Bayesian Network in Structural Health Monitoring: Theoretical Background and Applications Review
Abstract
1. Introduction
2. An Overview of the Bayesian Network
2.1. Overview of Bayesian Network Development
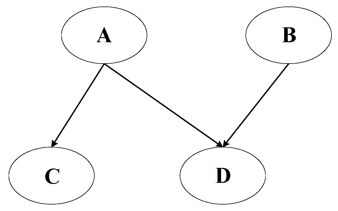
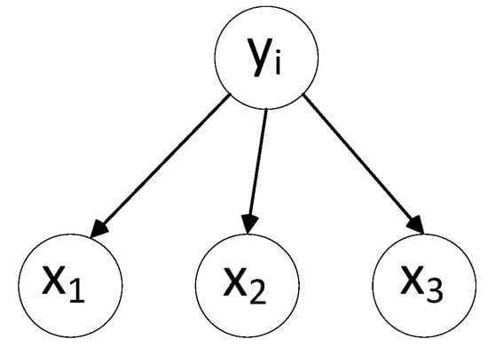
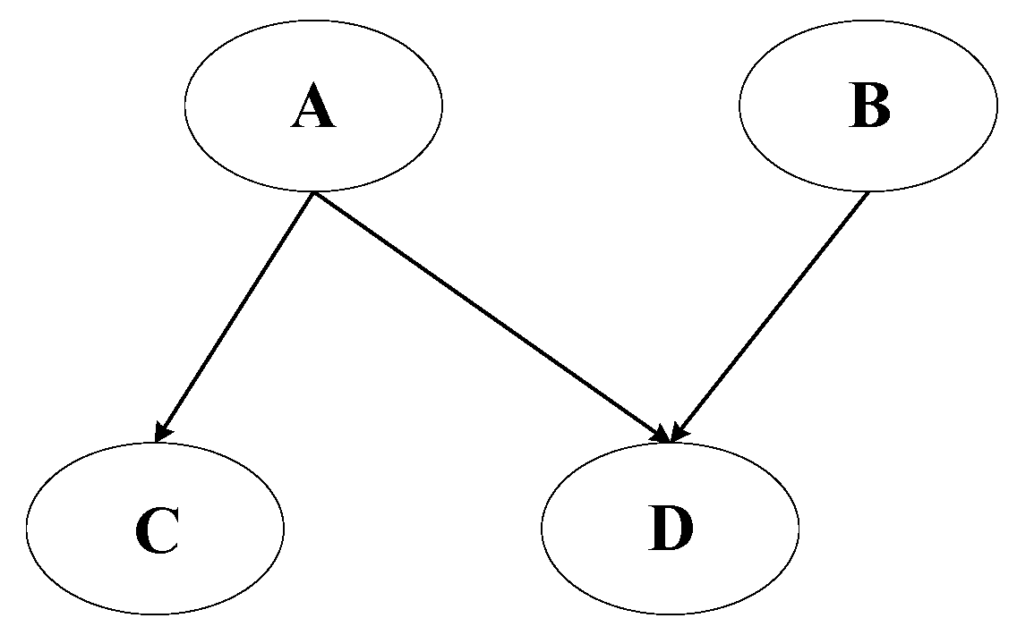
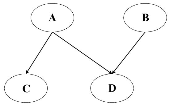
2.2. Bayesian Network Mathematical Model
3. Structural Health Monitoring
3.1. Definition of Structural Health Monitoring
3.2. Approach and Significance of Structural Health Monitoring
4. Application of Bayesian Network in Structural Health Monitoring
4.1. Application of Bayesian Network in Damage Identification
4.2. Application of Bayesian Network in Data Fusion
4.3. Application of Bayesian Network in Uncertainty Modeling
4.4. Application of Bayesian Network in Decision Support
5. Conclusions
Funding
Acknowledgments
Conflicts of Interest
References
- Ou, J.P.; Li, H. Structural Health Monitoring in mainland China: Review and Future Trends. Struct. Health Monit. 2010, 9, 219–231. [Google Scholar]
- He, J.X. Research status and progress of structural health monitoring system in civil engineering. Doors Windows 2017, 131, 186. [Google Scholar]
- Zhang, W.H.; Qin, J.; Lu, D.; Liu, M.; Faber, M. Quantifying the value of structural health monitoring information with measurement bias impacts in the framework of dynamic Bayesian Network. Mech. Syst. Signal Process. 2023, 187, 109916. [Google Scholar] [CrossRef]
- Wang, Q.A.; Chen, J.; Ni, Y.; Xiao, Y.; Liu, N.; Liu, S.; Feng, W. Application of Bayesian networks in reliability assessment: A systematic literature review. Structures 2025, 71, 108098. [Google Scholar] [CrossRef]
- Dondelinger, F.; Mukherjee, S. Statistical Network Inference for Time-Varying Molecular Data with Dynamic Bayesian Networks. Gene Regul. Netw. 2019, 1883, 25–48. [Google Scholar]
- Darwiche, A. Bayesian Networks. Commun. ACM 2010, 53, 80–90. [Google Scholar] [CrossRef]
- Pearl, J. Fusion, propagation, and structuring in belief networks. Artif. Intell. 1986, 29, 241–288. [Google Scholar] [CrossRef]
- Chang, Y.; Wu, X.; Zhang, C.; Chen, G.; Liu, X.; Li, J.; Cai, B.; Xu, L. Dynamic Bayesian networks based approach for risk analysis of subsea wellhead fatigue failure during service life. Reliab. Eng. Syst. Saf. 2019, 188, 454–462. [Google Scholar] [CrossRef]
- Tong, Y.; Tien, I. Algorithms for Bayesian Network Modeling, Inference, and Reliability Assessment for Multistate Flow Networks. J. Comput. Civ. Eng. 2017, 31, 04017051. [Google Scholar] [CrossRef]
- Wang, Q.A.; Wu, Z.Y. Structural System Reliability Analysis Based on Improved Explicit Connectivity BNs. KSCE J. Civ. Eng. 2018, 22, 916–927. [Google Scholar] [CrossRef]
- Wang, Q.A.; Zhang, C.; Ma, Z.G.; Ni, Y.Q. Modelling and forecasting of SHM strain measurement for a large-scale suspension bridge during typhoon events using variational heteroscedastic Gaussian process. Eng. Struct. 2022, 251, 113554. [Google Scholar] [CrossRef]
- Wang, Q.A.; Liu, Q.; Ma, Z.G.; Wang, J.F.; Ni, Y.Q.; Ren, W.X.; Wang, H.B. Data interpretation and forecasting of SHM heteroscedastic measurements under typhoon conditions enabled by an enhanced Hierarchical sparse Bayesian Learning model with high robustness. Measurement 2024, 230, 114509. [Google Scholar] [CrossRef]
- Wang, Q.A.; Wang, C.B.; Ma, Z.G.; Chen, W.; Ni, Y.Q.; Wang, C.F.; Yan, B.G.; Guan, P.X. Bayesian dynamic linear model framework for SHM data forecasting and missing data imputation during typhoon events. Struct. Health Monit. 2022, 21, 2933–2950. [Google Scholar] [CrossRef]
- Wang, Q.A.; Dai, Y.; Ma, Z.G.; Ni, Y.Q.; Tang, J.Q.; Xu, X.Q.; Wu, Z.Y. Towards probabilistic data-driven damage detection in SHM using sparse Bayesian learning scheme. Struct. Control Health Monit. 2022, 22, e3070. [Google Scholar] [CrossRef]
- Wang, Q.A.; Zhang, C.; Ma, Z.G.; Huang, J.; Ni, Y.Q.; Zhang, C. SHM deformation monitoring for high-speed rail track slabs and Bayesian change point detection for the measurements. Constr. Build. Mater. 2021, 300, 124337. [Google Scholar] [CrossRef]
- Langseth, H.; Portinale, L. Bayesian networks in reliability. Reliab. Eng. Syst. Saf. 2007, 92, 92–108. [Google Scholar] [CrossRef]
- Kabir, S.; Papadopoulos, Y. Applications of Bayesian networks and Petri nets in safety, reliability, and risk assessments: A review. Saf. Sci. 2019, 115, 154–175. [Google Scholar] [CrossRef]
- Huang, Y.; Shao, C.; Wu, B.; Beck, J.L.; Li, H. State-of-the-art review on Bayesian inference in structural system identification and damage assessment. Adv. Struct. Eng. 2019, 22, 1329–1351. [Google Scholar] [CrossRef]
- Tan, J.; Fang, S. Safety evaluation of truss bridges using continuous Bayesian networks. Struct. Control Health Monit. 2022, 29, e2912. [Google Scholar] [CrossRef]
- Guan, L.; Liu, Q.; Abbasi, A.; Ryan, M.J. Developing a comprehensive risk assessment model based on fuzzy Bayesian belief network (FBBN). J. Civ. Eng. Manag. 2020, 26, 614–634. [Google Scholar] [CrossRef]
- Mendoza-Lugo, M.A.; Delgado-Hernández, D.V.J.; Morales-Nápoles, O. Reliability analysis of reinforced concrete vehicle bridges columns using non-parametric Bayesian networks. Eng. Struct. 2019, 188, 178–187. [Google Scholar] [CrossRef]
- Wickramasinghe, I.; Kalutarage, H. Naive Bayes: Applications, variations and vulnerabilities: A review of literature with code snippets for implementation. Soft Comput. 2021, 25, 2277–2293. [Google Scholar] [CrossRef]
- Wang, R.; Ma, L.; Yan, C.; Mathew, J. Condition deterioration prediction of bridge elements using Dynamic Bayesian Networks (DBNs). In Proceedings of the International Conference on Quality, Reliability, Risk, Maintenance, and Safety Engineering, Chengdu, China, 15–18 June 2012; pp. 566–571. [Google Scholar]
- Gharehbaghi, V.R.; Noroozinejad Farsangi, E.; Noori, M.; Yang, T.Y.; Li, S.; Nguyen, A.; Málaga-Chuquitaype, C.; Gardoni, P.; Mirjalili, S. A Critical Review on Structural Health Monitoring: Definitions, Methods, and Perspectives. Arch. Comput. Methods Eng. 2022, 29, 2209–2235. [Google Scholar] [CrossRef]
- Ostachowicz, W.; Soman, R.; Malinowski, P. Optimization of sensor placement for structural health monitoring: A review. Struct. Health Monit. Int. J. 2019, 18, 963–988. [Google Scholar] [CrossRef]
- Abdulkarem, M.; Samsudin, K.; Rokhani, F.Z.; A Rasid, M.F. Wireless sensor network for structural health monitoring: A contemporary review of technologies, challenges, and future direction. Struct. Health Monit. Int. J. 2020, 19, 693–735. [Google Scholar] [CrossRef]
- Moreno-Gomez, A.; Perez-Ramirez, C.A.; Dominguez-Gonzalez, A.; Valtierra-Rodriguez, M.; Chavez-Alegria, O.; Amezquita-Sanchez, J.P. Sensors Used in Structural Health Monitoring. Arch. Comput. Methods Eng. 2018, 25, 901–918. [Google Scholar] [CrossRef]
- Jinachandran, S.; Rajan, G. Fibre Bragg Grating Based Acoustic Emission Measurement System for Structural Health Monitoring Applications. Materials 2021, 14, 897. [Google Scholar] [CrossRef]
- Qing, X.L.; Li, W.Z.; Wang, Y.S.; Sun, H. Piezoelectric Transducer-Based Structural Health Monitoring for Aircraft Applications. Sensors 2019, 19, 545. [Google Scholar] [CrossRef]
- Annamdas, V.G.M.; Bhalla, S.; Soh, C.K. Applications of structural health monitoring technology in Asia. Sage J. 2017, 16, 324–346. [Google Scholar] [CrossRef]
- Zhou, G.D.; Yi, T.H. Recent Developments on Wireless Sensor Networks Technology for Bridge Health Monitoring. Math. Probl. Eng. 2013, 2013, 947867. [Google Scholar] [CrossRef]
- Chen, Z.S.; Zhou, X.; Wang, X.; Dong, L.L.; Qian, Y.H. Deployment of a Smart Structural Health Monitoring System for Long-Span Arch Bridges: A Review and a Case Study. Sensors 2017, 17, 2151. [Google Scholar] [CrossRef] [PubMed]
- Deng, Z.H.; Huang, M.S.; Wan, N.; Zhang, J.W. The Current Development of Structural Health Monitoring for Bridges: A Review. Buildings 2023, 13, 1360. [Google Scholar] [CrossRef]
- Ju, M.; Dou, Z.; Li, J.W.; Qiu, X.; Shen, B.; Zhang, D.; Yao, F.Z.; Gong, W.; Wang, K. Piezoelectric Materials and Sensors for Structural Health Monitoring: Fundamental Aspects, Current Status, and Future Perspectives. Sensors 2023, 23, 543. [Google Scholar] [CrossRef]
- Kaartinen, E.; Dunphy, K.; Sadhu, A. LiDAR-Based Structural Health Monitoring: Applications in Civil Infrastructure Systems. Sensors 2022, 22, 4610. [Google Scholar] [CrossRef] [PubMed]
- Kim, J.W.; Choi, H.W.; Kim, S.K.; Na, W.S. Review of Image-Processing-Based Technology for Structural Health Monitoring of Civil Infrastructures. J. Imaging 2024, 10, 93. [Google Scholar] [CrossRef]
- Di Mucci, V.M.; Cardellicchio, A.; Ruggieri, S.; Nettis, A.; Renò, V.; Uva, G. Artificial intelligence in structural health management of existing bridges. Autom. Constr. 2024, 167, 105719. [Google Scholar] [CrossRef]
- Zinno, R.; Haghshenas, S.S.; Guido, G.; Rashvand, K.; Vitale, A.; Sarhadi, A. The State of the Art of Artificial Intelligence Approaches and New Technologies in Structural Health Monitoring of Bridges. Appl. Sci. 2023, 13, 97. [Google Scholar] [CrossRef]
- Tabatabaeian, A.; Liu, S.; Harrison, P.; Schlangen, E.; Fotouhi, M. A review on self-reporting mechanochromic composites: An emerging technology for structural health monitoring. Compos. Part A Appl. Sci. Manuf. 2022, 163, 107236. [Google Scholar] [CrossRef]
- Guo, H.L.; Xiao, G.Z.; Mrad, N.; Yao, J.P. Fiber Optic Sensors for Structural Health Monitoring of Air Platforms. Sensors 2011, 11, 3687–3705. [Google Scholar] [CrossRef]
- Strantza, M.; De Baere, D.; Rombouts, M.; Maes, G.; Guillaume, P.; Van Hemelrijck, D. Feasibility study on integrated structural health monitoring system produced by metal three-dimensional printing. Struct. Health Monit. Int. J. 2015, 14, 622–632. [Google Scholar] [CrossRef]
- Guemes, A.; Salowitz, N.; Chang, F.K. Trends on research in structural health monitoring. Struct. Health Monit. Int. J. 2014, 13, 579–580. [Google Scholar]
- Farrar, C.R.; Sohn, H.; Fugate, M.L.; Czarnecki, J.J. Integrated structural health monitoring. Adv. Nondestruct. Eval. Struct. Biol. Health Monit. 2011, 4335, 1–8. [Google Scholar]
- Stull, C.J.; Hemez, F.M.; Farrar, C.R. On assessing the robustness of structural health monitoring technologies. Struct. Health Monit. Int. J. 2012, 11, 712–723. [Google Scholar] [CrossRef]
- Zhou, Y.; Liu, D.; Li, D.; Zhao, Y.; Zhang, M.; Zhang, W. Review on Structural Health Monitoring in Metal Aviation Based on Fiber Bragg Grating Sensing Technology. In Proceedings of the 2020 Prognostics And System Health Management Conference, Besancon, France, 4–7 May 2020; pp. 97–102. [Google Scholar]
- Xu, Y.N.; Ren, Y.C.; Qiao, Q. Fault Prediction of Metro Door System Based on Bayesian Network. In Transportation in China-Connecting the World; ASCE Press: Arlington, VA, USA, 2019; pp. 1997–2008. [Google Scholar]
- Ji, Q.L.; Cai, W.Y.; Qi, Q.M.; Cao, Z.; Chen, G.D. Application of data mining model based on Bayesian artificial neural network in fault diagnosis for hydraulic generators. In Proceedings of the 24th Chinese Control Conference, Guangzhou, China, 15 June–18 July 2005; pp. 1308–1311. [Google Scholar]
- Pradhan, O.; Wen, J.; Chu, M.Y.; O’Neill, Z. Dynamic Bayesian Networks for Fault Prognosis. In Proceedings of the 10th ACM International Conference on Systems For Energy-Efficient Buildings, Istanbul, Turkey, 15–16 November 2023; pp. 296–297. [Google Scholar]
- Vashisht, R.; Viji, H.; Sundararajan, T.; Mohankumar, D.; Sumitra, S. Structural Health Monitoring of Cantilever Beam, a Case Study—Using Bayesian Neural Network and Deep Learning. In Structural Integrity Assessment: Proceedings of ICONS 2018; Springer: Singapore, 2020; pp. 749–761. [Google Scholar]
- Noel, V.; Rodet, T.; Lesselier, D. Identification and characterization of damaged fiber-reinforced laminates in a Bayesian framework. Int. J. Appl. Electromagn. Mech. 2024, 74, 379–386. [Google Scholar] [CrossRef]
- Miyakawa, T.; Nakamura, S.; Nishikawa, T. Identification of influencing factors on bridge damages using Bayesian network. Eur. Assoc. Qual. Control Bridges Struct. Eurostruct. 2023, 6, 389–394. [Google Scholar] [CrossRef]
- Arangio, S.; Bontempi, F. Structural health monitoring of a cable-stayed bridge with Bayesian neural networks. Struct. Infrastruct. Eng. 2015, 11, 575–587. [Google Scholar] [CrossRef]
- Holicky, M.; Markova, J.; Sykora, M. Forensic assessment of a bridge downfall using Bayesian networks. Eng. Fail. Anal. 2013, 30, 1–9. [Google Scholar] [CrossRef]
- Shunqi, Y.; Ying, Z.; Xiang, L.; Yanfeng, L.; Hongzhong, H. Reliability analysis for wireless communication networks via dynamic Bayesian network. J. Syst. Eng. Electron. 2023, 34, 1368–1374. [Google Scholar] [CrossRef]
- Nguyen, M.; Wang, X.; Su, Z.; Ye, L. Damage identification for composite structures with a Bayesian network. In Proceedings of the 2004 Intelligent Sensors, Sensor Networks & Information Processing Conference, Melbourne, VIC, Australia, 14–17 December 2014. [Google Scholar]
- Lampis, M.; Andrews, J.D. Bayesian belief networks for system fault diagnostics. Qual. Reliab. Eng. Int. 2009, 25, 409–426. [Google Scholar] [CrossRef]
- Conde, B.; Eguía, P.; Stavroulakis, G.E.; Granada, E. Parameter identification for damaged condition investigation on masonry arch bridges using a Bayesian approach. Eng. Struct. 2018, 172, 275–284. [Google Scholar] [CrossRef]
- Ierimonti, L.; Cavalagli, N.; Venanzi, I.; García-Macías, E.; Ubertini, F. A transfer Bayesian learning methodology for structural health monitoring of monumental structures. Eng. Struct. 2021, 247, 113089. [Google Scholar] [CrossRef]
- Alazzawi, O.; Wang, D. Damage identification using the PZT impedance signals and residual learning algorithm. Civ. Struct. Health Monit. 2021, 11, 1225–1238. [Google Scholar] [CrossRef]
- Sun, X.; Xin, Y.; Wang, Z.; Yuan, M.; Chen, H. Damage Detection of Steel Truss Bridges Based on Gaussian Bayesian Networks. Buildings 2022, 12, 1463. [Google Scholar] [CrossRef]
- Wu, J.K.; Wong, Y.F. Bayesian approach for data fusion in sensor networks. In Proceedings of the 9th International Conference on Information Fusion, Florence, Italy, 10–13 July 2006; pp. 1757–1761. [Google Scholar]
- Zhang, L.W.; Zhang, J.; Sun, Y. Research of Selective and Incremental Information Fusion Method Based on Bayesian Network. Adv. Des. Manuf. Technol. III 2013, 397–400, 2060–2063. [Google Scholar] [CrossRef]
- Park, C.Y.; Laskey, K.B.; Costa, P.C.; Matsumoto, S. Multi-Entity Bayesian Networks Learning for Hybrid Variables in Situation Awareness. In Proceedings of the 16th International Conference on Information Fusion, Istanbul, Turkey, 9–12 July 2013; pp. 1894–1901. [Google Scholar]
- Moradi, R.; Cofre-Martel, S.; Lopez, E.; Modarres, D.M.; Groth, K.M. Integration of deep learning and Bayesian networks for condition and operation risk monitoring of complex engineering systems. Reliab. Eng. Syst. Saf. 2022, 222, 108433. [Google Scholar] [CrossRef]
- Vagnoli, M.; Remenyte-Prescott, R. Updating conditional probabilities of Bayesian belief networks by merging expert knowledge and system monitoring data. Autom. Constr. 2022, 140, 104366. [Google Scholar] [CrossRef]
- Gao, W.; Zeng, Z.; Ma, X.; Ke, Y.; Zhi, M. An improved hybrid structure learning strategy for Bayesian networks based on ensemble learning. Intell. Data Anal. 2023, 27, 1103–1120. [Google Scholar] [CrossRef]
- Zou, L.; Zhuang, K.J.; Zhou, A.; Hu, J. Bayesian optimization and channel-fusion-based convolutional autoencoder network for fault diagnosis of rotating machinery. Eng. Struct. 2023, 280, 115708. [Google Scholar] [CrossRef]
- Li, Y.K.; Zhou, E.L.; Zhang, F.M. A Distributed Bayesian Data Fusion Algorithm with Uniform Consistency. IEEE Trans. Autom. Control 2024, 69, 6176–6182. [Google Scholar] [CrossRef]
- Ierimonti, L.; Mariani, F.; Ubertini, F.; Venanzi, I. Integrating Bayesian Networks into Enhanced Bridge Management: A Data Fusion Approach. In Proceedings of the 10th International Operational Modal Analysis Conference, Naples, Italy, 22–24 May 2024; Springer Cham: Berlin/Heidelberg, Germany, 2024; Volume 515, pp. 125–136. [Google Scholar]
- Ding, Y.; Dong, J.; Yang, T.; Zhou, S.; Wei, Y. Failure Evaluation of Bridge Deck Based on Parallel Connection Bayesian Network: Analytical Model. Materials 2021, 14, 1411. [Google Scholar] [CrossRef]
- Li, H.L.; Wang, T.Y.; Wu, G. A Bayesian deep learning approach for random vibration analysis of bridges subjected to vehicle dynamic interaction. Mech. Syst. Signal Process. 2022, 170, 108799. [Google Scholar] [CrossRef]
- Zhang, Y.M.; Wang, H.; Mao, J.X. A Bayesian neural network approach for probabilistic model updating using incomplete modal data. Struct. Control Health Monit. 2022, 29, e3030. [Google Scholar] [CrossRef]
- Chen, S.Z.; Zhong, Q.M.; Hou, S.T.; Wu, G. Two-stage stochastic model updating method for highway bridges based on long-gauge strain sensing. Structures 2022, 37, 1165–1182. [Google Scholar] [CrossRef]
- Xiao, F.; Chen, X.; Cheng, J.; Yang, S.; Ma, Y. Establishment of probabilistic prediction models for pavement deterioration based on Bayesian neural network. Int. J. Pavement Eng. 2023, 24, 2076854. [Google Scholar] [CrossRef]
- Zeng, C.; Huang, J.; Wang, H.; Xie, J.; Zhang, Y. Deep Bayesian survival analysis of rail useful lifetime. Eng. Struct. 2023, 295, 116822. [Google Scholar] [CrossRef]
- Shah, C.; Hossain, N.U.I.; Khan, M.M.; Alam, S.T. A dynamic Bayesian network model for resilience assessment in blockchain-based internet of medical things with time variation. Healthc. Anal. 2023, 4, 100280. [Google Scholar] [CrossRef]
- Zhang, Z.; Zhang, T.; Li, X.; Dias, D. Bayesian ensemble methods for predicting ground deformation due to tunnelling with sparse monitoring data. Undergr. Space 2024, 79, 79–93. [Google Scholar] [CrossRef]
- Wang, Q.; Jiang, X.; Park, H.; Wang, M. HGV fire risk assessment method in highway tunnel based on a Bayesian network. Tunn. Undergr. Space Technol. 2023, 140, 105247. [Google Scholar] [CrossRef]
- Yuan, X.; Cai, B.; Ma, Y.; Zhang, J.; Mulenga, K.; Liu, Y.; Chen, G. Reliability Evalu ation Methodology of Complex S ystems Based on Dynamic Object-Oriented Bayesian Networks. IEEE Access 2018, 6, 11289–11300. [Google Scholar] [CrossRef]
- Wang, R.; Ma, L.; Yan, C.; Mathew, J. Structural reliability prediction of a steel bridge element using dynamic object oriented Bayesian network (DOOBN). In Proceedings of the 2011 International Conference on Quality, Reliability, Risk, Maintenance, and Safety Engineering, Xi’an, China, 17–19 June 2011. [Google Scholar]
- Liu, Q.; Tchangani, A.; Pérès, F.; Go nzalez-Prida, V. Object-oriented Bayesian network for complex system risk assessment. Proc. Inst. Mech. Eng. Part O J. Risk Reliab. 2018, 232, 340–351. [Google Scholar] [CrossRef]
- Modarres, M.; Kaminskiy, M.; Krivtsov, V. Reliability Engineering and Risk Analysis; Dekker, M., Ed.; Rochester Institute of Technology: New York, NY, USA, 1999. [Google Scholar]
- Hudson, L.; Ware, B.; Laskey, K.; Mahoney, S. An Application of Bayesian Networks to Antiterrorism Risk Management for Military Planners; Technical Report for Digital Sandbox: McLean, VA, USA, 2001. [Google Scholar]
- Weber, P.; Medina-Oliva, G.; Simon, C.; Iung, B. Overview on Bayesian networks applications for dependability, risk analysis and maintenance areas. Eng. Appl. Artif. Intell. 2012, 25, 671–682. [Google Scholar] [CrossRef]
- Guo, J.; Zhang, J.; Wang, Z.; Liu, X.; Zhou, S.; Shi, G.; Shi, Z. Formation Cooperative Intelligent Tactical Decision Making Based on Bayesian Network Model. Drones 2024, 8, 427. [Google Scholar] [CrossRef]
- Jakubczyk-Galczynska, A.; Siemaszko, A.; Poltavets, M. Optimizing Construction Engineering Management Using Metaheuristic Methods and Bayesian Networks. Appl. Sci. 2024, 14, 4871. [Google Scholar] [CrossRef]
- Sousa, R.L.; Einstein, H.H. Risk analysis during tunnel construction using Bayesian Networks: Porto Metro case study. Tunn. Undergr. Space Technol. 2012, 27, 86–100. [Google Scholar] [CrossRef]
- Vagnoli, M.; Remenyte-Prescott, R. Structural health monitoring of bridges A Bayesian network approach. In Life Cycle Analysis and Assessment in Civil Engineering: Towards an Integrated Vision; CRC Press: Boca Raton, FL, USA, 2019; pp. 1983–1989. [Google Scholar]
- Tubaldi, E.; Turchetti, F. A Bayesian network-based probabilistic framework for updating aftershock risk of bridges. Earthq. Eng. Struct. Dyn. 2022, 51, 2496–2519. [Google Scholar] [CrossRef]
- Park, Y.-J.; Ang, A.H.-S.; Wen, Y.K. Seismic damage analysis of reinforced concrete buildings. J. Struct. Eng. 1985, 111, 740–757. [Google Scholar] [CrossRef]
- Xia, N.; Wang, X.; Wang, Y.; Yang, Q.; Liu, X. Lifecycle cost risk analysis for infrastructure projects with modified Bayesian networks. J. Eng. Des. Technol. 2017, 15, 79–103. [Google Scholar] [CrossRef]
- Gibson, E.M.; Bensi, M.T. Bayesian Network Framework to Model Seismic Failure Modes for an Embankment Dam System. In ASCE Inspire; ASCE Press: Arlington, VA, USA, 2023. [Google Scholar]
- Mendoza-Lugo, M.A.; Nogal, M.; Morales-Nápoles, O. Estimating bridge criticality due to extreme traffic loads in highway networks. Eng. Struct. 2024, 300, 117172. [Google Scholar] [CrossRef]










| A | P(A) |
|---|---|
| True | 0.1 |
| Not true | 0.9 |
| B | P(B) |
|---|---|
| True | 0.4 |
| Not true | 0.6 |
| A | P(C) | |
|---|---|---|
| True | Not True | |
| True | 0.8 | 0.1 |
| Not true | 0.2 | 0.9 |
| A | P(D) | |||
|---|---|---|---|---|
| B = True | B = Not True | |||
| True | Not True | True | Not True | |
| True | 0.8 | 0.6 | 0.6 | 0.3 |
| Not true | 0.2 | 0.4 | 0.4 | 0.7 |
| Method Type | Core Strengths | Main Drawback |
|---|---|---|
| BN | Highly interpretable, supporting causal reasoning Explicitly quantifies uncertainty Can integrate expert knowledge with data | High computational complexity (curse of dimensionality) Reliance on prior knowledge and structured data Dynamic modeling requires extensions (DBN) |
| LSTM | Strong sequential modeling capability, capturing long-term dependencies Automatic feature extraction, adapting to complex temporal patterns | Black-box models, poor interpretability Requires large amounts of labeled data High computational resource consumption |
| Traditional machine learning | High computational efficiency, suitable for small samples Some models are interpretable (e.g., decision trees) Robust to noise | Reliant on manual feature engineering Difficult to handle high-dimensional temporal or spatial data Unable to quantify uncertainty |
| Deep learning | Automatically extract unstructured features (such as images, spectrograms) High precision, suitable for complex pattern recognition | Data demand is extremely high, and labeling costs are substantial Lacks the ability to model uncertainty High complexity in model deployment |
Disclaimer/Publisher’s Note: The statements, opinions and data contained in all publications are solely those of the individual author(s) and contributor(s) and not of MDPI and/or the editor(s). MDPI and/or the editor(s) disclaim responsibility for any injury to people or property resulting from any ideas, methods, instructions or products referred to in the content. |
© 2025 by the authors. Licensee MDPI, Basel, Switzerland. This article is an open access article distributed under the terms and conditions of the Creative Commons Attribution (CC BY) license (https://creativecommons.org/licenses/by/4.0/).
Share and Cite
Wang, Q.-A.; Lu, A.-W.; Ni, Y.-Q.; Wang, J.-F.; Ma, Z.-G. Bayesian Network in Structural Health Monitoring: Theoretical Background and Applications Review. Sensors 2025, 25, 3577. https://doi.org/10.3390/s25123577
Wang Q-A, Lu A-W, Ni Y-Q, Wang J-F, Ma Z-G. Bayesian Network in Structural Health Monitoring: Theoretical Background and Applications Review. Sensors. 2025; 25(12):3577. https://doi.org/10.3390/s25123577
Chicago/Turabian StyleWang, Qi-Ang, Ao-Wen Lu, Yi-Qing Ni, Jun-Fang Wang, and Zhan-Guo Ma. 2025. "Bayesian Network in Structural Health Monitoring: Theoretical Background and Applications Review" Sensors 25, no. 12: 3577. https://doi.org/10.3390/s25123577
APA StyleWang, Q.-A., Lu, A.-W., Ni, Y.-Q., Wang, J.-F., & Ma, Z.-G. (2025). Bayesian Network in Structural Health Monitoring: Theoretical Background and Applications Review. Sensors, 25(12), 3577. https://doi.org/10.3390/s25123577

