Dirt Track Surface Preparation and Associated Differences in Speed, Stride Length, and Stride Frequency in Galloping Horses
Abstract
1. Introduction
2. Materials and Methods
2.1. Track Preparation
2.2. Horses
2.3. Experimental Protocol
2.3.1. Horse Exercise Protocol
2.3.2. Hardness and Moisture Measurements
2.4. Data Processing
2.4.1. Speed, Stride Frequency, and Stride Length
2.4.2. Track Hardness
2.4.3. Moisture Content
2.5. Statistics
2.5.1. Effect of Hardness and Moisture Content
2.5.2. Effect of “Session” and “Lane”
3. Results
3.1. Hardness and Moisture Content
3.2. Speed, Stride Frequency, and Stride Length
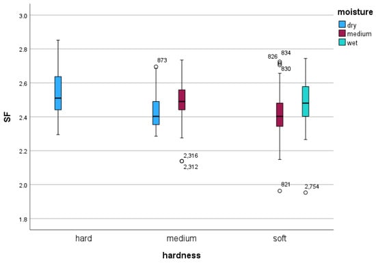
3.3. Effect of Track Hardness and Moisture Content on Stride Frequency and Stride Length
3.4. Effect of Session and Lane
4. Discussion
5. Conclusions
Author Contributions
Funding
Institutional Review Board Statement
Informed Consent Statement
Data Availability Statement
Acknowledgments
Conflicts of Interest
References
- Wong, A.S.M.; Morrice-West, A.V.; Whitton, R.C.; Hitchens, P.L. Changes in Thoroughbred Speed and Stride Characteristics over Successive Race Starts and Their Association with Musculoskeletal Injury. Equine Vet. J. 2022, 55, evj.13581. [Google Scholar] [CrossRef] [PubMed]
- Chateau, H.; Holden, L.; Robin, D.; Falala, S.; Pourcelot, P.; Estoup, P.; Denoix, J.-M.; Crevier-Denoix, N. Biomechanical Analysis of Hoof Landing and Stride Parameters in Harness Trotter Horses Running on Different Tracks of a Sand Beach (from Wet to Dry) and on an Asphalt Road. Equine Vet. J. 2010, 42 (Suppl. S3), 488–495. [Google Scholar] [CrossRef] [PubMed]
- Schramel, J.P.; Peham, C. Mechanical Properties of a Grass Surface in the Course of a Year. Equine Vet. J. 2016, 48, 18. [Google Scholar]
- Graydon, R.; Northrop, A.J.; Martin, J.H.; Lucey, M.; Schramel, J.P.; Peham, C.; Roepstorff, L.; Sinclair, J.; Hobbs, S.J. The Development of a Standardized Protocol for Quantifying Equestrian Eventing Cross-Country Ground. Biomechanics 2023, 3, 343–361. [Google Scholar] [CrossRef]
- Barrey, E.; Landjerit, B.; Wolter, R. Shock and Vibration during the Hoof Impact on Different Track Surfaces. In Proceedings of the Third International Conference on Equine Exercise Physiology, Uppsala, Sweden, 15–19 July 1990. [Google Scholar]
- Barstow, A.; Bailey, J.; Campbell, J.; Harris, C.; Weller, R.; Pfau, T. Does ‘Hacking’ Surface Type Affect Equine Forelimb Foot Placement, Movement Symmetry or Hoof Impact Deceleration during Ridden Walk and Trot Exercise. Equine Vet. J. 2018, 51, 108–114. [Google Scholar] [CrossRef] [PubMed]
- Gustås, P.; Johnston, C.; Drevemo, S. Ground Reaction Force and Hoof Deceleration Patterns on Two Different Surfaces at the Trot. Equine Comp. Exerc. Physiol. 2006, 3, 209–216. [Google Scholar] [CrossRef]
- Bennet, E.D.; Cameron-Whytock, H.; Parkin, T.D.H. Fédération Equestre Internationale Eventing: Risk Factors for Horse Falls and Unseated Riders during the Cross-country Phase (2008–2018). Equine Vet. J. 2022, 54, 885–894. [Google Scholar] [CrossRef] [PubMed]
- Morrice-West, A.; Hitchens, P.L.; Walmsley, E.; Stevenson, M.A.; Wong, A.S.M.; Whitton, R.C. Variation in GPS and Accelerometer Recorded Velocity and Stride Parameters of Galloping Thoroughbred Horses. Equine Vet. J. 2020, 53, 1063–1074. [Google Scholar] [CrossRef]
- Pfau, T.; Bruce, O.; Brent Edwards, W.; Leguillette, R. Stride Frequency Derived from GPS Speed Fluctuations in Galloping Horses. J. Biomech. 2022, 145, 111364. [Google Scholar] [CrossRef] [PubMed]
- Hoyt, D.F.; Wickler, S.J.; Dutto, D.J.; Catterfeld, G.E.; Johnsen, D. What Are the Relations between Mechanics, Gait Parameters, and Energetics in Terrestrial Locomotion? J. Exp. Zool. 2006, 305, 912–922. [Google Scholar] [CrossRef]
- Witte, T.H.; Hirst, C.V.; Wilson, A.M. Effect of Speed on Stride Parameters in Racehorses at Gallop in Field Conditions. J. Exp. Biol. 2006, 209, 4389–4397. [Google Scholar] [CrossRef] [PubMed]
- Parkes, R.S.V.; Weller, R.; Pfau, T.; Witte, T.H. The Effect of Training on Stride Duration in a Cohort of Two-Year-Old and Three-Year-Old Thoroughbred Racehorses. Animals 2019, 9, 466. [Google Scholar] [CrossRef] [PubMed]
- Parkes, R.S.V.; Pfau, T.; Weller, R.; Witte, T.H. The Effect of Curve Running on Distal Limb Kinematics in the Thoroughbred Racehorse. PLoS ONE 2020, 15, e0244105. [Google Scholar] [CrossRef] [PubMed]
- Wannop, J.; Kowalchuk, S.; Esposito, M.; Stefanyshyn, D. Influence of Artificial Turf Surface Stiffness on Athlete Performance. Life 2020, 10, 340. [Google Scholar] [CrossRef] [PubMed]
- Mahaffey, C.A.; Peterson, M.L.; Roepstorff, L. The Effects of Varying Cushion Depth on Dynamic Loading in Shallow Sand Thoroughbred Horse Dirt Racetracks. Biosyst. Eng. 2013, 114, 178–186. [Google Scholar] [CrossRef]
- Hernlund, E.; Egenvall, A.; Hobbs, S.J.; Peterson, M.L.; Northrop, A.J.; Bergh, A.; Martin, J.H.; Roepstorff, L. Comparing Subjective and Objective Evaluation of Show Jumping Competition and Warm-up Arena Surfaces. Vet. J. 2017, 227, 49–57. [Google Scholar] [CrossRef] [PubMed]
- Ferris, D.P.; Louie, M.; Farley, C.T. Running in the Real World: Adjusting Leg Stiffness for Different Surfaces. Proc. Biol. Sci./R. Soc. 1998, 265, 989–994. [Google Scholar] [CrossRef] [PubMed]
- Ferris, D.P.; Liang, K.; Farley, C.T. Runners Adjust Leg Stiffness for Their First Step on a New Running Surface. J. Biomech. 1999, 32, 787–794. [Google Scholar] [CrossRef] [PubMed]
- McGuigan, M.P.; Wilson, A.M. The Effect of Gait and Digital Flexor Muscle Activation on Limb Compliance in the Forelimb of the Horse (Equus caballus). J. Exp. Biol. 2003, 206, 1325–1336. [Google Scholar] [CrossRef]
- Hardeman, A.M.; Byström, A.; Roepstorff, L.; Swagemakers, J.H.; van Weeren, P.R.; Serra Bragança, F.M. Range of Motion and Between-Measurement Variation of Spinal Kinematics in Sound Horses at Trot on the Straight Line and on the Lunge. PLoS ONE 2020, 15, e0222822. [Google Scholar] [CrossRef] [PubMed]
- Hobbs, S.J.; Licka, T.; Polman, R. The Difference in Kinematics of Horses Walking, Trotting and Cantering on a Flat and Banked 10 m Circle. Equine Vet. J. 2011, 43, 686–694. [Google Scholar] [CrossRef] [PubMed]



| Hardness | Moisture | ||||
|---|---|---|---|---|---|
| Mean | Category | Std | Mean | Category | |
| session 1: day 1 morning | |||||
| inside | 22.3 g | soft | 4.4 g | 23.3% | wet |
| middle | 23.0 g | soft | 2.1 g | 17.8% | medium |
| outside | 41.3 g | medium | 9.2 g | 12.6% | dry |
| session 2: day 1 afternoon | |||||
| inside | 23.8 g | soft | 3.6 g | 27.4% | wet |
| middle | 24.3 g | soft | 0.8 g | 18.6% | medium |
| outside | 38.1 g | medium | 7.7 g | 13.4% | dry |
| session 3: day 2 morning | |||||
| inside | 26.3 g | soft | 4.7 g | 21.8% | wet |
| middle | 44.3 g | medium | 4.2 g | 18.3% | medium |
| outside | 61.2 g | hard | 14.8 g | 12.2% | dry |
| p-Value | Covariate Estimate (95% Confidence Interval) or EMM (95% Confidence Interval) | |||
|---|---|---|---|---|
| shoeing | 0.689 | |||
| speed | <0.001 | 0.018 Hz/ms−1 (0.015 Hz/ms−1; 0.021 Hz/ms−1) | ||
| hardness | <0.001 | hard 2.502 (2.415; 2.589) | medium 1 2.459 (2.372; 2.546) | soft 1 2.464 (2.377; 2.551) |
| moisture | <0.001 | dry 2.471 (2.384; 2.558) | Medium 2.456 (2.369; 2.543) | wet 2.493 (2.407; 2.580) |
| hardness × moisture | NA | hard × dry 2.502 (2.415; 2.589) | medium × dry 2.440 (2.353; 2.527) medium × medium 2.478 (2.391; 2.565) | soft × medium 2.434 (2.347; 2.521) soft × wet 2.493 (2.407; 2.580) |
| p-Value | Covariate Estimate (95% Conf. Interval) or EMM (95% Conf. Interval) | |||
|---|---|---|---|---|
| shoeing | 0.703 | |||
| speed | <0.001 | 0.359 m/ms−1 (0.351 m/ms−1; 0.367 m/ms−1) | ||
| hardness | <0.001 | hard 6.597 (6.393; 6.801) | medium 1 6.712 (6.509; 6.916) | soft 1 6.703 (6.500; 6.906) |
| moisture | <0.001 | Dry 6.682 (6.479; 6.886) | medium 6.720 (6.516; 6.923) | wet 6.622 (6.419; 6.825) |
| hardness × moisture | NA | hard × dry 6.597 (6.393; 6.801) | medium × dry 6.768 (6.564; 6.971) medium × medium 6.656 (6.452; 6.860) | soft × medium 6.783 (6.580; 6.987) soft × wet 6.622 (6.419; 6.825) |
| p-Value | Covariate Estimate (95% Conf. Interval) or EMM (95% Conf. Interval) | |||
|---|---|---|---|---|
| Shoeing | 0.660 | |||
| Speed | <0.001 | 0.009 Hz/ms−1 (0.005 Hz/ms−1; 0.012 Hz/ms−1) | ||
| Session | <0.001 | 1: day 1 morning 1 2.453 (2.370; 2.537) | 2: day 1 afternoon 1 2.446 (2.363; 2.530) | 3: day 1 morning 2.515 (2.432; 2.598) |
| Lane | <0.001 | inside 2.494 (2.411; 2.578) | middle 2.454 (2.371; 2.537) | outside 2.466 (2.383; 2.550) |
| session × lane | <0.001 | session1 × inside 2.454 (2.380; 2.547) session1 × middle 2.451 (2.368; 2.535) session1 × outside 2.444 (2.361; 2.528) | session2 × inside 2.480 (2.396; 2.563) session2 × middle 2.423 (2.339; 2.508) session2 × outside 2.437 (2.354; 2.521) | session3 × inside 2.540 (2.456; 2.623) session3 × middle 2.488 (2.405; 2.572) session3 × outside 2.517 (2.434; 2.601) |
| p-Value | Covariate Estimate (95% Conf. Interval) or EMM (95% Conf. Interval) | |||
|---|---|---|---|---|
| Shoeing | 0.674 | |||
| Speed | <0.001 | 0.386 m/ms−1 (0.377 m/ms−1; 0.394 m/ms−1) | ||
| Session | <0.001 | 1: day 1 morning 1 6.728 (6.508; 6.949) | 2: day 1 afternoon 1 6.754 (6.533; 6.974) | 3: day 1 morning 6.558 (6.338; 6.778) |
| Lane | <0.001 | inside 6.620 (6.400; 6.840) | middle 6.726 (6.505; 6.946) | outside 6.695 (6.475; 6.915) |
| session × lane | <0.001 | session1 × inside 6.703 (6.482; 6.924) session1 × middle 6.730 (6.509; 6.951) session1 × outside 6.752 (6.531; 6.972) | session2 × inside 6.664 (6.444; 6.885) session2 × middle 6.818 (6.598; 7.038) session2 × outside 6.779 (6.559; 6.999) | session3 × inside 6.491 (6.271; 6.712) session3 × middle 6.620 (6.408; 6.849) session3 × outside 6.553 (6.333; 6.774) |
Disclaimer/Publisher’s Note: The statements, opinions and data contained in all publications are solely those of the individual author(s) and contributor(s) and not of MDPI and/or the editor(s). MDPI and/or the editor(s) disclaim responsibility for any injury to people or property resulting from any ideas, methods, instructions or products referred to in the content. |
© 2024 by the authors. Licensee MDPI, Basel, Switzerland. This article is an open access article distributed under the terms and conditions of the Creative Commons Attribution (CC BY) license (https://creativecommons.org/licenses/by/4.0/).
Share and Cite
Pfau, T.; Bruce, O.L.; Sawatsky, A.; Leguillette, R.; Edwards, W.B. Dirt Track Surface Preparation and Associated Differences in Speed, Stride Length, and Stride Frequency in Galloping Horses. Sensors 2024, 24, 2441. https://doi.org/10.3390/s24082441
Pfau T, Bruce OL, Sawatsky A, Leguillette R, Edwards WB. Dirt Track Surface Preparation and Associated Differences in Speed, Stride Length, and Stride Frequency in Galloping Horses. Sensors. 2024; 24(8):2441. https://doi.org/10.3390/s24082441
Chicago/Turabian StylePfau, Thilo, Olivia L. Bruce, Andrew Sawatsky, Renaud Leguillette, and W. Brent Edwards. 2024. "Dirt Track Surface Preparation and Associated Differences in Speed, Stride Length, and Stride Frequency in Galloping Horses" Sensors 24, no. 8: 2441. https://doi.org/10.3390/s24082441
APA StylePfau, T., Bruce, O. L., Sawatsky, A., Leguillette, R., & Edwards, W. B. (2024). Dirt Track Surface Preparation and Associated Differences in Speed, Stride Length, and Stride Frequency in Galloping Horses. Sensors, 24(8), 2441. https://doi.org/10.3390/s24082441

