Measuring Surface Electromyography with Textile Electrodes in a Smart Leg Sleeve †
Abstract
1. Introduction
2. Materials and Methods
2.1. Textile Sleeve for sEMG
2.2. Experimental Setup
2.3. EMG Acquisition and Feature Extraction
2.4. Statistical Analysis
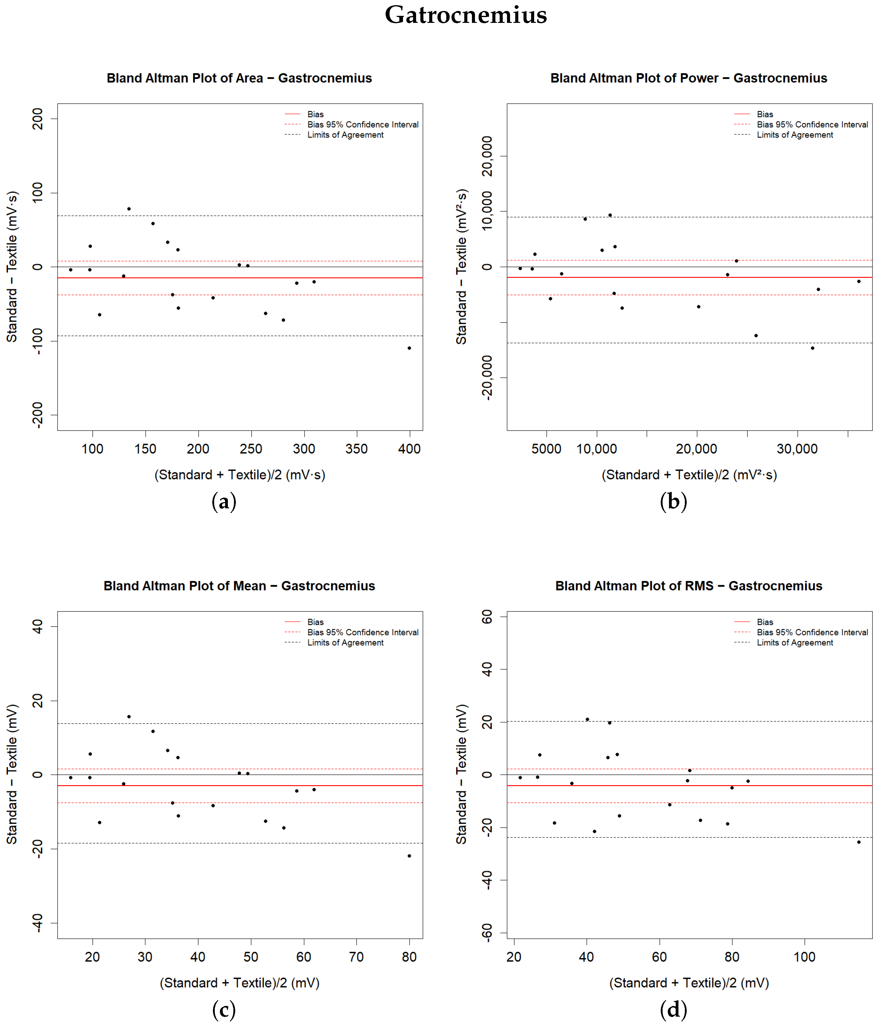
3. Results
Comfort Assessment
4. Discussion
Author Contributions
Funding
Institutional Review Board Statement
Informed Consent Statement
Data Availability Statement
Conflicts of Interest
Abbreviations
| BMI | Body Mass Index |
| CCSM | Conductive Composite Silicone Material |
| CRS | Comfort Rating Scale |
| EMG | Electromyography |
| LoA | Limits of Agreement |
| MVIC | Maximal Voluntary Isometric Contraction |
| RMS | Root Mean Square |
| sEMG | Surface Electromyography |
| SENIAM | Surface Electromyography for Non-Invasive Assessment of Muscles |
| WL | Wearability Level |
| SNR | Signal-to-Noise Ratio |
References
- Skazalski, C.; Whiteley, R.; Hansen, C.; Bahr, R. A valid and reliable method to measure jump-specific training and competition load in elite volleyball players. Scand. J. Med. Sci. Sports 2018, 28, 1578–1585. [Google Scholar] [CrossRef] [PubMed]
- Chen, S.T.; Lin, S.S.; Lan, C.W.; Hsu, H.Y. Design and Development of a Wearable Device for Heat Stroke Detection. Sensors 2017, 18, 17. [Google Scholar] [CrossRef] [PubMed]
- Engin, M.; Demirel, A.; Engin, E.Z.; Fedakar, M. Recent developments and trends in biomedical sensors. Measurement 2005, 37, 173–188. [Google Scholar] [CrossRef]
- Amitrano, F.; Coccia, A.; Donisi, L.; Pagano, G.; Cesarelli, G.; D’Addio, G. Gait Analysis using Wearable E-Textile Sock: An Experimental Study of Test-Retest Reliability. In Proceedings of the 2021 IEEE International Symposium on Medical Measurements and Applications (MeMeA), Lausanne, Switzerland, 23–25 June 2021; pp. 1–6. [Google Scholar] [CrossRef]
- Smith, A.A.; Li, R.; Tse, Z.T.H. Reshaping healthcare with wearable biosensors. Sci. Rep. 2023, 13, 4998. [Google Scholar] [CrossRef] [PubMed]
- Dooley, E.E.; Golaszewski, N.M.; Bartholomew, J.B. Estimating Accuracy at Exercise Intensities: A Comparative Study of Self-Monitoring Heart Rate and Physical Activity Wearable Devices. JMIR mHealth uHealth 2017, 5, e34. [Google Scholar] [CrossRef] [PubMed]
- Coccia, A.; Amitrano, F.; Donisi, L.; Cesarelli, G.; Pagano, G.; Cesarelli, M.; D’Addio, G. Design and validation of an e-textile-based wearable system for remote health monitoring. Acta Imeko 2021, 10, 220. [Google Scholar] [CrossRef]
- DeRossi, D.; Lymberis, A. Guest Editorial New Generation of Smart Wearable Health Systems and Applications. IEEE Trans. Inf. Technol. Biomed. 2005, 9, 293–294. [Google Scholar] [CrossRef] [PubMed]
- Karim, N.; Afroj, S.; Tan, S.; He, P.; Fernando, A.; Carr, C.; Novoselov, K.S. Scalable Production of Graphene-Based Wearable E-Textiles. ACS Nano 2017, 11, 12266–12275. [Google Scholar] [CrossRef] [PubMed]
- Chen, G.; Zhao, X.; Andalib, S.; Xu, J.; Zhou, Y.; Tat, T.; Lin, K.; Chen, J. Discovering giant magnetoelasticity in soft matter for electronic textiles. Matter 2021, 4, 3725–3740. [Google Scholar] [CrossRef] [PubMed]
- Fang, Y.; Chen, G.; Bick, M.; Chen, J. Smart textiles for personalized thermoregulation. Chem. Soc. Rev. 2021, 50, 9357–9374. [Google Scholar] [CrossRef] [PubMed]
- Iqbal, S.M.A.; Mahgoub, I.; Du, E.; Leavitt, M.A.; Asghar, W. Advances in healthcare wearable devices. NPJ Flex. Electron. 2021, 5, 9. [Google Scholar] [CrossRef]
- Cesarelli, G.; Donisi, L.; Coccia, A.; Amitrano, F.; D’Addio, G.; Ricciardi, C. The E-Textile for Biomedical Applications: A Systematic Review of Literature. Diagnostics 2021, 11, 2263. [Google Scholar] [CrossRef] [PubMed]
- Kotov-Smolenskiy, A.M.; Khizhnikova, A.E.; Klochkov, A.S.; Suponeva, N.A.; Piradov, M.A. Surface EMG: Applicability in the Motion Analysis and Opportunities for Practical Rehabilitation. Hum. Physiol. 2021, 47, 237–247. [Google Scholar] [CrossRef]
- Donisi, L.; Capodaglio, E.; Pagano, G.; Amitrano, F.; Cesarelli, M.; Panigazzi, M.; D’Addio, G. Feasibility of Tree-based Machine Learning algorithms fed with surface electromyographic features to discriminate risk classes according to NIOSH. In Proceedings of the 2022 IEEE International Symposium on Medical Measurements and Applications (MeMeA), Messina, Italy, 22–24 June 2022; pp. 1–6. [Google Scholar] [CrossRef]
- Coccia, A.; Capodaglio, E.M.; Amitrano, F.; Gabba, V.; Panigazzi, M.; Pagano, G.; D’Addio, G. Biomechanical Effects of Using a Passive Exoskeleton for the Upper Limb in Industrial Manufacturing Activities: A Pilot Study. Sensors 2024, 24, 1445. [Google Scholar] [CrossRef] [PubMed]
- Merletti, R.; Aventaggiato, M.; Botter, A.; Holobar, A.; Marateb, H.; Vieira, T.M. Advances in Surface EMG: Recent Progress in Detection and Processing Techniques. Crit. Rev. Biomed. Eng. 2010, 38, 305–345. [Google Scholar] [CrossRef]
- Cheng, L.; Li, J.; Guo, A.; Zhang, J. Recent advances in flexible noninvasive electrodes for surface electromyography acquisition. NPJ Flex. Electron. 2023, 7, 39. [Google Scholar] [CrossRef]
- Ohiri, K.A.; Pyles, C.O.; Hamilton, L.H.; Baker, M.M.; McGuire, M.T.; Nguyen, E.Q.; Osborn, L.E.; Rossick, K.M.; McDowell, E.G.; Strohsnitter, L.M.; et al. E-textile based modular sEMG suit for large area level of effort analysis. Sci. Rep. 2022, 12, 9650. [Google Scholar] [CrossRef] [PubMed]
- Goncu-Berk, G.; Tuna, B.G. The Effect of Sleeve Pattern and Fit on E-Textile Electromyography (EMG) Electrode Performance in Smart Clothing Design. Sensors 2021, 21, 5621. [Google Scholar] [CrossRef] [PubMed]
- Alizadeh-Meghrazi, M.; Sidhu, G.; Jain, S.; Stone, M.; Eskandarian, L.; Toossi, A.; Popovic, M.R. A Mass-Producible Washable Smart Garment with Embedded Textile EMG Electrodes for Control of Myoelectric Prostheses: A Pilot Study. Sensors 2022, 22, 666. [Google Scholar] [CrossRef]
- Ozturk, O.; Yapici, M.K. Muscular Activity Monitoring and Surface Electromyography (sEMG) with Graphene Textiles. In Proceedings of the 2019 IEEE SENSORS, Montreal, QC, Canada, 27–30 October 2019; pp. 1–4. [Google Scholar] [CrossRef]
- Ozturk, O.; Yapici, M.K. Surface Electromyography With Wearable Graphene Textiles. IEEE Sens. J. 2021, 21, 14397–14406. [Google Scholar] [CrossRef]
- Awan, F.; He, Y.; Le, L.; Tran, L.L.; Han, H.D.; Nguyen, L.P. ElectroMyography Acquisition System Using Graphene-based e-Textiles. In Proceedings of the 2019 International Symposium on Electrical and Electronics Engineering (ISEE), Ho Chi Minh, Vietnam, 10–12 October 2019; pp. 59–62. [Google Scholar] [CrossRef]
- Le, K.; Soltanian, S.; Narayana, H.; Servati, A.; Servati, P.; Ko, F. Roll-to-roll fabrication of silver/silver chloride coated yarns for dry electrodes and applications in biosignal monitoring. Sci. Rep. 2023, 13, 21182. [Google Scholar] [CrossRef] [PubMed]
- Alizadeh-Meghrazi, M.; Ying, B.; Schlums, A.; Lam, E.; Eskandarian, L.; Abbas, F.; Sidhu, G.; Mahnam, A.; Moineau, B.; Popovic, M.R. Evaluation of dry textile electrodes for long-term electrocardiographic monitoring. BioMed. Eng. Online 2021, 20, 68. [Google Scholar] [CrossRef] [PubMed]
- Choudhry, N.A.; Rasheed, A.; Ahmad, S.; Arnold, L.; Wang, L. Design, Development and Characterization of Textile Stitch-Based Piezoresistive Sensors for Wearable Monitoring. IEEE Sens. J. 2020, 20, 10485–10494. [Google Scholar] [CrossRef]
- Kim, S.; Lee, S.; Jeong, W. EMG Measurement with Textile-Based Electrodes in Different Electrode Sizes and Clothing Pressures for Smart Clothing Design Optimization. Polymers 2020, 12, 2406. [Google Scholar] [CrossRef] [PubMed]
- An, X.; Tangsirinaruenart, O.; Stylios, G.K. Investigating the performance of dry textile electrodes for wearable end-uses. J. Text. Inst. 2019, 110, 151–158. [Google Scholar] [CrossRef]
- Marozas, V.; Petrenas, A.; Daukantas, S.; Lukosevicius, A. A comparison of conductive textile-based and silver/silver chloride gel electrodes in exercise electrocardiogram recordings. J. Electrocardiol. 2011, 44, 189–194. [Google Scholar] [CrossRef]
- Li, G.; Wang, S.; Duan, Y.Y. Towards gel-free electrodes: A systematic study of electrode-skin impedance. Sens. Actuators B Chem. 2017, 241, 1244–1255. [Google Scholar] [CrossRef]
- Puurtinen, M.M.; Komulainen, S.M.; Kauppinen, P.K.; Malmivuo, J.A.V.; Hyttinen, J.A.K. Measurement of noise and impedance of dry and wet textile electrodes, and textile electrodes with hydrogel. In Proceedings of the 2006 International Conference of the IEEE Engineering in Medicine and Biology Society, New York, NY, USA, 30 August–3 September 2006; pp. 6012–6015. [Google Scholar] [CrossRef]
- Taji, B.; Shirmohammadi, S.; Groza, V. Measuring skin-electrode impedance variation of conductive textile electrodes under pressure. In Proceedings of the 2014 IEEE International Instrumentation and Measurement Technology Conference (I2MTC), 12–15 May 2014; pp. 1083–1088, ISSN 1091-5281. [Google Scholar] [CrossRef]
- Pani, D.; Achilli, A.; Spanu, A.; Bonfiglio, A.; Gazzoni, M.; Botter, A. Validation of Polymer-Based Screen-Printed Textile Electrodes for Surface EMG Detection. IEEE Trans. Neural Syst. Rehabil. Eng. 2019, 27, 1370–1377. [Google Scholar] [CrossRef] [PubMed]
- Cömert, A.; Honkala, M.; Hyttinen, J. Effect of pressure and padding on motion artifact of textile electrodes. BioMed. Eng. Online 2013, 12, 26. [Google Scholar] [CrossRef] [PubMed]
- Farago, E.; MacIsaac, D.; Suk, M.; Chan, A.D.C. A Review of Techniques for Surface Electromyography Signal Quality Analysis. IEEE Rev. Biomed. Eng. 2023, 16, 472–486. [Google Scholar] [CrossRef] [PubMed]
- Amitrano, F.; Coccia, A.; Pagano, G.; Biancardi, A.; Tombolini, G.; D’Addio, G. Effects of Ankle-Foot Orthosis on Balance of Foot Drop Patients. In Studies in Health Technology and Informatics; Hägglund, M., Blusi, M., Bonacina, S., Nilsson, L., Cort Madsen, I., Pelayo, S., Moen, A., Benis, A., Lindsköld, L., Gallos, P., Eds.; IOS Press: Amsterdam, The Netherlands, 2023. [Google Scholar] [CrossRef]
- Coccia, A.; Amitrano, F.; Pagano, G.; Dileo, L.; Marsico, V.; Tombolini, G.; D’Addio, G. Biomechanical modelling for quantitative assessment of gait kinematics in drop foot patients with ankle foot orthosis. In Proceedings of the 2022 IEEE International Symposium on Medical Measurements and Applications (MeMeA), Messina, Italy, 22–24 June 2022; pp. 1–6. [Google Scholar] [CrossRef]
- Hermens, H.J.; Freriks, B.; Merletti, R.; Stegeman, D.; Joleen, B.; Günter, R.; Disselhorst-Klug, C.; Hägg, G. European recommendations for surface electromyography. Roessingh Res. Dev. 1999, 8, 13–54. [Google Scholar]
- Schwartz, C.; Wang, F.C.; Forthomme, B.; Denoël, V.; Brüls, O.; Croisier, J.L. Normalizing gastrocnemius muscle EMG signal: An optimal set of maximum voluntary isometric contraction tests for young adults considering reproducibility. Gait Posture 2020, 82, 196–202. [Google Scholar] [CrossRef] [PubMed]
- Kimata, K.; Otsuka, S.; Yokota, H.; Shan, X.; Hatayama, N.; Naito, M. Relationship between attachment site of tibialis anterior muscle and shape of tibia: Anatomical study of cadavers. J. Foot Ankle Res. 2022, 15, 54. [Google Scholar] [CrossRef] [PubMed]
- Yong, J.R.; Dembia, C.L.; Silder, A.; Jackson, R.W.; Fredericson, M.; Delp, S.L. Foot strike pattern during running alters muscle-tendon dynamics of the gastrocnemius and the soleus. Sci. Rep. 2020, 10, 5872. [Google Scholar] [CrossRef]
- Ferris, R.M.; Hawkins, D.A. Gastrocnemius and Soleus Muscle Contributions to Ankle Plantar Flexion Torque as a Function of Ankle and Knee Angle. Sports Inj. Med. 2020, 4, 63. [Google Scholar]
- Zaki, R.; Bulgiba, A.; Ismail, R.; Ismail, N.A. Statistical Methods Used to Test for Agreement of Medical Instruments Measuring Continuous Variables in Method Comparison Studies: A Systematic Review. PLoS ONE 2012, 7, e37908. [Google Scholar] [CrossRef] [PubMed]
- Altman, D.G.; Bland, J.M. Measurement in Medicine: The Analysis of Method Comparison Studies. Statistician 1983, 32, 307. [Google Scholar] [CrossRef]
- Bland, J.M.; Altman, D.G. Measuring agreement in method comparison studies. Stat. Methods Med. Res. 1999, 8, 135–160. [Google Scholar] [CrossRef] [PubMed]
- Knight, J.F.; Baber, C. A Tool to Assess the Comfort of Wearable Computers. Hum. Factors J. Hum. Factors Ergon. Soc. 2005, 47, 77–91. [Google Scholar] [CrossRef] [PubMed]
- Knight, J.F.; Deen-Williams, D.; Arvanitis, T.N.; Baber, C.; Sotiriou, S.; Anastopoulou, S.; Gargalakos, M. Assessing the Wearability of Wearable Computers. In Proceedings of the 2006 10th IEEE International Symposium on Wearable Computers, Montreux, Switzerland, 11–14 October 2006; pp. 75–82, ISSN ISSN 2376-8541. [Google Scholar] [CrossRef]
- Dunne, L. Smart Clothing in Practice: Key Design Barriers to Commercialization. Fash. Pract. 2010, 2, 41–65. [Google Scholar] [CrossRef]








| Area (mV ms) | Anterior Tibialis | Lateral Gastrocnemius | ||
|---|---|---|---|---|
| Textile Sleeve | Ag/AgCl Electrodes | Textile Sleeve | Ag/AgCl Electrodes | |
| Mean± SD | ||||
| Paired t-test | 0.314 ns | 0.186 ns | ||
| Bias | ||||
| Lower LoA | ||||
| Upper LoA | 138 | |||
| Power (mV ms) | Anterior Tibialis | Lateral Gastrocnemius | ||
| Textile Sleeve | Ag/AgCl Electrodes | Textile Sleeve | Ag/AgCl Electrodes | |
| Mean ± SD | ||||
| Paired t-test | 0.184 ns | 0.134 ns | ||
| Bias | ||||
| Lower LoA | ||||
| Upper LoA | ||||
| Mean (mV) | Anterior Tibialis | Lateral Gastrocnemius | ||
| Textile Sleeve | Ag/AgCl Electrodes | Textile Sleeve | Ag/AgCl Electrodes | |
| Mean ± SD | ||||
| Paired t-test | 0.314 ns | 0.185 ns | ||
| Bias | ||||
| Lower LoA | ||||
| Upper LoA | ||||
| RMS (mV) | Anterior Tibialis | Lateral Gastrocnemius | ||
| Textile Sleeve | Ag/AgCl Electrodes | Textile Sleeve | Ag/AgCl Electrodes | |
| Mean ± SD | ||||
| Paired t-test | 0.334 ns | 0.179 ns | ||
| Bias | ||||
| Lower LoA | ||||
| Upper LoA | ||||
| Title | Description | Mean | Std. |
|---|---|---|---|
| Emotion | I am worried about how I look when I wear this device. I feel tense or on edge because I am wearing the device. | 3.91 | 3.08 |
| Attachment | I can feel the device on my body. I can feel the device moving. | 4.09 | 2.70 |
| Harm | The device is causing me some harm. The device is painful to wear. | 2.00 | 2.05 |
| Perceived change | Wearing the device makes me feel physically different. I feel strange wearing the device. | 3.27 | 2.41 |
| Movement | The device affects the way I move. The device inhibits or restricts my movement. | 4.09 | 2.74 |
| Anxiety | I do not feel secure wearing the device. | 0.364 | 0.674 |
| Wearability Level | CRS Score | Outcome |
|---|---|---|
| WL1 | 0–4 | System is wearable |
| WL2 | 5–8 | System is wearable, but changes may be necessary, further investigation is needed |
| WL3 | 9–12 | System is wearable, but changes are advised, uncomfortable |
| WL4 | 13–16 | System is not wearable, fatiguing, very uncomfortable |
| WL5 | 17–20 | System is not wearable, extremely stressful, and potentially harmful |
Disclaimer/Publisher’s Note: The statements, opinions and data contained in all publications are solely those of the individual author(s) and contributor(s) and not of MDPI and/or the editor(s). MDPI and/or the editor(s) disclaim responsibility for any injury to people or property resulting from any ideas, methods, instructions or products referred to in the content. |
© 2024 by the authors. Licensee MDPI, Basel, Switzerland. This article is an open access article distributed under the terms and conditions of the Creative Commons Attribution (CC BY) license (https://creativecommons.org/licenses/by/4.0/).
Share and Cite
Amitrano, F.; Coccia, A.; Pagano, G.; Biancardi, A.; Tombolini, G.; Marsico, V.; D’Addio, G. Measuring Surface Electromyography with Textile Electrodes in a Smart Leg Sleeve. Sensors 2024, 24, 2763. https://doi.org/10.3390/s24092763
Amitrano F, Coccia A, Pagano G, Biancardi A, Tombolini G, Marsico V, D’Addio G. Measuring Surface Electromyography with Textile Electrodes in a Smart Leg Sleeve. Sensors. 2024; 24(9):2763. https://doi.org/10.3390/s24092763
Chicago/Turabian StyleAmitrano, Federica, Armando Coccia, Gaetano Pagano, Arcangelo Biancardi, Giuseppe Tombolini, Vito Marsico, and Giovanni D’Addio. 2024. "Measuring Surface Electromyography with Textile Electrodes in a Smart Leg Sleeve" Sensors 24, no. 9: 2763. https://doi.org/10.3390/s24092763
APA StyleAmitrano, F., Coccia, A., Pagano, G., Biancardi, A., Tombolini, G., Marsico, V., & D’Addio, G. (2024). Measuring Surface Electromyography with Textile Electrodes in a Smart Leg Sleeve. Sensors, 24(9), 2763. https://doi.org/10.3390/s24092763

