Multipath Identification and Mitigation for Enhanced GNSS Positioning in Urban Environments
Abstract
1. Introduction
2. Methodology
2.1. Code Multipath Calculating with Carrier Phase
2.2. Differential Code Ranges Between Satellites
2.3. Wavelet Transform for Multipath Detection
3. Results and Analysis
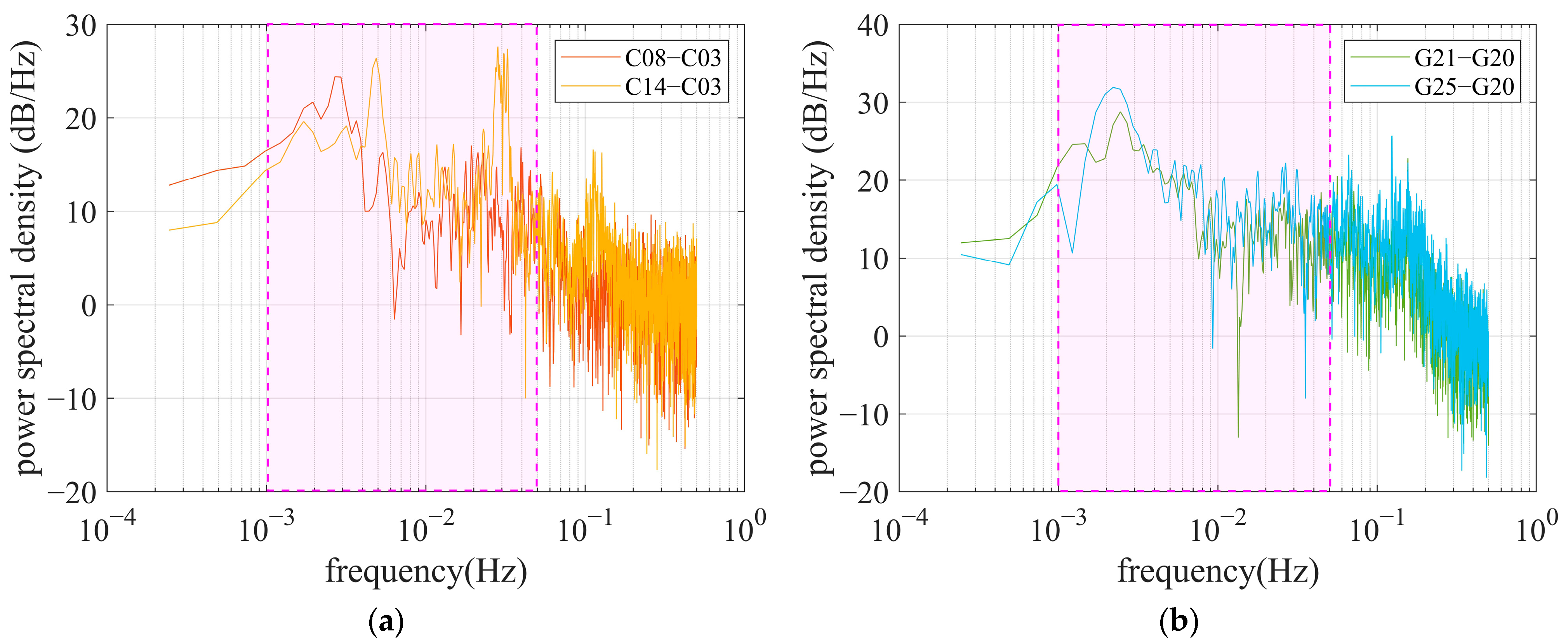
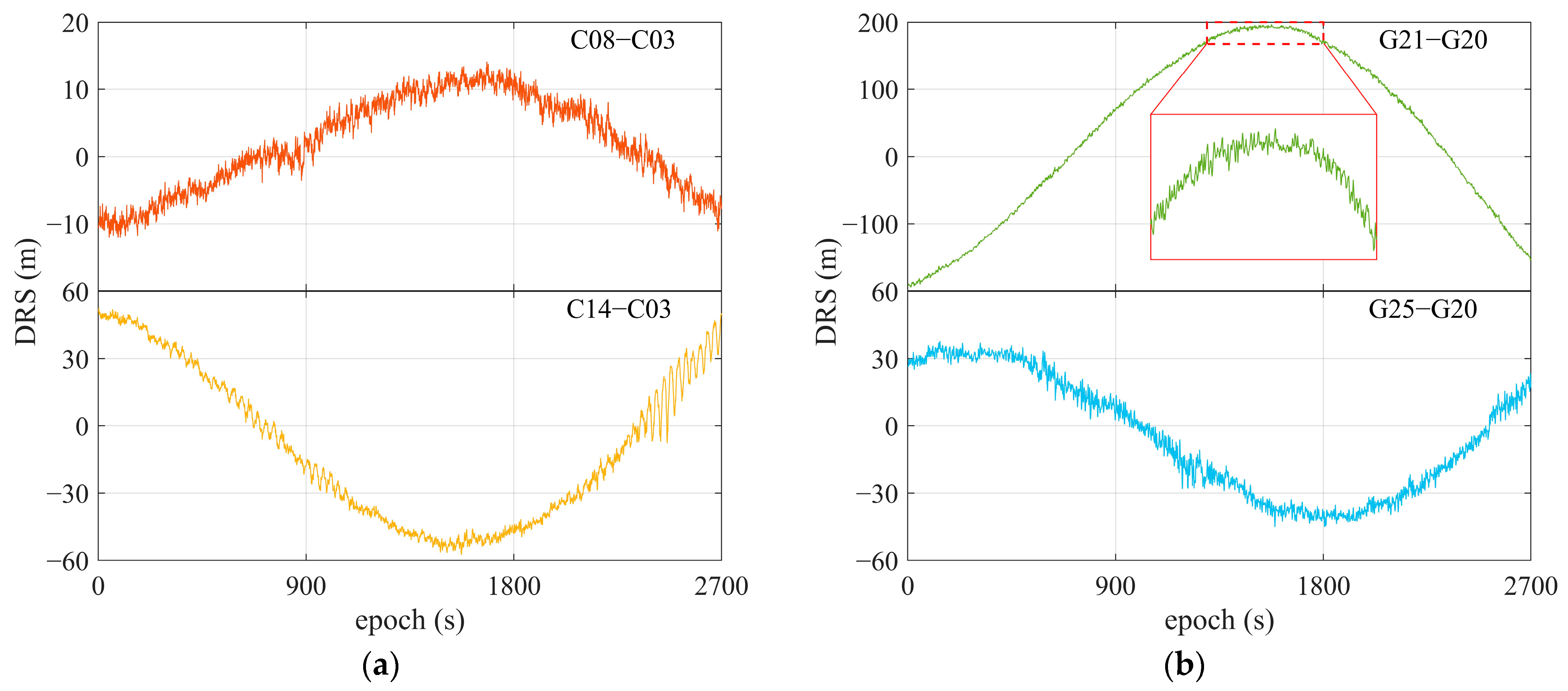
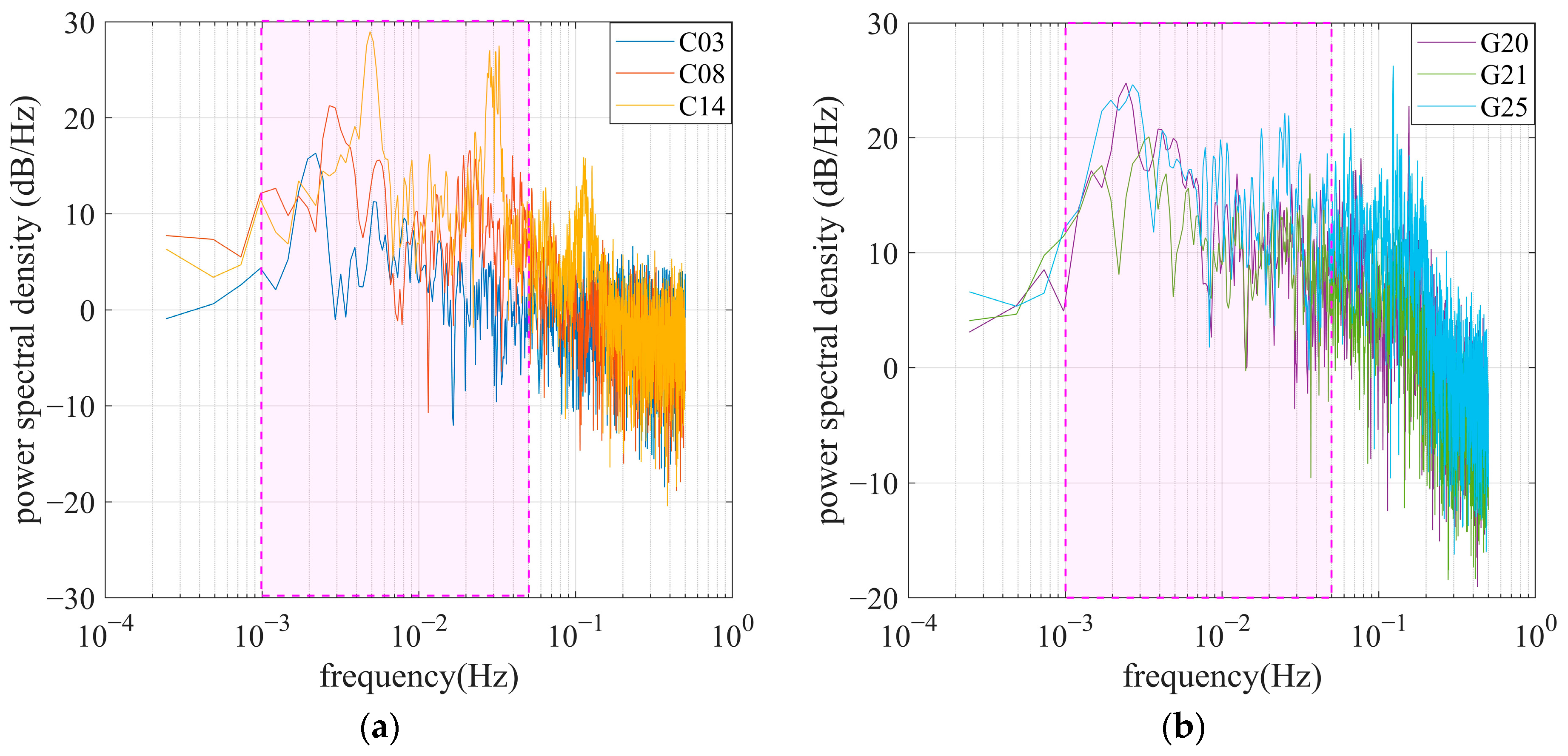
3.1. Investigation of Code Multipath
3.2. Multipath Identification with Wavelet Transform
3.2.1. Multipath Inspection for OEM Navigation Receiver
3.2.2. Multipath Inspection for Smartphone
3.3. Positioning Test and Validation
3.3.1. Static Positioning
3.3.2. Kinematic Positioning
4. Conclusions and Prospects
Author Contributions
Funding
Institutional Review Board Statement
Informed Consent Statement
Data Availability Statement
Conflicts of Interest
References
- Gökdas, Ö.; Özlüdemir, M.T. Effects of the continuously operating reference station (CORS) network on the accuracy, precision, and time to fix ambiguity (TTFA) performance. Earth Sci. Res. J. 2022, 26, 131–138. [Google Scholar] [CrossRef]
- Wang, Z.P.; Macabiau, C.; Zhang, J.; Escher, A.C. Prediction and analysis of GBAS integrity monitoring availability at LinZhi airport. GPS Solut. 2014, 18, 27–40. [Google Scholar] [CrossRef]
- Lin, S.-G. Assisted adaptive extended Kalman filter for low-cost single-frequency GPS/SBAS kinematic positioning. GPS Solut. 2014, 19, 215–223. [Google Scholar] [CrossRef]
- Paziewski, J. Recent advances and perspectives for positioning and applications with smartphone GNSS observations. Meas. Sci. Technol. 2020, 31, 091001. [Google Scholar] [CrossRef]
- Liu, W.K.; Shi, X.; Zhu, F.; Tao, X.L.; Wang, F.H. Quality analysis of multi-GNSS raw observations and a velocity-aided positioning approach based on smartphones. Adv. Space Res. 2019, 63, 2358–2377. [Google Scholar] [CrossRef]
- Yi, D.; Hu, J.H.; Bisnath, S. Improving PPP smartphone processing with adaptive quality control method in obstructed environments when carrier-phase measurements are missing. GPS Solut. 2024, 28, 56. [Google Scholar] [CrossRef]
- Paziewski, J.; Sieradzki, R.; Baryla, R. Signal characterization and assessment of code GNSS positioning with low-power consumption smartphones. GPS Solut. 2019, 23, 98. [Google Scholar] [CrossRef]
- Zhu, H.Y.; Xia, L.Y.; Wu, D.J.; Xia, J.C.; Li, Q.X. Study on multi-GNSS precise point positioning performance with adverse effects of satellite signals on android smartphone. Sensors 2020, 20, 6447. [Google Scholar] [CrossRef] [PubMed]
- Hein, G.W. Status, perspectives and trends of satellite navigation. Satell. Navig. 2020, 1, 22. [Google Scholar] [CrossRef]
- Zangenehnejad, F.; Gao, Y. GNSS smartphones positioning: Advances, challenges, opportunities, and future perspectives. Satell. Navig. 2021, 2, 24. [Google Scholar] [CrossRef]
- Icking, L.; Kersten, T.; Schön, S. Evaluating the urban trench model for improved GNSS positioning in urban areas. In Proceedings of the 2020 IEEE/ION Position, Location and Navigation Symposium (Plans), Portland, OR, USA, 20–23 April 2020; pp. 631–638. [Google Scholar]
- Xu, J.; Ding, J. GNSS multipath suppression technology based on postcorrelation and independent component analysis. PLoS ONE 2022, 17, e0267216. [Google Scholar] [CrossRef]
- Adjrad, M.; Groves, P.D. Enhancing Least Squares GNSS Positioning with 3D Mapping without Accurate Prior Knowledge. Navigation 2017, 64, 75–91. [Google Scholar] [CrossRef]
- Xu, G. GPS: Theory, Algorithms, and Applications; Springer: Berlin/Heidelberg, Germany, 2004. [Google Scholar]
- Chen, X.; Dovis, F.; Peng, S.L.; Morton, Y. Comparative studies of GPS multipath mitigation methods performance. IEEE Trans. Aerosp. Electron. Syst. 2013, 49, 1555–1568. [Google Scholar] [CrossRef]
- Groves, P.D.; Jiang, Z.Y.; Skelton, B.; Cross, P.A.; Lau, L.; Adane, Y.; Kale, I. Novel multipath mitigation methods using a dual-polarization antenna. In Proceedings of the 23rd International Technical Meeting of the Satellite Division of the Institute of Navigation, Portland, OR, USA, 21–24 September 2010; pp. 140–151. [Google Scholar]
- Maqsood, M.; Gao, S.; Brown, T.W.C.; Unwin, M.; Van Steenwijk, R.D.; Xu, J.D. A compact multipath mitigating ground plane for multiband GNSS antennas. IEEE Trans. Antennas Propag. 2013, 61, 2775–2782. [Google Scholar] [CrossRef]
- Danskin, S.; Bettinger, P.; Jordan, T. Multipath mitigation under forest canopies: A choke ring antenna solution. For. Sci. 2009, 55, 109–116. [Google Scholar] [CrossRef]
- Zhang, J.Q.; Cui, X.W.; Xu, H.L.; Lu, M.Q. A two-stage interference suppression scheme based on antenna array for GNSS jamming and spoofing. Sensors 2019, 19, 3870. [Google Scholar] [CrossRef]
- Juang, J.C.; Lin, C.T.; Tsai, Y.F. Comparison and synergy of BPSK and BOC modulations in GNSS reflectometry. IEEE J.-Stars 2020, 13, 1959–1971. [Google Scholar] [CrossRef]
- Zhang, Q.Z.; Zhang, L.Q.; Sun, A.; Meng, X.L.; Zhao, D.S.; Hancock, C. GNSS carrier-phase multipath modeling and correction: A review and prospect of data processing methods. Remote Sens. 2024, 16, 189. [Google Scholar] [CrossRef]
- Li, S.; Yang, R.; Zhan, X. Characterization of multi-band GNSS multipath in urban canyons using the 3D ray-tracing method. GPS Solut. 2023, 28, 49. [Google Scholar] [CrossRef]
- Ragheb, A.E.; Clarke, P.J.; Edwards, S.J. GPS sidereal filtering: Coordinate- and carrier-phase-level strategies. J. Geod. 2006, 81, 325–335. [Google Scholar] [CrossRef]
- Dong, D.; Wang, M.; Chen, W.; Zeng, Z.; Song, L.; Zhang, Q.; Cai, M.; Cheng, Y.; Lv, J. Mitigation of multipath effect in GNSS short baseline positioning by the multipath hemispherical map. J. Geod. 2016, 90, 255–262. [Google Scholar] [CrossRef]
- Li, Q.; Xia, L.; Chan, T.O.; Xia, J.; Geng, J.; Zhu, H.; Cai, Y. Intrinsic Identification and Mitigation of Multipath for Enhanced GNSS Positioning. Sensors 2020, 21, 188. [Google Scholar] [CrossRef]
- Zhou, H.X.; Wang, X.Y.; Zhong, S.J.; Li, Y.B.; Xi, K.W. Multipath error extraction and mitigation based on refined wavelet level and threshold selection. GPS Solut. 2024, 28, 157. [Google Scholar] [CrossRef]
- Lachapelle, G.; Gratton, P. GNSS Precise Point Positioning with Android Smartphones and Comparison with High Performance Receivers. In Proceedings of the 2019 IEEE International Conference on Signal, Information and Data Processing (ICSIDP), Chongqing, China, 11–13 December 2019. [Google Scholar]
- Linty, N.; Lo Presti, L.; Dovis, F.; Crosta, P. Performance analysis of duty-cycle power saving techniques in GNSS mass-market receivers. In Proceedings of the 2014 IEEE/Ion Position, Location and Navigation Symposium—Plans 2014, Monterey, CA, USA, 5–8 May 2014; pp. 1096–1104. [Google Scholar]
- Yuan, H.J.; Zhang, Z.T.; He, X.F.; Li, G.H.; Wang, S.Y. Stochastic model assessment of low-cost devices considering the impacts of multipath effects and atmospheric delays. Measurement 2022, 188, 110619. [Google Scholar] [CrossRef]
- Su, M.K.; Feng, W.J.; Qiao, L.; Qiu, Z.Y.; Zhang, H.A.; Zheng, J.S.; Yang, Y.X. An improved time-domain multipath mitigation method based on the constraint of satellite elevation for low-cost single frequency receiver. Adv. Space Res. 2022, 69, 3597–3608. [Google Scholar] [CrossRef]
- Li, Q.C.; Wang, J.L.; Chao, W.Y.; Zheng, F.; Shi, C. Multipath error correction for smartphones and its impact on single point positioning. In Proceedings of the China Satellite Navigation Conference, Beijing, China, 22–25 May 2022; Springer: Singapore, 2022; Volume 909, pp. 376–389. [Google Scholar] [CrossRef]
- Benvenuto, L.; Cosso, T.; Delzanno, G. An adaptive algorithm for multipath mitigation in GNSS positioning with android smartphones. Sensors 2022, 22, 5790. [Google Scholar] [CrossRef]
- Li, W.Q.; Song, J.B.; Zhu, X.W. Exploring Multipath Mitigation Mechanism of Circular Smartphone Antenna Motion with C/N and Multipath Frequency. IEEE Trans. Instrum. Meas. 2024, 73, 6503811. [Google Scholar] [CrossRef]
- Wang, G.; Jong, K.d.; Zhao, Q.; Hu, Z.; Guo, J. Multipath analysis of code measurements for BeiDou geostationary satellites. GPS Solut. 2015, 19, 129–139. [Google Scholar] [CrossRef]
- Demyanov, V.; Danilchuk, E.; Fedorov, M. Modern Improvements of GNSS Technologies: New Opportunities in Exploration of the Earth’s Ionosphere. In Satellite Systems for Navigation and Geosciences [Working Title]; IntechOpen: London, UK, 2025. [Google Scholar]
- McCaffrey, A.M.; Jayachandran, P.T. Spectral characteristics of auroral region scintillation using 100 Hz sampling. GPS Solut. 2017, 21, 1883–1894. [Google Scholar] [CrossRef]
- Jakowski, N.; Hoque, M.M. Estimation of spatial gradients and temporal variations of the total electron content using ground based GNSS measurements. Space Weather 2019, 17, 339–356. [Google Scholar] [CrossRef]
- Morlet, J.; Arens, G.; Fourgeau, E.; Glard, D. Wave propagation and sampling theory—Part I: Complex signal and scattering in multilayered media. Geophysics 1982, 47, 203–221. [Google Scholar] [CrossRef]
- Meyer, Y. Ondelettes et Opérateurs; Hermann: Paris, France, 1990; ISBN 9782705662782. [Google Scholar]
- Mallat, S. A Theory for Multiresolution Signal Decomposition: The Wavelet Representation. IEEE Trans. Pattern Anal. Mach. Intell. 1989, 11, 674–693. [Google Scholar] [CrossRef]
- Maraun, D.; Kurths, J.; Holschneider, M. Nonstationary Gaussian processes in wavelet domain: Synthesis, estimation, and significance testing. Phys. Rev. E 2007, 75, 016707. [Google Scholar] [CrossRef] [PubMed]





















| Statistics | Horizontal (m) | Vertical (m) | 3D Point (m) | |||
|---|---|---|---|---|---|---|
| Max | 7.13 | 27% | 15.57 | 25% | 15.79 | 24% |
| 5.18 | 11.72 | 12.04 | ||||
| Mean | 2.12 | 32% | 3.81 | 15% | 5.14 | 23% |
| 1.44 | 3.24 | 3.97 | ||||
| RMS | 1.16 | 28% | 3.67 | 27% | 2.72 | 21% |
| 0.83 | 2.68 | 2.16 | ||||
| Statistics | Horizontal (m) | Vertical (m) | 3D Point (m) | |||
|---|---|---|---|---|---|---|
| Max | 8.41 | 40% | 12.16 | 23% | 13.35 | 25% |
| 5.05 | 9.36 | 10.08 | ||||
| Mean | 2.80 | 21% | 2.90 | 23% | 4.30 | 21% |
| 2.21 | 2.22 | 3.40 | ||||
| RMS | 1.51 | 44% | 3.58 | 22% | 2.11 | 29% |
| 0.84 | 2.80 | 1.49 | ||||
| Statistics | Horizontal (m) | Vertical (m) | 3D Point (m) | |||
|---|---|---|---|---|---|---|
| Max | 39.88 | 21% | 81.86 | 16% | 87.11 | 17% |
| 31.45 | 68.76 | 72.09 | ||||
| Mean | 8.84 | 33% | 18.55 | 10% | 21.41 | 14% |
| 5.90 | 16.76 | 18.50 | ||||
| RMS | 8.05 | 36% | 12.57 | 36% | 13.64 | 41% |
| 5.12 | 8.06 | 8.05 | ||||
Disclaimer/Publisher’s Note: The statements, opinions and data contained in all publications are solely those of the individual author(s) and contributor(s) and not of MDPI and/or the editor(s). MDPI and/or the editor(s) disclaim responsibility for any injury to people or property resulting from any ideas, methods, instructions or products referred to in the content. |
© 2025 by the authors. Licensee MDPI, Basel, Switzerland. This article is an open access article distributed under the terms and conditions of the Creative Commons Attribution (CC BY) license (https://creativecommons.org/licenses/by/4.0/).
Share and Cite
Li, Q.; Hou, X.; Ye, Y.; Zhang, W.; Li, Q.; Cai, Y. Multipath Identification and Mitigation for Enhanced GNSS Positioning in Urban Environments. Sensors 2025, 25, 6061. https://doi.org/10.3390/s25196061
Li Q, Hou X, Ye Y, Zhang W, Li Q, Cai Y. Multipath Identification and Mitigation for Enhanced GNSS Positioning in Urban Environments. Sensors. 2025; 25(19):6061. https://doi.org/10.3390/s25196061
Chicago/Turabian StyleLi, Qianxia, Xue Hou, Yuanbin Ye, Wenfeng Zhang, Qingsong Li, and Yuezhen Cai. 2025. "Multipath Identification and Mitigation for Enhanced GNSS Positioning in Urban Environments" Sensors 25, no. 19: 6061. https://doi.org/10.3390/s25196061
APA StyleLi, Q., Hou, X., Ye, Y., Zhang, W., Li, Q., & Cai, Y. (2025). Multipath Identification and Mitigation for Enhanced GNSS Positioning in Urban Environments. Sensors, 25(19), 6061. https://doi.org/10.3390/s25196061

