Micro Orthogonal Fluxgate Sensor Fabricated with Amorphous CoZrNb Film
Abstract
1. Introduction
2. Experimental Method
3. Results and Discussion
3.1. Improvement of Magnetic Properties of Amorphous CoZrNb Films
3.2. Prevention of Disconnection and Delamination of the Magnetic Film
- Disconnection of the magnetic film at step edges due to poor step coverage in the multilayer thin film structure.
- Delamination of the magnetic film from the SiO2 layer during heat treatment caused by poor adhesion between layers.
- Mechanical damage during etching due to a lack of process separation, resulting in damage to neighboring layers.
- Step coverage was improved by adjusting the sputtering gun angle to 30° and rotating the substrate at 12 rpm without altering the deposition conditions.
- Adhesion was enhanced by introducing a 5 nm Ta layer that forms stable Ta/TaOx interfaces with the SiO2 substrate.
- O2 plasma treatment prior to film deposition increased surface hydrophilicity and activation, further improving adhesion.
- A 30 nm thick Mo layer served as both an adhesion and barrier layer, protecting the Al from oxidation and etching damage during the RIE process.
- Film delamination was prevented by controlling the heating and cooling rates at 3 °C/min to minimize thermal shock to the device.
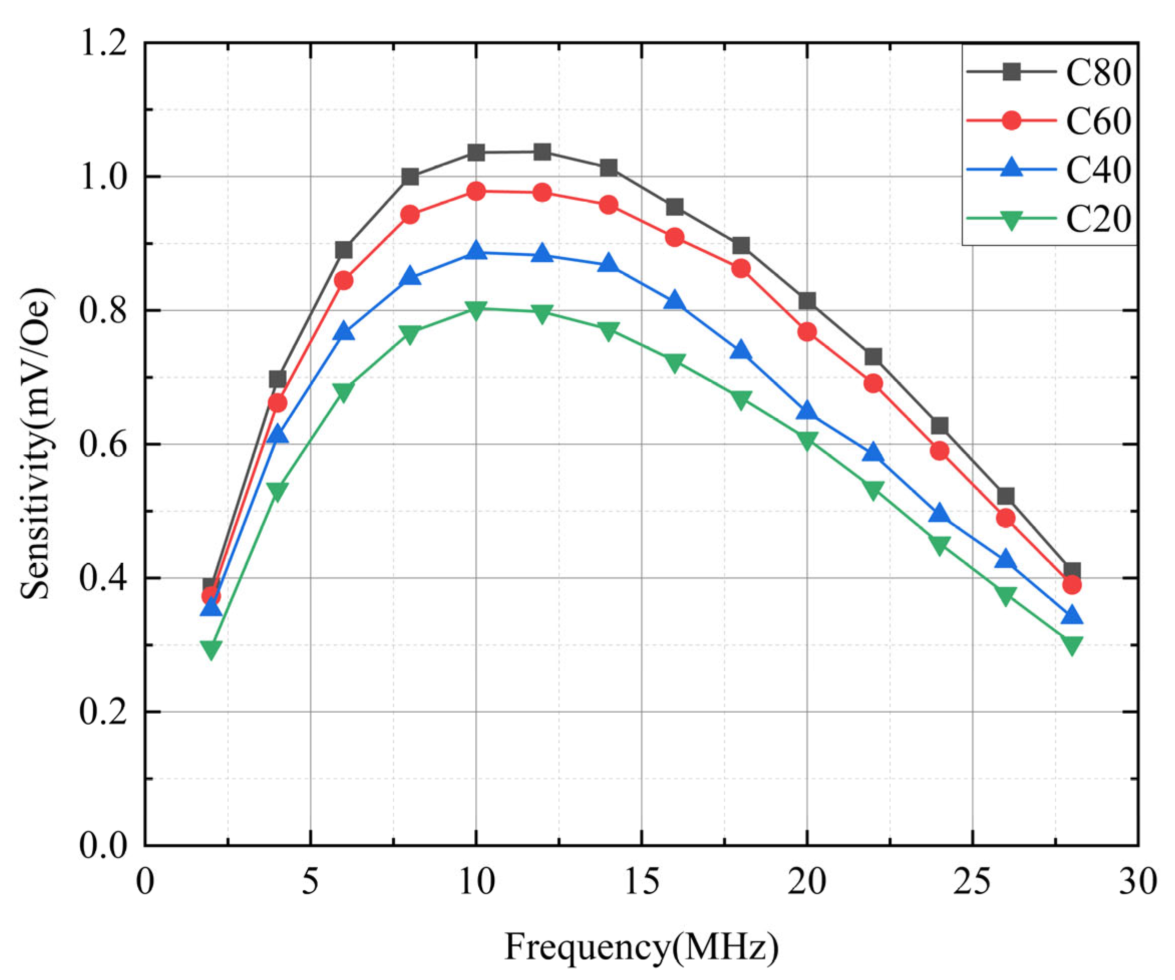
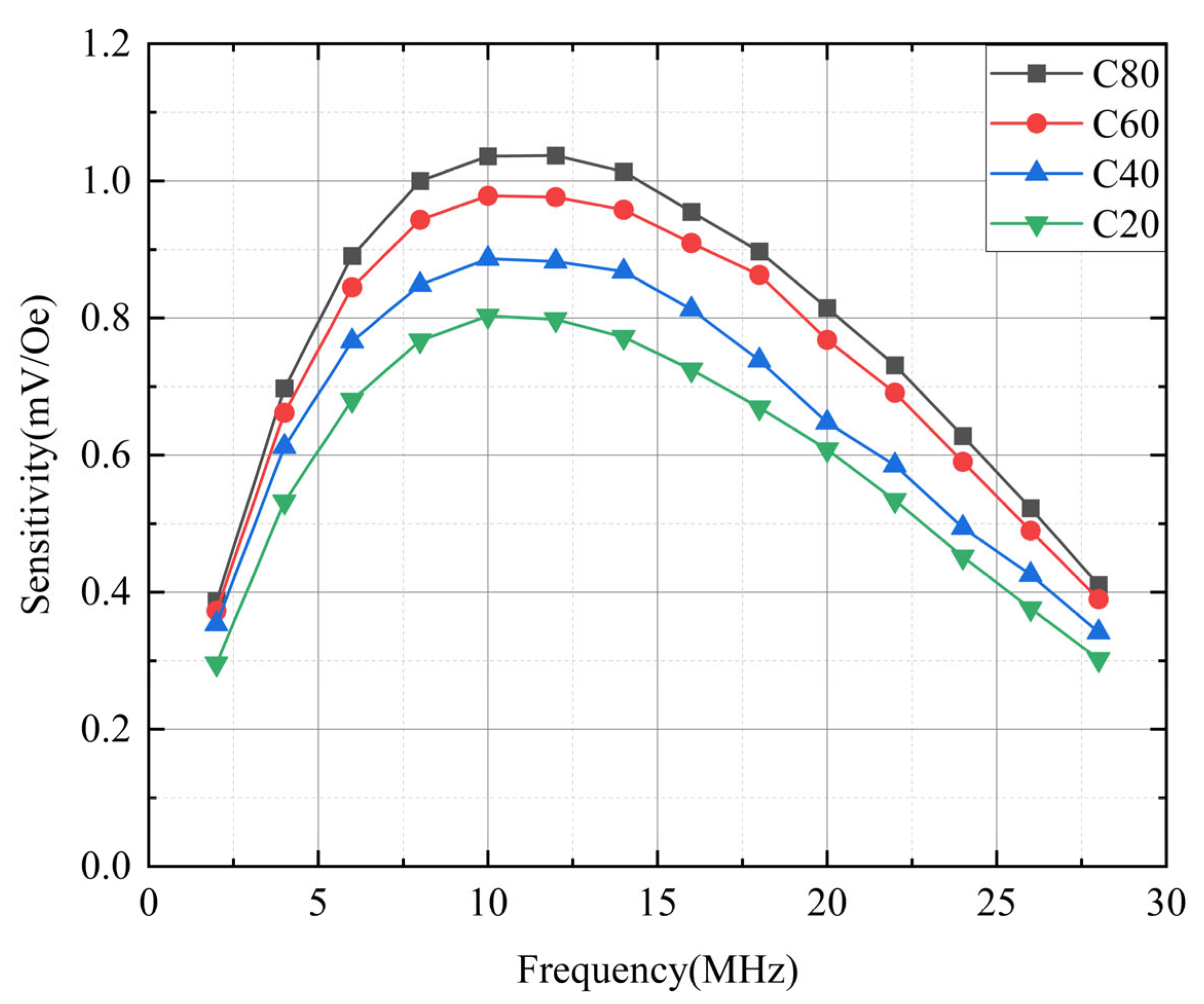
3.3. Output Characteristics of the Fabricated OFG Sensor
4. Conclusions
Author Contributions
Funding
Data Availability Statement
Conflicts of Interest
References
- Renaudin, V.; Combettes, C. Magnetic, Acceleration Fields and Gyro-scope Quaternion (MAGYQ)-Based Attitude Estimation with Smartphone Sensors for In-door Pedestrian Navigation. Sensors 2014, 14, 22864–22890. [Google Scholar] [CrossRef]
- He, S.; Shin, K.G. Geomagnetism for Smartphone-Based Indoor Localization: Challenges, Advances, and Comparisons. ACM Comput. Surv. 2017, 50, 1–37. [Google Scholar] [CrossRef]
- Zhang, C.; Zhang, Y.; Wang, X.; Meng, H. Study of Nonlinear Excitation Circuits for Fluxgate-Magnetometer. Sensors 2023, 23, 2618. [Google Scholar] [CrossRef]
- Kawahito, S.; Satoh, H.; Sutoh, M.; Tadokoro, Y. High-Resolution Micro-fluxgate Sensing Elements using Closely Coupled Coil Structures. Sens. Actuators A 1996, 54, 612–617. [Google Scholar] [CrossRef]
- Wang, Z.; Shen, Y.; Lei, C.; Wang, J.; Zhao, S.; Chen, J.; Chu, Z.; Gao, J. Highly-Sensitive MEMS Micro-fluxgate Magnetometer. IEEE Electron Device Lett. 2022, 43, 1327–1330. [Google Scholar] [CrossRef]
- Ma, Q.; Dai, Y.; Wu, T.; Chen, H.; Sun, X.; Lei, C. A Multidimensional integrated Micro Three-component Fluxgate Sensor based on Microelectromechanical System Technology. Sens. Actuators A Phys. 2024, 371, 115315. [Google Scholar] [CrossRef]
- Lei, J.; Lei, C.; Zhou, Y. Micro Fluxgate Sensor using Solenoid Coils Fabricated by MEMS Technology. Meas. Sci. Rev. 2012, 12, 286–289. [Google Scholar] [CrossRef]
- Guo, L.; Wang, C.; Zhi, S.; Feng, Z.; Lei, C.; Zhou, Y. Wide Linearity Range and Highly Sensitive MEMS-Based Micro-Fluxgate Sensor with Double-Layer Magnetic Core Made of Fe–Co–B Amorphous Alloy. Micromachines 2017, 8, 352. [Google Scholar] [CrossRef]
- Cui, Z.; Liu, C. Optimum Excitation Current of Fluxgate Based on Striped Ar-ray Iron Core. Sens. Mater. 2023, 35, 989–999. [Google Scholar]
- Lei, J.; Lei, C.; Zhou, Y. Fabrication and Characterization of a new MEMS Fluxgate Sensor with Nanocrystalline Magnetic core. Measurement 2012, 45, 535–540. [Google Scholar] [CrossRef]
- Semiconductor Industry Association. International Technology Roadmap for Semiconductors (ITRS), 2011th ed.; Semiconductor Industry Association: Washington, DC, USA, 2011. [Google Scholar]
- Fischer, A.C.; Forsberg, F.; Lapisa, M.; Bleiker, S.J.; Stemme, G.; Roxhed, N.-C.; Niklaus, F. Integrating MEMS and ICs. Microsyst. Nanoeng. 2015, 1, 15005. [Google Scholar] [CrossRef]
- Butler, J.T.; Bright, V.M.; Comtois, J.H. Multichip module packaging of microelectromechanical systems. Sens. Actuators A 1998, 70, 15–22. [Google Scholar] [CrossRef]
- Qu, H. CMOS MEMS Fabrication Technologies and Devices. Micromachines 2016, 7, 14. [Google Scholar] [CrossRef] [PubMed]
- Dressler, M.; Janosek, M.; Butta, M. Reduction of Magnetic Noise Limits of Orthogonal Fluxgate Sensor. AIP Adv. 2021, 11, 015347. [Google Scholar] [CrossRef]
- Priftis, P.; Angelopoulos, S.; Ktena, A.; Hristoforou, E. Development of a High-Sensitivity Orthogonal Fluxgate Sensor. J. Magn. Magn. Mater. 2024, 590, 171646. [Google Scholar] [CrossRef]
- Butta, M. Orthogonal Fluxgate in High Sensitivity Magnetometers; Grosz, A., Haji-Sheikh, M.J., Mukhopadhyay, S.C., Eds.; Springer: Berlin/Heidelberg, Germany, 2016; pp. 63–102. [Google Scholar]
- Heimfartha, T.; Mulato, M. Miniature Orthogonal Fluxgate Sensor in Rotation Magnetization Mode: Modeling and Characterization. Sens. Actuators A Phys. 2018, 279, 113–119. [Google Scholar] [CrossRef]
- Kim, Y.-H.; Kim, Y.; Yang, C.-S.; Shin, K.-H. Optimization of Operation Frequency of Orthogonal Fluxgate Sensor Fabricated with Co Based Amorphous Wire. J. Magn. 2013, 18, 159–162. [Google Scholar] [CrossRef][Green Version]
- Murata, N.; Karo, H.; Sasada, I.; Shimizu, T. Fundamental Mode Orthogonal Fluxgate Magnetometer Applicable for Measurements of DC and Low-Frequency Magnetic Fields. IEEE Sens. J. 2018, 18, 2705–2712. [Google Scholar] [CrossRef]
- Zhi, S.; Feng, Z.; Guo, L.; Lei, C.; Zhou, Y. Investigation of a Novel MEMS Orthogonal Fluxgate Sensor Fabricated with Co-based Amorphous Ribbon core. Sens. Actuators A 2017, 267, 121–126. [Google Scholar] [CrossRef]
- Guo, B.; Liu, S.; Yang, S.; Li, G.; Li, J.; Sun, X. Orthogonal micro-fluxgate with S-shape Excitation wire and 3D Solenoid Detection coil. Microsyst. Technol. 2014, 21, 1579–1586. [Google Scholar] [CrossRef]
- Zorlu, O.; Kejik, P.; Popovic, R.S. An Orthogonal Fluxgate-type Magnetic Microsensor with Electroplated Permalloy core. Sens. Actuators A 2007, 135, 43–49. [Google Scholar] [CrossRef]
- Hou, B.; Zhou, B.; Li, X.; Gao, Z.; Wei, Q.; Zhang, R. An Analog Interface Circuit for Capacitive Angle Encoder Based on a Capacitance Elimination Array and Synchronous Switch Demodulation Method. Sensors 2019, 19, 3116. [Google Scholar] [CrossRef] [PubMed]
- Linder, C.; Paratte, L.; Gretillat, M.-A.; Jaecklin, V.P.; de Rooij, N.F. Surface Micromachining. J. Micromech. Microeng. 1992, 2, 122–132. [Google Scholar] [CrossRef]
- Johnstone, R.W.; Parameswaran, M. An Introduction to Surface-Micromachining; Springer: Berlin/Heidelberg, Germany, 2004. [Google Scholar]
- Mendoza-Rincon, S.; Ospina-Arroyave, M.S.; Arias Mateus, D.F.; Escobar-Rincon, D.; Re-strepo-Parra, E. Substrate Rotation Effect Over Scaling Roughness Exponents in Zr Thin films grown by GLAD Technique. Appl. Surf. Sci. 2021, 559, 149660. [Google Scholar] [CrossRef]
- Poddar, N.P.; Chelvane, J.A.; Raja, M.M. Growth rate and Substrate Temperature Dependent Magnetic and Magneto-microstructural Properties of Sputtered Fe-Co-Al thin films. J. Magn. Magn. Mater. 2023, 587, 171362. [Google Scholar] [CrossRef]
- Li, X.W.; Song, C.; Yang, J.; Zeng, F.; Geng, K.W.; Pan, F. Thickness-dependent magnetization reversal in CoZrNb amorphous films. J. Magn. Magn. Mater. 2007, 315, 120–125. [Google Scholar] [CrossRef]
- Coïsson, M.; Barrera, G.; Celegato, F.; Tiberto, P.; Vinai, F. Soft Magnetic thin films: Influence of annealing on magnetic properties. J. Phys. Conf. Ser. 2012, 365, 012003. [Google Scholar] [CrossRef]
- Naili, M.; Suran, G.; Machizaud, F. The origin of the induced magnetic anisotropy in amorphous Co-M (M = Zr, Nb, Ti, Pt) thin films. J. Magn. Magn. Mater. 1992, 104–107, 1769–1771. [Google Scholar] [CrossRef]
- Kreiml, P.; Rauscha, M.; Terziyskaa, V.L.; Köstenbauer, H.; Win-kler, J.; Mitterer, C.; Cordill, M.J. Balancing the electro-mechanical and interfacial performance of Mo-based alloy films. Materialia 2020, 12, 100774. [Google Scholar] [CrossRef]
- Van Engelen, P.P.J.; Dirks, A.G. Electromigration Phenomena in Al-Si and Al-V-Si Thin Alloy Films. Thin Solid Film. 1990, 193–194, 999–1007. [Google Scholar] [CrossRef]
- Learn, A.J. Electromigration Effects in Aluminum Alloy Metallization. J. Electron. Mater. 1974, 3, 531–553. [Google Scholar] [CrossRef]
- Chen, D.-X.; Pardo, E.; Sanchez, A. Demagnetizing Factors for Rectangular Prisms. IEEE Trans. Magn. 2005, 41, 2077–2088. [Google Scholar] [CrossRef]
- Bozorth, R.M. Ferromagnetism; Wiley: New York, NA, USA, 2003; pp. 843–861. [Google Scholar]
- Viala, B.; Valls, O.; Gaud, P.; Aid, M.; Royet, A.S.; Cuchet, R.; Damiani, D.; Ledieu, M.; Acher, O. High Frequency Magnetic Properties of CoZrNb thin films Deposited by Dynamic Sputtering Technique for GHz Si-integrated Planar Inductors. Trans. Magn. Soc. Jpn. 2002, 2, 384–387. [Google Scholar] [CrossRef][Green Version]
- Takahashi, T.; Ikeda, N.; Naoe, M. Annealing Dependence of Coercivity, Anisotropy field, and Resistivity for amorphous CoZrNb films Deposited by DC Planar Magnetron Sputtering. J. Appl. Phys. 1991, 69, 5011–5013. [Google Scholar] [CrossRef]
- Konczos, G.; Kisdi-Koszo, E.; Lovas, A. Recent Progress in the Application of Soft Magnetic Amorphous Materials: AIIoys, Preparation. Devices. Phys. Scr. 1988, T24, 42–48. [Google Scholar] [CrossRef]
- Bertotti, G.; Ferrara, E.; Fiorillo, F.; Tiberto, P. Magnetic properties of Rapidly Quenched Soft Magnetic Materials. Mater. Sci. Eng. 1997, A226–228, 603–613. [Google Scholar] [CrossRef]
- Herzer, G. Modern soft magnets: Amorphous and nanocrystalline materials. Acta Mater. 2013, 61, 718–734. [Google Scholar] [CrossRef]
- Jiang, X.-D.; Zhang, H.-W.; Wen, Q.-Y.; Zhang, W.-L.; Shi-Yu; Tang, X.-L. The Structure and Soft Magnetic Properties of Rapid Recurrent Thermal Annealing CoNbZr Nanocrystalline Alloys Thin films. Mater. Eng. 2003, B103, 32–36. [Google Scholar] [CrossRef]
- Takahashi, T.; Ikeda, N.; Naoe, M. Annealing Dependences of Coercivity, Anisotropy Magnetic Field and Resistivity for Amosrphous CoZrNb Films De-posited by DC Planar Magnetron Sputtering. Bull. Fac. Eng. Toyama Univ. 1991, 1991, 48–52. [Google Scholar]
- Fujiwara, Y.; Takeuchi, Y.; Nozue, S.; Uwabe, T.; Jimbo, M. Effect of Annealing Temperature on Coercivity of Amorphous FeSiBNb films. J. Magn. Magn. Mater. 2021, 540, 168410. [Google Scholar] [CrossRef]
- Swan, G.; Ouahmane, H.; Sztern, J. Coercive field of Amorphous Soft Ferromagnetic Films: Dependence upon Thickness. J. Magn. Magn. Mater. 1995, 140–144, 691–692. [Google Scholar] [CrossRef]
- Tu, K.N.; Mayer, J.W.; Feldman, L.C. Electronic Thin Film Science for Electrical Engineers and Materials Scientists: Solutions Manual; Macmillan Publishing Company: London, UK, 1992. [Google Scholar]
- Zier, M.; Oswald, S.; Reiche, R.; Wetzig, K. Interface Formation and Reactions at Ta-Si and Ta-SiO2 Interfaces Studied by XPS and ARXPS. J. Electron Spectrosc. Relat. Phenom. 2004, 137–140, 229–233. [Google Scholar] [CrossRef]
- Jun, A.H.; Hwang, Y.H.; Kang, B.; Lee, S.; Seok, J.; Lee, J.S.; Song, S.H.; Ju, B.-K. Magnetic Properties of Amorphous Ta/CoFeB/MgO/Ta Thin Films on Deformable Substrates with Magnetic Field Angle and Tensile Strain. Sensors 2023, 23, 7479. [Google Scholar] [CrossRef] [PubMed]
- Han, S.M.; Aydil, E.S. Study of Surface Reactions during Plasma Enhanced Chemical Vapor Deposition of SiO2 from Si4O2, and Ar Plasma. J. Vac. Sci. Technol. A 1996, 14, 2062–2070. [Google Scholar] [CrossRef]
- Sasada, I. Symmetric Response Obtained with an Orthogonal Fluxgate Operating in Fundamental mode. IEEE Trans. Magn. 2002, 38, 3377–3379. [Google Scholar] [CrossRef]
- Ripka, P. Review of fluxgate sensors. Sens. Actuators A 1992, 33, 129–141. [Google Scholar] [CrossRef]
- Lu, C.-C.; Huang, J. A 3-Axis Miniature Magnetic Sensor Based on a Planar Fluxgate Magnetometer with an Orthogonal Fluxguide. Sensors 2015, 15, 14727–14744. [Google Scholar] [CrossRef]
- Tumanski, S. Handbook of Magnetic Measurement; CRC Press: Boca Raton, FL, USA, 2011; p. 68. [Google Scholar]
- Diguet, G.; Froemel, J.; Kurita, H.; Narita, F.; Makabe, K.; Ohtaka, K. Magneto Elasticity Modeling for Stress Sensors. Magnetism 2022, 2, 288–305. [Google Scholar] [CrossRef]
- He, D. A Feedback Method to Improve the Dynamic Range and the Linearity of Magnetoimpedance Magnetic Sensor. J. Sens. 2019, 2019, 2413408. [Google Scholar] [CrossRef]
- Schott, C.; Racz, R.; Huber, S. Novel Analog Magnetic Angle Sensor with Linear Output. Sens. Actuators A 2006, 132, 165–170. [Google Scholar] [CrossRef]











Disclaimer/Publisher’s Note: The statements, opinions and data contained in all publications are solely those of the individual author(s) and contributor(s) and not of MDPI and/or the editor(s). MDPI and/or the editor(s) disclaim responsibility for any injury to people or property resulting from any ideas, methods, instructions or products referred to in the content. |
© 2025 by the authors. Licensee MDPI, Basel, Switzerland. This article is an open access article distributed under the terms and conditions of the Creative Commons Attribution (CC BY) license (https://creativecommons.org/licenses/by/4.0/).
Share and Cite
Kim, K.-W.; Hong, S.-M.; Lee, D.; Shin, K.-H.; Lim, S.H. Micro Orthogonal Fluxgate Sensor Fabricated with Amorphous CoZrNb Film. Sensors 2025, 25, 5022. https://doi.org/10.3390/s25165022
Kim K-W, Hong S-M, Lee D, Shin K-H, Lim SH. Micro Orthogonal Fluxgate Sensor Fabricated with Amorphous CoZrNb Film. Sensors. 2025; 25(16):5022. https://doi.org/10.3390/s25165022
Chicago/Turabian StyleKim, Kyung-Won, Sung-Min Hong, Daesung Lee, Kwang-Ho Shin, and Sang Ho Lim. 2025. "Micro Orthogonal Fluxgate Sensor Fabricated with Amorphous CoZrNb Film" Sensors 25, no. 16: 5022. https://doi.org/10.3390/s25165022
APA StyleKim, K.-W., Hong, S.-M., Lee, D., Shin, K.-H., & Lim, S. H. (2025). Micro Orthogonal Fluxgate Sensor Fabricated with Amorphous CoZrNb Film. Sensors, 25(16), 5022. https://doi.org/10.3390/s25165022

