Retrospective Frailty Assessment in Older Adults Using Inertial Measurement Unit-Based Deep Learning on Gait Spectrograms
Abstract
1. Introduction
2. Materials and Methods
2.1. IMU Data Acquisition and Preprocessing
2.1.1. IMU Data Preprocessing and Spectrogram Generation
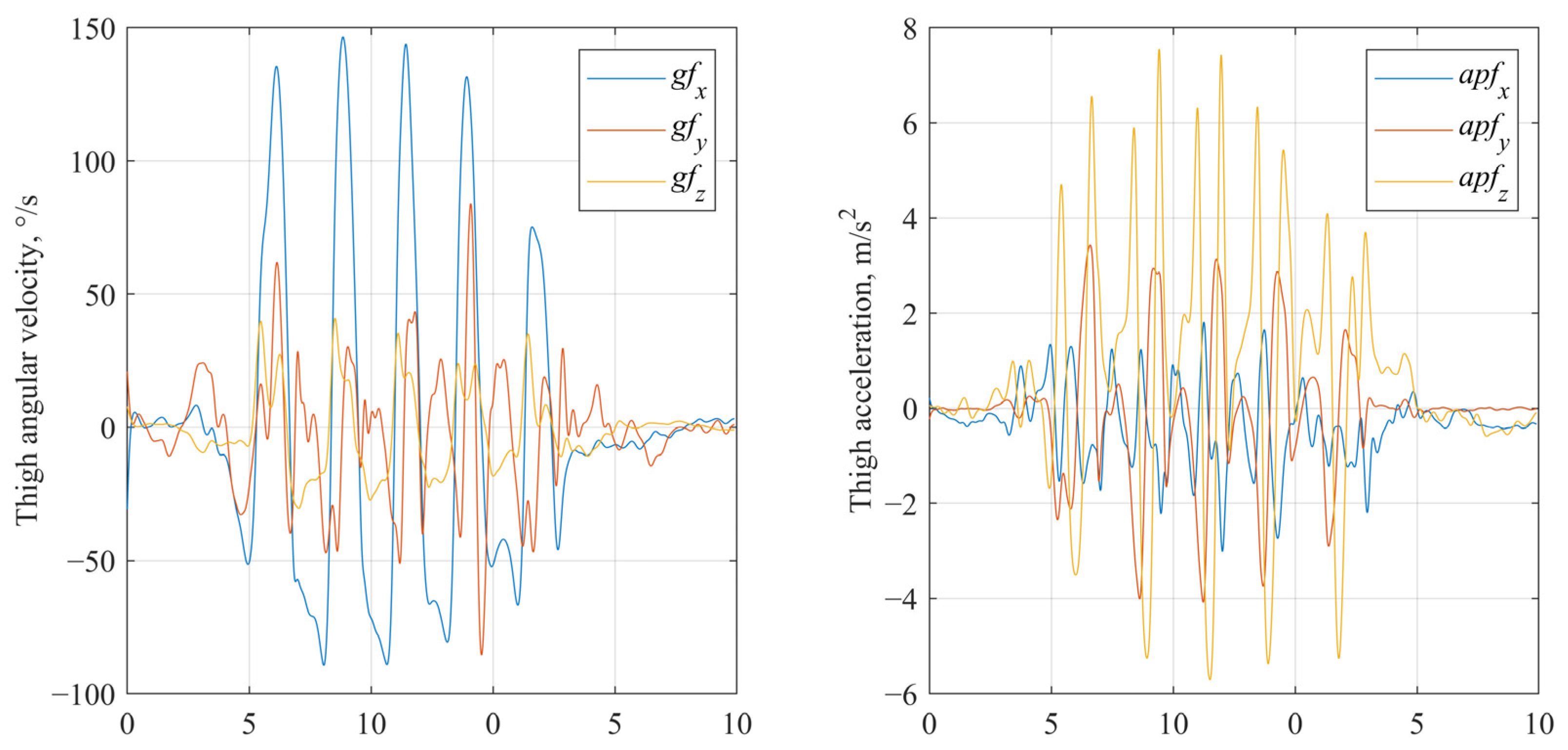
- Raw signals (no processing). Unaltered tri-axial accelerometer and gyroscope signals were used to evaluate the baseline capability of the model to learn directly from unfiltered sensor data. Examples of raw accelerometer and gyroscope signal are shown in Figure 2.
- Preprocessed signals (baseline processing). In the baseline processing, accelerometer data were detrended to remove gravitational offset [50]. For each gait trial, a baseline gravitational component was estimated as the mean acceleration over samples 5 to 30, corresponding to an initial standing phase, which was then subtracted from the entire accelerometer signal along each axis, effectively isolating dynamic acceleration related to movement (Figure 3). Gyroscope data were retained in their original form.

- Filtered signals (low pass filtering). The gravity-corrected accelerometer signals (from the baseline processed dataset) and raw gyroscope signals were further processed using a 2nd-order low-pass Butterworth filter with a cut-off frequency of 8 Hz, applied separately to each axis (Figure 4). The selection of the 8 Hz cutoff frequency was informed by the existing literature and gait frequency analysis. Typical human walking involves frequency components predominantly below 10 Hz, with higher frequencies generally attributed to noise or extraneous motion artifacts [52,53].

2.1.2. Data Partitioning and Leakage Control
2.2. Clinical Data
2.3. Subject-Based Data Splitting
2.4. Deep Learning Model Architecture
2.5. Training Process
2.6. Evaluation Metrics
- Spectrogram-Level Evaluation. Classification accuracy, confusion matrix, sensitivity, specificity and balanced accuracy were computed at the individual spectrogram level.
- Subject-Level Evaluation. Each participant was assigned a final predicted label using a majority vote across all their spectrograms. Subject-level confusion matrices and accuracy were also computed to reflect better real-world performance, where clinical decisions would be based on whole-subject classification.
3. Results
4. Discussion
5. Conclusions
Author Contributions
Funding
Institutional Review Board Statement
Informed Consent Statement
Data Availability Statement
Conflicts of Interest
Abbreviations
| IMU | Inertial Measurement Unit |
| CNN | Convolutional Neural Network |
| STFT | Short-Time Fourier Transform |
References
- Fried, L.P.; Tangen, C.M.; Walston, J.; Newman, A.B.; Hirsch, C.; Gottdiener, J.; Seeman, T.; Tracy, R.; Kop, W.J.; Burke, G.; et al. Frailty in Older Adults: Evidence for a Phenotype. J. Gerontol. Ser. A Biol. Sci. Med. Sci. 2001, 56, M146–M157. [Google Scholar] [CrossRef] [PubMed]
- Rockwood, K.; Mitnitski, A. Frailty in Relation to the Accumulation of Deficits. J. Gerontol. Ser. A Biol. Sci. Med. Sci. 2007, 62, 722–727. [Google Scholar] [CrossRef] [PubMed]
- Gill, T.M.; Gahbauer, E.A.; Allore, H.G.; Han, L. Transitions between Frailty States among Community-Living Older Persons. Arch. Intern. Med. 2006, 166, 418–423. [Google Scholar] [CrossRef] [PubMed]
- Lang, P.O.; Michel, J.P.; Zekry, D. Frailty Syndrome: A Transitional State in a Dynamic Process. Gerontology 2009, 55, 539–549. [Google Scholar] [CrossRef]
- Kiely, D.K.; Cupples, L.A.; Lipsitz, L.A. Validation and Comparison of Two Frailty Indexes: The MOBILIZE Boston Study. J. Am. Geriatr. Soc. 2009, 457, 1532–1539. [Google Scholar] [CrossRef]
- da Câmara, S.M.A.; Alvarado, B.E.; Guralnik, J.M.; Guerra, R.O.; Maciel, Á.C.C. Using the Short Physical Performance Battery to Screen for Frailty in Young-Old Adults with Distinct Socioeconomic Conditions. Geriatr. Gerontol. Int. 2013, 13, 421–428. [Google Scholar] [CrossRef]
- Melzer, D.; Lan, T.Y.; Tom, B.D.M.; Deeg, D.J.H.; Guralnik, J.M. Variation in Thresholds for Reporting Mobility Disability between National Population Subgroups and Studies. J. Gerontol. Ser. A Biol. Sci. Med. Sci. 2004, 59, 1295–1303. [Google Scholar] [CrossRef][Green Version]
- Tudor-Locke, C.E.; Myers, A.M. Challenges and Opportunities for Measuring Physical Activity in Sedentary Adults. Sports Med. 2001. [Google Scholar] [CrossRef]
- McDonagh, J.; Prichard, R.; Ferguson, C.; Phillips, J.L.; Davidson, P.M.; Macdonald, P.S.; Newton, P.J. Clinician Estimates of Frailty Compared to Formal Frailty Assessment in Adults with Heart Failure: A Cross-Sectional Analysis. Heart Lung Circ. 2022, 31, 1241–1246. [Google Scholar] [CrossRef]
- Sharma, H.; Devkaran, B.; Kapoor, K.; Odugoudar, A.; Koufopoulos, G.; Mehra, S. WTP2.2 Subjective Assessment of Frailty Compared to Validated Frailty Assessment in Adults with Chronic Renal Failure Presenting for Dialysis-Access/Transplant Workup Has Poor Estimation of Agreement. Br. J. Surg. 2023, 110 (Suppl. 6), znad241.158. [Google Scholar] [CrossRef]
- Amorim, A.B.; Pappas, E.; Simic, M.; Ferreira, M.L.; Tiedemann, A.; Jennings, M.; Ferreira, P.H. Integrating Mobile Health and Physical Activity to Reduce the Burden of Chronic Low Back Pain Trial (IMPACT): A Pilot Trial Protocol. BMC Musculoskelet. Disord. 2016, 17, 36. [Google Scholar] [CrossRef] [PubMed]
- Panhwar, Y.N.; Naghdy, F.; Naghdy, G.; Stirling, D.; Potter, J. Assessment of Frailty: A Survey of Quantitative and Clinical Methods. BMC Biomed. Eng. 2019, 1, 7. [Google Scholar] [CrossRef] [PubMed]
- Oliveira, C.B.; Franco, M.R.; Maher, C.G.; Tiedemann, A.; Silva, F.G.; Damato, T.M.; Nicholas, M.K.; Christofaro, D.G.D.; Pinto, R.Z. The Efficacy of a Multimodal Physical Activity Intervention with Supervised Exercises, Health Coaching and an Activity Monitor on Physical Activity Levels of Patients with Chronic, Nonspecific Low Back Pain (Physical Activity for Back Pain (PAyBACK) Trial): Study Protocol for a Randomised Controlled Trial. Trials 2018, 19, 40. [Google Scholar] [CrossRef] [PubMed]
- Janevic, M.R.; Shute, V.; Murphy, S.L.; Piette, J.D. Acceptability and Effects of Commercially Available Activity Trackers for Chronic Pain Management Among Older African American Adults. Pain Med. 2020, 21, e68–e78. [Google Scholar] [CrossRef]
- Patel, M.S.; Asch, D.A.; Volpp, K.G. Wearable Devices as Facilitators, Not Drivers, of Health Behavior Change. JAMA 2015, 313, 459. [Google Scholar] [CrossRef]
- Kuduz, H.; Kaçar, F. A Deep Learning Approach for Human Gait Recognition from Time-Frequency Analysis Images of Inertial Measurement Unit Signal. Int. J. Appl. Methods Electron. Comput. 2023, 11, 165–173. [Google Scholar] [CrossRef]
- Tran, L.; Hoang, T.; Nguyen, T.D.; Kim, H.; Choi, D. Multi-Model Long Short-Term Memory Network for Gait Recognition Using Window-Based Data Segment. IEEE Access 2021, 9, 23826–23839. [Google Scholar] [CrossRef]
- Ruiz-Ruiz, L.; Seco, F.; Jimenez, A.R.; Garcia, S.; Garcia, J.J. Evaluation of Gait Parameter Estimation Accuracy: A Comparison between Commercial IMU and Optical Capture Motion System. In Proceedings of the 2022 IEEE International Symposium on Medical Measurements and Applications (MeMeA), Messina, Italy, 22–15 June 2022; pp. 1–2. [Google Scholar] [CrossRef]
- Razjouyan, J.; Naik, A.D.; Horstman, M.J.; Kunik, M.E.; Amirmazaheri, M.; Zhou, H.; Sharafkhaneh, A.; Najafi, B. Wearable Sensors and the Assessment of Frailty among Vulnerable Older Adults: An Observational Cohort Study. Sensors 2018, 18, 1336. [Google Scholar] [CrossRef]
- Chen, M.; Wang, H.; Yu, L.; Yeung, E.H.K.; Luo, J.; Tsui, K.-L.; Zhao, Y. A Systematic Review of Wearable Sensor-Based Technologies for Fall Risk Assessment in Older Adults. Sensors 2022, 22, 6752. [Google Scholar] [CrossRef]
- Zhou, H.; Park, C.; Shahbazi, M.; York, M.K.; Kunik, M.E.; Naik, A.D.; Najafi, B. Digital Biomarkers of Cognitive Frailty: The Value of Detailed Gait Assessment Beyond Gait Speed. Gerontology 2022, 68, 224–233. [Google Scholar] [CrossRef]
- Fan, S.; Ye, J.; Xu, Q.; Peng, R.; Hu, B.; Pei, Z.; Yang, Z.; Xu, F. Digital Health Technology Combining Wearable Gait Sensors and Machine Learning Improve the Accuracy in Prediction of Frailty. Front. Public Health 2023, 11, 1169083. [Google Scholar] [CrossRef] [PubMed]
- Zebin, T.; Scully, P.; Ozanyan, K. Human Activity Recognition With Inertial Sensors Using a Deep Learning Approach. In Proceedings of the 2016 IEEE SENSORS, Orlando, FL, USA, 30 October–3 November 2016. [Google Scholar] [CrossRef]
- Mukhopadhyay, S.C. Wearable Sensors for Human Activity Monitoring: A Review. IEEE Sens. J. 2015, 15, 1321–1330. [Google Scholar] [CrossRef]
- Hassan, M.M.; Uddin, M.Z.; Mohamed, A.; Almogren, A. A Robust Human Activity Recognition System Using Smartphone Sensors and Deep Learning. Future Gener. Comput. Syst. 2018, 81, 307–313. [Google Scholar] [CrossRef]
- Ahmed, N.; Rafiq, J.I.; Islam, M.R. Enhanced Human Activity Recognition Based on Smartphone Sensor Data Using Hybrid Feature Selection Model. Sensors 2020, 20, 317. [Google Scholar] [CrossRef]
- Son, M.; Han, S.H.; Lyoo, C.H.; Lim, J.A.; Jeon, J.; Hong, K.-B.; Park, H. The Effect of Levodopa on Bilateral Coordination and Gait Asymmetry in Parkinson’s Disease Using Inertial Sensor. NPJ Park. Dis. 2021, 7, 42. [Google Scholar] [CrossRef]
- Nagano, H.; Sarashina, E.; Sparrow, W.; Mizukami, K.; Begg, R. General Mental Health Is Associated with Gait Asymmetry. Sensors 2019, 19, 4908. [Google Scholar] [CrossRef]
- García-de-Villa, S.; Neira, G.G.-V.; Álvarez, M.N.; Huertas-Hoyas, E.; Ruiz, L.R.; del-Ama, A.J.; Sánchez, M.C.R.; Jiménez, A.R. A Database with Frailty, Functional and Inertial Gait Metrics for the Research of Fall Causes in Older Adults. Sci. Data 2023, 10, 566. [Google Scholar] [CrossRef]
- Hirano, Y.; Yamada, Y.; Akiyama, Y.; Nakamura, H.; Matsui, Y. Preliminary Gait Analysis of Frail versus Older Adults. J. Phys. Ther. Sci. 2024, 36, 2023–2105. [Google Scholar] [CrossRef]
- Apsega, A.; Petrauskas, L.; Alekna, V.; Daunoraviciene, K.; Sevcenko, V.; Mastaviciute, A.; Vitkus, D.; Tamulaitiene, M.; Griskevicius, J. Wearable Sensors Technology as a Tool for Discriminating Frailty Levels During Instrumented Gait Analysis. Appl. Sci. 2020, 10, 8451. [Google Scholar] [CrossRef]
- Song, S.-M.; Fernandes, N.; Nordin, A.D. Characterizing Bodyweight-Supported Treadmill Walking on Land and Underwater Using Foot-Worn Inertial Measurement Units and Machine Learning for Gait Event Detection. Sensors 2023, 23, 7945. [Google Scholar] [CrossRef]
- Zrenner, M.; Küderle, A.; Roth, N.; Jensen, U.; Dümler, B.; Eskofier, B.M. Does the Position of Foot-Mounted IMU Sensors Influence the Accuracy of Spatio-Temporal Parameters in Endurance Running? Sensors 2020, 20, 5705. [Google Scholar] [CrossRef] [PubMed]
- Fatima, R.; Khan, M.H.; Nisar, M.A.; Doniec, R.; Farid, M.S.; Grzegorzek, M. A Systematic Evaluation of Feature Encoding Techniques for Gait Analysis Using Multimodal Sensory Data. Sensors 2023, 24, 75. [Google Scholar] [CrossRef] [PubMed]
- Aubin, P.M.; Serackis, A.; Griskevicius, J. Support Vector Machine Classification of Parkinson’s Disease, Essential Tremor and Healthy Control Subjects Based on Upper Extremity Motion. In Proceedings of the 2012 International Conference on Biomedical Engineering and Biotechnology, Macau, China, 28–30 May 2012; pp. 900–904. [Google Scholar] [CrossRef]
- Liu, Y.; He, X.; Wang, R.; Teng, Q.; Hu, R.; Qing, L.; Wang, Z.; He, X.; Yin, B.; Mou, Y.; et al. Application of Machine Vision in Classifying Gait Frailty Among Older Adults. Front. Aging Neurosci. 2021, 13, 757823. [Google Scholar] [CrossRef] [PubMed]
- Espinoza Bernal, V.C.; Hiremath, S.V.; Wolf, B.; Riley, B.; Mendonca, R.J.; Johnson, M.J. Classifying and Tracking Rehabilitation Interventions through Machine-Learning Algorithms in Individuals with Stroke. J. Rehabil. Assist. Technol. Eng. 2021, 8, 205566832110446. [Google Scholar] [CrossRef]
- Panwar, M.; Biswas, D.; Bajaj, H.; Jobges, M.; Turk, R.; Maharatna, K.; Acharyya, A. Rehab-Net: Deep Learning Framework for Arm Movement Classification Using Wearable Sensors for Stroke Rehabilitation. IEEE Trans. Biomed. Eng. 2019, 66, 3026–3037. [Google Scholar] [CrossRef]
- Romijnders, R.; Warmerdam, E.; Hansen, C.; Schmidt, G.; Maetzler, W. A Deep Learning Approach for Gait Event Detection from a Single Shank-Worn IMU: Validation in Healthy and Neurological Cohorts. Sensors 2022, 22, 3859. [Google Scholar] [CrossRef]
- Park, C.; Mishra, R.; Golledge, J.; Najafi, B. Digital Biomarkers of Physical Frailty and Frailty Phenotypes Using Sensor-Based Physical Activity and Machine Learning. Sensors 2021, 21, 5289. [Google Scholar] [CrossRef]
- Amjad, A.; Qaiser, S.; Błaszczyszyn, M.; Szczęsna, A. The Evolution of Frailty Assessment Using Inertial Measurement Sensor-based Gait Parameter Measurements: A Detailed Analysis. WIREs Data Min. Knowl. Discov. 2024, 14, e1557. [Google Scholar] [CrossRef]
- Carvajal-Castaño, H.A.; Pérez-Toro, P.A.; Orozco-Arroyave, J.R. Classification of Parkinson’s Disease Patients—A Deep Learning Strategy. Electronics 2022, 11, 2684. [Google Scholar] [CrossRef]
- Zhao, Y.; Dong, F.; Sun, T.; Ju, Z.; Yang, L.; Shan, P.; Li, L.; Lv, X.; Lian, C. Image Expression of Time Series Data of Wearable IMU Sensor and Fusion Classification of Gymnastics Action. Expert Syst. Appl. 2024, 238, 121978. [Google Scholar] [CrossRef]
- Arshad, M.Z.; Jung, D.; Park, M.; Shin, H.; Kim, J.; Mun, K.-R. Gait-Based Frailty Assessment Using Image Representation of IMU Signals and Deep CNN. arXiv 2021. [Google Scholar] [CrossRef]
- Ismail Fawaz, H.; Lucas, B.; Forestier, G.; Pelletier, C.; Schmidt, D.F.; Weber, J.; Webb, G.I.; Idoumghar, L.; Muller, P.-A.; Petitjean, F. InceptionTime: Finding AlexNet for Time Series Classification. Data Min. Knowl. Discov. 2020, 34, 1936–1962. [Google Scholar] [CrossRef]
- Amjad, A.; Szczeęsna, A.; Błaszczyszyn, M.; Sacha, J.; Sacha, M.; Feusette, P.; Wolański, W.; Konieczny, M.; Borysiuk, Z.; Khan, B. Deep Learning for Frailty Classification Using IMU Sensor Data: Insights From FRAILPOL Database. IEEE Sens. J. 2025, 25, 3974–3981. [Google Scholar] [CrossRef]
- Patoz, A.; Lussiana, T.; Breine, B.; Gindre, C.; Malatesta, D. Comparison of Different Machine Learning Models to Enhance Sacral Acceleration-Based Estimations of Running Stride Temporal Variables and Peak Vertical Ground Reaction Force. Sports Biomech. 2023, 1–17. [Google Scholar] [CrossRef]
- Trabassi, D.; Serrao, M.; Varrecchia, T.; Ranavolo, A.; Coppola, G.; De Icco, R.; Tassorelli, C.; Castiglia, S.F. Machine Learning Approach to Support the Detection of Parkinson’s Disease in IMU-Based Gait Analysis. Sensors 2022, 22, 3700. [Google Scholar] [CrossRef]
- Gaffoor, Z.; Pietersen, K.; Jovanovic, N.; Bagula, A.; Kanyerere, T.; Ajayi, O.; Wanangwa, G.J. A Comparison of Ensemble and Deep Learning Algorithms to Model Groundwater Levels in a Data-Scarce Aquifer of Southern Africa. Hydrology 2022, 9, 125. [Google Scholar] [CrossRef]
- Janssen, W.; Bussmann, J.; Horemans, H.; Stam, H. Analysis and decomposition of accelerometric signals of trunk and thigh obtained during the sit-to-stand movement. Med. Biol. Eng. Comput. 2005, 43, 265–272. [Google Scholar] [CrossRef]
- Tan, T.; Shull, P.B.; Hicks, J.L.; Uhlrich, S.D.; Chaudhari, A. Self-Supervised Learning Improves Accuracy and Data Efficiency for IMU-Based Ground Reaction Force Estimation. bioRxiv 2023, 10, 564057. [Google Scholar] [CrossRef]
- Wang, S.; Pitts, J.; Purohit, R.; Shah, H. The Influence of Low-Pass Filtering Methods on Motion Data in Machine Learning Models. Appl. Sci. 2025, 15, 2177. [Google Scholar] [CrossRef]
- Jiang, M.; Shang, H.; Wang, Z.; Li, H.; Wang, Y. A method to deal with installation errors of wearable accelerometers for human activity recognition. Physiol. Meas. 2011, 32, 347. [Google Scholar] [CrossRef]
- Gupta, S.; Agrawal, M.; Deepak, D. Gammatonegram based triple classification of lung sounds using deep convolutional neural network with transfer learning. Biomed. Sign. Proc. Control 2011, 70, 102947. [Google Scholar] [CrossRef]
- Alnuaim, A.A.; Zakariah, M.; Shashidhar, C.; Hatamleh, W.A.; Tarazi, H.; Shukla, P.K.; Ratna, R. Speaker Gender Recognition Based on Deep Neural Networks and ResNet50. Wirel. Commun. Mob. Comput. 2022, 2022, 4444388. [Google Scholar] [CrossRef]
- Álvarez, M.N.; Ruiz, A.R.; Neira, G.G.; Huertas-Hoyas, E.; Cerda, M.T.; Delgado, L.P.; Robles, E.R.; Del-Ama, A.J.; Ruiz-Ruiz, L.; García-de-Villa, S.; et al. Assessing falls in the elderly population using G-STRIDE foot-mounted inertial sensor. Sci. Rep. 2023, 13, 9208. [Google Scholar] [CrossRef] [PubMed]






| Feature | Frail | PreFrail | NoFrail | p-Value |
|---|---|---|---|---|
| Grip strength | ||||
| Right 1 Grip Force | 20.51 ± 8.82 | 27.58 ± 8.77 | 28.35 ± 7.58 | 0.00013 |
| Left 1 Grip Force | 20.31 ± 9.45 | 26.55 ± 9.83 | 27.90 ± 7.64 | 0.00142 |
| Right 2 Grip Force | 20.54 ± 9.09 | 28.19 ± 9.08 | 30.13 ± 7.39 | 0.00002 |
| Left 2 Grip Force | 20.57 ± 9.33 | 27.46 ± 10.05 | 28.71 ± 7.41 | 0.00049 |
| Right 3 Grip Force | 20.71 ± 9.05 | 28.73 ± 8.79 | 30.13 ± 7.58 | 0.00001 |
| Left 3 Grip Force | 20.60 ± 9.45 | 27.61 ± 9.59 | 28.58 ± 7.73 | 0.00039 |
| Max Grip Force | 23.06 ± 8.77 | 31.22 ± 8.73 | 31.81 ± 7.91 | 0.00001 |
| Mobility | ||||
| TUG time | 15.67 ± 4.89 | 12.69 ± 4.53 | 7.64 ± 1.84 | 0.00000 |
| Tinneti Test score | 20.54 ± 3.90 | 22.28 ± 3.49 | 25.48 ± 2.71 | 0.00000 |
| TT balance | 11.40 ± 2.39 | 12.24 ± 1.99 | 14.23 ± 1.91 | 0.00000 |
| TT gait | 9.06 ± 2.04 | 10.03 ± 1.87 | 11.16 ± 1.37 | 0.00004 |
| BERG balance | 37.77 ± 6.81 | 40.91 ± 5.88 | 49.16 ± 7.37 | 0.00000 |
| Dynamic Gait Index | 14.26 ± 4.22 | 16.15 ± 3.50 | 19.32 ± 3.34 | 0.00000 |
| Anthropometrics | ||||
| Age | 78.80 ± 7.50 | 74.00 ± 8.47 | 73.19 ± 6.34 | 0.00479 |
| Height (cm) | 160.86 ± 6.43 | 165.79 ± 9.59 | 162.74 ± 9.60 | 0.02418 |
| Weight (kg) | 68.43 ± 15.96 | 75.85 ± 15.69 | 76.13 ± 16.27 | 0.00604 |
| BMI | 26.47 ± 6.29 | 27.68 ± 5.67 | 28.72 ± 5.52 | 0.29165 |
| Spatiotemporal Gait Parameters | ||||
| Gait Velocity (m/s) | 0.51 ± 0.13 | 0.63 ± 0.13 | 0.97 ± 0.16 | 0.00000 |
| Gait Time (s) | 8.42 ± 2.51 | 6.69 ± 1.61 | 4.25 ± 0.79 | 0.00000 |
| Right Swing (s) | 0.50 ± 0.08 | 0.51 ± 0.08 | 0.44 ± 0.06 | 0.00025 |
| Left Swing (s) | 0.53 ± 0.07 | 0.54 ± 0.06 | 0.48 ± 0.07 | 0.00007 |
| Right Stance (s) | 0.97 ± 0.21 | 0.84 ± 0.13 | 0.63 ± 0.11 | 0.00000 |
| Left Stance (s) | 0.93 ± 0.21 | 0.81 ± 0.13 | 0.59 ± 0.10 | 0.00000 |
| Right Stride (s) | 1.47 ± 0.25 | 1.35 ± 0.16 | 1.07 ± 0.15 | 0.00000 |
| Left Stride (s) | 1.46 ± 0.23 | 1.35 ± 0.16 | 1.06 ± 0.15 | 0.00000 |
| Double Support (s) | 0.21 ± 0.08 | 0.15 ± 0.07 | 0.08 ± 0.04 | 0.00000 |
| Cadence | 84.54 ± 12.98 | 91.32 ± 11.83 | 116.75 ± 13.17 | 0.00000 |
| Step Time (s) | 0.73 ± 0.13 | 0.67 ± 0.08 | 0.52 ± 0.06 | 0.00000 |
| Right Swing (%) | 34.51 ± 5.02 | 37.64 ± 4.38 | 41.28 ± 3.30 | 0.00000 |
| Left Swing (%) | 36.55 ± 4.71 | 40.35 ± 4.07 | 44.98 ± 3.50 | 0.00000 |
| Right Stance (%) | 65.49 ± 5.02 | 62.36 ± 4.38 | 58.72 ± 3.30 | 0.00000 |
| Left Stance (%) | 63.45 ± 4.71 | 59.65 ± 4.07 | 55.02 ± 3.50 | 0.00000 |
| Class | Precision | Recall | F1-Score | Support | Average Accuracy (%) |
|---|---|---|---|---|---|
| Raw IMU data + clinical features | |||||
| Frail | 0.945 ± 0.075 | 0.925 ± 0.081 | 0.933 ± 0.070 | 756 | |
| PreFrail | 0.881 ± 0.077 | 0.811 ± 0.108 | 0.841 ± 0.081 | 1512 | |
| NoFrail | 0.703 ± 0.101 | 0.825 ± 0.099 | 0.752 ± 0.072 | 648 | 85.19 |
| macro avg | 0.843 ± 0.071 | 0.854 ± 0.071 | 0.842 ± 0.071 | 2916 | |
| weighted avg | 0.858 ± 0.069 | 0.844 ± 0.073 | 0.845 ± 0.073 | 2916 | |
| Baseline processed IMU data + clinical features | |||||
| Frail | 0.993 ± 0.007 | 0.996 ± 0.006 | 0.995 ± 0.003 | 756 | |
| PreFrail | 0.907 ± 0.037 | 0.854 ± 0.058 | 0.879 ± 0.047 | 1512 | |
| NoFrail | 0.715 ± 0.106 | 0.801 ± 0.070 | 0.754 ± 0.087 | 648 | 88.15 |
| macro avg | 0.871 ± 0.045 | 0.884 ± 0.043 | 0.876 ± 0.045 | 2916 | |
| weighted avg | 0.886 ± 0.041 | 0.879 ± 0.045 | 0.881 ± 0.044 | 2916 | |
| Low-pass filtered IMU data + clinical features | |||||
| Frail | 0.980 ± 0.035 | 0.979 ± 0.041 | 0.979 ± 0.024 | 756 | |
| PreFrail | 0.915 ± 0.042 | 0.846 ± 0.056 | 0.878 ± 0.043 | 1512 | |
| NoFrail | 0.719 ± 0.078 | 0.838 ± 0.066 | 0.773 ± 0.070 | 648 | 88.15 |
| macro avg | 0.871 ± 0.041 | 0.888 ± 0.041 | 0.877 ± 0.041 | 2916 | |
| weighted avg | 0.888 ± 0.038 | 0.879 ± 0.042 | 0.881 ± 0.041 | 2916 | |
| Spectrograms | Accuracy (%) | Macro Precision | Macro Recall | Macro F1 |
|---|---|---|---|---|
| Subject-level | ||||
| Raw | 71.43 | 0.74 | 0.68 | 0.70 |
| Baseline | 64.29 | 0.67 | 0.62 | 0.63 |
| Filtered | 64.29 | 0.68 | 0.61 | 0.63 |
| Spectrogram-level | ||||
| Raw | 86.08 | 0.86 | 0.85 | 0.85 |
| Baseline | 97.22 | 0.97 | 0.97 | 0.97 |
| Filtered | 92.14 | 0.92 | 0.92 | 0.92 |
Disclaimer/Publisher’s Note: The statements, opinions and data contained in all publications are solely those of the individual author(s) and contributor(s) and not of MDPI and/or the editor(s). MDPI and/or the editor(s) disclaim responsibility for any injury to people or property resulting from any ideas, methods, instructions or products referred to in the content. |
© 2025 by the authors. Licensee MDPI, Basel, Switzerland. This article is an open access article distributed under the terms and conditions of the Creative Commons Attribution (CC BY) license (https://creativecommons.org/licenses/by/4.0/).
Share and Cite
Griškevičius, J.; Daunoravičienė, K.; Petrauskas, L.; Apšega, A.; Alekna, V. Retrospective Frailty Assessment in Older Adults Using Inertial Measurement Unit-Based Deep Learning on Gait Spectrograms. Sensors 2025, 25, 3351. https://doi.org/10.3390/s25113351
Griškevičius J, Daunoravičienė K, Petrauskas L, Apšega A, Alekna V. Retrospective Frailty Assessment in Older Adults Using Inertial Measurement Unit-Based Deep Learning on Gait Spectrograms. Sensors. 2025; 25(11):3351. https://doi.org/10.3390/s25113351
Chicago/Turabian StyleGriškevičius, Julius, Kristina Daunoravičienė, Liudvikas Petrauskas, Andrius Apšega, and Vidmantas Alekna. 2025. "Retrospective Frailty Assessment in Older Adults Using Inertial Measurement Unit-Based Deep Learning on Gait Spectrograms" Sensors 25, no. 11: 3351. https://doi.org/10.3390/s25113351
APA StyleGriškevičius, J., Daunoravičienė, K., Petrauskas, L., Apšega, A., & Alekna, V. (2025). Retrospective Frailty Assessment in Older Adults Using Inertial Measurement Unit-Based Deep Learning on Gait Spectrograms. Sensors, 25(11), 3351. https://doi.org/10.3390/s25113351

