Influence of the Transducer-Mounting Method on the Radiation Performance of Acoustic Sources Used in Monopole Acoustic Logging While Drilling
Abstract
1. Introduction
2. Materials and Methods
2.1. Calculation Model
2.2. Calculation Method
2.2.1. Complex Transmitting Voltage Response Calculations
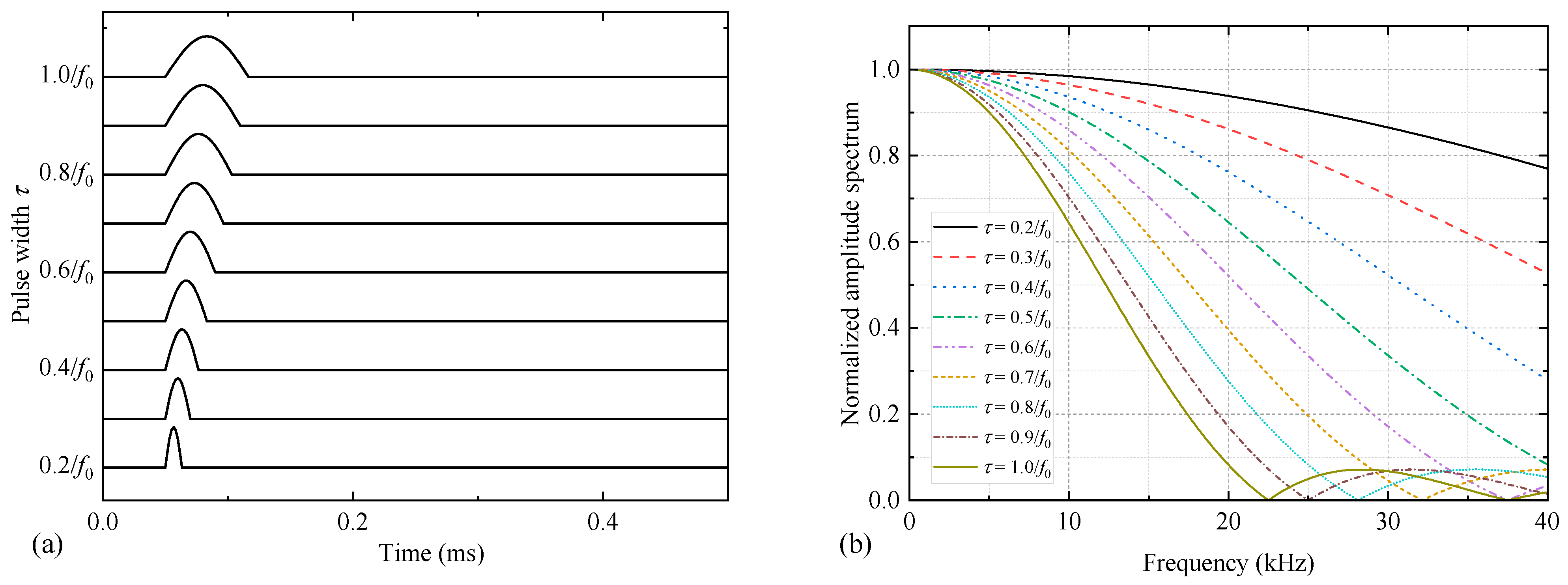
2.2.2. Transient Radiated Acoustic Pressure Waveform Calculation Methods
3. Results
3.1. Influence of Coupling Materials on Radiation Performance
3.1.1. Different Natures of Coupling Materials
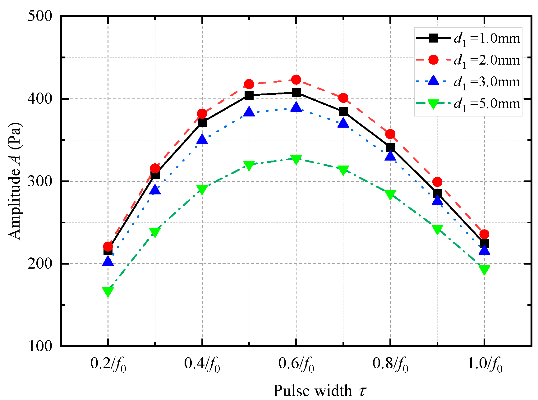
3.1.2. Change in Thickness of Coupling Materials
3.1.3. Change in Height of Coupling Materials
3.2. Influence of Protective Cover on Radiation Performance
4. Conclusions
Author Contributions
Funding
Institutional Review Board Statement
Informed Consent Statement
Data Availability Statement
Conflicts of Interest
References
- Li, J.-C.; He, X.; Can, J. Joint inversion method of formation shear-wave anisotropy from logging-while-drilling acoustic data. Appl. Geophys. 2022, 19, 503–512. [Google Scholar] [CrossRef]
- Manriquez, A.L.; Sepehrnoori, K. Real-time hydrocarbons sweet spot identification in shale formations while drilling horizontally using geo-mechanical and geophysical parameters. Int. J. Oil Gas Coal Technol. 2020, 24, 377. [Google Scholar] [CrossRef]
- Xu, S.; Zou, Z.; Tang, X. Estimation of elastic wave velocity from logging-while-drilling measurement in unconsolidated formation of accretionary wedge in Nankai Trough. IEEE Trans. Geosci. Remote Sens. 2022, 60, 1–13. [Google Scholar] [CrossRef]
- Fa, L.; Tu, N.; Qu, H.; Wu, Y.; Sun, K.; Zhang, Y.; Liang, M.; Fang, X.; Zhao, M. Physical characteristics of and transient response from thin cylindrical piezoelectric transducers used in a petroleum logging tool. Micromachines 2019, 10, 804. [Google Scholar] [CrossRef]
- Yang, S.; Qiao, W.; Che, X. Numerical simulation of acoustic fields in formation generated by linear phased array acoustic transmitters during logging while drilling. J. Petrol. Sci. Eng. 2019, 182, 106184. [Google Scholar] [CrossRef]
- Birkelund, K.; Nørgaard, L.; Thomsen, E.V. Enhanced polymeric encapsulation for mems based multi sensors for fisheries research. Sens. Actuators A 2011, 170, 196–201. [Google Scholar] [CrossRef]
- Lei, H.; Li, W.; Tan, X. Encapsulation of ionic polymer-metal composite (IPMC) sensors with thick parylene: Fabrication process and characterization results. Sens. Actuators A 2014, 217, 1–12. [Google Scholar] [CrossRef]
- Birchak, J.R.; Linyaev, E.; Robbins, C.A.; Roessler, D.E. Acoustic Transducer for LWD Tool. Available online: https://www.freepatentsonline.com/5644186.html (accessed on 30 December 2024).
- Tang, X.M.; Patterson, D.J.; Wang, T. Method and Apparatus for LWD Shear Velocity Measurement. US Patent 20020113717A1, 22 August 2022. Available online: https://patents.google.com/patent/US20020113717A1/en?patents=false&oq=US20020113717 (accessed on 30 December 2024).
- Qiao, W.; Che, X.; Zhang, F. Effects of boundary conditions on vibrating mode of acoustic logging dipole transducer. Sci. China Ser. D Earth Sci. 2008, 51, 195–200. [Google Scholar] [CrossRef]
- Mosland, E.N.; Lunde, P.; Kocbach, J. Finite element-based diffraction correction for piezoelectric transducers accounting for diffraction at transmission, propagation, and reception. J. Acoust. Soc. Am. 2023, 154, 2177–2190. [Google Scholar] [CrossRef]
- Jiang, R.; Mei, L.; Zhang, Q.M. COMSOL multiphysics modeling of architected acoustic transducers in oil drilling. MRS Adv. 2016, 1, 1755–1760. [Google Scholar] [CrossRef]
- Gou, Y.; Fu, X. Vibration and horizontal directivity analysis of transmitting transducer for acoustic logging while drilling. J. Geophys. Eng. 2021, 18, 379–391. [Google Scholar] [CrossRef]
- Sun, Z.F.; Tang, X.M.; Su, Y.D. The finite element analysis of arcuate-shaped piezoelectric vibrator used in LWD acoustic logging. Appl. Acoust. 2019, 38, 807–814. Available online: https://link.cnki.net/urlid/11.2121.O4.20190912.1419.040. (accessed on 30 December 2024). (In Chinese).
- Fu, X.; Gou, Y. Novel transmitter transducer for acoustic logging while drilling. Appl. Acoust. 2022, 193, 108752. [Google Scholar] [CrossRef]
- Franček, P.; Petošić, A.; Budimir, M.; Hrabar, I. Electrical resonance/antiresonance characterization of ndt transducer and possible optimization of impulse excitation signals width and their types. NDT E Int. 2019, 106, 29–41. [Google Scholar] [CrossRef]
- Onykiienko, Y.; Batina, O.; Vlasyuk, G.; Shvaichenko, V.; Mitsukova, A.; Marchenko, O. The selection of the test pulse duration for a shock excitation study of ultrasonic transducers. In Proceedings of the 2020 IEEE 40th International Conference on Electronics and Nanotechnology (ELNANO), Kyiv, Ukraine, 22–24 April 2020; pp. 499–502. [Google Scholar] [CrossRef]
- Zhang, K.; Ju, X.D.; Tan, B.H.; Lu, J.Q.; Men, B.Y.; Wu, W.H.; Chen, J.Y. New excitation method for acoustic logging transmitters. J. Geophys. Eng. 2017, 14, 751–757. [Google Scholar] [CrossRef]
- Grasso, E.; Totaro, N.; Janocha, H.; Naso, D. Piezoelectric self sensing actuators for high voltage excitation. Smart Mater. Struct. 2013, 22, 065018. [Google Scholar] [CrossRef]
- Surbhi, S.; Sukesha, J.J. Response of piezoelectric materials to the external temperature, electric field and humidity. Mater. Today Proc. 2020, 28, 1951–1954. [Google Scholar] [CrossRef]
- Chen, H.; Lu, J.; Ju, X.; Men, B.; Qiao, W. Electrical interference simulation and prediction model for acoustoelectric logging detector. Sensors 2023, 23, 3928. [Google Scholar] [CrossRef]
- Wang, C.; Ning, Z.; Zhang, K.; Zuo, J.; Zhang, B.; Chen, Y. Analysis of inductive filtering technology based on multi-winding transformer and its typical practical application. In Proceedings of the 2017 IEEE Conference on Energy Internet and Energy System Integration (EI2), Beijing, China, 26–28 November 2017; pp. 1–6. [Google Scholar] [CrossRef]
- Zhang, K.; Li, F.; Wu, J.; Tan, B.; Liu, L. Pulse width research on half-sine excitation signal for bending vibrator. J. Geophys. Eng. 2022, 19, 67–74. [Google Scholar] [CrossRef]
- Beltran, F.; Yañez-Gonzalez, A.; Crespo, M.J. Indirect determination of shear wave velocity in slow formations using full-wave sonic logging technique. J. Rock Mech. Geotech. Eng. 2020, 12, 1226–1233. [Google Scholar] [CrossRef]
- Song, X.; Zhao, Y.; Dykstra, J. Active damping of acoustic ringing effect for oil well sonic logging system. IEEE Trans. Ind. Electron. 2017, 64, 3423–3432. [Google Scholar] [CrossRef]
























| Type | Vp (m/s) | Vs (m/s) | ρ (kg/m3) | R (m) |
|---|---|---|---|---|
| Fluid inside drill collar | 1500 | 0 | 1000 | 0.04 |
| Drill collar | 5900 | 3230 | 7800 | 0.1 |
| Fluid outside drill collar | 1500 | 0 | 1000 | Boundless |
| Epoxy resin | 2757.6 | 1306.7 | 1320.6 | - |
| Type | PZT-5G | Unit |
|---|---|---|
| Densities | 7400 | kg/m3 |
| Flexibility constant SE | {1.51 × 10−11, −5.8 × 10−12, 1.5 × 10−11, −4.82 × 10−12, −4.82 × 10−12, 2.83 × 10−11, 0, 0, 0, 4.3 × 10−11, 0, 0, 0, 0, 4.3 × 10−11, 0, 0, 0, 0, 0, 4.18 × 10−11} | 1/Pa |
| Piezoelectric constant d | {0, 0, −1.86 × 10−10, 0, 0, −1.86 × 10−10, 0, 0, 4.20 × 10−10, 0, 6.6 × 10−10, 0, 6.6 × 10−10, 0, 0, 0, 0, 0} | C/N |
| Dielectric constant ε | {2404.5, 2404.5, 2000} | 1 |
| Type | Vp (m/s) | Vs (m/s) | ρ (kg/m3) |
|---|---|---|---|
| Fluid | 1500 | 0 | 1000 |
| PEEK | 2300 | 940 | 1200 |
| Rubber | 1100 | 500 | 1100 |
Disclaimer/Publisher’s Note: The statements, opinions and data contained in all publications are solely those of the individual author(s) and contributor(s) and not of MDPI and/or the editor(s). MDPI and/or the editor(s) disclaim responsibility for any injury to people or property resulting from any ideas, methods, instructions or products referred to in the content. |
© 2025 by the authors. Licensee MDPI, Basel, Switzerland. This article is an open access article distributed under the terms and conditions of the Creative Commons Attribution (CC BY) license (https://creativecommons.org/licenses/by/4.0/).
Share and Cite
Wang, J.; Che, X.; Qiao, W.; Tao, S.; Zhao, Q. Influence of the Transducer-Mounting Method on the Radiation Performance of Acoustic Sources Used in Monopole Acoustic Logging While Drilling. Sensors 2025, 25, 201. https://doi.org/10.3390/s25010201
Wang J, Che X, Qiao W, Tao S, Zhao Q. Influence of the Transducer-Mounting Method on the Radiation Performance of Acoustic Sources Used in Monopole Acoustic Logging While Drilling. Sensors. 2025; 25(1):201. https://doi.org/10.3390/s25010201
Chicago/Turabian StyleWang, Jiale, Xiaohua Che, Wenxiao Qiao, Shengyue Tao, and Qiqi Zhao. 2025. "Influence of the Transducer-Mounting Method on the Radiation Performance of Acoustic Sources Used in Monopole Acoustic Logging While Drilling" Sensors 25, no. 1: 201. https://doi.org/10.3390/s25010201
APA StyleWang, J., Che, X., Qiao, W., Tao, S., & Zhao, Q. (2025). Influence of the Transducer-Mounting Method on the Radiation Performance of Acoustic Sources Used in Monopole Acoustic Logging While Drilling. Sensors, 25(1), 201. https://doi.org/10.3390/s25010201
