Intelligent Prediction and Numerical Simulation of Landslide Prediction in Open-Pit Mines Based on Multi-Source Data Fusion and Machine Learning
Abstract
1. Introduction
2. Problems in the Selection and Application of Landslide Factors
2.1. Selecting Landslide Evaluation Factors Based on GIS
2.2. Problems and Solutions in Applying GIS for Landslide Prediction in Open-Pit Mines
3. Terrain-Following Flight-Based Data Acquisition Using Unmanned Aerial Vehicles
3.1. Principle of Terrain-Following Flight Technology
3.2. Data Collection Processy
3.3. UAV Data Modeling and Output Results
4. Refined 3D Geological Modeling Based on Multi-Source Data Fusion
4.1. Preliminary Geological Model Construction Method Based on 3DMine
4.2. Refinement and Correction Method for Geological Models Based on Rhino
5. Processing of Surface Information in Mining Areas Using GIS Technology
5.1. Landslide Point Cataloging Based on GIS
5.2. Landslide Factor Analysis Based on GIS
5.3. Multi-Source Data Fusion
6. Data-Driven Intelligent Landslide Prediction
6.1. Machine Learning Models and Evaluation Metric Introduction
6.2. Description of the Machine Learning Dataset
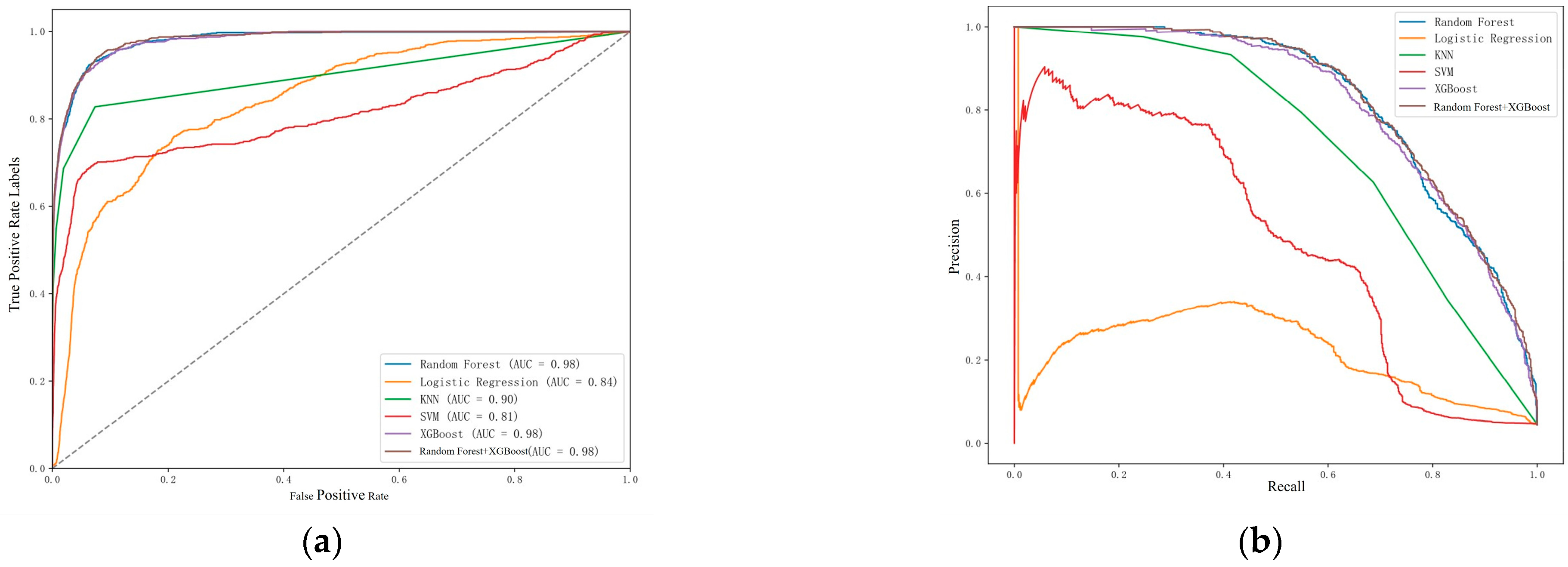
6.3. Evaluation of Machine Learning Model Accuracy
6.4. Landslide Risk Prediction and Spatial Distribution Characteristics Based on Soft Voting Strategy
7. Numerical Simulation Analysis of Slope Stability in Key Areas Based on FLAC3D
7.1. Construction of the Numerical Simulation Model and Parameter Assignment
7.2. Numerical Simulation Analysis Based on FLAC3D
8. Conclusions
- (1)
- This study highlights the application of UAV-based terrain-following flight technology on high and steep slopes in open-pit mines. By combining fieldwork and indoor processing, high-quality 3D models were successfully obtained. This technology provides an effective solution for real-time landslide monitoring, particularly in hazard area identification and early warning, offering higher accuracy compared to traditional methods.
- (2)
- This research successfully applied a GIS to landslide analysis in open-pit mines. By utilizing the 3DMine and Rhino 8 software, UAV-acquired aerial data were integrated with geological information to create a refined 3D geological model, which included lithology and fault data.
- (3)
- A GIS was used to analyze relevant influencing factors. These factors were linked to the lithology and fault effects in the 3D geological model through spatial coordinate correspondence, creating a machine learning dataset. Multi-source data fusion provided an accurate sample dataset for subsequent machine learning, significantly improving the accuracy of landslide prediction. Compared to traditional single-source methods, this approach better reflects the multidimensional characteristics of the mining environment.
- (4)
- Several machine learning algorithms were applied, with random forest and XGBoost demonstrating strong data processing and prediction capabilities. To enhance the stability and accuracy of the models, a soft voting method was used to integrate random forest and XGBoost. This integration makes the model particularly suitable for handling complex terrain and high-dimensional data. Based on the prediction results from the machine learning models, a landslide probability distribution map for the entire mining area was generated, providing an overall landslide prediction for the mine.
- (5)
- Based on the machine learning results, the southeastern part was selected as the focus area for numerical simulation. Simulating the actual excavation process, the model predicted a sharp change in the FOS starting at the T4 stage, recording the maximum displacement, the shear rate, and the location of plastic zone formation at each stage. The numerical simulation method provided a clear prediction of the location and timing of landslide formation in the key area.
Author Contributions
Funding
Institutional Review Board Statement
Informed Consent Statement
Data Availability Statement
Conflicts of Interest
References
- Xi, W.; Shi, Z.; Li, D. Steep slope DEM model construction based on the unmanned aerial vehicle (UAV) images. Sains Malays. 2017, 46, 2119–2124. [Google Scholar] [CrossRef]
- Albarelli, D.S.N.A.; Mavrouli, O.C.; Nyktas, P. Identification of potential rockfall sources using UAV-derived point cloud. Bull. Eng. Geol. Environ. 2021, 80, 6539–6561. [Google Scholar] [CrossRef]
- Hill, S.L.; Clemens, P. Miniaturization of high spectral spatial resolution hyperspectral imagers on unmanned aerial systems. In Proceedings of the Next-Generation Spectroscopic Technologies VIII, International Society for Optics and Photonics, Baltimore, MD, USA, 3 June 2015. [Google Scholar] [CrossRef]
- Li, Q.; Min, G.; Chen, P.; Liu, Y.; Zhang, W. Computer vision-based techniques and path planning strategy in a slope monitoring system using unmanned aerial vehicle. Int. J. Adv. Robot. Syst. 2020, 17, 172988142090430. [Google Scholar] [CrossRef]
- Huang, H.; Long, J.; Lin, H.; Zhang, L.; Yi, W.; Lei, B. Unmanned aerial vehicle based remote sensing method for monitoring a steep mountainous slope in the Three Gorges Reservoir, China. Earth Sci. Inform. 2017, 10, 287–301. [Google Scholar] [CrossRef]
- Yang, J.; Ma, C.; Cheng, L.; Lü, G.; Li, B. Research progress on the deformation of high and steep slopes and its effect on the safety and stability of dams. Rock Soil Mech. 2019, 40, 2341–2353. [Google Scholar] [CrossRef]
- Carlà, T.; Farina, P.; Intrieri, E.; Botsialas, K.; Casagli, N. On the monitoring and early-warning of brittle slope failures in hard rock masses: Examples from an open-pit mine. Eng. Geol. 2017, 228, 71–81. [Google Scholar] [CrossRef]
- Federico, A.; Popescu, M.; Elia, G.; Fidelibus, C.; Internò, G.; Murianni, A. Prediction of time to slope failure: A general framework. Environ. Earth Sci. 2012, 66, 245–256. [Google Scholar] [CrossRef]
- Luo, Z.; Bui, X.N.; Nguyen, H.; Moayedi, H. A novel artificial intelligence technique for analyzing slope stability using PSO-CA model. Eng. Comput. 2019, 36, 533–544. [Google Scholar] [CrossRef]
- Qi, Y.; Tian, G.; Bai, M.; Song, L. Study on construction deformation prediction and disaster warning of karst slopes based on grey theory. Bull. Eng. Geol. Environ. 2023, 82, 62. [Google Scholar] [CrossRef]
- Erzin, Y.; Cetin, T. The prediction of the critical factor of safety of homogeneous finite slopes subjected to earthquake forces using neural networks and multiple regressions. Geomech. Eng. 2014, 6, 1–15. [Google Scholar] [CrossRef]
- Bharati, A.K.; Ray, A.; Khandelwal, R.J.A. Stability evaluation of dump slope using artificial neural network and multiple regression. Eng. Comput. 2022, 38, 1835–1843. [Google Scholar] [CrossRef]
- Sun, J.T.; Li, H.F. Research on the overall safety early warning index of slope in hub area based on multivariate data fusion. Chin. J. Rock Mech. Eng. 2024, 43, 1–15. [Google Scholar]
- Wang, X.; Huang, F.; Fan, X.; Shahabi, H.; Shirzadi, A.; Bian, H. Landslide susceptibility modeling based on remote sensing data and data mining techniques. Environ. Earth Sci. 2022, 81, 50. [Google Scholar] [CrossRef]
- Ji, J.; Cui, H.; Tong, B.; Lü, Q.; Gao, Y. Rapid zoning of rainfall-induced shallow landslide susceptibility based on physical process uncertainty: GIS-FORM technology development and application. Chin. J. Rock Mech. Eng. 2024, 43, 838–850. [Google Scholar] [CrossRef]
- Zhang, J.K.; Ling, S.X.; Li, X.N.; Sun, C.W.; Xu, J.X.; Huang, T. Comparative study of rapid assessment models for landslide hazard susceptibility in Jiuzhaigou County. Chin. J. Rock Mech. Eng. 2020, 39, 1595–1610. [Google Scholar] [CrossRef]
- Wu, R.Z.; Hu, X.D.; Mei, H.B.; He, J.Y.; Yang, J.Y. Random forest-based spatial susceptibility assessment of landslides: A case study of Hubei section of Three Gorges Reservoir Area. Earth Sci. 2021, 46, 321–330. [Google Scholar]
- Yang, T.H.; Wang, H.; Dong, X.; Liu, F.Y.; Zhang, P.H.; Deng, W.X. Research status, problems and countermeasures of intelligent evaluation of slope stability in open pit mines. J. China Coal Soc. 2020, 45, 2277–2295. [Google Scholar] [CrossRef]
- Lin, D.C.; An, F.P.; Guo, Z.L.; Zhang, L.N. Multimodal support vector machine model prediction of landslide displacement. Rock Soil Mech. 2011, 32, 451–458. [Google Scholar] [CrossRef]
- Kong, J.X.; Zhong, J.Q.; Peng, J.B.; Zhan, J.W.; Ma, P.H.; Mou, J.Q. Evaluation of landslide susceptibility in the Loess Plateau based on information volume and convolutional neural network. Earth Sci. 2023, 48, 1711–1729. [Google Scholar]
- Wang, Q.S.; Xiong, J.N.; Cheng, W.M.; Cui, X.J.; Pang, Q.; Liu, J. A landslide susceptibility assessment method coupling statistical methods, machine learning models and clustering algorithms. J. Geo-Inf. Sci. 2024, 26, 620–637. [Google Scholar]
- Huang, F.M.; Ouyang, W.P.; Jiang, S.H.; Fan, X.M.; Lian, Z.P.; Zhou, C.B. Predictive modelling of landslide susceptibility considering the principle of spatio-temporal division of training/test sets in machine learning modelling. Earth Sci. 2024, 49, 1607–1618. [Google Scholar]
- Wang, W.; Zou, Y.X.; Li, Y.O.; Zou, L.F.; Jiang, Y.H.; Chen, H.J. Regional stability analysis of hydrodynamic landslide based on GIS and Scoops 3D. J. Disaster Prev. Mitig. Eng. 2024, 44, 79–89. [Google Scholar]
- Bao, Y.; Su, L.; Chen, J.; Zhang, C.; Zhao, B.; Zhang, W.; Zhang, J.; Hu, B.; Zhang, X. Numerical investigation of debris flow–structure interactions in the Yarlung Zangbo River valley, north Himalaya, with a novel integrated approach considering structural damage. Acta Geotech. 2023, 18, 5859–5881. [Google Scholar] [CrossRef]
- Troncone, A.; Pugliese, L.; Parise, A.; Mazzuca, P.; Conte, E. Post-failure stage analysis of flow-type landslides using different numerical techniques. Comput. Geotech. 2025, 182, 107152. [Google Scholar] [CrossRef]
- Pastor, M.; Tayyebi, S.M.; Stickle, M.M.; Yagüe, Á.; Molinos, M.; Navas, P.; Manzanal, D. A depth integrated, coupled, two-phase model for debris flow propagation. Acta Geotech. 2021, 16, 2409–2433. [Google Scholar] [CrossRef]
- Bi, R.; Ehret, D.; Xiang, W.; Rohn, J.; Schleier, M.; Jiang, J. Landslide reliability analysis based on transfer coefficient method: A case study from Three Gorges Reservoir. J. Earth Sci. 2012, 23, 187–198. [Google Scholar] [CrossRef]
- Xu, S.; Niu, R. Displacement prediction of Baijiabao landslide based on empirical mode decomposition and long short-term memory neural network in Three Gorges area, China. Comput. Geosci. 2018, 111, 87–96. [Google Scholar] [CrossRef]
- Chen, W.; Zhang, S.; Li, R.; Shahabi, H. Performance evaluation of the GIS-based data mining techniques of best-first decision tree, random forest, and naive Bayes tree for landslide susceptibility modeling. Sci. Total Environ. 2018, 644, 1006–1018. [Google Scholar] [CrossRef]
- Chen, T.; Niu, R.; Du, B.; Wang, Y. Landslide spatial susceptibility mapping by using GIS and remote sensing techniques: A case study in Zigui County, the Three Georges reservoir, China. Environ. Earth Sci. 2015, 73, 5571–5583. [Google Scholar] [CrossRef]
- Wang, H.; Long, G.; Shao, P.; Lü, Y.; Gan, F.; Liao, J. A DES-BDNN based probabilistic forecasting approach for step-like landslide displacement. J. Clean. Prod. 2023, 414, 136281. [Google Scholar] [CrossRef]
- Ayalew, L.; Yamagishi, H. The application of GIS-based logistic regression for landslide susceptibility mapping in the Kakuda-Yahiko Mountains, Central Japan. Geomorphology 2005, 65, 15–31. [Google Scholar] [CrossRef]
- Shahabi, H.; Hashim, M. Landslide susceptibility mapping using GIS-based statistical models and Remote sensing data in tropical environment. Sci. Rep. 2015, 5, 9899. [Google Scholar] [CrossRef] [PubMed]
- Erener, A.; Düzgün, H.S.B. Improvement of statistical landslide susceptibility mapping by using spatial and global regression methods in the case of More and Romsdal (Norway). Landslides 2010, 7, 55–68. [Google Scholar] [CrossRef]
- Chen, W.; Pourghasemi, H.R.; Zhao, Z. A GIS-based comparative study of Dempster-Shafer, logistic regression and artificial neural network models for landslide susceptibility mapping. Geocarto Int. 2017, 32, 367–385. [Google Scholar] [CrossRef]
- Barman, B.K.; Rao, K.S.; Saikia, I.J. Delineation of potential landslide prone zones using Remote Sensing and GIS Techniques: A case study from north western part of Aizawl city, Mizoram, India. Nat. Hazards 2019, 97, 1–18. [Google Scholar]
- Papathanassiou, G.; Valkaniotis, S.; Ganas, A.; Pavlides, S. GIS-based statistical analysis of the spatial distribution of earthquake-induced landslides in the island of Lefkada, Ionian Islands, Greece. Landslides 2013, 10, 771–783. [Google Scholar] [CrossRef]
- Chalachew, T. GIS-Based AHP and FR Methods for Landslide Susceptibility Mapping in the Abay Gorge, Dejen-Renaissance Bridge, Central, Ethiopia. Geotech. Geol. Eng. 2022, 40, 5026–5043. [Google Scholar] [CrossRef]
- Chang, Z.; Catani, F.; Huang, F.; Liu, G.; Meena, S.R.; Huang, J. Landslide susceptibility prediction using slope unit-based machine learning models considering the heterogeneity of conditioning factors. J. Rock Mech. Geotech. Eng. 2023, 15, 1127–1143. [Google Scholar] [CrossRef]
- Zhang, J.; Yin, K.; Wang, J.; Liu, L.; Huang, F. Study on the evaluation of landslide disaster susceptibility in Wanzhou District, Three Gorges Reservoir Area. Chin. J. Rock Mech. Eng. 2016, 35, 284–296. [Google Scholar]
- Huang, F.; Yin, K.; Jiang, S.; Huang, J.; Cao, Z. Landslide susceptibility evaluation based on cluster analysis and support vector machine. Chin. J. Rock Mech. Eng. 2018, 37, 156–167. [Google Scholar] [CrossRef]























| Lithology | Unit Weight (kN/m3) | Cohesion (MPa) | Friction Angle (°) | Modulus of Elasticity (GPa) | Poisson’s Ratio |
|---|---|---|---|---|---|
| Ore | 34 | 48.2 | 40 | 82.49 | 0.20 |
| Marble | 32 | 41.8 | 38.8 | 48.56 | 0.21 |
| Coarse-Grained Gabbro | 31 | 31.7 | 46.3 | 52.04 | 0.26 |
| Medium-Grained Gabbro | 31 | 25.9 | 53.3 | 75.32 | 0.17 |
| Fine-Grained Gabbro | 31 | 37.8 | 47.3 | 52.04 | 0.26 |
| Faults | 25 | 200 | 26 | 0.09 | 0.3 |
Disclaimer/Publisher’s Note: The statements, opinions and data contained in all publications are solely those of the individual author(s) and contributor(s) and not of MDPI and/or the editor(s). MDPI and/or the editor(s) disclaim responsibility for any injury to people or property resulting from any ideas, methods, instructions or products referred to in the content. |
© 2025 by the authors. Licensee MDPI, Basel, Switzerland. This article is an open access article distributed under the terms and conditions of the Creative Commons Attribution (CC BY) license (https://creativecommons.org/licenses/by/4.0/).
Share and Cite
Qing, L.; Xu, L.; Huang, J.; Fu, X.; Chen, J. Intelligent Prediction and Numerical Simulation of Landslide Prediction in Open-Pit Mines Based on Multi-Source Data Fusion and Machine Learning. Sensors 2025, 25, 3131. https://doi.org/10.3390/s25103131
Qing L, Xu L, Huang J, Fu X, Chen J. Intelligent Prediction and Numerical Simulation of Landslide Prediction in Open-Pit Mines Based on Multi-Source Data Fusion and Machine Learning. Sensors. 2025; 25(10):3131. https://doi.org/10.3390/s25103131
Chicago/Turabian StyleQing, Li, Linfeng Xu, Juehao Huang, Xiaodong Fu, and Jian Chen. 2025. "Intelligent Prediction and Numerical Simulation of Landslide Prediction in Open-Pit Mines Based on Multi-Source Data Fusion and Machine Learning" Sensors 25, no. 10: 3131. https://doi.org/10.3390/s25103131
APA StyleQing, L., Xu, L., Huang, J., Fu, X., & Chen, J. (2025). Intelligent Prediction and Numerical Simulation of Landslide Prediction in Open-Pit Mines Based on Multi-Source Data Fusion and Machine Learning. Sensors, 25(10), 3131. https://doi.org/10.3390/s25103131
