A Study on the Maximum Reliability of Multi-UAV Cooperation Relay Systems
Abstract
1. Introduction
2. System Model and Problem Formulation
2.1. Modeling Line of Sight Probability
2.2. Modeling UAV Communication System
2.3. Optimization Problem Formulation
3. Joint Optimization
3.1. Height and Elevation Optimization Subproblem
3.2. Power and Path Loss Optimization Subproblem
3.3. Joint Optimization Problem
| Algorithm 1: The joint optimization algorithm |
| 1: |
| 2: Repeat 3: 4: For 5: solve the height and elevation subproblem (14). 6: For |
| 7: solve the power and path loss subproblem (15). |
| 8: Until |
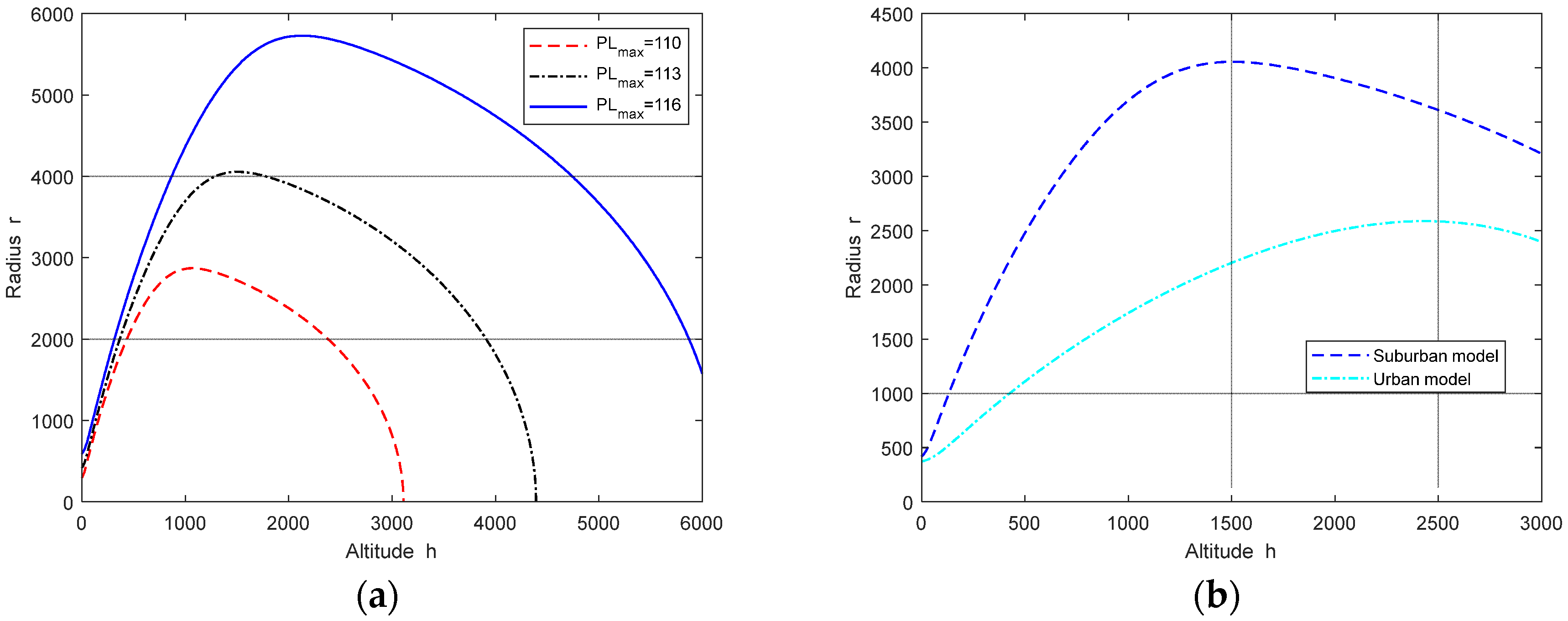
4. Simulations and Discussions
5. Conclusions
Author Contributions
Funding
Institutional Review Board Statement
Informed Consent Statement
Data Availability Statement
Conflicts of Interest
References
- Zeng, Y.; Zhang, R.; Lim, T.J. Wireless communications with unmanned aerial vehicles: Opportunities and challenges. IEEE Commun. Mag. 2016, 54, 36–42. [Google Scholar] [CrossRef]
- Mozaffari, M.; Saad, W.; Bennis, M.; Nam, Y.-H.; Debbah, M. A tutorial on UAVs for wireless networks: Applications, challenges, and open problems. IEEE Commun. Surv. Tutor. 2019, 21, 2334–2360. [Google Scholar] [CrossRef]
- Li, B.; Fei, Z.; Zhang, Y. UAV communications for 5G and beyond: Recent advances and future trends. IEEE Internet Things J. 2019, 6, 2241–2263. [Google Scholar] [CrossRef]
- Geraci, G.; Garcia-Rodriguez, A.; Azari, M.M.; Lozano, A.; Mezzavilla, M.; Chatzinotas, S.; Chen, Y.; Rangan, S.; Di Renzo, M. What will the future of UAV cellular communications be? A flight from 5g to 6g. IEEE Commun. Surv. Tutor. 2022, 24, 1304–1335. [Google Scholar] [CrossRef]
- Ahmed, S.; Chowdhury, M.Z.; Jang, Y.M. Energy-Efficient UAV Relaying Communications to Serve Ground Nodes. IEEE Commun. Lett. 2020, 24, 849–852. [Google Scholar] [CrossRef]
- Zhang, G.; Ou, X.; Cui, M.; Wu, Q.; Ma, S.; Chen, W. Cooperative UAV Enabled Relaying Systems: Joint Trajectory and Transmit Power Optimization. IEEE Trans. Green Commun. Netw. 2022, 6, 543–557. [Google Scholar] [CrossRef]
- Gupta, N.; Mishra, D.; Agarwal, S. Energy-Aware Trajectory Design for Outage Minimization in UAV-Assisted Communication Systems. IEEE Trans. Green Commun. Netw. 2022, 6, 1751–1763. [Google Scholar] [CrossRef]
- Dandapat, J.; Gupta, N.; Agarwal, S.; Darshi, S. Service Duration Maximization for Continuous Coverage in UAV-Assisted Communication System. IEEE Commun. Lett. 2022, 26, 2445–2449. [Google Scholar] [CrossRef]
- Li, B.; Zhao, S.; Zhang, R.; Yang, L. Joint Transmit Power and Trajectory Optimization for Two-Way Multihop UAV Relaying Networks. IEEE Internet Things J. 2022, 9, 24417–24428. [Google Scholar] [CrossRef]
- Al-Hourani, A.; Kandeepan, S.; Lardner, S. Optimal LAP altitude for maximum coverage. IEEE Wireless Commun. Lett. 2014, 3, 569–572. [Google Scholar] [CrossRef]
- Khawaja, W.; Guvenc, I.; Matolak, D.W.; Fiebig, U.-C.; Schneckenburger, N. A survey of air-to-ground propagation channel modeling for unmanned aerial vehicles. IEEE Commun. Surv. Tutor. 2019, 21, 2361–2391. [Google Scholar] [CrossRef]
- Ma, Z.; Ai, B.; He, R.; Wang, G.; Niu, Y.; Zhong, Z. A wideband non-stationary air-to-air channel model for UAV communications. IEEE Trans. Veh. Technol. 2020, 69, 1214–1226. [Google Scholar] [CrossRef]








Disclaimer/Publisher’s Note: The statements, opinions and data contained in all publications are solely those of the individual author(s) and contributor(s) and not of MDPI and/or the editor(s). MDPI and/or the editor(s) disclaim responsibility for any injury to people or property resulting from any ideas, methods, instructions or products referred to in the content. |
© 2024 by the authors. Licensee MDPI, Basel, Switzerland. This article is an open access article distributed under the terms and conditions of the Creative Commons Attribution (CC BY) license (https://creativecommons.org/licenses/by/4.0/).
Share and Cite
Ning, N.; Zhou, S.; Bao, W.; Li, X. A Study on the Maximum Reliability of Multi-UAV Cooperation Relay Systems. Sensors 2024, 24, 2886. https://doi.org/10.3390/s24092886
Ning N, Zhou S, Bao W, Li X. A Study on the Maximum Reliability of Multi-UAV Cooperation Relay Systems. Sensors. 2024; 24(9):2886. https://doi.org/10.3390/s24092886
Chicago/Turabian StyleNing, Ning, Suiping Zhou, Weimin Bao, and Xiaoping Li. 2024. "A Study on the Maximum Reliability of Multi-UAV Cooperation Relay Systems" Sensors 24, no. 9: 2886. https://doi.org/10.3390/s24092886
APA StyleNing, N., Zhou, S., Bao, W., & Li, X. (2024). A Study on the Maximum Reliability of Multi-UAV Cooperation Relay Systems. Sensors, 24(9), 2886. https://doi.org/10.3390/s24092886
