An Adaptive Grasping Multi-Degree-of-Freedom Prosthetic Hand with a Rigid–Flexible Coupling Structure
Abstract
Highlights
- A multi-degree-of-freedom prosthetic hand with a rigid–flexible coupling structure.
- Control algorithms for flexible object grasping.
- Mapping surface electromyographic (sEMG) signals to force using temporal convolutional network (TCN).
- It can provide an additional adaptive joint for the finger without adding actuators.
- It is more suitable for grasping flexible objects than traditional algorithms.
- It provides a more accurate method to map sEMG signals of eight channels to force signals.
Abstract
1. Introduction
- This study drew inspiration from the structures of rigid dexterous hands and rope-driven dexterous hands [4], and combined the advantages of rigid dexterous hands and rope-driven dexterous hands to design a rigid–flexible coupling structure. This structure makes the joints of the fingers of the dexterous hand consistent with those of the human hand, and the degrees of freedom of the metacarpophalangeal (MCP) joints are directly driven by miniature electric cylinders. The proximal interphalangeal (PIP) joint is indirectly driven by a planar four-bar mechanism, and the Angle corresponds to that of the MCP joint. The distal interphalangeal joint is driven by a rigid–flexible coupling structure, which can adapt to the shape of the object without active control, thereby increasing the grasping area and enhancing the grasping stability.
- Meanwhile, a TCN-LIA-MPC algorithm is proposed. This algorithm enables the sEMG from the human forearm to be mapped into the human-expected grasping force via the Improved TCN algorithm. Subsequently, it obtains the expected displacement of the electric cylinders for grasping flexible objects using the linear iterative approximator (LIA) algorithm. Finally, it achieves effective tracking of the expected force through the Model Predictive Control (MPC) algorithm, thereby assisting humans in better grasping flexible objects.
2. Design of the Prosthetic Hand System
2.1. Human Hand Model Analysis and Reduction
2.2. Design of Prosthetic Hand
- Two-phase four-wire AC motor CHF-GW12T-10BY (CHIHAI MOTOR, Huizhou, China): step Angle 18°, quantity 4. It achieves the lateral swing of the four fingers except the thumb through a worm gear reducer and also serves a reverse self-locking function. The self-locking mechanism can ensure that fingers do not rotate in the event of power failure or when grasping objects that are too heavy.
- Electric cylinder LA16-023D (INSPIRE-ROBOTS, Beijing, China): Stroke 16 mm, repeat positioning accuracy ±0.03 mm, maximum thrust 70 N, quantity 4. It drives the CAM through a slider mechanism, causing the four-bar mechanism at the proximal phalanx to move.
- Electric cylinder LAS16-023D (INSPIRE-ROBOTS): Stroke 16 mm, repeat positioning accuracy ±0.03 mm, maximum thrust 105 N, quantity 1. It achieves the relative rotation of the palm and the thumb through a lever mechanism.
- Electric cylinder LAS10-023D (INSPIRE-ROBOTS): Stroke 10 mm, repeat positioning accuracy ±0.02 mm, maximum thrust 70 N, quantity 1. It is responsible for driving the six-bar mechanism to achieve the flexion and extension of the thumb.
- Position sensing: All electric cylinders are equipped with position feedback function, which can collect the current elongation of the electric cylinder in real time.
- Thin-film pressure sensor RP-C10-ST-LF2 (Xinbin Electronics, Shenzhen, China): Thin-film pressure sensors (with an outer diameter of 10 MM, short tail, low trigger range of 5 g–2 KG) are installed on each knuckle of the five fingers to detect the grasping force.
2.3. Design of Rigid–Flexible Coupling Finger
2.4. Force Estimation Based on TCN
- Long sequence modeling capability: By stacking dilated convolution layers, the TCN can cover several seconds of EMG signal history, effectively capturing the time-varying nonlinear relationship between force and EMG during dynamic grasping;
- Real-time performance: The causal convolution structure ensures that computation relies only on past data, meeting the low-latency requirements of prosthetic hand control;
- High parameter efficiency: Compared with Recurrent Neural Networks, TCN adopt shared convolution kernel weights, demonstrating stronger generalization in inter-subject training scenarios.
- Input layer: Receives filtered 8-channel sEMG signals with dimensions of (where represents the number of samples and 1 represents the number of input channels).
- Output layer: The feature dimensions are transformed into (, 128) (16 × 8) through flattening operations, and the force prediction value is output through the fully connected layer.
2.5. Dynamics Analysis of Rigid–Flexible Coupling Finger
2.6. Actuation and Control of Prosthetic Hand
- Multi-step optimization capability: Through rolling horizon optimization, MPC can compensate for system inertia and external disturbances in advance, avoiding the lag issues inherent in traditional PID control;
- Explicit constraint handling: Physical constraints such as joint limits are directly embedded into the optimization problem, ensuring control safety;
- Model dependence: By utilizing the dynamic model of the controlled system to predict future states, MPC significantly enhances robustness against nonlinear friction and flexible deformation during the grasping process.
2.7. Control Block Diagram
3. Experiments and Results
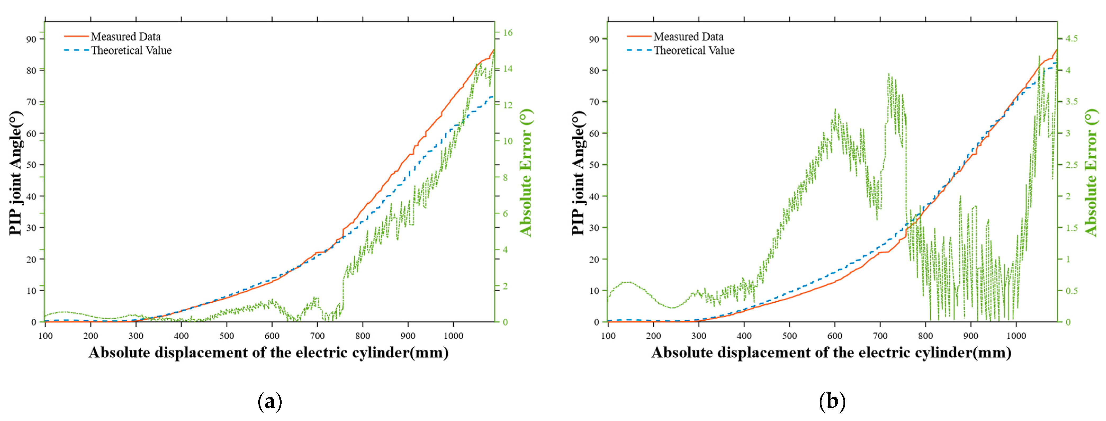
3.1. Calibration of Electromechanical Signals
- Offline model optimization. The TCN model is trained on a large number of sEMG-force datasets, during which hyperparameters are continuously modified to minimize %RMSE and maximize R2.
- Online performance verification. After the training, we selected five subjects (three men and two women, aged 25 to 35, weighing 55 to 75 kg, with no history of forearm muscle injury or neuromuscular disease) for testing to confirm the real-time effectiveness. The key is to check whether the predicted force trend is consistent with the actual force trend.
3.2. Flexible Grasping Experiment
3.3. Comparative Experiment
- Compared with impedance control
- B.
- Compared with PID control
4. Discussion
- (1)
- Lack of multi-finger coordination: During grasping, independent control of the five fingers lacks a force coordination algorithm. When the deformable object shifts within the hand, asynchronous changes in contact conditions across the fingertip film pressure sensors lead to conflicts in force distribution.
- (2)
- The sensitivity of the sensors used is relatively low; consequently, the minimum measurable contact force may already cause significant displacement of the object. Therefore, the actually measured force may be inaccurate, and errors may further be introduced due to the low sensor sensitivity [21].
- (3)
- In traditional force-position control, unknown or varying environmental stiffness leads to steady-state force errors [22].
5. Conclusions
Author Contributions
Funding
Institutional Review Board Statement
Informed Consent Statement
Data Availability Statement
Acknowledgments
Conflicts of Interest
Abbreviations
| DOF | degree of freedom |
| sEMG | Surface Electromyography Signal |
| MCP | MetaCarpophalangeal |
| PIP | Proximal interphalangeal |
| DIP | Distal Interphalangeal |
| TCN | Temporal Convolutional Network |
| LIA | linear iterative approximator |
| AC | Admittance Control |
| PID | Proportional–Integral–Derivative |
References
- Lin, Y.-Y.; Raj, R.; Juang, J.-Y. A comprehensive review of dexterous robotic hands: Design, implementation, and evaluation. Bioinspir. Biomim. 2025, 20, 041003. [Google Scholar] [CrossRef] [PubMed]
- Wang, Y.; Tian, Y.; Li, Z.; She, H.; Jiang, Z. Research on Adaptive Grasping with a Prosthetic Hand Based on Perceptual Information on Hardness and Surface Roughness. Micromachines 2024, 15, 675. [Google Scholar] [CrossRef] [PubMed]
- Yang, H.; Tao, Z.; Yang, J.; Ma, W.; Zhang, H.; Xu, M.; Wu, M.; Sun, S.; Jin, H.; Li, W.; et al. A lightweight prosthetic hand with 19-DOF dexterity and human-level functions. Nat. Commun. 2025, 16, 955. [Google Scholar] [CrossRef] [PubMed]
- Li, H.; Ford, C.J.; Lu, C.; Lin, Y.; Bianchi, M.; Catalano, M.G.; Psomopoulou, E.; Lepora, N.F. Tactile SoftHand-A: 3D-Printed, Tactile, Highly-underactuated, Anthropomorphic Robot Hand with an Antagonistic Tendon Mechanism. arXiv 2024, arXiv:2406.12731. [Google Scholar]
- Xuan, S.; Zeng, F.; Bian, C.; Wang, Z.; Zhou, Y.; Jiang, S.; He, B. A Novel Bidirectional Controlled Prosthetic Hand with Rigid-Flexible Coupled Structure and Skin Stretch Feedback. IEEE Trans. Fuzzy Syst. 2025, 33, 2448–2459. [Google Scholar] [CrossRef]
- Liow, L.; Clark, A.B.; Rojas, N. OLYMPIC: A Modular, Tendon-Driven Prosthetic Hand with Novel Finger and Wrist Coupling Mechanisms. IEEE Robot. Autom. Lett. 2020, 5, 299–306. [Google Scholar] [CrossRef]
- Earley, E.J.; Johnson, R.E.; Sensinger, J.W.; Hargrove, L.J. Wrist speed feedback improves elbow compensation and reaching accuracy for myoelectric transradial prosthesis users in hybrid virtual reaching task. J. Neuroeng. Rehabil. 2023, 20, 9. [Google Scholar] [CrossRef] [PubMed]
- Simon, P.-E.; Peri, E.; Long, X.; van Dijk, J.P.; Mischi, M. A Spatiotemporal Deep-Learning Model for Force Estimation from Surface Electromyography. In Proceedings of the 2024 IEEE International Symposium on Medical Measurements and Applications, Eindhoven, The Netherlands, 26–28 June 2024. [Google Scholar] [CrossRef]
- Pimpalkar, A.S.; Slepyan, A.; Thakor, N.V. At First Contact: Stiffness Estimation Using Vibrational Information for Prosthetic Grasp Modulation. arXiv 2024, arXiv:2411.18507. [Google Scholar] [CrossRef]
- Zhang, Y.; Xu, X.; Xia, R.; Deng, H. Stiffness-Estimation-Based Grasping Force Fuzzy Control for Underactuated Prosthetic Hands. IEEE-ASME Trans. Mechatron. 2023, 28, 140–151. [Google Scholar] [CrossRef]
- Lungarella, M.; Metta, G.; Pfeifer, R.; Sandini, G. Developmental robotics: A survey. Connect. Sci. 2003, 15, 151–190. [Google Scholar] [CrossRef]
- Cobos Guzman, S.; Ferre, M.; Uran, S.; Ortego, J.; Pena, C. Efficient Human Hand Kinematics for Manipulation Tasks. In Proceedings of the 2008 IEEE/RSJ International Conference on Robots and Intelligent Systems, Nice, France, 22–26 September 2008; IEEE: Piscataway, NJ, USA, 2008; pp. 2246–2251. [Google Scholar] [CrossRef]
- Santello, M.; Bianchi, M.; Gabiccini, M.; Ricciardi, E.; Salvietti, G.; Prattichizzo, D.; Ernst, M.; Moscatelli, A.; Jörntell, H.; Kappers, A.M.L.; et al. Hand synergies: Integration of robotics and neuroscience for understanding the control of biological and artificial hands. Phys. Life Rev. 2016, 17, 1–23. [Google Scholar] [CrossRef] [PubMed]
- Sampath, S.K.; Wang, N.; Wu, H.; Yang, C. Review on Human-Like Robot Manipulation Using Dexterous Hands. Cogn. Comput. Syst. 2023, 5, 14–29. [Google Scholar] [CrossRef]
- Basumatary, H.; Hazarika, S.M. Design optimization of an underactuated tendon-driven anthropomorphic hand based on grasp quality measures. Robotica 2022, 40, 4056–4075. [Google Scholar] [CrossRef]
- Zhu, W.; Lu, C.; Zheng, Q.; Fang, Z.; Che, H.; Tang, K.; Zhu, M.; Liu, S.; Wang, Z. A Soft-Rigid Hybrid Gripper with Lateral Compliance and Dexterous in-Hand Manipulation. IEEE-ASME Trans. Mechatron. 2023, 28, 104–115. [Google Scholar] [CrossRef]
- Marchal-Crespo, L.; Reinkensmeyer, D.J. Review of control strategies for robotic movement training after neurologic injury. J. Neuroeng. Rehabil. 2009, 6, 20. [Google Scholar] [CrossRef] [PubMed]
- Lin, H.; Bao, M.; Kang, C. A Spatiotemporal Deep Learning-Based Multisource Data Analytics Framework for Basketball Game. IEEE Access 2024, 12, 73066–73078. [Google Scholar] [CrossRef]
- Mayeda, H.; Yoshida, K.; Osuka, K. Base Parameters of Manipulator Dynamic Models. IEEE Trans. Robot. Autom. 1990, 6, 312–321. [Google Scholar] [CrossRef]
- Tang, Q.; Wu, S.; Tu, H.; Chu, Z. Force Control in Flexible Object Grasping Based on Position Predictor. In Proceedings of the 2019 IEEE International Conference on Robotics and Biomimetics, Dali, China, 6–8 December 2019; IEEE: Piscataway, NJ, USA, 2019; pp. 102–107. [Google Scholar]
- Siddiqui, M.S.; Coppola, C.; Solak, G.; Jamone, L. Grasp Stability Prediction for a Dexterous Robotic Hand Combining Depth Vision and Haptic Bayesian Exploration. Front. Robot. AI 2021, 8, 703869. [Google Scholar] [CrossRef] [PubMed]
- Tang, Q.; Yang, H.; Wang, W.; Yu, M.; Zhong, L.; Ma, B.; Yue, W. Grasp Compliant Control Using Adaptive Admittance Control Methods for Flexible Objects. In Intelligent Robotics and Applications: 16th International Conference, ICIRA 2023, Proceedings. Lecture Notes in Computer Science, Lecture Notes in Artificial Intelligence; Springer: Berlin/Heidelberg, Germany, 2023; Volume 14267, pp. 515–525. [Google Scholar] [CrossRef]
















| Grasping Object | Mode | Expectation Force | RMSE | Max Error | Mean Error | Standard Deviation |
|---|---|---|---|---|---|---|
| Sponge block | LIA + MPC | 2 N | 0.4209 | 1.0489 | 0.2150 | 0.3147 |
| changing | 0.8068 | 2.2061 | 0.4337 | 0.6955 | ||
| AC | 2 N | 0.9767 | 1.6973 | 0.5359 | 0.7742 | |
| changing | 1.7685 | 3.6155 | −0.9912 | 0.6063 | ||
| LIA + PID | 2 N | 0.5103 | 1.0300 | 0.2495 | 0.4701 | |
| changing | 1.7726 | 4.3854 | 0.2797 | 1.5344 | ||
| Cotton doll | LIA + MPC | 2 N | 0.4500 | 1.3273 | 0.1816 | 0.2494 |
| changing | 1.3537 | 3.9274 | 0.5565 | 0.7517 | ||
| AC | 2 N | 0.8077 | 2.4817 | 0.6917 | 0.5512 | |
| changing | 1.5234 | 2.5414 | 1.0891 | 0.7839 | ||
| LIA + PID | 2 N | 0.9131 | 1.5438 | 0.3532 | 0.8556 | |
| changing | 1.6440 | 4.5594 | 0.7784 | 1.2610 | ||
| Silica gel column | LIA + MPC | 3 N | 1.0317 | 2.0128 | −0.2345 | 0.6727 |
| changing | 1.2478 | 2.2787 | −0.6884 | 1.0170 | ||
| AC | 3 N | 1.9314 | 2.7228 | 1.1697 | 0.9033 | |
| changing | 2.6348 | 4.9876 | 0.7574 | 0.7078 | ||
| LIA + PID | 3 N | 1.0837 | 2.2783 | 0.6289 | 1.0410 | |
| changing | 2.0797 | 4.3806 | 0.3062 | 1.4421 | ||
| Empty plastic water bottle | LIA + MPC | 3 N | 1.3085 | 3.8693 | −0.0790 | 0.7569 |
| changing | 1.1668 | 3.3395 | 0.6302 | 1.0801 | ||
| AC | 3 N | 1.7759 | 2.7886 | 1.0125 | 0.5789 | |
| changing | 1.1655 | 3.1328 | 0.4134 | 1.1949 | ||
| LIA + PID | 3 N | 1.2319 | 2.4915 | 0.6946 | 0.9461 | |
| changing | 1.8022 | 3.8478 | 0.9297 | 1.3424 |
| Name | Type | Author/Company | Number of DOFs | Number of Actuators |
|---|---|---|---|---|
| Our prosthetic hand | Rigid–flexible coupled prosthetic hand | our study | 14 | 10 |
| Xuan’s prosthetic hand | Rigid–flexible coupled prosthetic hand | Xuan, S et al. [5] | 5 | 5 |
| OLYMPIC Hand | Rigid–flexible coupled prosthetic hand | Liow, L et al. [6] | 5 | 5 |
| Schunk SVH | Rigid dexterous hand | SCHUNK (Stuttgart, Germany) | 9 | 9 |
| Shadow hand | Tendons drive dexterous hands | Shadow Robot (London, UK) | 24 | 20 |
| SoftHand-A hand | Underactuated dexterous hand | Li, H et al. [4] | 5 | 2 |
| QB SoftHand | Underactuated dexterous hand | qb robotics (Cascina, Italy) | 19 | 2 |
Disclaimer/Publisher’s Note: The statements, opinions and data contained in all publications are solely those of the individual author(s) and contributor(s) and not of MDPI and/or the editor(s). MDPI and/or the editor(s) disclaim responsibility for any injury to people or property resulting from any ideas, methods, instructions or products referred to in the content. |
© 2025 by the authors. Licensee MDPI, Basel, Switzerland. This article is an open access article distributed under the terms and conditions of the Creative Commons Attribution (CC BY) license (https://creativecommons.org/licenses/by/4.0/).
Share and Cite
Wu, L.; Wu, Q. An Adaptive Grasping Multi-Degree-of-Freedom Prosthetic Hand with a Rigid–Flexible Coupling Structure. Sensors 2025, 25, 6034. https://doi.org/10.3390/s25196034
Wu L, Wu Q. An Adaptive Grasping Multi-Degree-of-Freedom Prosthetic Hand with a Rigid–Flexible Coupling Structure. Sensors. 2025; 25(19):6034. https://doi.org/10.3390/s25196034
Chicago/Turabian StyleWu, Longhan, and Qingcong Wu. 2025. "An Adaptive Grasping Multi-Degree-of-Freedom Prosthetic Hand with a Rigid–Flexible Coupling Structure" Sensors 25, no. 19: 6034. https://doi.org/10.3390/s25196034
APA StyleWu, L., & Wu, Q. (2025). An Adaptive Grasping Multi-Degree-of-Freedom Prosthetic Hand with a Rigid–Flexible Coupling Structure. Sensors, 25(19), 6034. https://doi.org/10.3390/s25196034

