Reducing Cross-Sensor Domain Gaps in Tactile Sensing via Few-Sample-Driven Style-to-Content Unsupervised Domain Adaptation
Abstract
1. Introduction
- We propose a few-sample-driven style-to-content cross-sensor domain adaptation framework (FSSC) for the first time in tactile recognition tasks, which joins global conditional adversarial style-level learning and self-distillation-based content-level learning to bridge cross-sensor domain gaps.
- A GLAB layer is proposed to compress encoded features, filtering for features containing key information and facilitating few-sample-driven learning.
- We introduce an FST module and design a prototype-constrained loss, allowing for feature alignment in the few-sample target domain while ensuring robust classification in the source domain.
- Extensive experiments on three constructed cross-sensor domain adaptation and robotic tactile shape recognition tasks validate that the proposed algorithm outperforms state-of-the-art methods, highlighting its applicability in robotic tactile recognition tasks.
2. Related Work
2.1. Optical Tactile Sensors
2.2. Reducing Cross-Sensor Domain Gaps for Tactile Sensing
3. Methodology
3.1. Overview
3.2. Tactile Shape Recognition Network
3.3. Prototype-Based Cross-Style Domain Adversarial Learning
3.3.1. Fourier-Style Transformation
3.3.2. Prototypical Constraint Learning
3.3.3. Global-Level Conditional Feature Alignment
3.4. High-Confidence Guided Cross-Content Knowledge Distillation
3.5. Overall Training Objective
4. Experiment
4.1. Datasets and Metrics
4.2. Implementation Details
4.3. Comparison to State-of-the-Art Methods
4.3.1. Quantitative Evaluation
4.3.2. Qualitative Evaluation
4.3.3. Inference Time
4.4. Analysis
4.4.1. Module Effectiveness Validation
4.4.2. Impact of Target Domain Training Sample Size
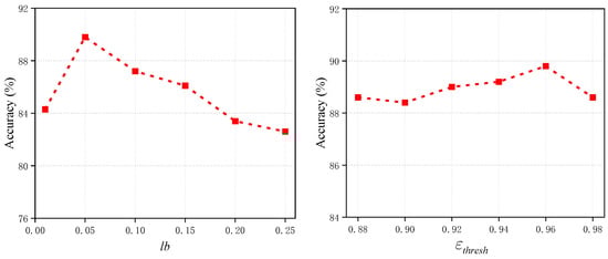
4.4.3. Parameter Sensitivity Analysis
4.5. Robotic Cross-Sensor Tactile Shape Recognition Experiment
4.6. Discussion
5. Conclusions and Future Work
Author Contributions
Funding
Institutional Review Board Statement
Informed Consent Statement
Data Availability Statement
Conflicts of Interest
References
- Luu, Q.K.; Nguyen, N.H.; Ho, V.A. Simulation, learning, and application of vision-based tactile sensing at large scale. IEEE Trans. Robot. 2023, 39, 2003–2019. [Google Scholar] [CrossRef]
- Dong, S.; Jha, D.K.; Romeres, D.; Kim, S.; Nikovski, D.; Rodriguez, A. Tactile-rl for insertion: Generalization to objects of unknown geometry. In Proceedings of the 2021 IEEE International Conference on Robotics and Automation (ICRA), Xi’an, China, 30 May–5 June 2021; IEEE: New York, NY, USA, 2021; pp. 6437–6443. [Google Scholar]
- Wang, C.; Wang, S.; Romero, B.; Veiga, F.; Adelson, E. Swingbot: Learning physical features from in-hand tactile exploration for dynamic swing-up manipulation. In Proceedings of the 2020 IEEE/RSJ International Conference on Intelligent Robots and Systems (IROS), Las Vegas, NV, USA, 25–29 October 2020; IEEE: New York, NY, USA, 2020; pp. 5633–5640. [Google Scholar]
- Gomes, D.F.; Paoletti, P.; Luo, S. Generation of gelsight tactile images for sim2real learning. IEEE Robot. Autom. Lett. 2021, 6, 4177–4184. [Google Scholar] [CrossRef]
- Jing, X.; Qian, K.; Jianu, T.; Luo, S. Unsupervised adversarial domain adaptation for sim-to-real transfer of tactile images. IEEE Trans. Instrum. Meas. 2023, 72, 1–11. [Google Scholar] [CrossRef]
- Zhao, Y.; Jing, X.; Qian, K.; Gomes, D.F.; Luo, S. Skill generalization of tubular object manipulation with tactile sensing and sim2real learning. Robot. Auton. Syst. 2023, 160, 104321. [Google Scholar] [CrossRef]
- Chen, W.; Xu, Y.; Chen, Z.; Zeng, P.; Dang, R.; Chen, R.; Xu, J. Bidirectional sim-to-real transfer for gelsight tactile sensors with cyclegan. IEEE Robot. Autom. Lett. 2022, 7, 6187–6194. [Google Scholar] [CrossRef]
- Jianu, T.; Gomes, D.F.; Luo, S. Reducing tactile sim2real domain gaps via deep texture generation networks. In Proceedings of the 2022 International Conference on Robotics and Automation (ICRA), Philadelphia, PA, USA, 23–27 May 2022; IEEE: New York, NY, USA, 2022; pp. 8305–8311. [Google Scholar]
- Ward-Cherrier, B.; Pestell, N.; Cramphorn, L.; Winstone, B.; Giannaccini, M.E.; Rossiter, J.; Lepora, N.F. The tactip family: Soft optical tactile sensors with 3d-printed biomimetic morphologies. Soft Robot. 2018, 5, 216–227. [Google Scholar] [CrossRef]
- Ding, Z.; Lepora, N.F.; Johns, E. Sim-to-real transfer for optical tactile sensing. In Proceedings of the 2020 IEEE International Conference on Robotics and Automation (ICRA), Paris, France, 31 May–31 August 2020; IEEE: New York, NY, USA, 2020; pp. 1639–1645. [Google Scholar]
- Kim, W.; Kim, W.D.; Kim, J.J.; Kim, C.H.; Kim, J. UVtac: Switchable UV marker-based tactile sensing finger for effective force estimation and object localization. IEEE Robot. Autom. Lett. 2022, 7, 6036–6043. [Google Scholar] [CrossRef]
- Gomes, D.F.; Luo, S. Geltip tactile sensor for dexterous manipulation in clutter. In Tactile Sensing, Skill Learning, and Robotic Dexterous Manipulation; Elsevier: Amsterdam, The Netherlands, 2022; pp. 3–21. [Google Scholar]
- Gomes, D.F.; Lin, Z.; Luo, S. GelTip: A finger-shaped optical tactile sensor for robotic manipulation. In Proceedings of the 2020 IEEE/RSJ International Conference on Intelligent Robots and Systems (IROS), Las Vegas, NV, USA, 25–29 October 2020; IEEE: New York, NY, USA, 2020; pp. 9903–9909. [Google Scholar]
- Donlon, E.; Dong, S.; Liu, M.; Li, J.; Adelson, E.; Rodriguez, A. Gelslim: A high-resolution, compact, robust, and calibrated tactile-sensing finger. In Proceedings of the 2018 IEEE/RSJ International Conference on Intelligent Robots and Systems (IROS), Madrid, Spain, 1–5 October 2018; IEEE: New York, NY, USA, 2018; pp. 1927–1934. [Google Scholar]
- Si, Z.; Yuan, W. Taxim: An example-based simulation model for gelsight tactile sensors. IEEE Robot. Autom. Lett. 2022, 7, 2361–2368. [Google Scholar] [CrossRef]
- Cao, G.; Jiang, J.; Lu, C.; Gomes, D.F.; Luo, S. Touchroller: A rolling optical tactile sensor for rapid assessment of textures for large surface areas. Sensors 2023, 23, 2661. [Google Scholar] [CrossRef] [PubMed]
- Shimonomura, K. Tactile image sensors employing camera: A review. Sensors 2019, 19, 3933. [Google Scholar] [CrossRef] [PubMed]
- Lambeta, M.; Chou, P.W.; Tian, S.; Yang, B.; Maloon, B.; Most, V.R.; Stroud, D.; Santos, R.; Byagowi, A.; Kammerer, G.; et al. Digit: A novel design for a low-cost compact high-resolution tactile sensor with application to in-hand manipulation. IEEE Robot. Autom. Lett. 2020, 5, 3838–3845. [Google Scholar] [CrossRef]
- Lin, C.; Zhang, H.; Xu, J.; Wu, L.; Xu, H. 9dtact: A compact vision-based tactile sensor for accurate 3d shape reconstruction and generalizable 6d force estimation. IEEE Robot. Autom. Lett. 2023, 9, 923–930. [Google Scholar] [CrossRef]
- Tobin, J.; Fong, R.; Ray, A.; Schneider, J.; Zaremba, W.; Abbeel, P. Domain randomization for transferring deep neural networks from simulation to the real world. In Proceedings of the 2017 IEEE/RSJ International Conference on Intelligent Robots and Systems (IROS), Vancouver, BC, USA, 24–28 September 2017; IEEE: New York, NY, USA, 2017; pp. 23–30. [Google Scholar]
- Tiboni, G.; Arndt, K.; Kyrki, V. DROPO: Sim-to-Real Transfer with Offline Domain Randomization. arXiv 2022, arXiv:2201.08434. [Google Scholar] [CrossRef]
- Church, A.; Lloyd, J.; Hadsell, R.; Lepora, N.F. Tactile Sim-to-Real Policy Transfer via Real-to-Sim Image Translation. In Proceedings of the Conference on Robot Learning, Auckland, New Zealand, 14–18 December 2022; PMLR: Cambridge, MA, USA, 2022; pp. 1645–1654. [Google Scholar]
- Patel, K.; Iba, S.; Jamali, N. Deep Tactile Experience: Estimating Tactile Sensor Output from Depth Sensor Data. In Proceedings of the 2020 IEEE/RSJ International Conference on Intelligent Robots and Systems (IROS), Las Vegas, NV, USA, 25–29 October 2020; IEEE: New York, NY, USA, 2020; pp. 9846–9853. [Google Scholar]
- Jianu, T.; Gomes, D.F.; Luo, S. Reducing Tactile Sim2Real Domain Gaps via Deep Texture Generation Networks. arXiv 2021, arXiv:2112.01807. [Google Scholar]
- Mirza, M.; Osindero, S. Conditional generative adversarial nets. arXiv 2014, arXiv:1411.1784. [Google Scholar]
- Isola, P.; Zhu, J.Y.; Zhou, T.; Efros, A.A. Image-to-image translation with conditional adversarial networks. In Proceedings of the IEEE Conference on Computer Vision and Pattern Recognition, Honolulu, HI, USA, 21–26 July 2017; pp. 1125–1134. [Google Scholar]
- Liu, M.Y.; Tuzel, O. Coupled generative adversarial networks. Adv. Neural Inf. Process. Syst. 2016, 29, 469–477. [Google Scholar]
- Loghmani, M.R.; Robbiano, L.; Planamente, M.; Park, K.; Caputo, B.; Vincze, M. Unsupervised domain adaptation through inter-modal rotation for rgb-d object recognition. IEEE Robot. Autom. Lett. 2020, 5, 6631–6638. [Google Scholar] [CrossRef]
- Zhu, J.Y.; Park, T.; Isola, P.; Efros, A.A. Unpaired image-to-image translation using cycle-consistent adversarial networks. In Proceedings of the IEEE International Conference on Computer Vision, Venice, Italy, 22–29 October 2017; pp. 2223–2232. [Google Scholar]
- Choi, Y.; Choi, M.; Kim, M.; Ha, J.W.; Kim, S.; Choo, J. Stargan: Unified generative adversarial networks for multi-domain image-to-image translation. In Proceedings of the IEEE Conference on Computer Vision and Pattern Recognition, Salt Lake City, UT, USA, 18–23 June 2018; pp. 8789–8797. [Google Scholar]
- Wu, W.; Cao, K.; Li, C.; Qian, C.; Loy, C.C. Transgaga: Geometry-aware unsupervised image-to-image translation. In Proceedings of the IEEE/CVF Conference on Computer Vision and Pattern Recognition, Long Beach, CA, USA, 15–20 June 2019; pp. 8012–8021. [Google Scholar]
- Cao, G.; Zhou, Y.; Bollegala, D.; Luo, S. Spatio-temporal attention model for tactile texture recognition. In Proceedings of the 2020 IEEE/RSJ International Conference on Intelligent Robots and Systems (IROS), Las Vegas, NV, USA, 25–29 October 2020; IEEE: New York, NY, USA, 2020; pp. 9896–9902. [Google Scholar]
- Fang, B.; Long, X.; Sun, F.; Liu, H.; Zhang, S.; Fang, C. Tactile-based Fabric Defect Detection Using Convolutional Neural Network with Attention Mechanism. IEEE Trans. Instrum. Meas. 2022, 71, 5011309. [Google Scholar] [CrossRef]
- Wang, R.; Huang, W.; Wang, J.; Shen, C.; Zhu, Z. Multisource domain feature adaptation network for bearing fault diagnosis under time-varying working conditions. IEEE Trans. Instrum. Meas. 2022, 71, 3511010. [Google Scholar] [CrossRef]
- Jing, X.; Qian, K.; Xu, X.; Bai, J.; Zhou, B. Domain adversarial transfer for cross-domain and task-constrained grasp pose detection. Robot. Auton. Syst. 2021, 145, 103872. [Google Scholar] [CrossRef]
- Weibel, J.B.; Patten, T.; Vincze, M. Sim2Real 3D Object Classification using Spherical Kernel Point Convolution and a Deep Center Voting Scheme. arXiv 2021, arXiv:2103.06134. [Google Scholar]
- Yang, Y.; Soatto, S. Fda: Fourier domain adaptation for semantic segmentation. In Proceedings of the IEEE/CVF Conference on Computer Vision and Pattern Recognition, Seattle, WA, USA, 14–19 June 2020; pp. 4085–4095. [Google Scholar]
- Shi, Y.; Ying, X.; Yang, J. Deep unsupervised domain adaptation with time series sensor data: A survey. Sensors 2022, 22, 5507. [Google Scholar] [CrossRef] [PubMed]
- Tang, J.; Gong, Z.; Tao, B.; Yin, Z. SingleS2R: Single sample driven Sim-to-Real transfer for Multi-Source Visual-Tactile Information Understanding using multi-scale vision transformers. Inf. Fusion 2024, 108, 102390. [Google Scholar] [CrossRef]
- Kerr, J.; Huang, H.; Wilcox, A.; Hoque, R.; Ichnowski, J.; Calandra, R.; Goldberg, K. Self-supervised visuo-tactile pretraining to locate and follow garment features. arXiv 2022, arXiv:2209.13042. [Google Scholar]
- Fu, L.; Huang, H.; Berscheid, L.; Li, H.; Goldberg, K.; Chitta, S. Safe self-supervised learning in real of visuo-tactile feedback policies for industrial insertion. In Proceedings of the 2023 IEEE International Conference on Robotics and Automation (ICRA), London, UK, 29 May–2 June 2023; IEEE: New York, NY, USA, 2023; pp. 10380–10386. [Google Scholar]
- Higuera, C.; Sharma, A.; Bodduluri, C.K.; Fan, T.; Lancaster, P.; Kalakrishnan, M.; Kaess, M.; Boots, B.; Lambeta, M.; Wu, T.; et al. Sparsh: Self-supervised touch representations for vision-based tactile sensing. arXiv 2024, arXiv:2410.24090. [Google Scholar]
- Liu, Z.; Lin, Y.; Cao, Y.; Hu, H.; Wei, Y.; Zhang, Z.; Lin, S.; Guo, B. Swin transformer: Hierarchical vision transformer using shifted windows. In Proceedings of the IEEE/CVF International Conference on Computer Vision, Montreal, BC, Canada, 10–17 October 2021; pp. 10012–10022. [Google Scholar]
- Peng, B.; Alcaide, E.; Anthony, Q.; Albalak, A.; Arcadinho, S.; Biderman, S.; Cao, H.; Cheng, X.; Chung, M.; Grella, M.; et al. Rwkv: Reinventing rnns for the transformer era. arXiv 2023, arXiv:2305.13048. [Google Scholar]
- Zhai, S.; Talbott, W.; Srivastava, N.; Huang, C.; Goh, H.; Zhang, R.; Susskind, J. An attention free transformer. arXiv 2021, arXiv:2105.14103. [Google Scholar]
- Chen, R.; Huang, W.; Huang, B.; Sun, F.; Fang, B. Reusing discriminators for encoding: Towards unsupervised image-to-image translation. In Proceedings of the IEEE/CVF Conference on Computer Vision and Pattern Recognition, Seattle, WA, USA, 14–19 June 2020; pp. 8168–8177. [Google Scholar]
- Wang, Z.; Bovik, A.C.; Sheikh, H.R.; Simoncelli, E.P. Image quality assessment: From error visibility to structural similarity. IEEE Trans. Image Process. 2004, 13, 600–612. [Google Scholar] [CrossRef]
- Tzeng, E.; Hoffman, J.; Saenko, K.; Darrell, T. Adversarial discriminative domain adaptation. In Proceedings of the IEEE Conference on Computer Vision and Pattern Recognition, Honolulu, HI, USA, 21–26 July 2017; pp. 7167–7176. [Google Scholar]
- Xu, J.; Jin, Y.; Martin, B.; Smith, A.; Wright, S.; Stoyanov, D.; Mazomenos, E.B. Regressing Simulation to Real: Unsupervised Domain Adaptation for Automated Quality Assessment in Transoesophageal Echocardiography. In Proceedings of the International Conference on Medical Image Computing and Computer-Assisted Intervention, Vancouver, BC, Canada, 8–12 October 2023; Springer: Berlin/Heidelberg, Germany, 2023; pp. 154–164. [Google Scholar]










| Dataset | FID | KID | SSIM |
|---|---|---|---|
| Gel_base∪Gelsight | 251.35 | 18.29 | 0.67 |
| Gel_base∪DIGIT | 225.04 | 16.99 | 0.58 |
| Gel_base∪9DTact | 266.73 | 20.08 | 0.71 |
| Method | Gel_Base→Gelsight | Gel_Base→DIGIT | Gel_Base→9DTact |
|---|---|---|---|
| Direct | 17.9 | 21.8 | 16.4 |
| ADDA [48] | 31.2 | 41.6 | 33.7 |
| SR-AQA [49] | 45.0 | 55.2 | 49.0 |
| CTF-CycleGAN [6] | 60.4 | 54.8 | 47.6 |
| FSSC | 79.2 | 89.8 | 81.2 |
| Method | Gelsight→Gelsight | DIGIT→DIGIT | 9DTact→9DTact |
|---|---|---|---|
| Target-Only | 90.6 | 93.8 | 87.5 |
| Method | Datasets | Accuracy (%) |
|---|---|---|
| w/o GLAB | Gel_base→DIGIT | 81.6 |
| w/o FST | Gel_base→DIGIT | 83.0 |
| w/o PC | Gel_base→DIGIT | 82.8 |
| w/o KD | Gel_base→DIGIT | 79.4 |
| Full | Gel_base→DIGIT | 89.8 |
| Sample Size | 100 | 200 | 300 | 400 | 500 |
| Accuracy (%) | 74.4 | 81.2 | 89.8 | 86.8 | 87.6 |
| Test Sensor | #Object | #Attempts | Success Rate (%) |
|---|---|---|---|
| Self-made Gelsight | 10 | 38/50 | 76.0 |
| DIGIT | 10 | 43/50 | 86.0 |
| 9DTact | 10 | 40/50 | 80.0 |
Disclaimer/Publisher’s Note: The statements, opinions and data contained in all publications are solely those of the individual author(s) and contributor(s) and not of MDPI and/or the editor(s). MDPI and/or the editor(s) disclaim responsibility for any injury to people or property resulting from any ideas, methods, instructions or products referred to in the content. |
© 2025 by the authors. Licensee MDPI, Basel, Switzerland. This article is an open access article distributed under the terms and conditions of the Creative Commons Attribution (CC BY) license (https://creativecommons.org/licenses/by/4.0/).
Share and Cite
Jing, X.; Qian, K. Reducing Cross-Sensor Domain Gaps in Tactile Sensing via Few-Sample-Driven Style-to-Content Unsupervised Domain Adaptation. Sensors 2025, 25, 256. https://doi.org/10.3390/s25010256
Jing X, Qian K. Reducing Cross-Sensor Domain Gaps in Tactile Sensing via Few-Sample-Driven Style-to-Content Unsupervised Domain Adaptation. Sensors. 2025; 25(1):256. https://doi.org/10.3390/s25010256
Chicago/Turabian StyleJing, Xingshuo, and Kun Qian. 2025. "Reducing Cross-Sensor Domain Gaps in Tactile Sensing via Few-Sample-Driven Style-to-Content Unsupervised Domain Adaptation" Sensors 25, no. 1: 256. https://doi.org/10.3390/s25010256
APA StyleJing, X., & Qian, K. (2025). Reducing Cross-Sensor Domain Gaps in Tactile Sensing via Few-Sample-Driven Style-to-Content Unsupervised Domain Adaptation. Sensors, 25(1), 256. https://doi.org/10.3390/s25010256

