Low-PAPR ASE-DMT Using Constellation Extension for Optical Wireless Communications
Abstract
1. Introduction
- Given the intricate multi-layered superposition structure inherent in ASE-DMT, a progressive constellation extension algorithm is developed to effectively reduce the PAPR in the proposed LP-ASE-DMT. Compared to the conventional schemes, the proposed LP-ASE-DMT enables multi-level constellation extension, thereby enhancing the degrees of freedom to achieve more effective PAPR suppression. Moreover, the proposed scheme relies on a low-complexity search mechanism, which does not requires the computationally intensive convex optimization.
- Furthermore, a corresponding receiver architecture for LP-ASE-DMT is designed, wherein a low-complexity modulo operation is employed to eliminate the impact of constellation extension. Notably, this design does not significantly increase the overall receiver complexity compared to the original ASE-DMT architecture.
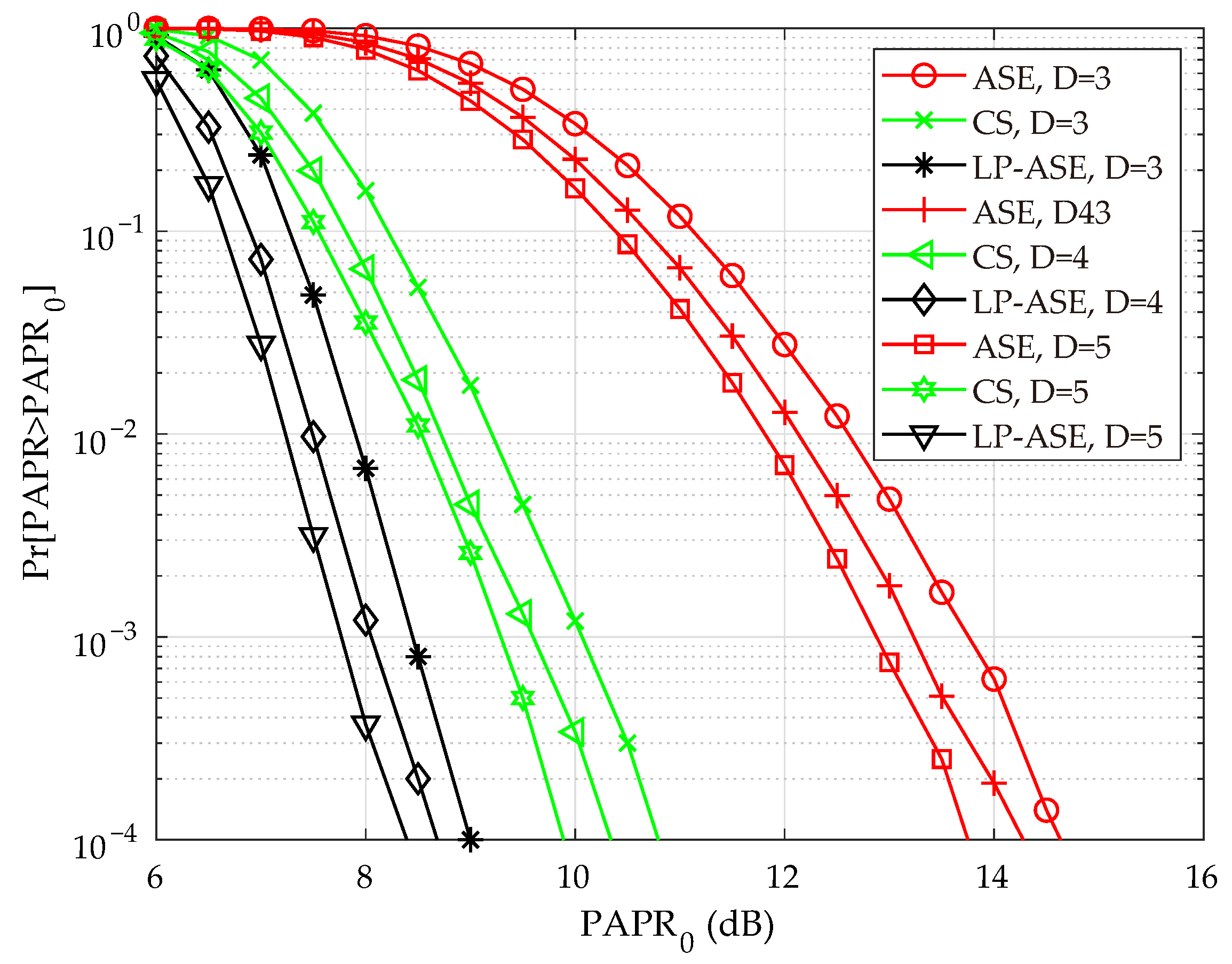
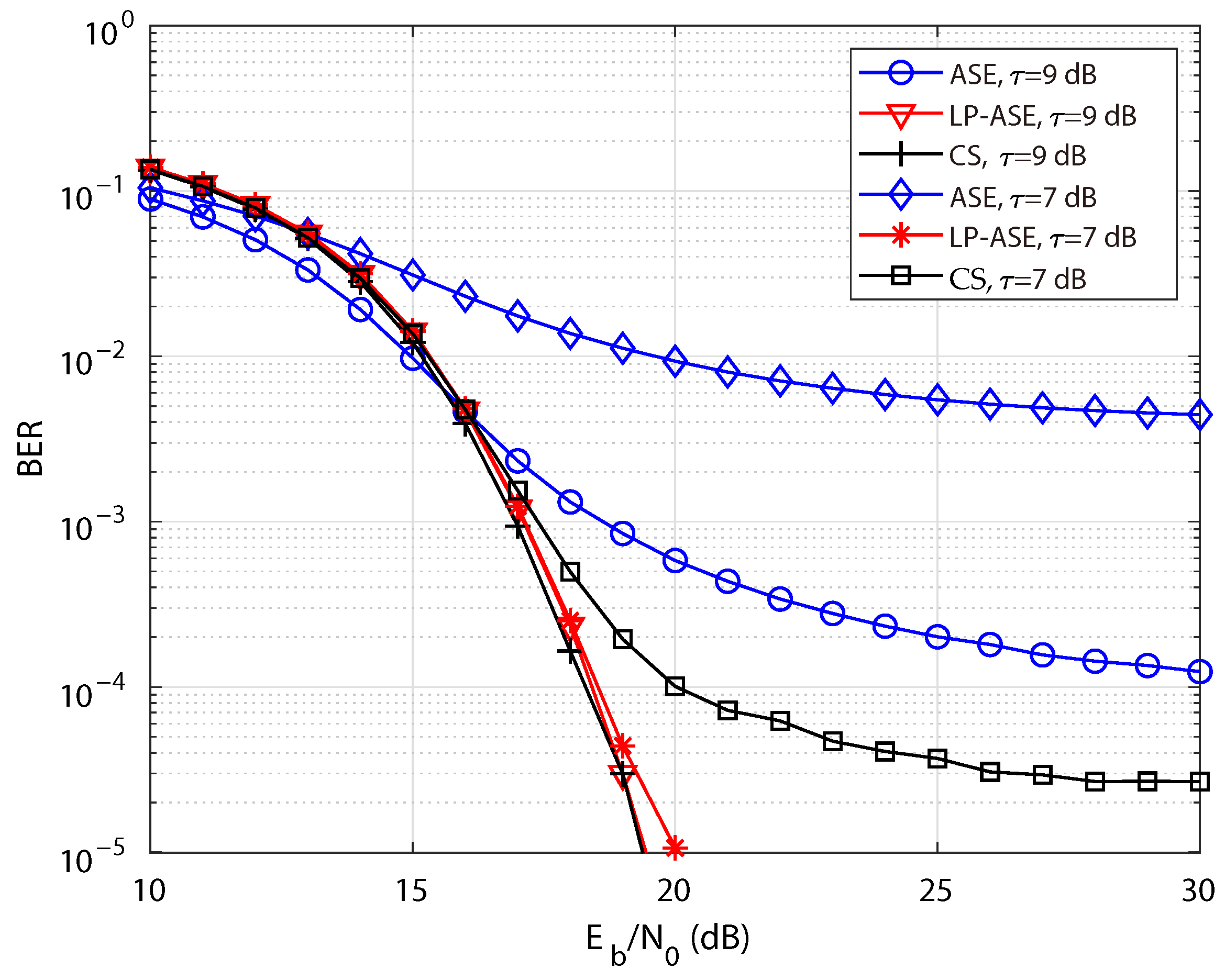
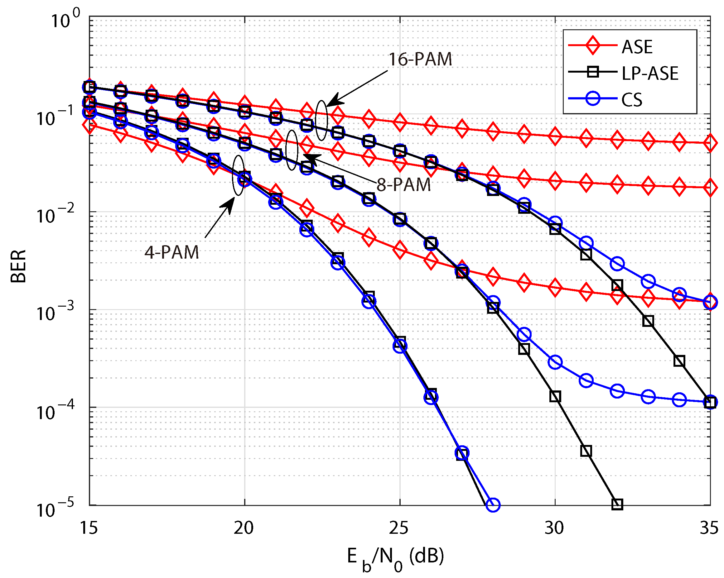
- Simulation results demonstrate that the proposed LP-ASE-DMT achieves a substantial PAPR reduction of up to 5.5 dB at a probability of , significantly outperforming the conventional ASE-DMT scheme. Benefiting from its reduced PAPR, the proposed method exhibits superior performance under nonlinear transmission conditions, including lower BER, improved power efficiency, and enhanced spectral efficiency, thereby considerably improving the reliability and practicality of ASE-DMT in nonlinear OWC systems.
2. Augmented Spectral Efficiency Discrete Multitone
3. Low-PAPR ASE-DMT
3.1. Design of Low-PAPR ASE-DMT
| Algorithm 1 PAPR reduction algorithm for ASE-DMT based on constellation extension. |
3.2. Complexity Analysis
4. Receiver Design of LP-ASE-DMT
5. Simulation Results and Discussion
6. Conclusions
Author Contributions
Funding
Institutional Review Board Statement
Informed Consent Statement
Data Availability Statement
Conflicts of Interest
References
- Tang, P.; Yin, Y.; Tong, Y.; Liu, S.; Li, L.; Jiang, T.; Wang, Q.; Chen, M. Channel characterization and modeling for VLC-IoE applications in 6G: A survey. IEEE Internet Things J. 2024, 11, 34872–34895. [Google Scholar] [CrossRef]
- Zhu, Y.; Wei, Y.; Chen, C.; Chi, N.; Shi, J. Minimalist deployment of neural network equalizers in a bandwidth-limited optical wireless communication system with knowledge distillation. Sensors 2024, 24, 1612. [Google Scholar] [CrossRef]
- Celik, A.; Romdhane, I.; Kaddoum, G.; Eltawil, A.M. A top-down survey on optical wireless communications for the internet of things. IEEE Commun. Surv. Tutor. 2023, 25, 1–45. [Google Scholar] [CrossRef]
- Manie, Y.C.; Yao, C.-K.; Yeh, T.-Y.; Teng, Y.-C.; Peng, P.-C. Laser-based optical wireless communications for internet of things (IoT) application. IEEE Internet Things J. 2022, 9, 24466–24476. [Google Scholar] [CrossRef]
- Bariah, L.; Elamassie, M.; Muhaidat, S.; Sofotasios, P.C.; Uysal, M. Non-orthogonal multiple access-based underwater VLC systems in the presence of turbulence. IEEE Photonics J. 2022, 14, 1–7. [Google Scholar] [CrossRef]
- Pinto, F.B.F.; de Souza, L.C.; Andrade, T.P.V.; Lima, E.S.; Silva, L.G.; Portelinha, F.M.; Anderson, E.L.; Cerqueira, A. Power-over-fiber-based optical wireless communication systems towards 6G. J. Opt. Commun. Netw. 2024, 16, D86–D95. [Google Scholar] [CrossRef]
- Zhang, H.; Yang, A.; Xu, H.; Ji, S.; Feng, L.; Zhang, Z.; Zhang, M. 16QAM-OFDM VLC system based on frequency domain precompensation and DNN post-equalization. IEEE Internet Things J. 2025, 12, 12278–12286. [Google Scholar] [CrossRef]
- Miriyala, G.; Mallaiah, R.; Sathyaprasad, A.K.; Vejandla, K.; Vakamulla, V.M. A low-complex and power-efficient optical OFDM for VLC systems. J. Lightw. Technol. 2025, 43, 4156–4164. [Google Scholar] [CrossRef]
- Jian, Y.-H.; Wang, C.-C.; Chow, C.-W.; Gunawan, W.H.; Wei, T.-C.; Liu, Y.; Yeh, C.-H. Optical beam steerable orthogonal frequency division multiplexing (OFDM) non-orthogonal multiple access (NOMA) visible light communication using spatial-light modulator based reconfigurable intelligent surface. IEEE Photonics J. 2023, 15, 1–8. [Google Scholar] [CrossRef]
- Yuan, C.; Jiang, Y.; Zhu, X.; Liang, C. Robust non-redundant pam-coupled U-OFDM OWC systems with LED nonlinearity. IEEE Trans. Commun. 2024, 72, 5704–5719. [Google Scholar] [CrossRef]
- Gunawan, W.H.; Liu, Y.; Chow, C.-W.; Chang, Y.-H.; Peng, C.-W.; Yeh, C.-H. Two-level laser diode color-shift-keying orthogonal-frequency-division-multiplexing (LD-CSK-OFDM) for optical wireless communications (OWC). J. Lightw. Technol. 2021, 39, 3088–3094. [Google Scholar] [CrossRef]
- Zhang, X.; Babar, Z.; Petropoulos, P.; Haas, H.; Hanzo, L. The evolution of optical OFDM. IEEE Commun. Surv. Tutor. 2021, 23, 1430–1457. [Google Scholar] [CrossRef]
- Islim, M.S.; Haas, H. Augmenting the spectral efficiency of enhanced PAM-DMT-based optical wireless communications. Opt. Exp. 2016, 24, 11932–11949. [Google Scholar] [CrossRef]
- Wang, Q.; Song, B.; Corcoran, B.; Zhuang, L.; Lowery, A.J. Real-time demonstration of augmented-spectral-efficiency DMT transmitter using a single IFFT. J. Lightw. Technol. 2017, 35, 4796–4803. [Google Scholar] [CrossRef]
- Liu, Y.; Li, Y.; Ji, X.; Li, B. High-resolution dimmable augmented spectral-efficiency discrete multi-tone architecture based on hybrid pulse-width modulation in visible-light communications. Sensors 2025, 25, 2385. [Google Scholar] [CrossRef]
- Nguyen, T.K.; Nguyen, H.H.; Salt, J.E.; Howlett, C. Optimization of partial transmit sequences for PAPR reduction of OFDM signals without side information. IEEE Trans. Broadcast. 2023, 69, 313–321. [Google Scholar] [CrossRef]
- Liu, X.; Zhang, X.; Zhang, L.; Xiao, P.; Wei, J.; Zhang, H.; Leung, V.C.M. PAPR reduction using iterative clipping/filtering and ADMM approaches for OFDM-based mixed-numerology systems. IEEE Trans. Wirel. Commun. 2020, 19, 2586–2600. [Google Scholar] [CrossRef]
- Wang, B.; Si, Q.; Jin, M. A novel tone reservation scheme based on deep learning for PAPR reduction in OFDM systems. IEEE Commun. Lett. 2020, 24, 1271–1274. [Google Scholar] [CrossRef]
- Zhang, S.-Y.; Shahrrava, B.; Zhang, Y.-X.; Zhuo, Z.-H. A permutated partial transmit sequence scheme for PAPR reduction in polar-coded OFDM-IM systems. IEEE Trans. Veh. Technol. 2023, 72, 15867–15881. [Google Scholar] [CrossRef]
- Zhang, S.-Y.; Shahrrava, B. A SLM scheme for PAPR reduction in polar coded OFDM-IM systems without using side information. IEEE Trans. Broadcast. 2021, 67, 463–472. [Google Scholar] [CrossRef]
- Li, Z.; Jin, N.; Wang, X.; Wei, J. Extreme learning machine-based tone reservation scheme for OFDM systems. IEEE Wirel. Commun. Lett. 2021, 10, 30–33. [Google Scholar] [CrossRef]
- Mapfumo, I.; Shongwe, T. PAPR reduction using selective mapping of an ACO-OFDM hybrid PLC/VLC system for IoT applications. IEEE Access 2024, 12, 190809–190820. [Google Scholar] [CrossRef]
- Hu, M.; Wang, W.; Cheng, W.; Zhang, H. Initial probability adaptation enhanced cross-entropy-based tone injection scheme for PAPR reduction in OFDM systems. IEEE Trans. Veh. Technol. 2021, 70, 6674–6683. [Google Scholar] [CrossRef]
- Zhang, H.; Yuan, Y.; Xu, W. PAPR reduction for DCO-OFDM visible light communications via semidefinite relaxation. IEEE Photonics Technol. Lett. 2014, 26, 1718–1721. [Google Scholar] [CrossRef]
- Hei, Y.; Liu, J.; Li, W.; Xu, X.; Chen, R.T. Branch and bound methods based tone injection schemes for PAPR reduction of DCO-OFDM visible light communications. Opt. Exp. 2017, 25, 595–604. [Google Scholar] [CrossRef] [PubMed]
- Li, B.; Xu, W.; Zhang, H.; Zhao, C.; Hanzo, L. PAPR reduction for hybrid ACO-OFDM aided IM/DD optical wireless vehicular communications. IEEE Trans. Veh. Technol. 2017, 66, 9561–9566. [Google Scholar] [CrossRef]
- Zhang, X.; Wang, Q.; Zhang, R.; Chen, S.; Hanzo, L. Performance analysis of layered ACO-OFDM. IEEE Access 2017, 5, 18366–18381. [Google Scholar] [CrossRef]
- Nesterov, Y.; Nemirovskii, A. Interior-point polynomial algorithms in convex programming. In Studies in Applied Mathematics; SIAM: Philadelphia, PA, USA, 1994; pp. 1–45. ISBN 9780898713197. [Google Scholar] [CrossRef]
- Wilson, S.K.; Holliday, J. Scheduling methods for multi-user optical wireless asymmetrically-clipped OFDM. J. Commun. Netw. 2011, 13, 655–663. [Google Scholar] [CrossRef]
- Xu, W.; Wu, M.; Zhang, H.; You, X.; Zhao, C. ACO-OFDM-specified recoverable upper clipping with efficient detection for optical wireless communications. IEEE Photonics J. 2014, 6, 1–17. [Google Scholar] [CrossRef]









Disclaimer/Publisher’s Note: The statements, opinions and data contained in all publications are solely those of the individual author(s) and contributor(s) and not of MDPI and/or the editor(s). MDPI and/or the editor(s) disclaim responsibility for any injury to people or property resulting from any ideas, methods, instructions or products referred to in the content. |
© 2025 by the authors. Licensee MDPI, Basel, Switzerland. This article is an open access article distributed under the terms and conditions of the Creative Commons Attribution (CC BY) license (https://creativecommons.org/licenses/by/4.0/).
Share and Cite
Wu, Y.; Li, Y.; Li, B. Low-PAPR ASE-DMT Using Constellation Extension for Optical Wireless Communications. Sensors 2025, 25, 5109. https://doi.org/10.3390/s25165109
Wu Y, Li Y, Li B. Low-PAPR ASE-DMT Using Constellation Extension for Optical Wireless Communications. Sensors. 2025; 25(16):5109. https://doi.org/10.3390/s25165109
Chicago/Turabian StyleWu, Yue, Yiding Li, and Baolong Li. 2025. "Low-PAPR ASE-DMT Using Constellation Extension for Optical Wireless Communications" Sensors 25, no. 16: 5109. https://doi.org/10.3390/s25165109
APA StyleWu, Y., Li, Y., & Li, B. (2025). Low-PAPR ASE-DMT Using Constellation Extension for Optical Wireless Communications. Sensors, 25(16), 5109. https://doi.org/10.3390/s25165109

