Polymer-Based Chemicapacitive Hybrid Sensor Array for Improved Selectivity in e-Nose Systems
Abstract
1. Introduction
2. Operation Principle of Chemicapacitive Sensor
3. Experimental Setup
4. Results
4.1. Capacitance Measurements
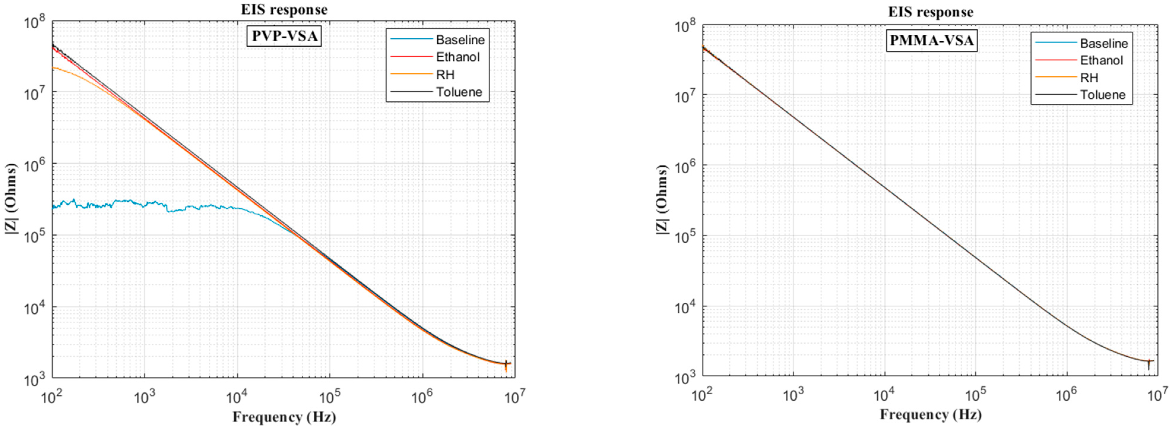
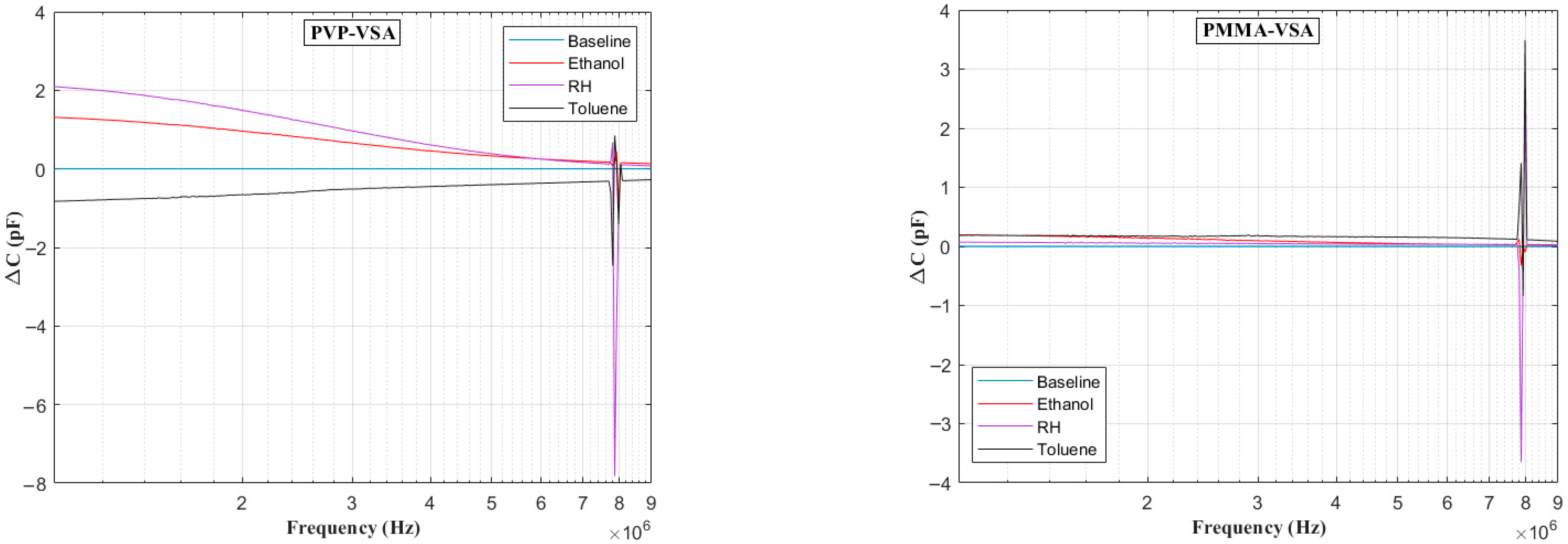
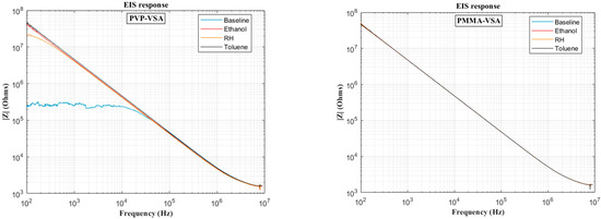
4.2. EIS Measurements
4.3. Selectivity Analysis of Sensor Arrays
4.4. EIS Data and Principal Component Analysis
4.4.1. PCA of PVP and PMMA VSAs
4.4.2. PCA of HSA
4.5. Explained Variance Analysis
4.6. Linear Discriminant Analysis
5. Conclusions
Author Contributions
Funding
Data Availability Statement
Acknowledgments
Conflicts of Interest
References
- Silvestri, A.; Wetzl, C.; Alegret, N.; Cardo, L.; Hou, H.; Criado, A.; Prato, M. The era of nano-bionic: 2D materials for wearable and implantable body sensors. Adv. Drug Deliv. Rev. 2022, 186, 114315. [Google Scholar] [CrossRef] [PubMed]
- Wasilewski, T.; Gębicki, J.; Kamysz, W. Bio-inspired approaches for explosives detection. TrAC Trends Anal. Chem. 2021, 142, 116330. [Google Scholar] [CrossRef]
- Lee, K.M.; Son, M.; Kang, J.H.; Kim, D.; Hong, S.; Park, T.H.; Chun, H.S.; Choi, S.S. A triangle study of human, instrument and bioelectronic nose for non-destructive sensing of seafood freshness. Sci. Rep. 2018, 8, 547. [Google Scholar] [CrossRef] [PubMed]
- Del Ser, J.; Osaba, E.; Sanchez-Medina, J.J.; Fister, I. Bioinspired Computational Intelligence and Transportation Systems: A Long Road Ahead. IEEE Trans. Intell. Transp. Syst. 2020, 21, 466–495. [Google Scholar] [CrossRef]
- Rathore, H. Bio-Inspired Approaches in Various Engineering Domain. In Mapping Biological Systems to Network Systems; Springer International Publishing: Cham, Switzerland, 2016; pp. 177–194. [Google Scholar]
- Liu, J.; Wang, Y.; Liu, Y.; Wu, Y.; Bian, B.; Shang, J.; Li, R. Recent Progress in Wearable Near-Sensor and In-Sensor Intelligent Perception Systems. Sensors 2024, 24, 2180. [Google Scholar] [CrossRef] [PubMed]
- Snell-Rood, E.C.; Smirnoff, D.; Cantrell, H.; Chapman, K.; Kirscht, E.; Stretch, E. Bioinspiration as a method of problem-based STEM education: A case study with a class structured around the COVID-19 crisis. Ecol. Evol. 2021, 11, 16374–16386. [Google Scholar] [CrossRef] [PubMed]
- Chen, Y.; Du, L.; Tian, Y.; Zhu, P.; Liu, S.; Liang, D.; Liu, Y.; Wang, M.; Chen, W.; Wu, C. Progress in the Development of Detection Strategies Based on Olfactory and Gustatory Biomimetic Biosensors. Biosensors 2022, 12, 858. [Google Scholar] [CrossRef] [PubMed]
- Meller, S.; Al Khatri, M.S.A.; Alhammadi, H.K.; Álvarez, G.; Alvergnat, G.; Alves, L.C.; Callewaert, C.; Caraguel, C.G.B.; Carancci, P.; Chaber, A.-L.; et al. Expert considerations and consensus for using dogs to detect human SARS-CoV-2-infections. Front. Med. (Lausanne) 2022, 9, 1015620. [Google Scholar] [CrossRef] [PubMed]
- Arnesen, C.H.; Rosell, F. Pest detection dogs for wood boring longhorn beetles. Sci. Rep. 2021, 11, 16887. [Google Scholar] [CrossRef] [PubMed]
- Guest, C.; Harris, R.; Sfanos, K.S.; Shrestha, E.; Partin, A.W.; Trock, B.; Mangold, L.; Bader, R.; Kozak, A.; Mclean, S.; et al. Feasibility of integrating canine olfaction with chemical and microbial profiling of urine to detect lethal prostate cancer. PLoS ONE 2021, 16, e0245530. [Google Scholar] [CrossRef] [PubMed]
- Wasilewski, T.; Neubauer, D.; Kamysz, W.; Gębicki, J. Recent progress in the development of peptide-based gas biosensors for environmental monitoring. Case Stud. Chem. Environ. Eng. 2022, 5, 100197. [Google Scholar] [CrossRef]
- Wasilewski, T.; Brito, N.F.; Szulczynski, B.; Wojciechowski, M.; Buda, N.; Melo, A.A.; Kamysz, W.; Gębicki, J. Olfactory receptor-based biosensors as potential future tools in medical diagnosis. TrAC Trends Anal. Chem. 2022, 150, 116599. [Google Scholar] [CrossRef]
- Raj, G.C.A.; Elnemr, Y.E.; Munirathinam, P.; Birjis, Y.; Love, C.; Emadi, A. Polymer-Based Virtual Sensor Array Leveraging Fringing Field Capacitance for VOC Detection. In Proceedings of the 2023 IEEE Sensors, Vienna, Austria, 29 October–1 November 2023; pp. 1–4. [Google Scholar]
- Habboush, S.; Rojas, S.; Rodríguez, N.; Rivadeneyra, A. The Role of Interdigitated Electrodes in Printed and Flexible Electronics. Sensors 2024, 24, 2717. [Google Scholar] [CrossRef] [PubMed]
- Lvovich, V.F. Impedance Spectroscopy: Applications to Electrochemical and Dielectric Phenomena; Wiley: Hoboken, NJ, USA, 2012. [Google Scholar]
- Hassan, M.F. Polymer-Based Capacitive Gas Sensor for Machine Olfaction. Ph.D. Thesis, Florida Tech, Melbourne, FL, USA, 2020. [Google Scholar]
- Love, C.; Nazemi, H.; El-Masri, E.; Mahzoon, K.; Swaminathan, S.; Emadi, A. Design and Analysis of a Unique Electrode Configuration Targeting Fringing Field Utilization for Improved Chemicapacitor Sensitivity. IEEE Sens. J. 2022, 22, 20186–20192. [Google Scholar] [CrossRef]
- Wang, Y.; Chung, D.D.L. Effect of the fringing electric field on the apparent electric permittivity of cement-based materials. Compos. B Eng. 2017, 126, 192–201. [Google Scholar] [CrossRef]
- Patel, S.V.; Hobson, S.T.; Cemalovic, S.; Mlsna, T.E. Detection of methyl salicylate using polymer-filled chemicapacitors. Talanta 2008, 76, 872–877. [Google Scholar] [CrossRef] [PubMed]
- Staginus, J.; Aerts, I.M.; Chang, Z.; Meijer, G.C.M.; De Smet, L.C.P.M.; Sudhölter, E.J.R. Capacitive response of PDMS-coated IDE platforms directly exposed to aqueous solutions containing volatile organic compounds. Sens. Actuators B Chem. 2013, 184, 130–142. [Google Scholar] [CrossRef]
- Koester, D.; Cowen, A.; Mahadevan, R.; Hardy, B. PolyMUMPs Design Handbook a MUMPs® Process; Technical Report; MEMSCAP Inc.: Durham, NC, USA, 2013. [Google Scholar]
- Li, D.; Liu, G.; Zhang, Q.; Qu, M.; Fu, Y.Q.; Liu, Q. Virtual sensor array based on MXene for selective detections of VOCs. Sens. Actuators B Chem. 2021, 331, 129414. [Google Scholar] [CrossRef]













| Array Type | Explained Variance PC1 (%) | Explained Variance PC2 (%) | Explained Variance PC3 (%) | 
|---|---|---|---|
| HSA | 64.9 | 25.5 | 3.9 | 
| PVP-VSA | 76.0 | 19.8 | 3.3 | 
| PMMA-VSA | 90.2 | 2.1 | 0.7 | 
| Array Type | Sensing Layer | Number of Variables Used for LDA Training | ||||
|---|---|---|---|---|---|---|
| 1 | 2 | 3 | 4 | 5 | ||
| LOOCV Prediction Rate (%) | ||||||
| MSA | PMMA | 49 | 82 | - | - | - | 
| PVP | 89 | |||||
| VSA | PMMA | 77 | 100 | 100 | 100 | 100 | 
| PVP | 67 | 69 | 78 | 91 | 98 | |
| HSA | PMMA | 67 | 91 | 91 | 100 | 100 | 
| PVP | ||||||
| Reference | Approach | Materials Used | Features Used | Reported Prediction Accuracy | Number of Sensing Materials | 
|---|---|---|---|---|---|
| [15] | Traditional MSA | Multiple polymers | Static capacitance | ~82% | ≥2 | 
| [14] | VSA (IDE sensor) | Single polymer | Fringing field capacitance (EIS) | Up to 95% | 1 | 
| [16] | VSA (MXene-based) | Single MXene sensor | Frequency-dependent impedance | ~95–97% | 1 | 
| Present work | HSA | PMMA + PVP | Combined EIS + multi-material | 100% | 2 | 
| Compound | Array Type | Sensing Layer | Number of Variables Utilized for LDA Training | ||||
|---|---|---|---|---|---|---|---|
| 1 | 2 | 3 | 4 | 5 | |||
| LOOCV Prediction Rate (%) | |||||||
| RH | MSA | PMMA | 100 | 100 | - | - | - | 
| PVP | 100 | ||||||
| VSA | PMMA | 100 | 100 | 100 | 100 | 100 | |
| PVP | 100 | 100 | 100 | 100 | 100 | ||
| HSA | PMMA | 100 | 100 | 100 | 100 | 100 | |
| PVP | |||||||
| Ethanol | MSA | PMMA | 93 | 80 | - | - | - | 
| PVP | 100 | ||||||
| VSA | PMMA | 100 | 100 | 100 | 100 | 100 | |
| PVP | 100 | 100 | 100 | 100 | 100 | ||
| HSA | PMMA | 100 | 100 | 100 | 100 | 100 | |
| PVP | |||||||
| Toluene | MSA | PMMA | 33 | ||||
| PVP | 0 | 7 | - | - | - | ||
| VSA | PMMA | 100 | 100 | 93 | 93 | 93 | |
| PVP | 0 | 27 | 53 | 60 | 60 | ||
| HSA | PMMA | 100 | 100 | 100 | 100 | 100 | |
| PVP | |||||||
| Compound Concentration (%) | Array Type | Sensing Layer | Number of Variables Utilized for LDA Training | ||||
|---|---|---|---|---|---|---|---|
| 1 | 2 | 3 | 4 | 5 | |||
| LOOCV Prediction Rate (%) | |||||||
| 10 | MSA | PMMA | 100 | 100 | - | - | - | 
| PVP | 100 | ||||||
| VSA | PMMA | 100 | 100 | 100 | 100 | 100 | |
| PVP | 100 | 100 | 100 | 100 | 100 | ||
| HSA | PMMA | 100 | 100 | 100 | 100 | 100 | |
| PVP | |||||||
| 25 | MSA | PMMA | 100 | 100 | - | - | - | 
| PVP | 80 | ||||||
| VSA | PMMA | 100 | 100 | 100 | 100 | 100 | |
| PVP | 87 | 100 | 100 | 100 | 100 | ||
| HSA | PMMA | 100 | 100 | 100 | 100 | 100 | |
| PVP | |||||||
| 50 | MSA | PMMA | 100 | ||||
| PVP | 100 | 100 | - | - | - | ||
| VSA | PMMA | 100 | 100 | 100 | 100 | 100 | |
| PVP | 100 | 100 | 100 | 100 | 100 | ||
| HSA | PMMA | 100 | 100 | 100 | 100 | 100 | |
| PVP | |||||||
| Disclaimer/Publisher’s Note: The statements, opinions and data contained in all publications are solely those of the individual author(s) and contributor(s) and not of MDPI and/or the editor(s). MDPI and/or the editor(s) disclaim responsibility for any injury to people or property resulting from any ideas, methods, instructions or products referred to in the content. | 
© 2025 by the authors. Licensee MDPI, Basel, Switzerland. This article is an open access article distributed under the terms and conditions of the Creative Commons Attribution (CC BY) license (https://creativecommons.org/licenses/by/4.0/).
Share and Cite
Munirathinam, P.; Arshi, M.F.; Nazemi, H.; Antony Raj, G.C.; Emadi, A. Polymer-Based Chemicapacitive Hybrid Sensor Array for Improved Selectivity in e-Nose Systems. Sensors 2025, 25, 4130. https://doi.org/10.3390/s25134130
Munirathinam P, Arshi MF, Nazemi H, Antony Raj GC, Emadi A. Polymer-Based Chemicapacitive Hybrid Sensor Array for Improved Selectivity in e-Nose Systems. Sensors. 2025; 25(13):4130. https://doi.org/10.3390/s25134130
Chicago/Turabian StyleMunirathinam, Pavithra, Mohd Farhan Arshi, Haleh Nazemi, Gian Carlo Antony Raj, and Arezoo Emadi. 2025. "Polymer-Based Chemicapacitive Hybrid Sensor Array for Improved Selectivity in e-Nose Systems" Sensors 25, no. 13: 4130. https://doi.org/10.3390/s25134130
APA StyleMunirathinam, P., Arshi, M. F., Nazemi, H., Antony Raj, G. C., & Emadi, A. (2025). Polymer-Based Chemicapacitive Hybrid Sensor Array for Improved Selectivity in e-Nose Systems. Sensors, 25(13), 4130. https://doi.org/10.3390/s25134130
 
        


 
       