRef]
- Yan, C.; Fan, X.S.; Fan, J.L.; Wang, N.Y. Improved U-Net remote sensing classification algorithm based on multi-feature fusion perception. Remote Sen. 2022, 14, 1118. [Google Scholar] [CrossRef]
- Rodriguez-Galiano, V.F.; Ghimire, B.; Rogan, J.; Chica-Olmo, M.; Rigol-Sanchez, J.P. An assessment of the effectiveness of a random forest classifier for land-cover classification. ISPRS-J. Photogramm. Remote Sens. 2012, 67, 93–104. [Google Scholar] [CrossRef]
- Jia, K.; Li, Q.Z. Review of Features Selection in Crop Classification Using Remote Sensing Data. Resour. Sci. 2013, 35, 2507–2516. [Google Scholar]
- Jia, K.; Wu, B.; Tian, Y.C.; Zeng, Y.; Li, Q.Z. Vegetation classification method with biochemical composition estimated from remote sensing data. Int. J. Remote Sens. 2011, 32, 9307–9325. [Google Scholar] [CrossRef]
- Jia, K.; Li, Q.Z.; Tian, Y.C.; Wu, B.F.; Zhang, F.F.; Meng, J.H. Crop classification using multi-configuration SAR data in the North China Plain. Int. J. Remote Sens. 2012, 33, 170–183. [Google Scholar] [CrossRef]
- Zhang, X.Y.; Liu, K.; Wang, S.D.; Long, X.; Li, X.K. A rapid model (COV_PSDI) for winter wheat mapping in fallow rotation area using MODIS NDVI time series satellite observations: The case of the Heilonggang region. Remote Sens. 2021, 13, 4870. [Google Scholar] [CrossRef]
- Kong, H.; Liu, J.B. High spatial resolution remote sensing image classification based on pixel shape index method. J. Phys. Conf. Ser. 2021, 1952, 022054. [Google Scholar] [CrossRef]
- Bendini, H.D.; Fonseca, L.M.G.; Schwieder, M.; Korting, T.S.; Rufin, P.; Sanches, I.D.; Leitao, P.J.; Hostert, P. Detailed agricultural land classification in the Brazilian cerrado based on phenological information from dense satellite image time series. Int. J. Appl. Earth Obs. Geoinf. 2019, 82, 101872. [Google Scholar]
- Wu, Y.; Wu, P.; Wu, Y.; Yang, H.; Wang, B. Remote Sensing Crop Recognition by Coupling Phenological Features and Off-Center Bayesian Deep Learning. Remote Sens. 2023, 15, 674. [Google Scholar] [CrossRef]
- Chen, Y.; Song, X.; Wang, S.; Huang, J.; Mansaray, L.R. Impacts of Spatial Heterogeneity on Crop Area Mapping in Canada Using MODIS Data. ISPRS J. Photogramm. Remote Sens. 2016, 119, 451–461. [Google Scholar] [CrossRef]
- Löw, F.; Michel, U.; Dech, S.; Conrad, C. Impact of Feature Selection on the Accuracy and Spatial Uncertainty of Per-Field Crop Classification Using Support Vector Machines. ISPRS J. Photogramm. Remote Sens. 2013, 85, 102–119. [Google Scholar] [CrossRef]
- Mena, J.; Catalunya, C.T.D.; Matemàtiques, D.D. A Survey on Uncertainty Estimation in Deep Learning Classification Systems from a Bayesian Perspective. ACM Comput. Surv. 2021, 54, 1–35. [Google Scholar] [CrossRef]
- Friedl, M.A.; Brodley, C.E.; Strahler, A.H. Maximizing Land Cover Classification Accuracies Produced by Decision Trees at Continental to Global Scales. IEEE Trans. Geosci. Remote Sens. 1999, 37, 969–977. [Google Scholar] [CrossRef]
- Geerken, R.A. An Algorithm to Classify and Monitor Seasonal Variations in Vegetation Phenologies and Their Inter-Annual Change. ISPRS J. Photogramm. Remote Sens. 2009, 64, 422–431. [Google Scholar] [CrossRef]











| Bands | Resolution (m) | Center Wavelength (nm) | Description Information |
|---|---|---|---|
| B1 | 60 | 443.9 | Aerosol |
| B2 | 10 | 496.6 | Blue |
| B3 | 10 | 560 | Green |
| B4 | 10 | 664.5 | Red |
| B5 | 20 | 703.9 | Red Edge 1 |
| B6 | 20 | 740.2 | Red Edge 2 |
| B7 | 20 | 782.5 | Red Edge 3 |
| B8 | 10 | 835.1 | NIR1 |
| B8A | 20 | 864.8 | NIR2 |
| B9 | 60 | 945 | Water vapor |
| B11 | 20 | 1613.7 | SWIR1 |
| B12 | 20 | 2202.4 | SWIR2 |
| QA60 | 60 | - | - |
| Phenological Parameters | Implication |
|---|---|
| Growth rate | Rate of change from valley to peak of NDRE705 (NDGR) Rate of change from peak to valley of PSRI (PSGR) |
| Decay rate | Rate of change from peak to valley of NDRE705 (NDDR) Rate of change from valley to peak of PSRI (PSDR) |
| Growth season amplitude | Differential value between peak value and valley value in growing season (NDGSA, PSGSA) |
| Growing season cumulative value | The sum of time series spectral indices in the growing season (NDGSC, PSGSC) |
| Annual cumulative value | The sum of time series spectral indices in the whole phenological period (NDAC, PSAC) |
| Feature Sets | Characteristic Variable |
|---|---|
| FC1 | NDRE705 Time series |
| FC2 | PSRI Time series |
| FC3 | NDRE705 Time series and PSRI Time series |
| FC4 | Optimal Time series Classification Set and Preferred SFPs |
| FC5 | Optimal Time series Classification Set and Preferred PFPs |
| FC6 | Optimal Time series Classification Set and SFPs and Preferred PFPs |
| Types of Phenological Characteristic | Parameters |
|---|---|
| Growth rate | NDGR Oct-Apr |
| NDGR Jun-Aug | |
| NDGR Mar-Aug | |
| PSGR Oct-Apr | |
| PSGR Mar-Jul | |
| PSGR Mar-Sept | |
| PSGR Jun-Aug | |
| Decay rate | NDDR Apr-Jun |
| NDDR Aug-Oct | |
| NDDR Sept-Nov | |
| PSDR Aug-Oct | |
| PSDR Sept-Oct | |
| PSDR Sept-Mar | |
| Growth season amplitude | NDGSA Oct-Apr |
| NDGSA Mar-Aug | |
| NDGSA Jun-Aug | |
| NDGSA Aug-Oct | |
| PSGSA Sept-Oct | |
| PSGSA Oct-Apr | |
| PSGSA Sept-Mar | |
| PSGSA Apr-Jun | |
| PSGSA Apr-Sept | |
| Growing season cumulative value | NDGSC Oct-May |
| NDGSC Mar-Oct | |
| NDGSC Jun-Oct | |
| NDGSC Jul-Sept | |
| PSGSC Nov-May | |
| PSGSC Apr-Sept | |
| PSGSC Jun-Oct | |
| PSGSC Jul-Sept | |
| Annual cumulative value | NDAC Oct-Oct |
| PSAC Oct-Oct |
| Types | Winter Wheat/Summer Maize | Single Crop Field | Orchard | Facility Vegetable Field | Water | Construction Land | Forest and Grassland | Bare Land | OA% | Kappa | |
|---|---|---|---|---|---|---|---|---|---|---|---|
| Feature Set | |||||||||||
| FC4 | UA% | 96.77 | 88.28 | 89.12 | 95.89 | 100.00 | 81.13 | 65.52 | 79.17 | 89.5 | 0.8757 |
| PA% | 100.00 | 85.33 | 87.33 | 93.33 | 96.00 | 86.00 | 76.00 | 76.00 | |||
| FC5 | UA%. | 93.67 | 88.82 | 89.40 | 95.17 | 97.96 | 79.25 | 81.25 | 86.36 | 90.38 | 0.8858 |
| PA% | 98.67 | 90.00 | 90.00 | 92.00 | 96.00 | 84.00 | 78.00 | 76.00 | |||
| FC6 | UA% | 98.67 | 94.59 | 91.45 | 95.97 | 97.96 | 81.48 | 79.25 | 91.11 | 93.13 | 0.9185 |
| PA% | 98.67 | 93.33 | 92.67 | 95.33 | 96.00 | 88.00 | 84.00 | 82.00 |
Disclaimer/Publisher’s Note: The statements, opinions and data contained in all publications are solely those of the individual author(s) and contributor(s) and not of MDPI and/or the editor(s). MDPI and/or the editor(s) disclaim responsibility for any injury to people or property resulting from any ideas, methods, instructions or products referred to in the content. |
© 2025 by the authors. Licensee MDPI, Basel, Switzerland. This article is an open access article distributed under the terms and conditions of the Creative Commons Attribution (CC BY) license (https://creativecommons.org/licenses/by/4.0/).
Share and Cite
Zhao, H.; Chang, C.; Wang, Z.; Zhao, G. A Large-Scale Agricultural Land Classification Method Based on Synergistic Integration of Time Series Red-Edge Vegetation Index and Phenological Features. Sensors 2025, 25, 503. https://doi.org/10.3390/s25020503
Zhao H, Chang C, Wang Z, Zhao G. A Large-Scale Agricultural Land Classification Method Based on Synergistic Integration of Time Series Red-Edge Vegetation Index and Phenological Features. Sensors. 2025; 25(2):503. https://doi.org/10.3390/s25020503
Chicago/Turabian StyleZhao, Huansan, Chunyan Chang, Zhuoran Wang, and Gengxing Zhao. 2025. "A Large-Scale Agricultural Land Classification Method Based on Synergistic Integration of Time Series Red-Edge Vegetation Index and Phenological Features" Sensors 25, no. 2: 503. https://doi.org/10.3390/s25020503
APA StyleZhao, H., Chang, C., Wang, Z., & Zhao, G. (2025). A Large-Scale Agricultural Land Classification Method Based on Synergistic Integration of Time Series Red-Edge Vegetation Index and Phenological Features. Sensors, 25(2), 503. https://doi.org/10.3390/s25020503
