Study on Long-Term Temperature Variation Characteristics of Concrete Bridge Tower Cracks Based on Deep Learning
Abstract
1. Introduction
2. Huai’an Bridge Tower Monitoring Data Analysis
2.1. Temperature Monitoring Data
2.1.1. Bridge Monitoring Deployment and Data Collection
2.1.2. Temperature Data Analysis Based on Wavelet Packet Decomposition
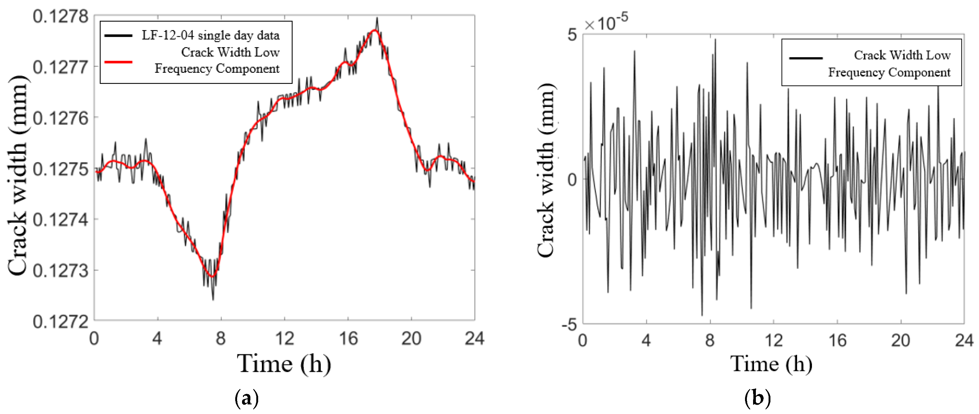
2.2. Crack Width Monitoring Data
2.2.1. Data Collection
2.2.2. Crack Width Data
2.2.3. Analysis of the Correlation Between Crack Width and Temperature
3. Intelligent Real-Time Prediction Modeling of Crack Widths in Sotahs Bridge Tower
3.1. LSTM-Based Real-Time Prediction Model
3.1.1. LSTM Model
3.1.2. LSTM-Based Numerical Regression of Thermotropic Crack Widths
3.2. High–Low-Frequency Layered Learning Approach
3.3. Highly Accurate Crack Width Modeling Based on Temperature Field Data
4. Crack Width Anomaly Perception
4.1. Uncertainty Analysis of LSTM Model Regression Values
4.2. Numerical Sensing of Anomalous Crack Widths
5. Conclusions
- (1)
- A correlation analysis was conducted on the temperature and crack monitoring data for Huai’an Bridge over an 8-month period, which included data cleaning and wavelet packet decomposition. This analysis, involving four crack measurement points, revealed a strong relationship between crack width and temperature, with the highest goodness-of-fit (R2) reaching 0.9595. However, the performance of the univariate linear regression was inadequate, resulting in a prediction accuracy (P) of only 76.23%.
- (2)
- For the numerical mapping regression of temperature-induced crack width, a stacked LSTM network model was established following parameter optimization. This approach significantly enhanced prediction accuracy and robustness compared to both the BP neural network (BPNN) and the univariate linear regression model. To further improve local learning effectiveness and model prediction accuracy, a layered learning method was proposed. The prediction accuracy after applying this layered learning approach reached 87.11%, surpassing the 79.58% achieved through direct use of the LSTM model.
- (3)
- By supplementing the temperature difference data among the four temperature measurement points, the local representation of temperature field characteristics was enhanced. Consequently, a high-precision real-time crack width prediction model based on temperature field data was established, achieving a model regression goodness-of-fit (R2) of 0.9938 and a prediction accuracy (P) of 93.71%.
- (4)
- Using the regression value from the stacked LSTM model with direct input data as the benchmark control value, the anomalous crack width can be represented as the residual difference between the measured value and the regression value. By establishing an allowable error, the numerical magnitude of the anomalous crack width for the main tower can be accurately determined. Analysis of the raw data from Huai’an Bridge reveals that the perceived sensitivity of the abnormal crack width at each measurement point is approximately ±0.012 mm. Furthermore, when the raw data are processed using the sliding average method, the maximum perceptual sensitivity at each measurement point can be increased by approximately ±0.0022 mm.
Author Contributions
Funding
Institutional Review Board Statement
Informed Consent Statement
Data Availability Statement
Conflicts of Interest
References
- Zhao, S.H. Analysis of common diseases and construction treatment technology of municipal road and bridge engineering. Times Automob. 2022, 2, 38–42. [Google Scholar]
- Gu, H.; Zhu, K.; Strauss, A.; Shi, Y.; Sumarac, D.; Cao, M. Rapid and Accurate Identification of Concrete Surface Cracks via a Lightweight & Efficient YOLOv3 Algorithm. Struct. Durab. Health Monit. 2024, 18, 363–380. [Google Scholar]
- Zhang, Y.; Fang, Z.; Lu, J.; Xiang, Y.; Long, H. Dynamic response of broken cables of structures during construction of large-span concrete cable-stayed bridges. Vib. Shock. 2021, 40, 237–246. [Google Scholar]
- Han, W.; Yang, G.; Chen, S.; Zhou, K.; Xu, X. Research progress on intelligent operation and maintenance of bridges. J. Traffic Transp. Eng. 2024, 11, 173–187. [Google Scholar] [CrossRef]
- Zhu, D.Q. Temperature Effect and Crack Analysis of Concrete Main Tower During Operation Period of In-Service Suspension Bridge. Master’s Thesis, Changsha University of Science and Technology, Changsha, China, 2020. [Google Scholar]
- Zhng, W.; Yuan, Z.X.; Qiao, H.X.; Song, P.C.; Zhu, Z.R. Temperature field analysis of mass concrete considering the effect of hydration. Mater. Guide 2024, 38, 262–268. [Google Scholar]
- Ou, J. Research on Crack Recognition Technology of Concrete Bridge Based on CNN Deep Learning. Master’s Thesis, Jilin University, Changchun, China, 2022. [Google Scholar]
- Xia, M.; Fang, Z.; Xu, J. Analysis on the causes of web cracks of cross girder under tower of cable-stayed bridge. Shanghai Highw. 2009, 2, 23–25,13. [Google Scholar]
- Duan, M.; Zhu, J.; Gu, Z.; Fang, Z.; Xu, J. Analysis of the temperature field effect on the thermal stress of the main tower of long-span suspension bridges. Appl. Sci. 2023, 13, 8787. [Google Scholar] [CrossRef]
- Xu, F.; Zhou, M.L.; Meng, K. Analysis of temperature effects on cable-stayed bridge towers. J. Wuhan Eng. Univ. 2022, 44, 336–340. [Google Scholar]
- Liu, J.B. Temperature Field Analysis of Cable-Stayed Bridge Towers and Temperature Change Characteristics of Tower Cracks. Master’s Thesis, Wuhan University of Technology, Wuhan, China, 2008. [Google Scholar]
- Xiao, F.; Mao, Y.; Sun, H.; Chen, G.S.; Tian, G. Stiffness Separation Method for Reducing Calculation Time of Truss Structure Damage Identification. Struct. Control. Health Monit. 2024, 2024, 5171542. [Google Scholar] [CrossRef]
- Xiao, F.; Mao, Y.; Tian, G.; Chen, G.S. Partial-Model-Based Damage Identification of Long-Span Steel Truss Bridge Based on Stiffness Separation Method. Struct. Control. Health Monit. 2024, 2024, 5530300. [Google Scholar] [CrossRef]
- Xu, G.; Yue, Q.; Liu, X. Identification of historical maximum load on concrete beams based on crack and deformation response using knowledge-embedded machine learning algorithms. Eng. Struct. 2024, 314, 118376. [Google Scholar] [CrossRef]
- Xu, B.; Chen, Z.; Su, H.; Zhang, H. A deep learning method for predicting the displacement of concrete arch dams considering the effect of cracks. Adv. Eng. Inform. 2024, 62, 102574. [Google Scholar] [CrossRef]
- Nguyen, T.K.; Ahmad, Z.; Nguyen, D.T.; Kim, J.M. A remaining useful lifetime prediction model for concrete structures using Mann-Whitney U test state indicator and deep learning. Mech. Syst. Signal Process. 2025, 222, 111795. [Google Scholar] [CrossRef]
- Li, M.; Yuan, J.; Ren, Q.; Luo, Q.; Fu, J.; Li, Z. CNN-Transformer hybrid network for concrete dam crack patrol inspection. Autom. Constr. 2024, 163, 105440. [Google Scholar] [CrossRef]
- Lei, J.; Xu, C.; Lü, C.; Feng, Q.; Zhang, H. A data-driven prediction for concrete crack propagation path based on deep learning method. Case Stud. Constr. Mater. 2024, 21, e03883. [Google Scholar] [CrossRef]
- Elghaish, F.; Matarneh, S.; Rahimian, F.P.; Abdellatef, E.; Edwards, D.; Ejohwomu, O.; Abdelmegid, M.; Park, C. Multi-Level Optimisation of Feature Extraction Networks for Concrete Surface Crack Detection. Dev. Built Environ. 2024, 100587, in press. [Google Scholar] [CrossRef]
- Bao, Y.; Tang, Z.; Li, H.; Zhang, Y. Computer vision and deep learning–based data anomaly detection method for structural health monitoring. Struct. Health Monit. 2019, 18, 401–421. [Google Scholar] [CrossRef]
- Sun, Y.K.; Cao, Y.; Li, P.; Li, X. Fault diagnosis method of rutting machine based on wavelet packet decomposition multiscale arrangement entropy and 2nd order feature selection. China Railw. Sci. 2023, 44, 178–188. [Google Scholar]
- Zheng, T.; Zhang, Y.; Li, Y.; Shi, L. Real-time combustion torque estimation and dynamic misfire fault diagnosis in gasoline engine. Mech. Syst. Signal Process. 2019, 126, 521–535. [Google Scholar] [CrossRef]
- Liu, Q.; Xie, C.; Cheng, B. Butterfly valve erosion prediction based on LSTM network. Flow Meas. Instrum. 2024, 98, 102652. [Google Scholar] [CrossRef]
- Katz, H.; Brusch, K.T.; Weiss, R.E. A Bayesian Dirichlet auto-regressive moving average model for forecasting lead times. Int. J. Forecast. 2024, 40, 1556–1567. [Google Scholar] [CrossRef]















| Point in Time | Input Data | Output Data | Input Data | Output Data |
|---|---|---|---|---|
| 30 | T1(1), T1(2), …, T1(59), T1(60) | D1(30) or D2(30) | T2(1), T2(2), …, T2(59), T2(60) | D2(30) or D4(30) |
| 31 | T1(2), T1(3), …, T1(60), T1(61) | D1(31) or D2(31) | T2(2), T2(3), …, T2(60), T2(61) | D3(31) or D4(31) |
| 32 | T1(3), T1(4), …, T1(61), T1(62) | D1(32) or D2(32) | T2(3), T2(4), …, T2(61), T2(62) | D3(32) or D4(32) |
| … | … | … | … | … |
| Learning Methods | Low-Frequency Section (ρR) | High-Frequency Section (ρr) | Test Set Regression Value Prediction Accuracy (P) | Test Set Regression Value Goodness of Fit (R2) |
|---|---|---|---|---|
| Direct method of importing | 99.13% | 33.96% | 79.58% | 0.9809 |
| High-frequency and low-frequency layering | 99.57% | 59.51% | 87.11% | 0.9747 |
| Sensors | One-Dimensional Linear Regression (R2) | LSTM Network Regression (R2) | One-Way Linear Regression p-Value | LSTM Network Regression p-Value |
|---|---|---|---|---|
| LF-12-01 | 0.9518 | 0.9747 | 76.78% | 87.55% |
| LF-12-02 | 0.9595 | 0.9698 | 69.63% | 86.55% |
| LF-12-03 | 0.9363 | 0.9639 | 68.86% | 86.70% |
| LF-12-04 | 0.9292 | 0.9689 | 65.39% | 85.42% |
| Sensors | One-Dimensional Linear Regression (R2) | LSTM Network Regression (R2) | One-Way Linear Regression p-Value | LSTM Network Regression p-Value |
|---|---|---|---|---|
| LF-12-01 | 0.9518 | 0.9934 | 76.78% | 93.51% |
| LF-12-02 | 0.9595 | 0.9932 | 69.63% | 93.61% |
| LF-12-03 | 0.9363 | 0.9922 | 68.86% | 93.71% |
| LF-12-04 | 0.9292 | 0.9938 | 65.39% | 93.10% |
| The residual RAD falls into the range | … | −0.045 to −0.027 | −0.027 to −0.009 | −0.009 to −0.009 | 0.009~0.027 | 0.027~0.045 | … |
| Abnormal crack width perception | … | −0.036 | −0.018 | 0 | 0.018 | 0.036 | … |
| The residual RAD falls into the range | … | −0.030 to −0.018 | −0.018 to −0.006 | −0.006 to −0.006 | 0.006~0.018 | 0.018~0.030 | … |
| Abnormal crack width perception | … | −0.024 | −0.012 | 0 | 0.012 | 0.024 | … |
| Sliding Average Processing Window Length p (Number of Data Points) | Perception Time Limit (min) | 95% Confidence Interval (mm) | Perceived Sensitivity of Abnormal Crack Width (mm) |
|---|---|---|---|
| 0 (original data) | 5 | [−0.0060, 0.0060] | ±0.009 |
| 50 | 250 | [−0.0049, 0.0049] | ±0.0075 |
| 100 | 500 | [−0.0043, 0.0043] | ±0.006 |
| 250 | 1250 | [−0.0030, 0.0030] | ±0.005 |
| 500 | 2500 | [−0.0018, 0.0018] | ±0.003 |
| 1000 | 5000 | [−0.0013, 0.0013] | ±0.002 |
| Measurement Point | Perception Time Limit 5 Min | Average of 5 Min of Perceptual Aging | Perception Time Limit 500 Min | Average of 500 Min of Perceptual aging | Perception Time Limit 5000 Min | Average of 5000 Min of Perceptual Aging |
|---|---|---|---|---|---|---|
| LF-12-01 | ±0.009 mm | ±0.012 mm | ±0.006 mm | ±0.0071 mm | ±0.002 mm | ±0.0022 mm |
| LF-12-02 | ±0.012 mm | ±0.0075 mm | ±0.0022 mm | |||
| LF-12-03 | ±0.012 mm | ±0.007 mm | ±0.0021 mm | |||
| LF-12-04 | ±0.014 mm | ±0.008 mm | ±0.0024 mm |
Disclaimer/Publisher’s Note: The statements, opinions and data contained in all publications are solely those of the individual author(s) and contributor(s) and not of MDPI and/or the editor(s). MDPI and/or the editor(s) disclaim responsibility for any injury to people or property resulting from any ideas, methods, instructions or products referred to in the content. |
© 2025 by the authors. Licensee MDPI, Basel, Switzerland. This article is an open access article distributed under the terms and conditions of the Creative Commons Attribution (CC BY) license (https://creativecommons.org/licenses/by/4.0/).
Share and Cite
Lv, Z.; Ding, Y.; Zhang, Y. Study on Long-Term Temperature Variation Characteristics of Concrete Bridge Tower Cracks Based on Deep Learning. Sensors 2025, 25, 207. https://doi.org/10.3390/s25010207
Lv Z, Ding Y, Zhang Y. Study on Long-Term Temperature Variation Characteristics of Concrete Bridge Tower Cracks Based on Deep Learning. Sensors. 2025; 25(1):207. https://doi.org/10.3390/s25010207
Chicago/Turabian StyleLv, Zhaoxu, Youliang Ding, and Yan Zhang. 2025. "Study on Long-Term Temperature Variation Characteristics of Concrete Bridge Tower Cracks Based on Deep Learning" Sensors 25, no. 1: 207. https://doi.org/10.3390/s25010207
APA StyleLv, Z., Ding, Y., & Zhang, Y. (2025). Study on Long-Term Temperature Variation Characteristics of Concrete Bridge Tower Cracks Based on Deep Learning. Sensors, 25(1), 207. https://doi.org/10.3390/s25010207
