A Novel Theoretical Expression for the Impedance of a Ferrite-Loaded CW Illuminator
Abstract
1. Introduction
2. Review of the Classical Theory of a Circular Loop
2.1. The Origin of the Problem
2.2. The Impedance of a Circular Loop Without Loads
2.3. The Impedance of a Circular Loop Loaded with Ferrite Material
3. Analysis of the Internal Impedance
3.1. The Dispersion Characteristic of Ferrites
- domain-wall motion magnetic susceptibility.
 - spin motion magnetic susceptibility.
 - static magnetic susceptibility for domain-wall component.
 - static magnetic susceptibility for spin component.
 - resonance frequency of domain-wall component.
 - resonance frequency of spin component.
 
3.2. Comparison of the Surface and Ferrite Impedance
4. Validations of the Proposed Impedance Formulation
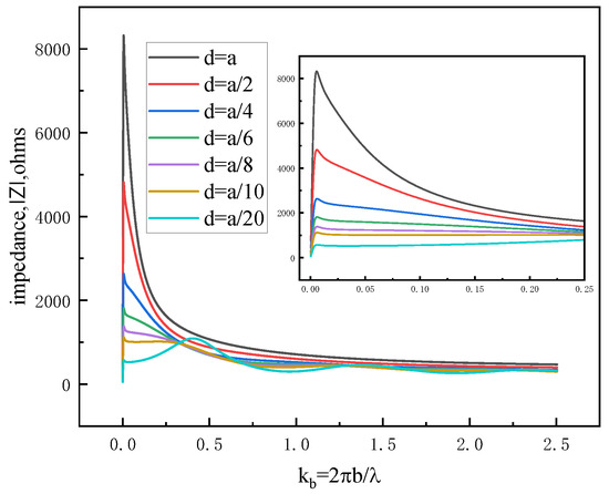
4.1. Evaluation of the Loop Impedance with Ferrite Loads
4.2. Comparison Between Theoretical and Simulated Impedance of the Ferrite-Loaded Loop
5. Conclusions
Author Contributions
Funding
Institutional Review Board Statement
Informed Consent Statement
Data Availability Statement
Acknowledgments
Conflicts of Interest
References
- Song, C.; Wu, Z. A Loop Antenna Array with an Enlarged Near-Field Interrogation Zone for UHF RFID Near-Field and Far-Field Applications. IEEE Trans. Antennas Wirel. Propag. Lett. 2022, 21, 1985–1989. [Google Scholar] [CrossRef]
 - Pavel, T.M.; Irina, D.; Michail, V.O.; Irina, V. Electrically Small Loop Antennas for RFID Applications. IEEE Trans. Antennas Wirel. Propag. Lett. 2015, 14, 1786–1789. [Google Scholar]
 - Song, C.; Wu, Z. A Reading Range- and Frequency-Reconfigurable Antenna for Near-Field and Far-Field UHF RFID Applications. Sensors 2025, 25, 408. [Google Scholar] [CrossRef]
 - Hernandez, D.; Nam, T.; Lee, E.; Han, Y.; Ryu, Y.; Chung, J.-Y.; Kim, K.-N. Simulation Design of an Elliptical Loop-Microstrip Array for Brain Lobe Imaging with an 11.74 Tesla MRI System. Sensors 2025, 25, 4021. [Google Scholar] [CrossRef] [PubMed]
 - Asfour, R.; Khamas, S.K.; Ball, E.A. Cost-Effective Design of Polarization and Bandwidth Reconfigurable Millimeter-Wave Loop Antenna. Sensors 2023, 23, 9628. [Google Scholar] [CrossRef]
 - Mohamed, M.; Konstanty, B.; Beadaa, M.; Amin, A. Wireless Power Link Based on Inductive Coupling for Brain Implantable Medical Devices. IEEE Antennas Wirel. Propag. Lett. 2018, 17, 160–163. [Google Scholar]
 - Lee, W.S.; Oh, K.S.; Yu, J.W. Field Analysis and Measurement of Antiparallel Resonant Loop for Wireless Charging. IEEE Antennas Wirel. Propag. Lett. 2015, 14, 1459–1462. [Google Scholar] [CrossRef]
 - Parise, M. An Exact Series Representation for the EM Field from a Circular Loop Antenna on a Lossy Half-Space. IEEE Antennas Wirel. Propag. Lett. 2013, 13, 23–26. [Google Scholar] [CrossRef]
 - de Vos, S.J.; Cosoli, S.; Munroe, J. The Traveling Wave Loop Antenna: A Terminated Wire Loop Aerial for Directional High-Frequency Ocean RADAR Transmission. Remote Sens. 2020, 12, 2800. [Google Scholar] [CrossRef]
 - Mauro, P.; Daniele, R.; Giulio, A. Loop Impedance of Single-Turn Circular Coils Lying on Conducting Media. IEEE Trans. Electromagn. Compat. 2022, 64, 580–584. [Google Scholar]
 - Storer, J.E. Impedance of thin-wire loop antennas. Trans. Am. Inst. Electr. Eng. 1956, 75, 606–619. [Google Scholar] [CrossRef]
 - Wu, W.T. Theory of the Thin Circular Loop Antenna. J. Math. Phys. 1962, 3, 1301–1304. [Google Scholar] [CrossRef]
 - Iizuka, K. The circular loop antenna multiloaded with positive and negative resistors. IEEE Trans. Antennas Propag. 1965, 13, 7–20. [Google Scholar] [CrossRef]
 - Pendry, J.B.; Holden, A.J.; Robbins, D.J. Magnetism from conductors and enhanced nonlinear phenomena. IEEE Trans. Microw. Theory Tech. 1999, 47, 2075–2084. [Google Scholar] [CrossRef]
 - Hanson, G.W. On the applicability of the surface impedance integral equation for optical and near infrared copper dipole antennas. IEEE Trans. Antennas Propag. 2006, 54, 3677–3685. [Google Scholar] [CrossRef]
 - DeAngelis, C. Extending antenna theory to the optical domain. In Proceedings of the 2009 European Microwave Conference, Rome, Italy, 29 September–1 October 2009; pp. 810–813. [Google Scholar]
 - McKinley, A.F.; White, T.P.; Maksymov, I.S.; Catchpole, K.R. The analytical basis for the resonances and anti-resonances of loop antennas and meta-material ring resonators. J. Appl. Phys. 2012, 112, 094911. [Google Scholar] [CrossRef]
 - McKinley, A.F.; White, T.P.; Catchpole, K.R. Theory of the circular closed loop antenna in the terahertz, infrared, and optical regions. J. Appl. Phys. 2013, 114, 044317. [Google Scholar] [CrossRef]
 - Arnold, F.M. Theory of impedance loaded loop antennas and nanorings from RF to optical wavelengths. IEEE Trans. Antennas Propag. 2017, 65, 2276–2281. [Google Scholar] [CrossRef]
 - Zhou, Q.; Zhou, Z.; Gu, Y.; Sheng, M.; Hu, P.; Xiao, Y. An Algorithm for Fast Simulation of CW Illuminator. IEEE Trans. Electromagn. Compat. 2022, 64, 2104–2111. [Google Scholar] [CrossRef]
 - Pantoja, M.F.; Chaky, R.J.; McKinley, A.F.; Werner, D.H. Essential Characteristics of Thin-Wire Elliptical Loops. IEEE Trans. Antennas Propag. 2024, 72, 1107–1117. [Google Scholar] [CrossRef]
 - Baum, C.E.; Prather, W.D. Topology for Transmitting Low-Level Signals from Ground Level to Antenna Excitation Position in Hybrid EMP Simulators. Sensor and Simulation Notes. 1991, Note 333. Available online: https://summa.unm.edu/notes/ (accessed on 18 August 2025).
 - Prather, W.D.; Rooney, M.R.; Cafferky, J.; Rynne, T.M.; Ortiz, L.; Anderson, G. Swept CW testing of shielded systems. In Proceedings of the 2012 IEEE International Symposium on Electromagnetic Compatibility, Montreal, QC, Canada, 6–10 August 2012; pp. 657–662. [Google Scholar]
 - Wu, T.; King, R. The cylindrical antenna with nonreflecting resistive loading. IEEE Trans. Antennas Propag. 1965, 13, 369–373. [Google Scholar] [CrossRef]
 - Prather, W.D. Ellipticus Ferrite/Resistive Loading. Measurement Notes. 1993, Note 41. Available online: https://summa.unm.edu/notes/ (accessed on 18 August 2025).
 - Takanori, T.; Masahiro, U.; Toshihiko, T.; Tatsuya, N.; Kenichi, H. Frequency dispersion and temperature variation of complex permeability of Ni-Zn ferrite composite materials. J. Appl. Phys. 1995, 78, 3983–3991. [Google Scholar] [CrossRef]
 - Takanori, T.; Tatsuya, N.; Kenichi, H. Magnetic field effect on the complex permeability spectra in a Ni–Zn ferrite. J. Appl. Phys. 1997, 82, 3068–3071. [Google Scholar] [CrossRef]
 - Novotny, L.; Hecht, B. Surface plasmons. In Principles of Nano-Optics, 2nd ed; Cambridge University Press: Cambridge, UK, 2012; pp. 374–376. [Google Scholar]
 - Etchegoin, P.G.; Le Ru, E.C.; Meyer, M. An analytic model for the optical properties of gold. J. Chem. Phys. 2006, 125, 164705. [Google Scholar] [CrossRef] [PubMed]
 






| Ferrite Material | Density (g/cc) | Domain-Wall Component | Spin Component | ||||
|---|---|---|---|---|---|---|---|
| (MHz) | (MHz) | ||||||
| Mn-Zn Ferrite | 4.90 | 3282 | 2.5 | 9.3 × 106 | 1438 | 6.3 | 1.28 | 
| Ni-Zn Ferrite | 5.20 | 485 | 2.8 | 3.5 × 106 | 1130 | 1100 | 161 | 
Disclaimer/Publisher’s Note: The statements, opinions and data contained in all publications are solely those of the individual author(s) and contributor(s) and not of MDPI and/or the editor(s). MDPI and/or the editor(s) disclaim responsibility for any injury to people or property resulting from any ideas, methods, instructions or products referred to in the content.  | 
© 2025 by the authors. Licensee MDPI, Basel, Switzerland. This article is an open access article distributed under the terms and conditions of the Creative Commons Attribution (CC BY) license (https://creativecommons.org/licenses/by/4.0/).
Share and Cite
Chen, P.; Qin, Y.; Wu, F.; Zhang, G.; Xu, Q.; Li, T.; Lu, H. A Novel Theoretical Expression for the Impedance of a Ferrite-Loaded CW Illuminator. Sensors 2025, 25, 5285. https://doi.org/10.3390/s25175285
Chen P, Qin Y, Wu F, Zhang G, Xu Q, Li T, Lu H. A Novel Theoretical Expression for the Impedance of a Ferrite-Loaded CW Illuminator. Sensors. 2025; 25(17):5285. https://doi.org/10.3390/s25175285
Chicago/Turabian StyleChen, Peng, Yangzhen Qin, Fulin Wu, Guangshuo Zhang, Qi Xu, Tianao Li, and Hongmin Lu. 2025. "A Novel Theoretical Expression for the Impedance of a Ferrite-Loaded CW Illuminator" Sensors 25, no. 17: 5285. https://doi.org/10.3390/s25175285
APA StyleChen, P., Qin, Y., Wu, F., Zhang, G., Xu, Q., Li, T., & Lu, H. (2025). A Novel Theoretical Expression for the Impedance of a Ferrite-Loaded CW Illuminator. Sensors, 25(17), 5285. https://doi.org/10.3390/s25175285
        
