Corrosion Risk Assessment in Coastal Environments Using Machine Learning-Based Predictive Models
Abstract
Highlights
- A machine-learning-based framework using gradient boosting, SVM, and neural networks accurately predicts chloride deposition in coastal environments using publicly available environmental variables.
- Gradient boosting outperformed other models, achieving an F1 score of 0.8673 and an AUC of 0.95, with key predictors identified as land coverage, wind, and relative orientation.
- The proposed approach enables an early-stage corrosion risk assessment without the need for long-term monitoring, supporting more efficient and sustainable design in coastal infrastructure.
- By aligning model outputs with ISO 9223:2012 standards, this method offers a practical, scalable alternative for corrosion classification and structural life prediction in marine-influenced environments.
Abstract
1. Introduction
2. Literature Review
3. Materials and Methods
3.1. Data
- Spatial Context
- -
- Proximity to the sea, a key determinant of aerosol salinity exposure;
- -
- Altitude, which influences both wind dynamics and moisture retention.
- 2.
- Atmospheric Conditions
- -
- Wind characteristics (speed and predominant direction), which govern the transport of marine aerosols;
- -
- Relative humidity, temperature, and precipitation, all of which contribute to the formation and persistence of moisture films on surfaces, which are crucial for corrosion initiation.
- 3.
- Exposure Configuration
- -
- Environmental coverage, ranging from sparse (open terrain) to dense (urban or forested areas), influences the shielding effect against airborne chlorides;
- -
- Relative orientation, reflecting the sample’s alignment with respect to pre-vailing wind flows, distinguishes between windward and sheltered (leeward) positions.
3.2. Methodology
- Data collection and processing: High-quality data is essential for ensuring valid and reliable model outcomes. The raw dataset underwent an extensive preparation phase. Meteorological variables, such as temperature, relative humidity, wind parameters, and precipitation, were sourced from public repositories and merged into a centralized dataset. This integration was followed by a cleaning phase, which included unit normalization, the imputation of missing values, and the removal of outliers to minimize statistical noise.To enrich the dataset’s explanatory power, synthetic variables were engineered. These included interaction terms (e.g., relative humidity × wind speed) and ratio-based indicators (e.g., RH/precipitation and altitude-to-distance ratio), aimed at capturing non-linear or compound environmental effects. Non-linear transformations, such as logarithmic scaling and squaring, were applied to select variables like distance and temperature to better reflect their environmental behavior and reduce skewness;
- Variable selection and dataset structuring: The next step involved identifying the most relevant predictors for modeling chloride deposition. A random forest algorithm was employed to rank variable importance using the mean decrease in impurity (Gini index). This data-driven selection ensured that only the most informative features were retained for training. Given a pronounced imbalance in the target variable classes—where one category significantly outweighed the others—the Synthetic Minority Over-sampling Technique (SMOTE) was implemented. This technique synthetically generated new data points for the minority classes through interpolation, improving class representation and reducing model bias.The dataset was then partitioned into training (80%) and testing (20%) subsets. To ensure robust evaluation, five-fold cross-validation was applied. This iterative procedure filtered out inconsistencies and produced averaged performance metrics, improving the generalizability of the model;
- Model training and hyperparameter optimization: Three supervised-learning algorithms were selected for comparison: gradient boosting (GB), artificial neural networks (ANN), and support vector machines (SVM). These models were chosen for their complementarity in capturing both linear and complex non-linear patterns.To maximize model performance, hyperparameters were tuned using grid search. For GB, this involved adjusting the number of estimators, tree depth, and minimum sample splits. SVMs were optimized by experimenting with different kernel functions and regularization strengths, while ANN configurations varied in terms of hidden layer architecture, activation functions, learning rates, and regularization strengths (alpha), and included early stopping to avoid overfitting. The optimization process was designed to balance prediction accuracy with computational efficiency. All models were implemented in Python 3.10 using the scikit-learn, Keras, and XGBoost libraries. To ensure reproducibility, a fixed random seed (30) was used across all training processes.
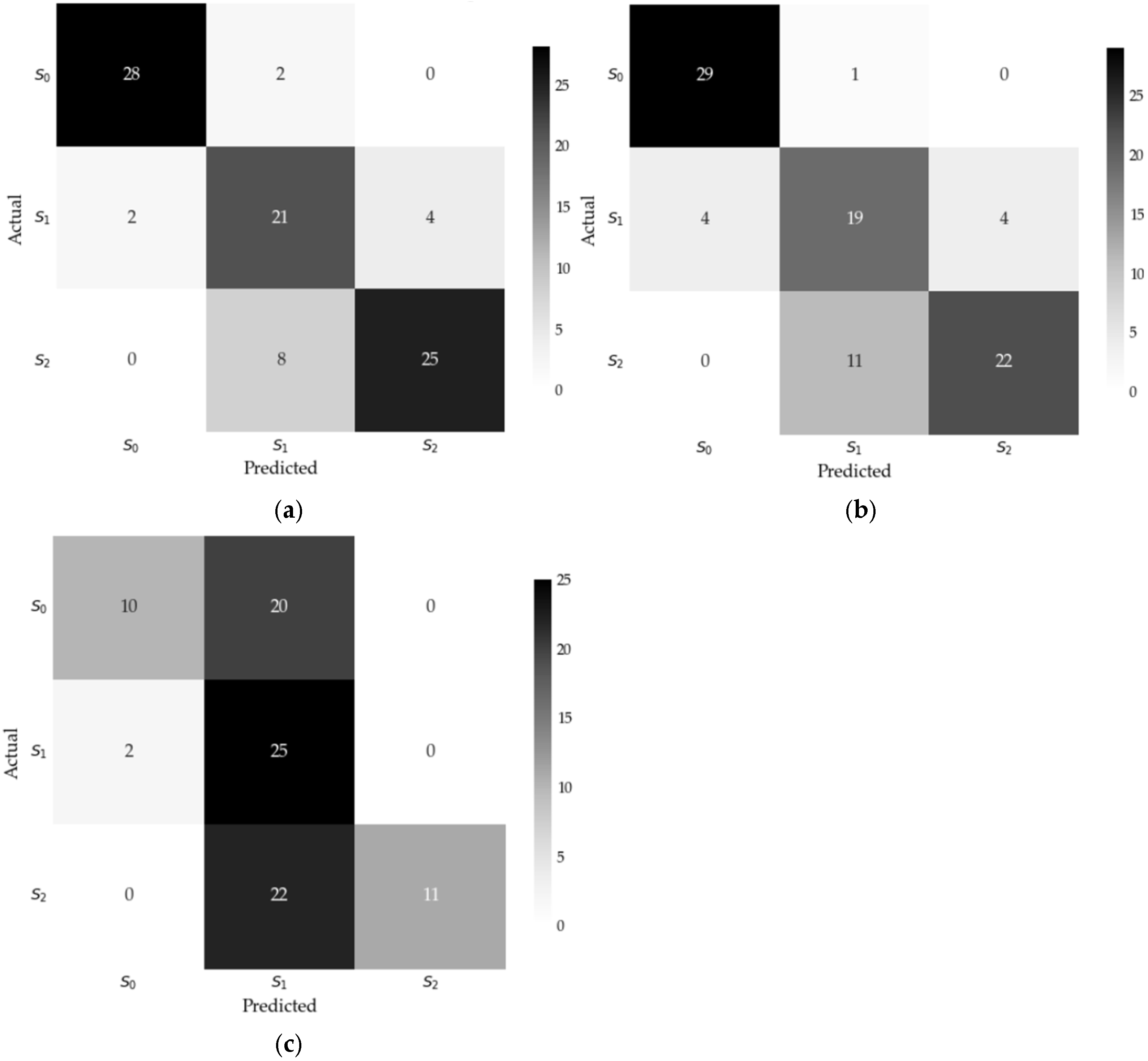
- Model evaluation: Model performance was assessed using a combination of complementary metrics. Accuracy provided an overall measure of classification correctness, while precision and F1 score captured the model’s ability to correctly identify positive cases and balance errors. The AUC (area under the ROC curve) offered insight into the model’s ability to distinguish between classes across thresholds, and the confusion matrix revealed detailed patterns of misclassification. Together, these metrics enabled a thorough and nuanced evaluation of each model’s predictive capabilities, supporting the identification of the most effective approach for assessing the chloride deposition risk in coastal environments [51,52].
3.3. Techniques
4. Results
4.1. Data Collection and Processing
4.2. Predictor Selection and Data Tuning
4.3. Modeling and Hyperparameter Optimization
4.4. Model Evaluation and Validation
- -
- Gradient boosting: The validation curve closely followed the training curve, maintaining a stable performance with an F1 Score of 0.86 and showing fewer signs of overfitting;
- -
- SVM: The validation curve reached an F1 Score of 0.75, remaining below the tree-based models, and did not show a noticeable gap from the training curve, suggesting that the model is more robust but less efficient;
- -
- Neural network: The model achieved the lowest performance, with an F1 Score of 0.63. The curves indicated limited learning capacity, as the validation performance remained low despite increases in training size.
4.5. Comparative Analysis
5. Discussion
6. Conclusions
Author Contributions
Funding
Data Availability Statement
Conflicts of Interest
References
- Liu, X.; Sui, Y.; Zhou, J.; Liu, Y.; Li, X.; Hou, J. Influence of available chlorine on corrosion behaviour of low alloy marine steel in natural seawater. Corros. Eng. Sci. Technol. 2023, 58, 475–481. [Google Scholar] [CrossRef]
- Zhao, R.; Li, C.; Guan, X. Advances in Modeling Surface Chloride Concentrations in Concrete Serving in the Marine Environment: A Mini Review. Buildings 2024, 14, 1879. [Google Scholar] [CrossRef]
- Qian, R.; Li, Q.; Fu, C.; Zhang, Y.; Wang, Y.; Jin, X. Atmospheric chloride-induced corrosion of steel-reinforced concrete beam exposed to real marine-environment for 7 years. Ocean Eng. 2023, 286, 115675. [Google Scholar] [CrossRef]
- Brett, N. Why We Should Care About Vulnerable Coastal Communities. 18 January 2019. Available online: https://ani.seafdec.org.ph/handle/20.500.12174/5473 (accessed on 16 July 2021).
- Morcillo, M.; Chico, B.; Fuente, D.; Simancas, J. Looking Back on Contributions in the Field of Atmospheric Corrosion Offered by the MICAT Ibero-American Testing Network. Int. J. Corros. 2012, 2012, 824365. [Google Scholar] [CrossRef]
- Manuel Morcillo Linares. Corrosión Atmosférica Marina de los Aceros al Carbono—Departamento Ciencia de Materiales ETSI Caminos Canales y Puertos de la Universidad Politécnica de Madrid. Seminarios Internacionales de Fronteras de la Ciencia de Materiales; Departamento de Ingeniería de Superficies, Corrosión y Durabilidad. Centro Nacional de Investigaciones Metalúrgicas (CENIM-CSIC): Madrid, Spain, 2018. [Google Scholar]
- Hays, G. Now Is the Time—World Corrosion Organization 2022. Available online: https://corrosion.org/Corrosion+Resources/Publications/_/nowisthetime.pdf (accessed on 16 April 2023).
- ISO 9223:2012; Corrosion of Metals and Alloys—Corrosivity of atmospheres—Classification, Determination and Estimation. ISO/TC 156 Corrosion of Metals and Alloys; ISO: Geneva, Switzerland, 2012.
- Baltins Slamova, K.; Köhl, M.; Duerr, I.; Kaltenbach, T. Degradation effects of maritime atmosphere on metallic components of solar collectors. Sol. Energy Mater. Sol. Cells 2016, 147, 246–254. [Google Scholar] [CrossRef]
- Chen, Q.; Wang, H.; Liu, Y.; Shangguan, Y.; Ma, X.; Cai, Y. Interpretable data-driven prediction methods for atmospheric chloride deposition rate. Atmos. Environ. 2024, 334, 120687. [Google Scholar] [CrossRef]
- Pham, N.D.; Okazaki, S.; Kuriyama, Y.; Kasai, N.; Suzuki, K. Real-time aerosol chloride deposition measuring device using a conductivity sensor. Atmos. Environ. 2019, 213, 757–766. [Google Scholar] [CrossRef]
- Kubzova, M.; Krivy, V.; Kreislova, K. Influence of Chloride Deposition on Corrosion Products. Procedia Eng. 2017, 192, 504–509. [Google Scholar] [CrossRef]
- Liu, J.; Ou, G.; Qiu, Q.; Xing, F.; Tang, K.; Zeng, J. Atmospheric chloride deposition in field concrete at coastal region. Constr. Build. Mater. 2018, 190, 1015–1022. [Google Scholar] [CrossRef]
- Reichert, T.A.; Pansera, W.A.; Balestra, C.E.T.; Medeiros-Junior, R.A. New semiempirical temporal model to predict chloride profiles considering convection and diffusion zones. Constr. Build. Mater. 2023, 367, 130284. [Google Scholar] [CrossRef]
- Anwar Hossain, K.M.; Easa, S.M.; Lachemi, M. Evaluation of the effect of marine salts on urban built infrastructure. Build. Environ. 2009, 44, 713–722. [Google Scholar] [CrossRef]
- Meira, G.R.; Pinto, W.T.A.; Lima, E.E.P.; Andrade, C. Vertical distribution of marine aerosol salinity in a Brazilian coastal area–The influence of wind speed and the impact on chloride accumulation into concrete. Constr. Build. Mater. 2017, 135, 287–296. [Google Scholar] [CrossRef]
- Eriksson, E. The Yearly Circulation of Chloride and Sulfur in Nature; Meteorological, Geochemical and Pedological Implications. Part II1. Tellus 1960, 12, 63–109. [Google Scholar] [CrossRef]
- Duan, Y.; Liu, Y.; Zhang, K.; Li, L.; Huo, J.; Chen, J.; Fu, Q.; Gao, Z.; Xiu, G.; Hu, T. Variations of chloride depletion and its impacts on ozone formation: Case study of a coastal area in Shanghai. Sci. Total Environ. 2024, 957, 176899. [Google Scholar] [CrossRef] [PubMed]
- Chen, H.; Cui, H.; He, Z.; Lu, L.; Huang, Y. Influence of chloride deposition rate on rust layer protectiveness and corrosion severity of mild steel in tropical coastal atmosphere. Mater. Chem. Phys. 2021, 259, 123971. [Google Scholar] [CrossRef]
- Ma, Y.; Li, Y.; Wang, F. The atmospheric corrosion kinetics of low carbon steel in a tropical marine environment. Corros. Sci. 2010, 52, 1796–1800. [Google Scholar] [CrossRef]
- Suzuki, K.; Robertson, I.N. Atmospheric Chloride Deposition Rate for Corrosion Prediction on Oahu; University of Hawaii: Honolulu, HI, USA; State of Hawaii Department of Transportation Harbors Division: Honolulu, HI, USA; U.S. Department of Transportation Federal Highway Administration: Washington, DC, USA, 2011. [Google Scholar]
- Alcántara, J.; Chico, B.; Díaz, I.; de la Fuente, D.; Morcillo, M. Airborne chloride deposit and its effect on marine atmospheric corrosion of mild steel. Corros. Sci. 2015, 97, 74–88. [Google Scholar] [CrossRef]
- Alcántara, J.; Chico, B.; Simancas, J.; Díaz, I.; de la Fuente, D.; Morcillo, M. An attempt to classify the morphologies presented by different rust phases formed during the exposure of carbon steel to marine atmospheres. Mater. Charact. 2016, 118, 65–78. [Google Scholar] [CrossRef]
- Castañeda, A.; Corvo, F.; Albear, J.; Rigoberto, M. Penetration of marine aerosol in a tropical coastal city: Havana. Atmósfera 2018, 31, 87–104. [Google Scholar] [CrossRef]
- Du, X.; Dai, Y.; Zheng, B.; Zhu, X. Corrosion Prediction Model for Long-Distance Pipelines Based on Nonlinear Feature Expansion-Northern Goshawk Optimization-Extreme Learning Machine. Corrosion 2024, 80, 1118–1127. [Google Scholar] [CrossRef]
- Ambler, H.R.; Bain, A.A.J. Corrosion of metals in the tropics. J. Appl. Chem. 1955, 5, 437–467. [Google Scholar] [CrossRef]
- Dean, S.W.; Knotkova, D.; Kreislová, K. ISOCORRAG International Atmospheric Exposure Program: Summary of Results; ASTM International: West Conshohocken, PA, USA, 2011. [Google Scholar]
- Barton, K. Protection Against Atmospheric Corrosion; John Wiley and Sons: New York, NY, USA, 1973. [Google Scholar]
- Morcillo, M. Atmospheric Corrosion in Ibero-America: The MICAT Project. In Atmospheric Corros; ASTM International: West Conshohocken, PA, USA, 1995. [Google Scholar] [CrossRef]
- Haitz, D.; Jutzi, B.; Hübner, P.; Ulrich, M. Corrosion detection for industrial objects: From multi-sensor system to 5D feature space. Int. Arch. Photogramm. Remote Sens. Spat. Inf. Sci. 2022, XLIII-B1-2022, 143–150. [Google Scholar] [CrossRef]
- Mishnev, P.A.; Adigamov, R.R.; Baraboshkin, K.A.; Varkhaleva, T.S.; Fedotov, E.S.; Karlina, A.I. Mathematical models for prediction of corrosion resistance of pipe steel grades in CO2 environment. Ferr. Metall. Bull. Sci. Tech. Econ. Inf. 2022, 78, 611–619. [Google Scholar] [CrossRef]
- Ji, Z.-G.; Ma, X.-B.; Zhou, K.; Cai, Y.-K. An Improved Atmospheric Corrosion Prediction Model Considering Various Environmental Factors. Corrosion 2021, 77, 1178–1191. [Google Scholar] [CrossRef] [PubMed]
- Bansal, T.; Talakokula, V.; Sathujoda, P. A machine learning approach for predicting the electro-mechanical impedance data of blended RC structures subjected to chloride laden environment. Smart Mater. Struct. 2021, 31, 015036. [Google Scholar] [CrossRef]
- Gomasa, R.; Talakokula, V.; Jyosyula, S.K.R.; Bansal, T. Integrating electro-mechanical impedance data with machine learning for damage detection and classification of blended concrete systems. Constr. Build. Mater. 2024, 445, 137725. [Google Scholar] [CrossRef]
- Gómez Pascual, J.L.; Rizo Álvarez, I. Caracterización de productos de corrosión del acero al bajo carbono en atmósferas contaminadas por compuestos de azufre: Characterization of corrosion products of low carbon steel exposed to atmospheres contaminated by sulfur compounds. Tecnociencia Chihuah. 2016, 9, 160–170. [Google Scholar] [CrossRef]
- Keywood, M.D.; Chivas, A.R.; Fifield, L.K.; Cresswell, R.G.; Ayers, G.P. The accession of chloride to the western half of the Australian continent. Soil Res. 1997, 35, 1177–1190. [Google Scholar] [CrossRef]
- Gustafsson, M.E.R.; Franzén, L.G. Dry deposition and concentration of marine aerosols in a coastal area, SW Sweden. Atmos. Environ. 1996, 30, 977–989. [Google Scholar] [CrossRef]
- Meira, G.R.; Andrade, C.; Alonso, C.; Padaratz, I.J.; Borba, J.C. Modelling sea-salt transport and deposition in marine atmosphere zone—A tool for corrosion studies. Corros. Sci. 2008, 50, 2724–2731. [Google Scholar] [CrossRef]
- Bresciani, E.; Ordens, C.M.; Werner, A.D.; Batelaan, O.; Guan, H.; Post, V.E.A. Spatial variability of chloride deposition in a vegetated coastal area: Implications for groundwater recharge estimation. J. Hydrol. 2014, 519, 1177–1191. [Google Scholar] [CrossRef]
- Alcalá, F.J.; Custodio, E. Atmospheric chloride deposition in continental Spain. Hydrol. Process. 2008, 22, 3636–3650. [Google Scholar] [CrossRef]
- Guan, H.; Love, A.J.; Simmons, C.T.; Makhnin, O.; Kayaalp, A.S. Factors influencing chloride deposition in a coastal hilly area and application to chloride deposition mapping. Hydrol. Earth Syst. Sci. 2010, 14, 801–813. [Google Scholar] [CrossRef]
- Davies, P.J.; Crosbie, R.S. Mapping the spatial distribution of chloride deposition across Australia. J. Hydrol. 2018, 561, 76–88. [Google Scholar] [CrossRef]
- Jeon, D.; Jung, J.; Park, J.; Min, J.; Oh, J.E.; Moon, J.; Lee, J.-S.; Yoon, S. Predicting airborne chloride deposition in marine bridge structures using an artificial neural network model. Constr. Build. Mater. 2022, 337, 127623. [Google Scholar] [CrossRef]
- Kim, Y.; Lim, H.K.; Kim, J.J.; Park, Y.S. Corrosivity of Atmospheres in the Korean Peninsula. Corros. Sci. Technol. 2011, 10, 109–117. [Google Scholar]
- Corvo, F.; Minotas, J.; Delgado, J.; Arroyave, C. Changes in atmospheric corrosion rate caused by chloride ions depending on rain regime. Corros. Sci. 2005, 47, 883–892. [Google Scholar] [CrossRef]
- Binyehmed, F.M.; Abdullah, A.M.; Zawawi, R.M.; Elawad, R.E.; Youssef, K. Deposition Rate of Chloride DRC as a Corrosive Agent in Several Locations in the Klang Valley, Malaysia. 2017. Available online: https://www.sci-int.com/pdf/636298844704425922.pdf (accessed on 28 January 2021).
- Haberecht, P. Pollution Deposition Rates on Insulator (HV) Surfaces for Use in Atmospheric Corrosivity Estimation. University of Newcastle. 2008. Available online: https://ogma.newcastle.edu.au/vital/access/manager/Repository/uon:4277 (accessed on 26 October 2020).
- ISO 9224:2012; Corrosion of Metals and Alloys—Corrosivity of Atmospheres—Guiding Values for the Corrosivity Categories. ISO/TC 156 Corrosion of Metals and Alloys; ISO: Geneva, Switzerland, 2012.
- Terrados-Cristos, M.; Ortega-Fernández, F.; Díaz-Piloneta, M.; Montequín, V.R.; González, J.G. Potential Structural Damage Characterization through Remote Sensing Data: A Nondestructive Experimental Case Study. Adv. Civ. Eng. 2022, 2022, e6557898. [Google Scholar] [CrossRef]
- ISO 9225:2012; Corrosion of Metals and Alloys—Corrosivity of Atmospheres—Measurement of Environmental Parameters Affecting Corrosivity of Atmospheres. ISO/TC 156 Corrosion of Metals and Alloys; ISO: Geneva, Switzerland, 2012.
- Tharwat, A. Classification assessment methods. Appl. Comput. Inform. 2021, 17, 168–192. [Google Scholar] [CrossRef]
- Saito, T.; Rehmsmeier, M. The precision-recall plot is more informative than the ROC plot when evaluating binary classifiers on imbalanced datasets. PLoS ONE 2015, 10, e0118432. [Google Scholar] [CrossRef]
- Chawla, N.V.; Bowyer, K.W.; Hall, L.O.; Kegelmeyer, W.P. SMOTE: Synthetic Minority Over-sampling Technique. J. Artif. Intell. Res. 2002, 16, 321–357. [Google Scholar] [CrossRef]
- More, A. Survey of resampling techniques for improving classification performance in unbalanced datasets. arXiv 2016, arXiv:1608.06048. [Google Scholar] [CrossRef]
- Fernández, A.; García, S.; Galar, M.; Prati, R.C.; Krawczyk, B.; Herrera, F. Imbalanced Classification with Multiple Classes. In Learning from Imbalanced Data Sets; Fernández, A., García, S., Galar, M., Prati, R.C., Krawczyk, B., Herrera, F., Eds.; Springer International Publishing: Cham, Switzerland, 2018; pp. 197–226. ISBN 978-3-319-98074-4. [Google Scholar]
- Friedman, J.H. Greedy function approximation: A gradient boosting machine. Ann. Stat. 2001, 29, 1189–1232. [Google Scholar] [CrossRef]
- Chen, T.; Guestrin, C. XGBoost: A Scalable Tree Boosting System. In Proceedings of the 22nd ACM SIGKDD International Conference on Knowledge Discovery and Data Mining, Association for Computing Machinery, New York, NY, USA, 13–17 August 2016; pp. 785–794. [Google Scholar]
- Hearst, M.A.; Dumais, S.T.; Osuna, E.; Platt, J.; Scholkopf, B. Support vector machines. IEEE Intell. Syst. Their Appl. 1998, 13, 18–28. [Google Scholar] [CrossRef]
- Hsu, C.; Chang, C.; Lin, C.-J. A Practical Guide to Support Vector Classification; Department of Computer Science, National Taiwan University: Taipei, China, 2003. [Google Scholar]
- LeCun, Y.; Bengio, Y.; Hinton, G. Deep learning. Nature 2015, 521, 436–444. [Google Scholar] [CrossRef]
- Schmidhuber, J. Deep learning in neural networks: An overview. Neural Netw. 2015, 61, 85–117. [Google Scholar] [CrossRef]
- He, C.; Qigang, J.; Tao, G.; Zhang, Z. A Convolutional Neural Network with Spatial Location Integration for Nearshore Water Depth Inversion. Sensors 2023, 23, 8493. [Google Scholar] [CrossRef]
- Zhang, Y.; Deng, L.; Wei, B. Imbalanced Data Classification Based on Improved Random-SMOTE and Feature Standard Deviation. Mathematics 2024, 12, 1709. [Google Scholar] [CrossRef]
- Brandenburg, T.; Fischer, G.A.; Miranda, F.; Silva Filho, J.F.; Parpinelli, R.S. A Data-driven approach with reanalysis and geospatial data for chloride deposition prediction. Earth Sci. Inform. 2024, 18, 101. [Google Scholar] [CrossRef]
- Teixeira, P.C.; Ordens, C.M.; McIntyre, N.; Pagliero, L.; Crosbie, R. Spatio-temporal distribution of atmospheric chloride deposition over a small island. Hydrol. Process. 2023, 37, e15052. [Google Scholar] [CrossRef]
- Han, Y.; Joe, I. Enhancing Machine Learning Models Through PCA, SMOTE-ENN, and Stochastic Weighted Averaging. Appl. Sci. 2024, 14, 9772. [Google Scholar] [CrossRef]






| Category | Model Type | References |
|---|---|---|
| Parametric Regression Models | Exponential Regression | [36] |
| Exponential Regression (Wind) | [37] | |
| Nested Exponential Model | [38] | |
| Distance Regression with Terrain Correction | [39] | |
| Interpolation Algorithms | Kriging Interpolation | [40] |
| Regression + Kriging | [41] | |
| Hybrid Methods | Regression + PEST + Monte Carlo | [42] |
| Machine Learning Models | Artificial Neural Networks (ANN) | [43] |
| Genetic Algorithm-Optimized Quantile Regression Forest (GA-QRF) | [10] |
| Chloride Deposition Rate [mg/(m2·d)] | Level |
|---|---|
| Sd ≤ 3 | S0 |
| 3 < Sd ≤ 60 | S1 |
| 60 < Sd ≤ 300 | S2 |
| 300 < Sd ≤ 1500 | S3 |
| Original Situation | Ultimate Situation | |
|---|---|---|
| S0 | 5% | 33% |
| S1 | 71% | 33% |
| S2 | 24% | 33% |
| Gradient Boosting | ||
|---|---|---|
| Max_Depth | N_Estimators | Learning_Rate |
| 3, 5, 10 | 50, 100, 200 | 0.2, 0.1, 0.01 |
| SVM | ||
| C | Kernel | Gamma |
| 0.1, 1, 10 | linear, rbf | Auto, scale |
| Neural Networks | ||
| Hidde_layer_sizes | Activation | Learning_rate_init |
| (20,), (25,), (50,) | tanh, relu | 0.001, 0.01 |
| Model | Precision | Recall |
|---|---|---|
| Gradient Boosting | 0.869163 | 0.866667 |
| SVM | 0.783341 | 0.777778 |
| Neural Network | 0.734135 | 0.633333 |
Disclaimer/Publisher’s Note: The statements, opinions and data contained in all publications are solely those of the individual author(s) and contributor(s) and not of MDPI and/or the editor(s). MDPI and/or the editor(s) disclaim responsibility for any injury to people or property resulting from any ideas, methods, instructions or products referred to in the content. |
© 2025 by the authors. Licensee MDPI, Basel, Switzerland. This article is an open access article distributed under the terms and conditions of the Creative Commons Attribution (CC BY) license (https://creativecommons.org/licenses/by/4.0/).
Share and Cite
Terrados-Cristos, M.; Diaz-Piloneta, M.; Ortega-Fernández, F.; Martinez-Huerta, G.M.; Alvarez-Cabal, J.V. Corrosion Risk Assessment in Coastal Environments Using Machine Learning-Based Predictive Models. Sensors 2025, 25, 4231. https://doi.org/10.3390/s25134231
Terrados-Cristos M, Diaz-Piloneta M, Ortega-Fernández F, Martinez-Huerta GM, Alvarez-Cabal JV. Corrosion Risk Assessment in Coastal Environments Using Machine Learning-Based Predictive Models. Sensors. 2025; 25(13):4231. https://doi.org/10.3390/s25134231
Chicago/Turabian StyleTerrados-Cristos, Marta, Marina Diaz-Piloneta, Francisco Ortega-Fernández, Gemma Marta Martinez-Huerta, and José Valeriano Alvarez-Cabal. 2025. "Corrosion Risk Assessment in Coastal Environments Using Machine Learning-Based Predictive Models" Sensors 25, no. 13: 4231. https://doi.org/10.3390/s25134231
APA StyleTerrados-Cristos, M., Diaz-Piloneta, M., Ortega-Fernández, F., Martinez-Huerta, G. M., & Alvarez-Cabal, J. V. (2025). Corrosion Risk Assessment in Coastal Environments Using Machine Learning-Based Predictive Models. Sensors, 25(13), 4231. https://doi.org/10.3390/s25134231

